Functionalization of Na2Ca2Si3O9/Ca8Si5O18 Nanostructures with Chitosan and Terephthalaldehyde Crosslinked Chitosan for Effective Elimination of Pb(II) Ions from Aqueous Media
Abstract
1. Introduction
2. Results and Discussion
2.1. Identification of the Products
2.2. Adsorption of Pb(II) Ions from Aqueous Media
2.2.1. Influence of pH
2.2.2. Influence of Contact Time
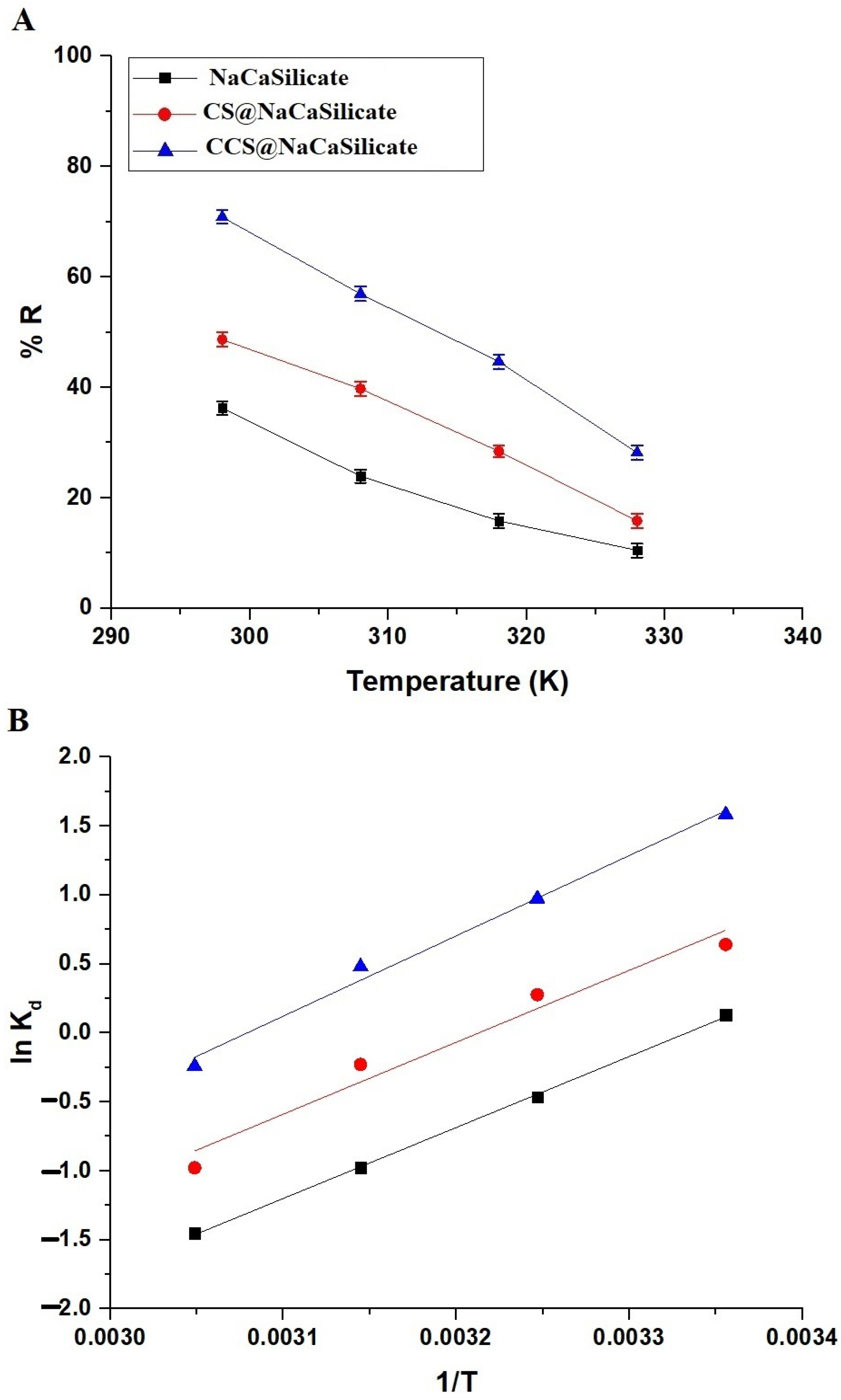
2.2.3. Influence of Temperature
2.2.4. Influence of Initial Concentration
2.2.5. Influence of Desorption and Reusability
3. Experimental
3.1. Materials
3.2. Fabrication of Adsorbents
3.2.1. Fabrication of Na2Ca2Si3O9/Ca8Si5O18 Nanostructures
3.2.2. Modification of Na2Ca2Si3O9/Ca8Si5O18 Nanostructures by Chitosan
3.2.3. Modification of Na2Ca2Si3O9/Ca8Si5O18 Nanostructures via Chitosan Crosslinked with Terephthalaldehyde
3.3. Instrumentation
3.4. Adsorption of Pb(II) Ions from Aqueous Media
3.5. Determination of the Point of Zero Charge (pHPZC) for the Fabricated Adsorbents
4. Conclusions
Author Contributions
Funding
Data Availability Statement
Conflicts of Interest
References
- Yu, T.; Wang, J.; Ding, N.; Guo, X.; Wang, M.; Chen, Y. Tourmaline for Heavy Metals Removal in Wastewater Treatment : A Review. J. Ind. Eng. Chem. 2024, 131, 44–53. [Google Scholar] [CrossRef]
- Fei, Y.; Hu, Y.H. Recent Progress in Removal of Heavy Metals from Wastewater: A Comprehensive Review. Chemosphere 2023, 335, 139077. [Google Scholar] [CrossRef] [PubMed]
- He, T.; Li, Q.; Lin, T.; Li, J.; Bai, S.; An, S.; Kong, X.; Song, Y.F. Recent Progress on Highly Efficient Removal of Heavy Metals by Layered Double Hydroxides. Chem. Eng. J. 2023, 462, 142041. [Google Scholar] [CrossRef]
- Di, L.; Chen, X.; Lu, J.; Zhou, Y.; Zhou, Y. Removal of Heavy Metals in Water Using Nano Zero-Valent Iron Composites: A Review. J. Water Process Eng. 2023, 53, 103913. [Google Scholar] [CrossRef]
- Shamim, M.A.; Zia, H.; Zeeshan, M.; Khan, M.Y.; Shahid, M. Metal Organic Frameworks (MOFs) as a Cutting-Edge Tool for the Selective Detection and Rapid Removal of Heavy Metal Ions from Water: Recent Progress. J. Environ. Chem. Eng. 2022, 10, 106991. [Google Scholar] [CrossRef]
- Xiang, H.; Min, X.; Tang, C.J.; Sillanpää, M.; Zhao, F. Recent Advances in Membrane Filtration for Heavy Metal Removal from Wastewater: A Mini Review. J. Water Process Eng. 2022, 49, 103023. [Google Scholar] [CrossRef]
- Abdelwahab, O.; Thabet, W.M. Natural Zeolites and Zeolite Composites for Heavy Metal Removal from Contaminated Water and Their Applications in Aquaculture Systems: A Review. Egypt. J. Aquat. Res. 2023, 49, 431–443. [Google Scholar] [CrossRef]
- Guo, L.; Zhang, S.F.; Ju, B.Z.; Yang, J.Z.; Quan, X. Removal of Pb(II) from Aqueous Solution by Cross-Linked Starch Phosphate Carbamate. J. Polym. Res. 2006, 13, 213–217. [Google Scholar] [CrossRef]
- Guo, M.; Chen, H.; Luo, Z.; Lian, Z.; Wei, W. Selective Removal of Pb(II) Ions from Aqueous Solutions by Acrylic Acid/Acrylamide Comonomer Grafted Polypropylene Fibers. Fibers Polym. 2017, 18, 1459–1467. [Google Scholar] [CrossRef]
- Ali, S.M.; El Mansop, M.A.; Galal, A.; El Wahab, S.M.A.; El-Etr, W.M.T.; El-Abdeen, H.A.Z. Removal of Pb(II) Ions by Cellulose Modified-LaFeO3 Sorbents from Different Biomasses. BMC Chem. 2023, 17, 148. [Google Scholar] [CrossRef]
- Kim, J.G.; Ku, J.; Jung, J.; Park, Y.S.; Choi, G.H.; Hwang, S.S.; Lee, J.H.; Lee, A.S. Ion-Exchangeable and Sorptive Reinforced Membranes for Efficient Electrochemical Removal of Heavy Metal Ions in Wastewater. J. Clean. Prod. 2024, 438, 140779. [Google Scholar] [CrossRef]
- Patel, P.K.; Pandey, L.M.; Uppaluri, R.V.S. Highly Effective Removal of Multi-Heavy Metals from Simulated Industrial Effluent through an Adsorption Process Employing Carboxymethyl-Chitosan Composites. Environ. Res. 2024, 240, 117502. [Google Scholar] [CrossRef] [PubMed]
- Chen, Q.; Yao, Y.; Li, X.; Lu, J.; Zhou, J.; Huang, Z. Journal of Water Process Engineering Comparison of Heavy Metal Removals from Aqueous Solutions by Chemical Precipitation and Characteristics of Precipitates. J. Water Process Eng. 2018, 26, 289–300. [Google Scholar] [CrossRef]
- Efome, J.E.; Rana, D.; Matsuura, T.; Lan, C.Q. Effects of Operating Parameters and Coexisting Ions on the Efficiency of Heavy Metal Ions Removal by Nano-Fibrous Metal-Organic Framework Membrane Filtration Process. Sci. Total Environ. 2019, 674, 355–362. [Google Scholar] [CrossRef] [PubMed]
- Küçük, M.E.; Makarava, I.; Kinnarinen, T.; Häkkinen, A. Simultaneous Adsorption of Cu(II), Zn(II), Cd(II) and Pb(II) from Synthetic Wastewater Using NaP and LTA Zeolites Prepared from Biomass Fly Ash. Heliyon 2023, 9, e20253. [Google Scholar] [CrossRef] [PubMed]
- Joseph, I.V.; Tosheva, L.; Doyle, A.M. Simultaneous Removal of Cd(II), Co(II), Cu(II), Pb(II), and Zn(II) Ions from Aqueous Solutions via Adsorption on FAU-Type Zeolites Prepared from Coal Fly Ash. J. Environ. Chem. Eng. 2020, 8, 103895. [Google Scholar] [CrossRef]
- Hassan, S.S.M.; El-Aziz, M.E.A.; Fayez, A.E.S.; Kamel, A.H.; Youssef, A.M. Synthesis and Characterization of Bio-Nanocomposite Based on Chitosan and CaCO3 Nanoparticles for Heavy Metals Removal. Int. J. Biol. Macromol. 2024, 255, 128007. [Google Scholar] [CrossRef] [PubMed]
- Sharifi, M.J.; Nouralishahi, A.; Hallajisani, A. Fe3O4-Chitosan Nanocomposite as a Magnetic Biosorbent for Removal of Nickel and Cobalt Heavy Metals from Polluted Water. Int. J. Biol. Macromol. 2023, 248, 125984. [Google Scholar] [CrossRef]
- Eissa, M.E.; Sakr, A.K.; Hanfi, M.Y.; Sayyed, M.I.; Al-Otaibi, J.S.; Abdel-lateef, A.M.; Cheira, M.F.; Abdelmonem, H.A. Physicochemical Investigation of Mercury Sorption on Mesoporous Thioacetamide/Chitosan from Wastewater. Chemosphere 2023, 341, 140062. [Google Scholar] [CrossRef]
- Salih, S.S.; Shihab, M.A.; Mohammed, H.N.; Kadhom, M.; Albayati, N.; Ghosh, T.K. Chitosan-Vermiculite Composite Adsorbent: Preparation, Characterization, and Competitive Adsorption of Cu(II) and Cd(II) Ions. J. Water Process Eng. 2024, 59, 105044. [Google Scholar] [CrossRef]
- Shao, Z.; Jiang, X.; Lin, Q.; Wu, S.; Zhao, S.; Sun, X.; Cheng, Y.; Fang, Y.; Li, P. Nano-selenium Functionalized Chitosan Gel Beads for Hg(II) Removal from Apple Juice. Int. J. Biol. Macromol. 2024, 261, 129900. [Google Scholar] [CrossRef] [PubMed]
- Wang, H.; Liu, R.; Chen, Q.; Mo, Y.; Zhang, Y. Biochar-Supported Starch/Chitosan-Stabilized Nano-Iron Sulfide Composites for the Removal of Lead Ions and Nitrogen from Aqueous Solutions. Bioresour. Technol. 2022, 347, 126700. [Google Scholar] [CrossRef]
- Zhang, S.; Lv, T.; Mu, Y.; Zheng, J.; Meng, C. High Adsorption of Cd (II) by Modification of Synthetic Zeolites Y, A and Mordenite with Thiourea. Chin. J. Chem. Eng. 2020, 28, 3117–3125. [Google Scholar] [CrossRef]
- Zhang, S.; Cui, M.; Chen, J.; Ding, Z.; Wang, X.; Mu, Y.; Meng, C. Modification of Synthetic Zeolite X by Thiourea and Its Adsorption for Cd (II). Mater. Lett. 2019, 236, 233–235. [Google Scholar] [CrossRef]
- Li, Z.; Wang, L.; Meng, J.; Liu, X.; Xu, J.; Wang, F.; Brookes, P. Zeolite-Supported Nanoscale Zero-Valent Iron: New Findings on Simultaneous Adsorption of Cd(II), Pb(II), and As(III) in Aqueous Solution and Soil. J. Hazard. Mater. 2018, 344, 1–11. [Google Scholar] [CrossRef] [PubMed]
- Abdelrahman, E.A.; El-Dougdoug, W.; Kotp, Y.H. Facile Hydrothermal Synthesis of Novel Zeolite Nanostructures for the Efficient Removal of Pb(II) and Hg(II) Ions from Aqueous Media. Silicon 2023, 15, 7453–7475. [Google Scholar] [CrossRef]
- Abdelrahman, E.A.; Algethami, F.K.; AlSalem, H.S.; Al-Goul, S.T.; Saad, F.A.; El-Sayyad, G.S.; Alghanmi, R.M.; Rehman, K. ur Remarkable Removal of Pb(II) Ions from Aqueous Media Using Facilely Synthesized Sodium Manganese Silicate Hydroxide Hydrate/Manganese Silicate as a Novel Nanocomposite. J. Inorg. Organomet. Polym. Mater. 2023, 34, 1208–1220. [Google Scholar] [CrossRef]
- Pal, D.; Sen, S. Optimal Synthesis of Dolochar Derived Faujasite Zeolite X for Highly Effective Cd(II) Removal. Environ. Res. 2024, 240, 117494. [Google Scholar] [CrossRef] [PubMed]
- Najafi, F. Removal of Zinc(II) Ion by Graphene Oxide (GO) and Functionalized Graphene Oxide–Glycine (GO–G) as Adsorbents from Aqueous Solution: Kinetics Studies. Int. Nano Lett. 2015, 5, 171–178. [Google Scholar] [CrossRef]
- He, Z.; Ren, B.; Hursthouse, A.; Wang, Z.A. Efficient Removal of Cd(II) Using SiO2-Mg(OH)2 Nanocomposites Derived from Sepiolite. Int. J. Environ. Res. Public Health 2020, 17, 2223. [Google Scholar] [CrossRef]
- Ismail, M.; Albadri, A.; Ben Aissa, M.A.; Modwi, A.; Saleh, S.M. High Poisonous Cd Ions Removal by Ru-ZnO-g-C3N4 Nanocomposite: Description and Adsorption Mechanism. Inorganics 2023, 11, 176. [Google Scholar] [CrossRef]
- Visa, A.; Maranescu, B.; Lupa, L.; Crisan, L.; Borota, A. New Efficient Adsorbent Materials for the Removal of Cd(II) from Aqueous Solutions. Nanomaterials 2020, 10, 899. [Google Scholar] [CrossRef] [PubMed]
- Wu, Y.; Zhao, Y.; Xu, Z.; Wang, R.; Zhang, H.; Feng, S.; Guo, J. Efficient Removal of Cadmium (II) and Arsenic (V) from Water by the Composite of Iron Manganese Oxides Loaded Muscovite. Water 2023, 15, 3579. [Google Scholar] [CrossRef]
- Al-wasidi, A.S.; Abdelrahman, E.A. Simple Synthesis and Characterization of Cobalt Ferrite Nanoparticles for the Successful Adsorption of Indigo Carmine Dye from Aqueous Media. Inorganics 2023, 11, 453. [Google Scholar] [CrossRef]
- Alhalili, Z.; Abdelrahman, E.A. Facile Synthesis and Characterization of Manganese Ferrite Nanoparticles for the Successful Removal of Safranine T Dye from Aqueous Solutions. Inorganics 2024, 12, 30. [Google Scholar] [CrossRef]
- Velarde, L.; Nikjoo, D.; Escalera, E.; Akhtar, F. Bolivian Natural Zeolite as a Low-Cost Adsorbent for the Adsorption of Cadmium: Isotherms and Kinetics. Heliyon 2024, 10, e24006. [Google Scholar] [CrossRef]
- Hussain, M.S.; Musharraf, S.G.; Bhanger, M.I.; Malik, M.I. Salicylaldehyde Derivative of Nano-Chitosan as an Efficient Adsorbent for Lead(II), Copper(II), and Cadmium(II) Ions. Int. J. Biol. Macromol. 2020, 147, 643–652. [Google Scholar] [CrossRef]
- Zhao, F.; Repo, E.; Yin, D.; Sillanpää, M.E.T. Adsorption of Cd(II) and Pb(II) by a Novel EGTA-Modified Chitosan Material: Kinetics and Isotherms. J. Colloid Interface Sci. 2013, 409, 174–182. [Google Scholar] [CrossRef] [PubMed]
- Ngah, W.S.W.; Fatinathan, S. Pb(II) Biosorption Using Chitosan and Chitosan Derivatives Beads: Equilibrium, Ion Exchange and Mechanism Studies. J. Environ. Sci. 2010, 22, 338–346. [Google Scholar] [CrossRef]
- Ahmad, R.; Mirza, A. Facile One Pot Green Synthesis of Chitosan-Iron Oxide (CS-Fe2O3) Nanocomposite: Removal of Pb(II) and Cd(II) from Synthetic and Industrial Wastewater. J. Clean. Prod. 2018, 186, 342–352. [Google Scholar] [CrossRef]
- Singh, S.; Basavaraju, U.; Kumar, T.S.S.; Kumar, S.; Khan, N.A.; Singh, J.; Singh, L.; Ramamurthy, P.C. Graphene Oxide-Based Novel MOF Nanohybrid for Synergic Removal of Pb (II) Ions from Aqueous Solutions : Simulation and Adsorption Studies. Environ. Res. 2023, 216, 114750. [Google Scholar] [CrossRef] [PubMed]
- Liang, X.; Hou, W.; Xu, J. Sorption of Pb(II) on Mg-Fe Layered Double Hydroxide. Chin. J. Chem. 2009, 27, 1981–1988. [Google Scholar] [CrossRef]
- Waly, S.M.; El-wakil, A.M.; El-maaty, W.M.A.; Awad, F.S. Efficient Removal of Pb (II) and Hg (II) Ions from Aqueous Solution by Amine and Thiol Modified Activated Carbon. J. Saudi Chem. Soc. 2021, 25, 101296. [Google Scholar] [CrossRef]














| Products | % Si | % Ca | % O | % Na | % C | % N |
|---|---|---|---|---|---|---|
| NaCaSilicate | 19.38 | 13.36 | 63.25 | 4.01 | ---- | ---- |
| CS@NaCaSilicate | 13.89 | 4.86 | 48.39 | 3.84 | 26.26 | 2.76 |
| CCS@NaCaSilicate | 7.94 | 1.05 | 50.73 | 2.96 | 32.54 | 4.78 |
| Samples | Total Pore Volume (cc/g) | Average Pore Size (nm) | BET Surface Area (m2/g) |
|---|---|---|---|
| NaCaSilicate | 0.3680 | 48.51 | 30.35 |
| CS@NaCaSilicate | 0.1529 | 35.93 | 17.02 |
| CCS@NaCaSilicate | 0.1199 | 52.25 | 9.18 |
| Products | % Si | % Ca | % O | % Na | % C | % N | % Pb |
|---|---|---|---|---|---|---|---|
| NaCaSilicate | 17.01 | 11.72 | 55.48 | ---- | ---- | ---- | 15.79 |
| CS@NaCaSilicate | 11.57 | 4.05 | 40.31 | ---- | 21.87 | 2.29 | 19.91 |
| CCS@NaCaSilicate | 6.12 | 0.80 | 38.21 | ---- | 24.59 | 3.61 | 26.67 |
| Products | QExp (mg/g) | Pseudo-First-Order | Pseudo-Second-Order | ||||
|---|---|---|---|---|---|---|---|
| Qe (mg/g) | k1 (1/min) | R2 | Qe (mg/g) | k2 (g/mg.min) | R2 | ||
| NaCaSilicate | 181.44 | 124.41 | 0.0234 | 0.9796 | 177.62 | 0.0004 | 0.9994 |
| CS@NaCaSilicate | 243.32 | 98.53 | 0.0279 | 0.9157 | 238.09 | 0.0009 | 0.9999 |
| CCS@NaCaSilicate | 354.32 | 154.81 | 0.0323 | 0.9401 | 357.14 | 0.0005 | 0.9999 |
| Products | ∆H (kJ/mol) | ∆S (kJ/mol kelvin) | ∆G (kJ/mol) | |||
|---|---|---|---|---|---|---|
| 298 | 308 | 318 | 328 | |||
| NaCaSilicate | −42.99 | 0.1433 | −85.70 | −87.13 | −88.57 | −89.99 |
| CS@NaCaSilicate | −43.56 | 0.1399 | −85.26 | −86.66 | −88.06 | −89.46 |
| CCS@NaCaSilicate | −48.65 | 0.1498 | −93.29 | −94.79 | −96.29 | −97.79 |
| Products | Langmuir | Freundlich | |||||
|---|---|---|---|---|---|---|---|
| Qm (mg/g) | kL (L/mg) | R2 | Qm (mg/g) | kF (mg/g) (L/mg)1/n | 1/n | R2 | |
| NaCaSilicate | 185.53 | 0.3796 | 0.9998 | 203.18 | 93.22 | 0.1411 | 0.5655 |
| CS@NaCaSilicate | 245.70 | 1.0912 | 0.9999 | 281.29 | 135.49 | 0.1323 | 0.7407 |
| CCS@NaCaSilicate | 359.71 | 1.0146 | 0.9999 | 490.63 | 163.12 | 0.1994 | 0.7989 |
| Adsorbents | Adsorption Capacity (mg/g) | Ref. |
|---|---|---|
| Salicylaldehyde/chitosan composite | 123.67 | [37] |
| EGTA/chitosan composite | 106 | [38] |
| Chitosan | 34.98 | [39] |
| Chitosan-iron oxide composite | 214.92 | [40] |
| Graphene oxide/MOF nanohybrid | 254.45 | [41] |
| Mg-Fe layered double hydroxide | 78.73 | [42] |
| Thiol-modified activated carbon | 310.9 | [43] |
| NaCaSilicate | 185.53 | This study |
| CS@NaCaSilicate | 245.70 | This study |
| CCS@NaCaSilicate | 359.71 | This study |
Disclaimer/Publisher’s Note: The statements, opinions and data contained in all publications are solely those of the individual author(s) and contributor(s) and not of MDPI and/or the editor(s). MDPI and/or the editor(s) disclaim responsibility for any injury to people or property resulting from any ideas, methods, instructions or products referred to in the content. |
© 2024 by the authors. Licensee MDPI, Basel, Switzerland. This article is an open access article distributed under the terms and conditions of the Creative Commons Attribution (CC BY) license (https://creativecommons.org/licenses/by/4.0/).
Share and Cite
Al-Farraj, E.S.; Alotaibi, A.N.; Abdelrahman, E.A.; Saad, F.A.; Rehman, K.u.; Algethami, F.K.; Shah, R.K. Functionalization of Na2Ca2Si3O9/Ca8Si5O18 Nanostructures with Chitosan and Terephthalaldehyde Crosslinked Chitosan for Effective Elimination of Pb(II) Ions from Aqueous Media. Inorganics 2024, 12, 113. https://doi.org/10.3390/inorganics12040113
Al-Farraj ES, Alotaibi AN, Abdelrahman EA, Saad FA, Rehman Ku, Algethami FK, Shah RK. Functionalization of Na2Ca2Si3O9/Ca8Si5O18 Nanostructures with Chitosan and Terephthalaldehyde Crosslinked Chitosan for Effective Elimination of Pb(II) Ions from Aqueous Media. Inorganics. 2024; 12(4):113. https://doi.org/10.3390/inorganics12040113
Chicago/Turabian StyleAl-Farraj, Eida S., Abdullah N. Alotaibi, Ehab A. Abdelrahman, Fawaz A. Saad, Khalil ur Rehman, Faisal K. Algethami, and Reem K. Shah. 2024. "Functionalization of Na2Ca2Si3O9/Ca8Si5O18 Nanostructures with Chitosan and Terephthalaldehyde Crosslinked Chitosan for Effective Elimination of Pb(II) Ions from Aqueous Media" Inorganics 12, no. 4: 113. https://doi.org/10.3390/inorganics12040113
APA StyleAl-Farraj, E. S., Alotaibi, A. N., Abdelrahman, E. A., Saad, F. A., Rehman, K. u., Algethami, F. K., & Shah, R. K. (2024). Functionalization of Na2Ca2Si3O9/Ca8Si5O18 Nanostructures with Chitosan and Terephthalaldehyde Crosslinked Chitosan for Effective Elimination of Pb(II) Ions from Aqueous Media. Inorganics, 12(4), 113. https://doi.org/10.3390/inorganics12040113

