Achieving Ultra-Low-Sulfur Model Diesel Through Defective Keggin-Type Heteropolyoxometalate Catalysts
Abstract
1. Introduction
2. Results and Discussion
2.1. XRD Analysis and Rietveld Refinement
2.2. Textural Properties of H3PW12O40/SBA−15
2.3. Morphological Features
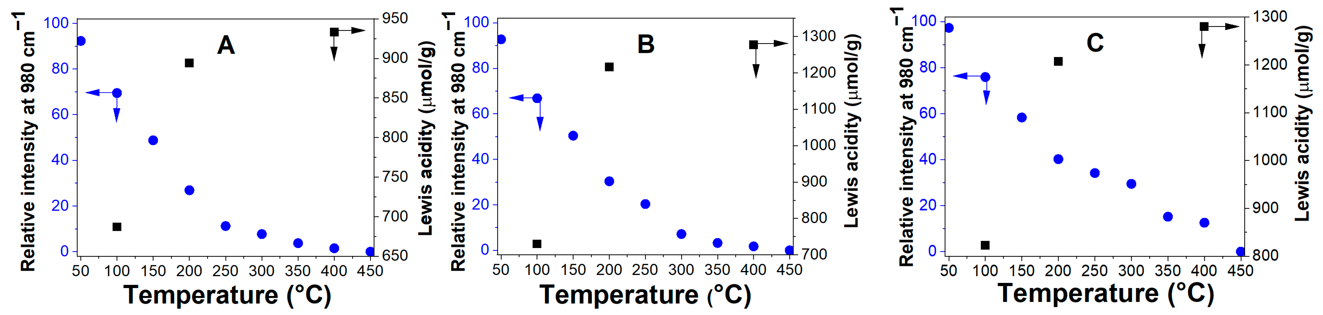
2.4. In Situ FTIR Characterization
2.5. Surface Acidity
2.6. XPS Analysis
2.7. Catalytic Evaluation Results
2.7.1. Optimization of Reaction Parameters
2.7.2. Effect of Fuel Composition on DBT Removal
2.7.3. Correlation of Oxygen Defects and Surface Acidity with Catalytic Activity
2.7.4. Catalytic Mechanisms
2.7.5. Catalyst Reusability
3. Experimental
3.1. SBA−15 and H3PMo12O40/SBA−15 Synthesis
3.2. Characterization
3.3. Surface Acidity Measurements
3.4. Structure Refinement with Rietveld Method
3.5. Catalytic Evaluation
4. Conclusions
Supplementary Materials
Author Contributions
Funding
Data Availability Statement
Acknowledgments
Conflicts of Interest
References
- Taschner, K. Environmentalists’ review on automotive exhaust gases. In Catalysis and Automotive Pollution Control II, Studies in Surface Science and Catalysis; Crucq, A., Ed.; Elsevier: Amsterdam, The Netherlands; Oxford, UK; New York, NY, USA; Tokyo, Japan, 1991; Volume 71, pp. 5–15. [Google Scholar]
- Stanislaus, A.; Marafi, A.; Rana, M.S. Recent advances in the science and technology of ultra-low sulfur diesel (ULSD) production. Catal. Today 2010, 153, 1–68. [Google Scholar] [CrossRef]
- Babich, J.A.; Moulijn, J.A. Science and technology of novel processes for deep desulfurization of oil refinery streams: A review. Fuel 2003, 82, 607–631. [Google Scholar] [CrossRef]
- Song, C.S. An overview of new approaches to deep desulfurization for ultra-clean gasoline, diesel fuel and jet fuel. Catal. Today 2003, 86, 211–263. [Google Scholar] [CrossRef]
- Pawelec, B.; Navarro, R.M.; Campos-Martin, J.M.; Fierro, J.L.G. Towards near zero-sulfur liquid fuels: A perspective review. Catal. Sci. Technol. 2001, 1, 23–42. [Google Scholar] [CrossRef]
- Castillo, P.; Ramírez, J.; Cuevas, R.; Vázquez, P.; Castaneda, R. Influence of the support on the catalytic performance of Mo, CoMo, and NiMo catalysts supported on Al2O3 and TiO2 during the HDS of thiophene, dibenzothiophene, or 4,6-dimethyldibenzothiophene. Catal. Today 2016, 259, 140–149. [Google Scholar] [CrossRef]
- Prince, R.C.; Grossman, M.J. Substrate preferences in biodesulfurization of diesel range fuels by Rhodococcus sp. Strain ECRD-1. Appl. Environ. Microbiol. 2003, 69, 5833–5838. [Google Scholar] [CrossRef]
- Maghsoudi, S.; Vossoughi, M.; Kheirolomoom, A.; Tanaka, E.; Katoh, S. Biodesulfurization of hydrocarbons and diesel fuels by Rhodococcus sp. strain P32C1. Biochem. Eng. J. 2001, 8, 151–156. [Google Scholar] [CrossRef]
- Yang, J.; Hu, Y.; Zhao, D.; Wang, S.; Lau, P.C.K.; Marison, I.W. Two-layer continuous-process design for the biodesulfurization of diesel oils under bacterial growth conditions. Biochem. Eng. J. 2007, 37, 212–218. [Google Scholar] [CrossRef]
- Yu, G.X.; Jin, M.; Sun, J.; Zhou, X.L.; Chen, L.F.; Wang, J.A. Oxidative modifications of rice hull-based carbons for dibenzothiophene adsorptive removal. Catal. Today 2013, 212, 31–37. [Google Scholar] [CrossRef]
- Timko, M.T.; Wang, J.A.; Burgess, J.; Kracke, P.; Gonzalez, L.; Jaye, C.; Fischer, D.A. Roles of surface chemistry and structural defects of activated carbons in the oxidative desulfurization of benzothiophenes. Fuel 2016, 163, 223–231. [Google Scholar] [CrossRef]
- Gonzlez, L.A.; Kracke, P.; Green, W.H.; Tester, J.W.; Shafer, L.M.; Timko, M.T. Oxidative Desulfurization of Middle-Distillate Fuels Using Activated Carbon and Power Ultrasound. Energy Fuels 2012, 26, 5164–5176. [Google Scholar] [CrossRef]
- Wei, S.; He, H.; Cheng, Y.; Yang, C.; Zeng, G.; Qiu, L. Performances, kinetics and mechanisms of catalytic oxidative desulfurization from oils. RSC Adv. 2016, 6, 103253–103269. [Google Scholar] [CrossRef]
- Campos-Martin, J.M.; Capel-Sanchez, M.C.; Perez-Presas, P.; Fierro, J.L.G. Oxidative processes of desulfurization of liquid fuels. J. Chem. Technol. Biotechnol. 2010, 85, 879–890. [Google Scholar] [CrossRef]
- Yan, X.M.; Mei, P.; Xiong, L.; Gao, L.; Yang, Q.; Gong, L. Mesoporous titania-silica- polyoxometalate nanocomposite materials for catalytic oxidation desulfurization of fuel oil. Catal. Sci. Technol. 2013, 3, 1985–1992. [Google Scholar] [CrossRef]
- Ma, X.L.; Zhou, A.N.; Song, C.S. A novel method for oxidative desulfurization of liquid hydrocarbon fuels based on catalytic oxidation using molecular oxygen coupled with selective adsorption. Catal. Today 2007, 123, 276–284. [Google Scholar] [CrossRef]
- Wang, D.; Qian, E.W.; Amano, H.; Okata, K.; Ishihara, A.; Kabe, T. Oxidative desulfurization of fuel oil Part I. Oxidation of dibenzothiophenes using tert-butyl hydroperoxide. Appl. Catal. A 2003, 253, 91–99. [Google Scholar] [CrossRef]
- De Filipps, P.; Scarsella, M. Functionalized hexagonal mesoporous silica as an oxidizing agent for the oxidative desulfurization of oorganosulfur compounds. Ind. Eng. Chem. Res. 2008, 47, 973–975. [Google Scholar] [CrossRef]
- Eseva, E.A.; Lukashov, M.O.; Cherednichenko, K.A.; Levin, I.S.; Akopyan, A.V. Heterogeneous catalysts containing an Anderson-type polyoxometalate for the aerobic oxidation of sulfur-containing compounds. Ind. Eng. Chem. Res. 2021, 60, 14154–14165. [Google Scholar] [CrossRef]
- Anderson, K.; Arkins, M.P.; Borges, P.; Chern, Z.P.; Rafeen, M.S.; Sebran, N.H.; Vander Pool, E.; Vleeming, J.H. Economic analysis of ultrasound-assisted oxidative desulfurization. Energy Sources Part B Econ. Plan. Policy 2017, 12, 297–304. [Google Scholar] [CrossRef]
- González, J.; Wang, J.A.; Chen, L.F.; Manríquez, M.E.; Limas, R.; Arrlleno, U. MoO3/SBA−15 catalysts: Structural defects, surface Lewis acidity and catalytic activity. J. Solid State Chem. 2018, 263, 100–114. [Google Scholar] [CrossRef]
- Ramos, J.M.; Wang, J.A.; Flores, S.O.; Chen, L.F.; Noreña, L.E.; Arellano, U.; González, J.; Navarrete, J. Ultrasound-assisted hydrothermal synthesis of V2O5/Zr-SBA−15 catalysts for production of ultralow sulfur fuel. Catalysts 2021, 11, 408. [Google Scholar] [CrossRef]
- Rodriguez-Gattorno, G.; Galano, A.; Torres-García, E. Surface acid–basic properties of WOx–ZrO2 and catalytic efficiency in oxidative desulfurization. Appl. Catal. B Environ. 2009, 92, 1–8. [Google Scholar] [CrossRef]
- Taghizadeh, M.; Mehrvarz, E.; Taghipour, A. Polyoxometalate as an effective catalyst for the oxidative desulfurization of liquid fuels: A critical review. Rev. Chem. Eng. 2020, 36, 831–858. [Google Scholar] [CrossRef]
- Granadeiro, C.M.; Ferreira, P.M.C.; Julião, D.; Ribeiro, L.A.; Valença, R.; Ribeiro, J.C.; Gonçalves, I.S.; de Castro, B.; Pillinger, M.; Cunha-Silva, L.; et al. Efficient oxidative desulfurization processes using polyoxomolybdate based catalysts. Energies 2018, 11, 1696. [Google Scholar] [CrossRef]
- Gao, Y.; Julião, D.; Silva, D.F.; de Castro, B.; Zhao, J.; Balula, S.S. A simple desulfurization process to achieve high efficiency, sustainability and cost-effectivity via peroxotungstate catalyst. Mol. Catal. 2021, 505, 111515. [Google Scholar] [CrossRef]
- Crawen, M.; Xiao, D.; Kunstmann-Olsen, C.; Kozhevnikova, E.F.; Blanc, F.; Steiner, A.; Kozhevnikov, I.V. Oxidative desulfurization of diesel fuel catalyzed by polyoxometalate immobilized on phosphazene-functionalized silica. Appl. Catal. B Environ. 2018, 231, 82–91. [Google Scholar]
- Qiu, J.; Wang, G.; Zhang, Y.; Zeng, D.; Chen, Y. Direct synthesis of mesoporous H3PMo12O40/SiO2 and its catalytic performance in oxidative desulfurization of fuel oil. Fuel 2015, 147, 195–202. [Google Scholar] [CrossRef]
- Du, Y.; Lei, J.; Zhou, L.; Guo, Z.R.; Li, J.; Du, X. Highly efficient deep desulfurization of fuels by meso/macroporous H3PW12O40/TiO2 at room temperature. Mater. Res. Bull. 2018, 105, 210–219. [Google Scholar]
- Bertleff, B.; Claußnitzer, J.; Korth, W.; Wasserscheid, P.; Jess, A.; Albert, J. Extraction coupled oxidative desulfurization of fuels to sulfate and water-soluble sulfur compounds using polyoxometalate catalysts and molecular oxygen. ACS Sustain. Chem. Eng. 2017, 5, 4110–4118. [Google Scholar] [CrossRef]
- Hossain, M.; Park, H.; Choi, H. A Comprehensive review on catalytic oxidative desulfurization of liquid fuel oil. Catalysts 2019, 9, 229. [Google Scholar] [CrossRef]
- Huang, X.; Wang, W.; Liu, X. H3PW12O40-doped pyromellitic diimide prepared via thermal transformation as an efficient visible-light photocatalyst. J. Mater. Sci. 2020, 55, 8502–8512. [Google Scholar] [CrossRef]
- Frenzel, R.; Morales, D.; Romanelli, G.; Sathicq, G.; Blanco, M.; Pizzio, L. Synthesis, characterization and catalytic evaluation of H3PW12O40 included in acrylic acid/acrylamide polymer for the selective oxidation of sulfides. J. Mol. Catal. A Chem. 2016, 420, 124–133. [Google Scholar] [CrossRef]
- Sing, K.S.W.; Evertt, D.H.; Haul, R.A.W.; Moscou, L.; Pierotti, R.A.; Rouquerol, J.; Siemieniewska, T. Reporting physisorption data for gas/solid systems with special reference to the determination of surface area and porosity. Pure Appl. Chem. 1985, 57, 603–619. [Google Scholar] [CrossRef]
- Janik, M.J.; Campbell, K.A.; Bardin, B.B.; Davis, R.J.; Neurock, M. A computational and experimental study of anhydrous phosphotungstic acid and its interaction with water molecules. Appl. Catal. A Gen. 2003, 256, 51–68. [Google Scholar] [CrossRef]
- Ivanov, A.V.; Vasina, T.V.; Nissenbaum, V.D.; Kustov, L.M.; Timofeeva, M.N.; Houzvicka, J.I. Isomerization of n-hexane on the Pt-promoted Keggin and Dawson tungstophosphoric heteropoly acids supported on zirconia. Appl. Catal. A Gen. 2004, 259, 65–72. [Google Scholar] [CrossRef]
- Zheng, H.; Sun, Z.; Chen, X.; Zhao, Q.; Wang, X.; Jiang, Z. A micro reaction-controlled phase transfer catalyst for oxidative desulfurization based on polyoxometalate modified silica. Appl. Catal. A Gen. 2013, 467, 26–32. [Google Scholar] [CrossRef]
- Narkhede, N.; Brahmkhatri, V.; Patel, A. Efficient synthesis of biodiesel from waste cooking oil using solid acid catalyst comprising 12-tungstosilicic acid and SBA−15. Fuel 2014, 135, 253–261. [Google Scholar] [CrossRef]
- Pham, S.T.; Nguyen, B.M.; Le, G.H.; Mutyala, A.S.S.; Szenti, I.; Konya, Z.; Tuan, A.V. Role of Brønsted and Lewis acidic sites in sulfonated Zr-MCM-41 for the catalytic reaction of cellulose into 5-hydroxymethyl furfural. React. Kinet. Mech. Catal. 2020, 130, 825–836. [Google Scholar] [CrossRef]
- Izumi, Y.; Urabe, K.; Makoto, O. Zeolite, Clay, and Heteropoly Acid in Organic Reactions; Wiley-VCH: Weinheim, Germany, 1992. [Google Scholar]
- Parry, E.P. An infrared study of pyridine adsorbed on acidic solids characterization of surface acidity. J. Catal. 1963, 2, 371–379. [Google Scholar] [CrossRef]
- Sánchez-Valente, J.; Bokhimi, X.; Hernández, F. Physicochemical and catalytic properties of sol–gel alumina aged under hydrothermal conditions. Langmuir 2003, 19, 3583–3588. [Google Scholar] [CrossRef]
- Chen, L.F.; Noreña, L.E.; Wang, J.A.; Zhou, X.L.; Navarrete, J.; Hernández, I.; Montoya, A.; Pérez Romo, P.; Salas, P.; Castella Pergher, S. A study of n-hexane hydroisomerization catalyzed with the Pt/H3PW12O40/Zr-MCM-41 catalysts. Catal. Today 2008, 133–135, 331–338. [Google Scholar] [CrossRef]
- Lia, K.; Zhong, Y.; Luo, S.; Deng, W. Fabrication of powder and modular H3PW12O40/Ag3PO4 composites: Novel visible-light photocatalysts for ultra-fast degradation of organic pollutants in water. Appl. Catal. B Environ. 2020, 278, 119313. [Google Scholar] [CrossRef]
- Newman, A.D.; Brown, D.R.; Siril, P.; Lee, A.F.; Wilson, K. Structural studies of high dispersion H3PW12O40/SiO2 solid acid catalysts. Phys. Chem. Chem. Phys. 2005, 8, 2893. [Google Scholar] [CrossRef] [PubMed]
- Zhou, C.; Gao, N.; Deng, Y.; Chu, W.; Rong, W.; Zhou, S. Factors affecting ultraviolet irradiation/hydrogen peroxide (UV/H2O2) degradation of mixed N-nitrosamines in water. J. Hazard. Mater. 2012, 232, 43–48. [Google Scholar] [CrossRef]
- Graumans, M.H.F.; Hoeben, W.F.L.M.; Russel, F.G.M.; Scheepers, P.T.J. Oxidative degradation of cyclophosphamide using thermal plasma activation and UV/H2O2 treatment in tap water. Environ. Res. 2020, 182, 109046. [Google Scholar] [CrossRef]
- De Filippis, P.; Scarsella, M.; Verdone, N. Peroxyformic acid formation: A kinetic study. Ind. Eng. Chem. Res. 2009, 48, 1372–1375. [Google Scholar] [CrossRef]
- Cogliano, T.; Russo, V.; Turco, R.; Santacesaria, E.; Di Serio, M.; Salmi, T.; Tesser, R. Revealing the role of stabilizers in H2O2 for the peroxyformic acid synthesis and decomposition kinetics. Chem. Eng. Sci. 2022, 251, 117488. [Google Scholar] [CrossRef]
- Salles, L.; Yves, P.J.; Thouvenot, R.; Minot, C.; Marie, B.J. Catalytic epoxidation by heteropolyoxoperoxo complexes: From novel precursors or catalysts to a mechanistic approach. J. Mol. Catal. A Chem. 1997, 117, 375–387. [Google Scholar] [CrossRef]
- Bertleff, B.; Goebel, R.; Claußnitzer, J.; Korth, W.; Skiborowski, M.; Wasserscheid, P.; Jess, A.; Albert, J. Investigations on catalyst stability and product isolation in the extractive oxidative desulfurization of fuels using polyoxometalates and molecular oxygen. ChemCatChem 2018, 10, 4602–4609. [Google Scholar] [CrossRef]
- Rajendran, A.; Fan, H.-X.; Cui, T.-Y.; Feng, J.; Li, W.-Y. Enrichment of polymeric WOx species in WOx@SnO2 catalysts for ultra-deep oxidative desulfurization of liquid fuels. Fuel 2021, 290, 120036. [Google Scholar] [CrossRef]
- Bertleff, B.; Haider, M.S.; Claußnitzer, J.; Korth, W.; Wasserscheid, P.; Jess, A.; Albert, J.J. Extractive catalytic oxidative denitrogenation of fuels and their promoting effect for desulfurization catalyzed by vanadium substituted heteropolyacids and molecular oxygen. Energy Fuels 2020, 34, 8099–8109. [Google Scholar] [CrossRef]
- Otsuki, S.; Nonaka, T.; Takashima, N.; Qian, W.; Ishihara, A.; Imai, T.; Kabe, T. Oxidative Desulfurization of light gas oil and vacuum gas oil by oxidation and solvent extraction. Energy Fuel 2000, 14, 1232–1239. [Google Scholar] [CrossRef]
- Farag, H. Selective adsorption of refractory sulfur species on active carbons and carbon based CoMo catalysts. J. Colloid Interface Sci. 2007, 307, 1–8. [Google Scholar] [CrossRef] [PubMed]
- Lutterotti, L. MAUD Version 2.55. Available online: http://maud.radiographema.com (accessed on 15 May 2022).
















| Sample | Phase | Space Group | Symmetry | Crystallite Size | Lattice Cell Parameters (Å) | Oxygen Defects | Rwp | ||
|---|---|---|---|---|---|---|---|---|---|
| (nm) | a | b | c | (%) | (%) | ||||
| 10A | H3PW12O40·21H2O | Pcca | Orthorhombic | 15.5 | 21.041 | 13.286 | 18.880 | ND | 1.45 |
| H3PW12O40 | Pn-3m | Cubic | 4.7 | 11.860 | ND | ||||
| 10B | H3PW12O40 | Pn-3m | Cubic | 11.7 | 11.772 | 0.10 | 1.40 | ||
| 10C | H3PW12O40 | Pn-3 m | Cubic | 6.8 | 11.722 | ND | 1.12 | ||
| 20A | H3PW12O40·21H2O | Pcca | Orthorhombic | 14.4 | 21.040 | 13.286 | 18.879 | ND | 2.13 |
| H3PW12O40 | Pn-3m | Cubic | 5.4 | 11.874 | ND | ||||
| 20B | H3PW12O40 | Pn-3m | Cubic | 6.6 | 12.141 | 0.1 | 2.31 | ||
| 20C | H3PW12O40 | Pn-3m | Cubic | 6.8 | 11.797 | 14.7 | 2.57 | ||
| 30A | H3PW12O40·21H2O | Pcca | Orthorhombic | 14.4 | 20.788 | 13.086 | 18.876 | ND | 2.36 |
| H3PW12O40 | Pn-3m | Cubic | 7.1 | 11.777 | ND | ||||
| 30B | H3PW12O40 | Pn-3m | Cubic | 12.2 | 12.160 | 5.90 | 2.51 | ||
| 30C | H3PW12O40 | Pn-3m | Cubic | 6.9 | 11.730 | 22.40 | 1.28 | ||
| 40A | H3PW12O40·21H2O | Pcca | Orthorhombic | 17.8 | 20.788 | 13.086 | 18.879 | ND | 1.26 |
| H3PW12O40 | Pn-3m | Cubic | 6.0 | 12.191 | ND | ||||
| 40B | H3PW12O40 | Pn-3m | Cubic | 12.2 | 12.183 | 9.10 | 3.69 | ||
| 40C | H3PW12O40 | Pn-3m | Cubic | 9.3 | 12.183 | 20.50 | 1.42 | ||
| 50A | H3PW12O40·21H2O | Pcca | Orthorhombic | 10.2 | 20.789 | 13.190 | 19.332 | ND | 3.36 |
| H3PW12O40 | Pn-3m | Cubic | 5.1 | 12.101 | 37.31 | 3.52 | |||
| 50B | H3PW12O40 | Pn-3m | Cubic | 12.3 | 12.181 | 34.70 | 4.45 | ||
| 50C | H3PW12O40 | Pn-3m | Cubic | 9.4 | 12.173 | 28.10 | 1.95 |
| Catalysts | Surface Area (m2/g) | Average Pore Size (nm) | Pore Volume (cm3/g) | P (mmol) | W (mmol) | W/S Ratio * |
|---|---|---|---|---|---|---|
| SBA−15 | 715 | 6.5 | 1.15 | 0 | 0 | 0 |
| 10 wt%HPW/SBA−15 | 629 | 7.17 | 1.07 | 0.00069 | 0.0083 | 0.59 |
| 20 wt%HPW/SBA−15 | 563 | 7.22 | 0.90 | 0.00139 | 0.0167 | 1.18 |
| 30 wt%HPW/SBA−15 | 503 | 7.11 | 0.86 | 0.00208 | 0.0252 | 1.77 |
| 40 wt%HPW/SBA−15 | 464 | 7.21 | 0.81 | 0.00278 | 0.0333 | 2.36 |
| 50 wt%HPW/SBA−15 | 411 | 7.15 | 0.78 | 0.00347 | 0.0416 | 2.94 |
| Catalysts | Calcination Temp. (°C) | Lewis Acidity (µmol/g) | Brønsted Acidity (µmol/g) | Total Acidity (µmol/g) |
|---|---|---|---|---|
| 10 wt%HPW/SBA−15 | 100 | 687 | 56 | 743 |
| 20 wt%HPW/SBA−15 | 100 | 730 | 76 | 806 |
| 30 wt%HPW/SBA−15 | 100 | 823 | 162 | 985 |
| 40 wt%HPW/SBA−15 | 100 | 496 | 46 | 542 |
| 50 wt%HPW/SBA−15 | 100 | 389 | 28 | 417 |
| 10 wt%HPW/SBA−15 | 200 | 894 | 62 | 956 |
| 20 wt%HPW/SBA−15 | 200 | 1216 | 160 | 1376 |
| 30 wt%HPW/SBA−15 | 200 | 1207 | 367 | 1574 |
| 40 wt%HPW/SBA−15 | 200 | 1055 | 267 | 1322 |
| 50 wt%HPW/SBA−15 | 200 | 861 | 133 | 994 |
| 10 wt%HPW/SBA−15 | 400 | 933 | 80 | 1013 |
| 20 wt%HPW/SBA−15 | 400 | 1277 | 135 | 1412 |
| 30 wt%HPW/SBA−15 | 400 | 1280 | 238 | 1518 |
| 40 wt%HPW/SBA−15 | 400 | 826 | 113 | 939 |
| 50 wt%HPW/SBA−15 | 400 | 737 | 139 | 876 |
Disclaimer/Publisher’s Note: The statements, opinions and data contained in all publications are solely those of the individual author(s) and contributor(s) and not of MDPI and/or the editor(s). MDPI and/or the editor(s) disclaim responsibility for any injury to people or property resulting from any ideas, methods, instructions or products referred to in the content. |
© 2024 by the authors. Licensee MDPI, Basel, Switzerland. This article is an open access article distributed under the terms and conditions of the Creative Commons Attribution (CC BY) license (https://creativecommons.org/licenses/by/4.0/).
Share and Cite
de la Fuente, N.; Wang, J.A.; Chen, L.; Valenzuela, M.A.; Noreña, L.E.; Rojas, E.; González, J.; He, M.; Peng, J.; Zhou, X. Achieving Ultra-Low-Sulfur Model Diesel Through Defective Keggin-Type Heteropolyoxometalate Catalysts. Inorganics 2024, 12, 274. https://doi.org/10.3390/inorganics12110274
de la Fuente N, Wang JA, Chen L, Valenzuela MA, Noreña LE, Rojas E, González J, He M, Peng J, Zhou X. Achieving Ultra-Low-Sulfur Model Diesel Through Defective Keggin-Type Heteropolyoxometalate Catalysts. Inorganics. 2024; 12(11):274. https://doi.org/10.3390/inorganics12110274
Chicago/Turabian Stylede la Fuente, Natali, Jin An Wang, Lifang Chen, Miguel A. Valenzuela, Luis E. Noreña, Elizabeth Rojas, Julio González, Mu He, Jiang Peng, and Xiaolong Zhou. 2024. "Achieving Ultra-Low-Sulfur Model Diesel Through Defective Keggin-Type Heteropolyoxometalate Catalysts" Inorganics 12, no. 11: 274. https://doi.org/10.3390/inorganics12110274
APA Stylede la Fuente, N., Wang, J. A., Chen, L., Valenzuela, M. A., Noreña, L. E., Rojas, E., González, J., He, M., Peng, J., & Zhou, X. (2024). Achieving Ultra-Low-Sulfur Model Diesel Through Defective Keggin-Type Heteropolyoxometalate Catalysts. Inorganics, 12(11), 274. https://doi.org/10.3390/inorganics12110274

