Improving the Signal-to-Noise Ratio of Photonic Frequency Conversion from 852 nm to 1560 nm Based on a Long-Wavelength Laser-Pumped PPLN Waveguide Module
Abstract
1. Introduction
2. Theoretical Description of Photonic Frequency Conversion
3. Noise Analysis of Frequency Down Conversion Process
4. Experimental Setup and Experimental Results
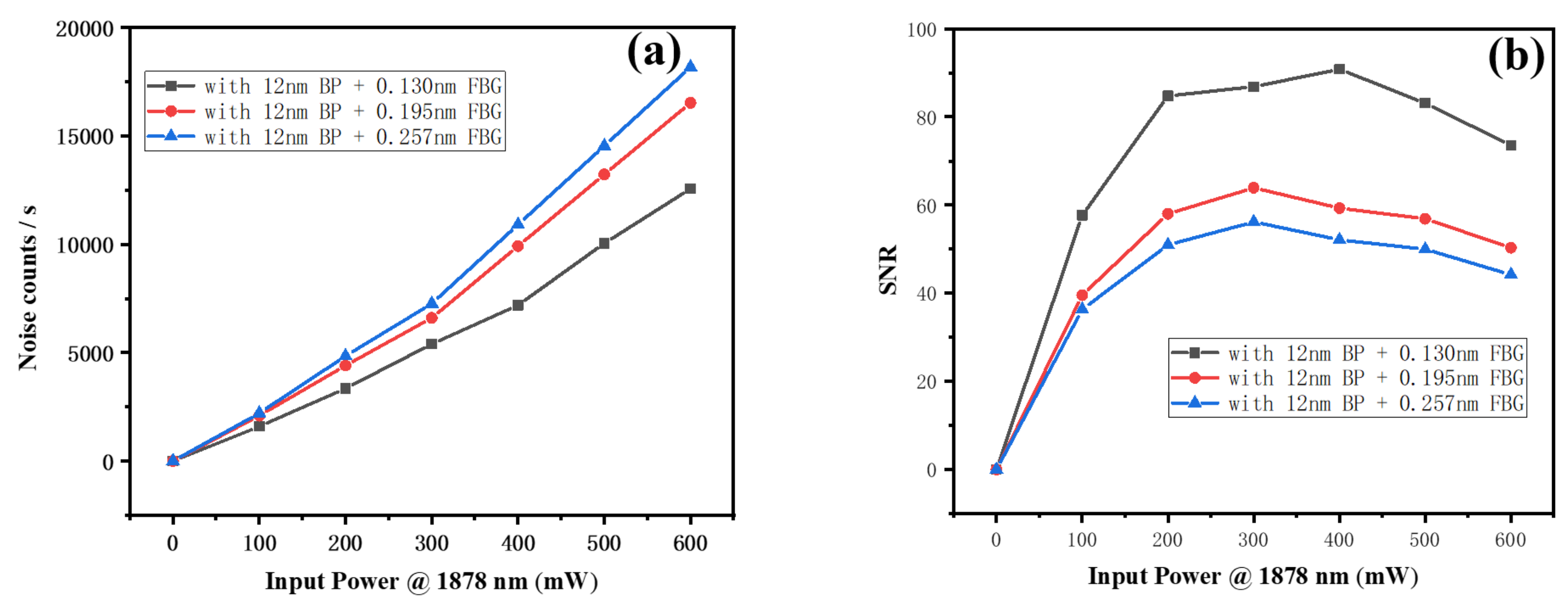
4.1. Comparing the Effects of Filters with Different Bandwidths on SNR
4.2. Noise Analysis of Frequency Down Conversion Process
5. Summary and Outlook
Author Contributions
Funding
Data Availability Statement
Conflicts of Interest
References
- Cirac, J.I.; Zoller, P.; Kimble, H.J.; Mabuchi, H. Quantum state transfer and entanglement distribution among distant nodes in a quantum network. Phys. Rev. Lett. 1997, 78, 3221. [Google Scholar] [CrossRef]
- Kimble, H.J. The quantum internet. Nature 2008, 453, 1023. [Google Scholar] [CrossRef] [PubMed]
- Kumar, P. Quantum frequency conversion. Opt. Lett. 1990, 15, 1476. [Google Scholar] [CrossRef] [PubMed]
- Huang, J.; Kumar, P. Observation of quantum frequency conversion. Phys. Rev. Lett. 1992, 68, 2153. [Google Scholar] [CrossRef] [PubMed]
- Ikuta, R.; Kusaka, Y.; Kitano, T.; Kato, H.; Yamamoto, T.; Koashi, M.; Imoto, N. Wide-band quantum interface for visible-to-telecommunication wavelength conversion. Nat. Commun. 2011, 2, 537. [Google Scholar] [CrossRef] [PubMed]
- Zaske, S.; Lenhard, A.; Keßler, C.A.; Kettler, J.; Hepp, C.; Arend, C.; Albrecht, R.; Schulz, W.M.; Jetter, M.; Michler, P.; et al. Visible-to-telecom quantum frequency conversion of light from a single quantum emitter. Phys. Rev. Lett. 2012, 109, 147404. [Google Scholar] [CrossRef]
- Maring, N.; Farrera, P.; Kutluer, K.; Mazzera, M.; Heinze, G.; de Riedmatten, H. Photonic quantum state transfer between a cold atomic gas and a crysta. Nature 2017, 551, 485. [Google Scholar] [CrossRef]
- Leent, T.; Bock, M.; Garthoff, R.; Redeker, K.; Zhang, W.; Bauer, T.; Rosenfeld, W.; Weinfurter, C.B.H. Long-distance distribution of atom-Photon entanglement at telecom wavelength. Phys. Rev. Lett. 2020, 124, 010510. [Google Scholar] [CrossRef]
- Yu, Y.; Ma, F.; Luo, X.Y.; Jing, B.; Sun, P.F.; Fang, R.Z.; Yang, C.W.; Liu, H.; Zheng, M.Y.; Xie, X.P.; et al. Entanglement of two quantum memories via fibres over dozens of kilometres. J. Abbr. 2008, 10, 142–149. [Google Scholar] [CrossRef]
- Leent, T.; Bock, M.; Fertig, F.; Garthoff, R.; Eppelt, S.; Zhou, Y.; Malik, P.; Seubert, M.; Bauer, T.; Rosenfeld, W.; et al. Entangling single atoms over 33 km telecom fibre. Nature 2022, 607, 69. [Google Scholar] [CrossRef]
- Franken, P.A.; Hill, A.E.; Peters, C.W.; Weinreich, G. Generation of optical harmonics. Phys. Rev. Lett. 1961, 7, 118. [Google Scholar] [CrossRef]
- Giordmaine, J.A. Mixing of light beams in crystals. Phys. Rev. Lett. 1962, 8, 19. [Google Scholar] [CrossRef]
- Maker, P.D.; Terhune, R.W.; Nisenoff, M.; Savage, C.M. Effects of dispersion and focusing on the production of optical harmonics. Phys. Rev. Lett. 1962, 21, 8. [Google Scholar] [CrossRef]
- Armstrong, J.A.; Bloembergen, N.; Ducuing, J.; Pershan, P.S. Interactions between light waves in a nonlinear dielectric. Phys. Rev. Lett. 1962, 127, 1918. [Google Scholar] [CrossRef]
- Kuo, P.S.; Pelc, J.S.; Langrock, C.; Fejer, M.M. Using temperature to reduce noise in quantum frequency conversion. Opt. Lett. 2018, 43, 2034. [Google Scholar] [CrossRef]
- Strassmann, P.C.; Martin, A.; Gisin, N.; Afzelius, M. Spectral noise in frequency conversion from the visible to the telecommunication C-band. Opt. Express 2019, 27, 14298. [Google Scholar] [CrossRef]
- Pelc, S.; Ma, L.; Phillips, C.R.; Zhang, Q.; Langrock, C.; Slattery, O.; Tang, X.; Fejer, M.M. Long-wavelength pumped upconversion single-photon detector at 1550 nm: Performance and noise analysis. Opt. Express 2012, 20, 19075. [Google Scholar] [CrossRef][Green Version]
- Kuo, S.; Pelc, J.S.; Slattery, O.; Kim, Y.S.; Fejer, M.M.; Tang, X. Reducing noise in single-photon-level frequency conversion. Opt. Lett. 2013, 38, 1310. [Google Scholar] [CrossRef]
- Pelc, J.S.; Langrock, C.; Zhang, Q.; Fejer, M.M. Influence of domain disorder on parametric noise in quasi-phase-matched quantum frequency converters. Opt. Lett. 2010, 35, 2804. [Google Scholar] [CrossRef]
- Maring, N.; Lago-Rivera, D.; Lenhard, A.; Heinze, G.; Riedmatten, H.D. Quantum frequency conversion of memory-compatible single photons from 606 nm to the telecom C-band. Optica 2018, 5, 507. [Google Scholar] [CrossRef]
- Zaske, S.; Lenhard, A.; Becker, C. Efficient frequency downconversion at the single photon level from the red spectral range to the telecommunications C-band. Opt. Express 2011, 19, 12825. [Google Scholar] [CrossRef] [PubMed]
- Roussev, R.V.; Langrock, C.; Kurz, J.R.; Fejer, M.M. Periodically poled lithium niobate waveguide sum frequency generator for efficient single-photon detection at communication wavelengths. Opt. Lett. 2004, 29, 1518. [Google Scholar] [CrossRef] [PubMed]
- Langrock, C.; Diamanti, E.; Roussev, R.V.; Yamamoto, Y.; Fejer, M.M.; Takesue, H. Highly efficient single photon detection at communication wavelengths by use of upconversion in reverse-proton-exchanged periodically poled LiNbO3 waveguides. Opt. Lett. 2005, 30, 1725. [Google Scholar] [CrossRef] [PubMed]
- Brunetti, G.; Sasanelli, N.; Armenise, M.; Ciminelli, C. High performance and tunable optical pump-rejection filter for quantum photonic systems. Opt. Laser Technol. 2021, 139, 106978. [Google Scholar] [CrossRef]
- Bock, M.; Eich, P.; Kucera, S.; Kreis, M.; Lenhard, A.; Becher, C.; Eschner, J. High-fidelity entanglement between a trapped ion and a telecom photon via quantum frequency conversion. Nat. Commun. 2018, 9, 1998. [Google Scholar] [CrossRef]
- Law, C.K.; Eberly, J.H. Analysis and Interpretation of High Transverse Entanglement in Optical Parametric Down Conversion. Phys. Rev. Lett. 2004, 92, 127903. [Google Scholar] [CrossRef]
- Ramelow, S.; Fedrizzi, A.; Poppe, A.; Langford, N.K.; Zeilinger, A. Polarization-entanglement-conserving frequency conversion of photons. Phys. Rev. A 2012, 85, 013845. [Google Scholar] [CrossRef]
- Krutyanskiy, V.; Meraner, M.; Schupp, J.; Lanyon, B.P. Polarisation-preserving photon frequency conversion from a trapped-ion-compatible wavelength to the telecom C-band. Appl. Phys. B 2017, 123, 228. [Google Scholar] [CrossRef]









| FBG-Bandwidth | SNR-Max (Pump Power) | -Max (Pump Power) |
|---|---|---|
| 0.257 nm | 52 (300 mW) | 7.9% (650 mW) |
| 0.195 nm | 62 (300 mW) | 7.2% (650 mW) |
| 0.130 nm | 90 (400 mW) | 6.9% (650 mW) |
Publisher’s Note: MDPI stays neutral with regard to jurisdictional claims in published maps and institutional affiliations. |
© 2022 by the authors. Licensee MDPI, Basel, Switzerland. This article is an open access article distributed under the terms and conditions of the Creative Commons Attribution (CC BY) license (https://creativecommons.org/licenses/by/4.0/).
Share and Cite
Guo, M.; Zhang, K.; Zhang, Y.; He, J.; Wang, J. Improving the Signal-to-Noise Ratio of Photonic Frequency Conversion from 852 nm to 1560 nm Based on a Long-Wavelength Laser-Pumped PPLN Waveguide Module. Photonics 2022, 9, 971. https://doi.org/10.3390/photonics9120971
Guo M, Zhang K, Zhang Y, He J, Wang J. Improving the Signal-to-Noise Ratio of Photonic Frequency Conversion from 852 nm to 1560 nm Based on a Long-Wavelength Laser-Pumped PPLN Waveguide Module. Photonics. 2022; 9(12):971. https://doi.org/10.3390/photonics9120971
Chicago/Turabian StyleGuo, Miao, Kong Zhang, Yunhao Zhang, Jun He, and Junmin Wang. 2022. "Improving the Signal-to-Noise Ratio of Photonic Frequency Conversion from 852 nm to 1560 nm Based on a Long-Wavelength Laser-Pumped PPLN Waveguide Module" Photonics 9, no. 12: 971. https://doi.org/10.3390/photonics9120971
APA StyleGuo, M., Zhang, K., Zhang, Y., He, J., & Wang, J. (2022). Improving the Signal-to-Noise Ratio of Photonic Frequency Conversion from 852 nm to 1560 nm Based on a Long-Wavelength Laser-Pumped PPLN Waveguide Module. Photonics, 9(12), 971. https://doi.org/10.3390/photonics9120971

