The Synthesis and Pharmacokinetics of a Novel Liver-Targeting Cholic Acid-Conjugated Carboplatin in Rats
Abstract
1. Introduction
2. Results and Discussion
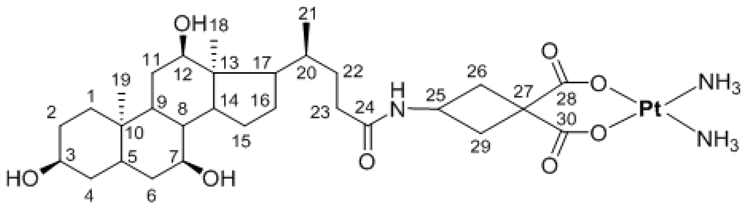
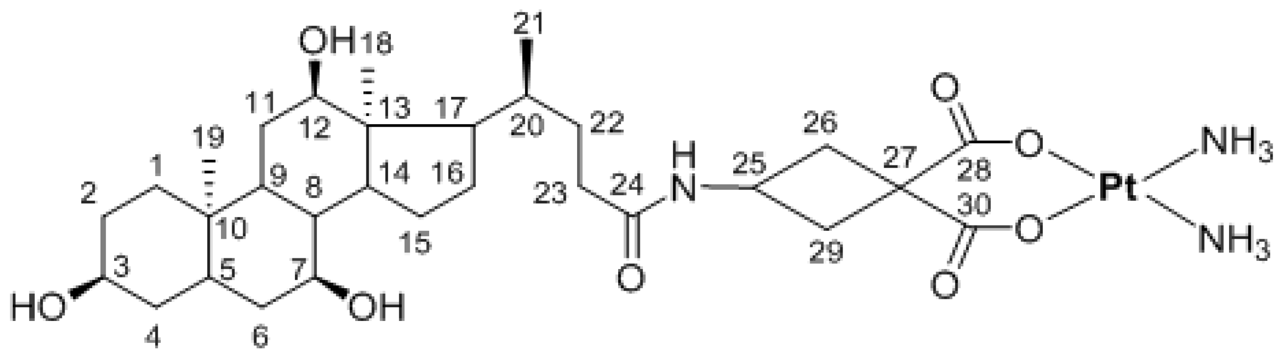
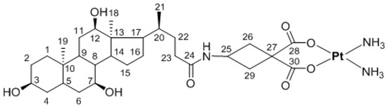
2.1. Structural Characterization of CP-CA
2.2. Cell Toxicity
2.3. In Vitro Cell Uptake
2.4. PK Study
2.4.1. Plasma Protein Binding Rate (PPBR)
2.4.2. PK Study
2.5. Tissue Distribution
3. Materials and Methods
3.1. Materials and Reagents
3.2. Chemical Synthesis of CP-CA
3.3. Cell Toxicity
3.4. Instrument Conditions for Bio-Samples
3.5. In Vitro Cell Uptake Kinetics
3.6. PK Study
3.6.1. Plasma Protein Binding Rate (PPBR)
3.6.2. PK Study
3.7. Tissue Distribution
4. Conclusions
Supplementary Materials
Author Contributions
Funding
Institutional Review Board Statement
Informed Consent Statement
Data Availability Statement
Acknowledgments
Conflicts of Interest
References
- Siegel, R.L.; Miller, K.D.; Jemal, A. Cancer statistics. CA Cancer J. Clin. 2020, 70, 7–30. [Google Scholar] [CrossRef] [PubMed]
- Rumgay, H.; Arnold, M.; Ferlay, J.; Lesi, O.; Cabasag, C.J.; Vignat, J.; Laversanne, M.; McGlynn, K.A.; Soerjomataram, I. Global burden of primary liver cancer in 2020 and predictions to 2040. J. Hepatol. 2022, 77, 1598–1606. [Google Scholar] [CrossRef] [PubMed]
- Bedard, P.L.; Hyman, D.M.; Davids, M.S.; Siu, L.L. Small molecules, big impact: 20 years of targeted therapy in oncology. Lancet 2020, 395, 1078–1088. [Google Scholar] [CrossRef] [PubMed]
- Kelland, L. The resurgence of platinum-based cancer chemotherapy. Nat. Rev. Cancer 2007, 7, 573–584. [Google Scholar] [CrossRef] [PubMed]
- Navo, M.; Kunthur, A.; Badell, M.L.; Coffer, L.W.; Markman, M.; Brown, J.; Smith, J.A. Evaluation of the incidence of carboplatin hypersensitivity reactions in cancer patients. Gynecol. Oncol. 2006, 103, 608–613. [Google Scholar] [CrossRef] [PubMed]
- Markman, M.; Kennedy, A.; Webster, K.; Elson, P.; Peterson, G. Clinical features of hypersensitivity reactions to carboplatin. J. Clin. Oncol. 1999, 17, 1141–1145. [Google Scholar] [CrossRef] [PubMed]
- Paksoy, N.; Khanmammadov, N.; Doğan, İ.; Ferhatoğlu, F.; Yildiz, A.; Ak, N.; Aydiner, A. Toxicity management and efficacy of carboplatin desensitization therapy for recurrent epithelial ovarian carcinoma: A real-world study. Medicine 2022, 101, e31726. [Google Scholar] [CrossRef]
- Schmitt, A.; Gladieff, L.; Laffont, C.M.; Evrard, A.; Boyer, J.C.; Lansiaux, A.; Bobin-Dubigeon, C.; Etienne-Grimaldi, M.-C.; Boisdron-Celle, M.; Mousseau, M.; et al. Factors for hematopoietic toxicity of carboplatin: Refining the targeting of carboplatin systemic exposure. J. Clin. Oncol. 2010, 28, 4568–4574. [Google Scholar] [CrossRef] [PubMed]
- Johnstone, T.C.; Suntharalingam, K.; Lippard, S.J. The next generation of Platinum drugs: Targeted Pt (II) agents, nanoparticle delivery, and Pt (IV) prodrugs. Chem. Rev. 2016, 116, 3436–3486. [Google Scholar] [CrossRef]
- Sievanen, E. Exploitation of bile acid transport systems in prodrug design. Molecules 2007, 12, 1859–1889. [Google Scholar] [CrossRef]
- Patra, M.; Johnstone, T.C.; Suntharalingam, K.; Lippard, S.J. A potent glucose-platinum conjugate exploits glucose transporters and preferentially accumulates in cancer cells. Angew. Chem. Int. Ed. Engl. 2016, 55, 2550–2554. [Google Scholar] [CrossRef] [PubMed]
- Weitman, S.D.; Lark, R.H.; Coney, L.R.; Fort, D.W.; Frasca, V.; Zurawski, V.R., Jr.; Kamen, B.A. Distribution of the folate receptor GP38 in normal and malignant cell lines and tissues. Cancer Res. 1992, 52, 3396–3401. [Google Scholar] [PubMed]
- Trauner, M.; Boyer, J.L. Bile salt transporters: Molecular characterization, function, and regulation. Physiol. Rev. 2003, 83, 633–671. [Google Scholar] [CrossRef]
- Kramer, W.; Wess, G. Bile acid transport systems as pharmaceutical targets. Eur. J. Clin. Investig. 1996, 26, 715–732. [Google Scholar] [CrossRef]
- Kramer, W.; Wess, G.; Schubert, G.; Bickel, M.; Girbig, F.; Gutjahr, U.; Kowalewski, S.; Baringhaus, K.H.; Enhsen, A.; Glombik, H.; et al. Liver-specific drug targeting by coupling to bile acids. J. Biol. Chem. 1992, 267, 18598–18604. [Google Scholar] [CrossRef]
- Meijer, D.K. Drug targeting to the liver with bile acids: The “Trojan horse” resurrected? Hepatology 1993, 17, 945–948. [Google Scholar] [CrossRef] [PubMed]
- Monte, M.J.; Dominguez, S.; Palomero, M.F.; Macias, R.I.; Marin, J.J. Further evidence of the usefulness of bile acids as molecules for shuttling cytostatic drugs toward liver tumors. J. Hepatol. 1999, 31, 521–528. [Google Scholar] [CrossRef]
- Qian, S.; Wu, J.B.; Wu, X.C.; Li, J.; Wu, Y. Synthesis and characterization of new liver targeting 5-fluorouracil-cholic acid conjugates. Arch. Pharm. 2009, 342, 513–520. [Google Scholar] [CrossRef]
- Chen, D.Q.; Wang, X.; Chen, L.; He, J.X.; Miao, Z.H.; Shen, J.K. Novel liver-specific cholic acid-cytarabine conjugates with potent antitumor activities: Synthesis and biological characterization. Acta Pharmacol. Sin. 2011, 32, 664–672. [Google Scholar] [CrossRef]
- Dominguez, M.F.; Macias, R.I.; Izco-Basurko, I.; de La Fuente, A.; Pascual, M.J.; Criado, J.M.; Monte, M.J.; Yajeya, J.; Marin, J.J. Low in vivo toxicity of a novel cisplatin-ursodeoxycholic derivative (Bamet-UD2) with enhanced cytostatic activity versus liver tumors. J. Pharmacol. Exp. Ther. 2001, 297, 1106–1112. [Google Scholar]
- Zimber, A.; Gespach, C. Bile acids and derivatives, their nuclear receptors FXR, PXR and ligands: Role in health and disease and their therapeutic potential. Anticancer Agents Med. Chem. 2008, 8, 540–563. [Google Scholar] [CrossRef] [PubMed]
- Schaap, F.G.; Trauner, M.; Jansen, P.L. Bile acid receptors as targets for drug development. Nat. Rev. Gastroenterol. Hepatol. 2014, 11, 55–67. [Google Scholar] [CrossRef] [PubMed]
- Lozano, E.; Monte, M.J.; Briz, O.; Hernandez-Hernandez, A.; Banales, J.M.; Marin, J.J.; Macias, R.I.R. Enhanced antitumour drug delivery to cholangiocarcinoma through the apical sodium-dependent bile acid transporter (ASBT). J. Control. Release 2015, 216, 93–102. [Google Scholar] [CrossRef] [PubMed]
- Criado, J.J.; Herrera, M.C.; Palomero, M.F.; Medarde, M.; Rodriguez, E.; Marin, J.J. Synthesis and characterization of a new bile acid and platinum (II) complex with cytostatic activity. J. Lipid Res. 1997, 38, 1022–1032. [Google Scholar] [CrossRef] [PubMed]
- Criado, J.J.; Macias, R.I.R.; Medarde, M.J.; Monte, M.A.; Serrano, J.J.G.; Marin, J.J. Synthesis and characterization of the new cytostatic complex cis-diammineplatinum(II) chlorocholylglycinate. Bioconjugate Chem. 1997, 8, 453–458. [Google Scholar] [CrossRef]
- Paschke, R.; Kalbitz, J.; Paetz, C. Novel spacer linked bile acid-cisplatin compounds as a model for specific drug delivery, synthesis, and characterization. Inorg. Chim. Acta. 2000, 304, 241–249. [Google Scholar] [CrossRef]
- Seroka, B.; Łotowski, Z.; Hryniewicka, A.; Rárová, L.; Sicinski, R.R.; Tomkiel, A.M.; Morzycki, J.W. Synthesis of new cisplatin derivatives from bile acids. Molecules 2020, 25, 655. [Google Scholar] [CrossRef] [PubMed]
- Martinez-Diez, M.C.; Larena, M.G.; Serrano, M.A.; Macias, R.I.; Izco-Basurko, I.; Marin, J.J. Relationship between DNA-reactivity and cytostatic effect of two novel bile acid-platinum derivatives, Bamet-UD2 and Bamet-D3. Anticancer Res. 2000, 20, 3315–3321. [Google Scholar] [PubMed]
- Criado, J.J.; Domínguez, M.F.; Medarde, M.; Fernández, E.R.; Macías, R.I.; Marín, J. Structural characterization, kinetic studies, and in vitro biological activity of new cis-diamminebis-cholylglycinate (O, O′) Pt (II) and cis-diamminebis-ursodeoxycholate (O, O′) Pt (II) complexes. Bioconjugate Chem. 2000, 11, 167–174. [Google Scholar] [CrossRef]
- Briz, O.; Serrano, M.A.; Rebollo, N.; Hagenbuch, B.; Meier, P.J.; Koepsell, H.; Marin, J.J. Carriers involved in targeting the cytostatic bile acid-cisplatin derivatives cis-diammine-chloro-cholylglycinate-platinum (II) and cis-diammine-bisursodeoxycholate-platinum (II) toward liver cells. Mol. Pharmacol. 2002, 61, 853–860. [Google Scholar] [CrossRef]
- Jiang, J.; Han, F.G.; Cai, K.X.; Shen, Q.S.; Yang, C.P.; Gao, A.L.; Yu, J.; Fan, X.M.; Hao, Y.L.; Wang, Z.; et al. Synthesis and biological evaluation of cholic acid-conjugated oxaliplatin as a new prodrug for liver cancer. J. Inorg. Biochem. 2023, 243, 112200. [Google Scholar] [CrossRef] [PubMed]
- Kato, R.; Sato, T.; Iwamoto, A.; Yamazaki, T.; Nakashiro, S.; Yoshikai, S.; Fujimoto, A.; Imano, H.; Ijiri, Y.; Mino, Y.; et al. Interaction of platinum agents, cisplatin, carboplatin and oxaliplatin against albumin in vivo rats and in vitro study using inductively coupled plasma-mass spectrometry. Biopharm. Drug Dispos. 2019, 40, 242–249. [Google Scholar] [CrossRef] [PubMed]
- Paschke, R.; Kalbitz, J.; Paetz, C.; Luckner, M.; Mueller, T.; Schmoll, H.J.; Mueller, H.; Sorkau, E.; Sinn, E. Cholic acid-carboplatin compounds (CarboChAPt) as models for specific drug delivery: Synthesis of novel carboplatin analogous derivatives and comparison of the cytotoxic properties with corresponding cisplatin compounds. J. Inorg. Biochem. 2003, 94, 335–342. [Google Scholar] [CrossRef] [PubMed]








| Cell Line | CP-CA | CP |
|---|---|---|
| HL7702 | 81.91 ± 7.45 | 72.32 ± 8.07 |
| Huh7 | 89.78 ± 9.62 | 98.87 ± 10.24 ** |
| Parameters | CP | CP-CA |
|---|---|---|
| t1/2α (h) | 0.44 ± 0.09 | 0.73 ± 0.58 |
| t1/2β (h) | 5.51 ± 2.40 | 4.80 ± 1.97 |
| Vd1 (L/kg) | 0.27 ± 0.05 | 0.16 ± 0.05 ** |
| Vd2 (L/kg) | 0.64 ± 0.28 | 0.10 ± 0.05 ** |
| CL1 (L/h/kg) | 0.25 ± 0.07 | 0.04 ± 0.01 ** |
| CL2 (L/h/kg) | 0.16 ± 0.06 | 0.33 ± 0.62 |
| AUC0–t (mg/L·h) | 9.31 ± 1.86 | 47.00 ± 8.20 ** |
| AUC0–∞ (mg/L·h) | 11.15 ± 2.90 | 54.46 ± 9.40 ** |
| K10 (1/h) | 0.94 ± 0.35 | 0.32 ± 0.17 ** |
| K12 (1/h) | 0.58 ± 0.18 | 4.04 ± 8.82 |
| K21 (1/h) | 0.27 ± 0.12 | 3.19 ± 5.31 |
| MRT0–t (h) | 1.92 ± 0.68 | 3.38 ± 0.37 ** |
| MRT0–∞ (h) | 4.92 ± 2.51 | 5.56 ± 0.68 |
Disclaimer/Publisher’s Note: The statements, opinions and data contained in all publications are solely those of the individual author(s) and contributor(s) and not of MDPI and/or the editor(s). MDPI and/or the editor(s) disclaim responsibility for any injury to people or property resulting from any ideas, methods, instructions or products referred to in the content. |
© 2024 by the authors. Licensee MDPI, Basel, Switzerland. This article is an open access article distributed under the terms and conditions of the Creative Commons Attribution (CC BY) license (https://creativecommons.org/licenses/by/4.0/).
Share and Cite
Lan, Y.; Han, F.; Gao, A.; Fan, X.; Hao, Y.; Wang, Z.; Liu, W.; Jiang, J.; Liu, Q. The Synthesis and Pharmacokinetics of a Novel Liver-Targeting Cholic Acid-Conjugated Carboplatin in Rats. Inorganics 2024, 12, 184. https://doi.org/10.3390/inorganics12070184
Lan Y, Han F, Gao A, Fan X, Hao Y, Wang Z, Liu W, Jiang J, Liu Q. The Synthesis and Pharmacokinetics of a Novel Liver-Targeting Cholic Acid-Conjugated Carboplatin in Rats. Inorganics. 2024; 12(7):184. https://doi.org/10.3390/inorganics12070184
Chicago/Turabian StyleLan, Yinyin, Fuguo Han, Anli Gao, Xuemei Fan, Yanli Hao, Zhao Wang, Weiping Liu, Jing Jiang, and Qingfei Liu. 2024. "The Synthesis and Pharmacokinetics of a Novel Liver-Targeting Cholic Acid-Conjugated Carboplatin in Rats" Inorganics 12, no. 7: 184. https://doi.org/10.3390/inorganics12070184
APA StyleLan, Y., Han, F., Gao, A., Fan, X., Hao, Y., Wang, Z., Liu, W., Jiang, J., & Liu, Q. (2024). The Synthesis and Pharmacokinetics of a Novel Liver-Targeting Cholic Acid-Conjugated Carboplatin in Rats. Inorganics, 12(7), 184. https://doi.org/10.3390/inorganics12070184

