Optical Pattern Formation in a Rydberg-Dressed Atomic Gas with Non-Hermitian Potentials
Abstract
1. Introduction
2. Model
3. Realization of Non-Hermitian Optical Potentials
3.1. Constant-Intensity Wave Solution
3.2. Realization of -Symmetric Optical Potential
3.3. Realization of Non--Symmetric Optical Potential
4. MI and Pattern Formation for the -Symmetric Periodic Potential
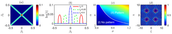
4.1. MI for the -Symmetric Periodic Potential
4.2. Pattern Formation for the -Symmetric Periodic Potential
5. MI and Pattern Formation for Non--Symmetric Confining Potential
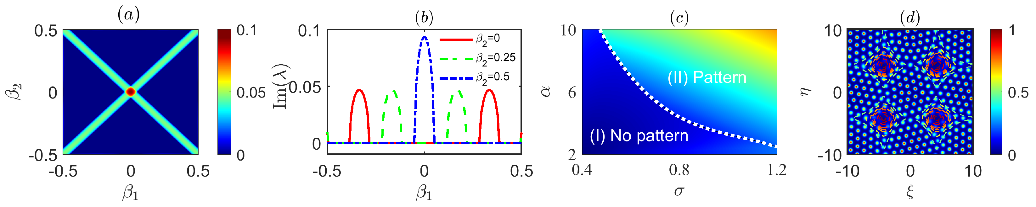
5.1. MI for Non--Symmetric Optical Confining Potential
5.2. Pattern Formation for Non--Symmetric Confining Potential
5.3. Pattern Formation for the Ring-Shaped Non--Symmetric Potential
6. Summary
Author Contributions
Funding
Informed Consent Statement
Data Availability Statement
Acknowledgments
Conflicts of Interest
Abbreviations
| MI | modulation instability |
| SSB | spontaneous symmetry breaking |
| PT | Parity time |
| NNLSE | nonlocal nonlinear Schrödinger equation |
| CIW | constant-intensity wave |
| 2D | two-dimensional |
Appendix A. Optical Bloch Equations for Density Matrix Elements
Appendix B. Detailed Solutions for Density Matrix Elements
Appendix C. Constant Intensity Wave Solutions of the NNLSE
- Periodic potential
- Parabolic (Hermite-Gaussian) potentialwhere can be arbitrary constant. Without loss of generality, we choose .
- Ring-shaped potentialHere is the generalized hypergeometric function, is the incomplete gamma function, and is the generalized incomplete gamma function.
References
- Bénard, H. Les tourbillons cellulaires dans une nappe liquide—Méthodes optiques d’observation et d’enregistrement. J. Phys. Theor. Appl. 1901, 10, 254–266. [Google Scholar] [CrossRef]
- Taylor, G.I. Stability of a viscous liquid contained between two rotating cylinders. Philos. Trans. R. Soc. Lond. Ser. A 1923, 102, 541–542. [Google Scholar]
- Benjamin, T.B.; Feir, J.E. The disintegration of wave trains on deep water. J. Fluid Mech. 1967, 27, 417–430. [Google Scholar] [CrossRef]
- Murray, J.D. Mathematical Biology II: Spatial Models and Biomedical Applications, 3rd ed.; Springer: Berlin/Heidelberg, Germany, 1993. [Google Scholar]
- Escaff, D.; Fernandez-Oto, C.; Clerc, M.G.; Tlidi, M. Localized vegetation patterns, fairy circles, and localized patches in arid landscapes. Phys. Rev. E 2015, 91, 022924. [Google Scholar] [CrossRef] [PubMed]
- Meron, E. Pattern formation in excitable media. Phys. Rep. 1992, 218, 1–66. [Google Scholar] [CrossRef]
- Petrov, V.; Ouyang, Q.; Swinney, H.L. Resonant pattern formation in a chemical system. Nature 1997, 388, 655–657. [Google Scholar] [CrossRef]
- Newell, A.C.; Passot, T.; Lega, J. Order parameter equations for patterns. Annu. Rev. Fluid Mech. 1993, 25, 399–453. [Google Scholar] [CrossRef]
- Likos, C.N. Effective interactions in soft condensed matter physics. Phys. Rep. 2001, 348, 267–439. [Google Scholar] [CrossRef]
- Makris, K.G.; Musslimani, Z.H.; Christodoulides, D.N.; Rotter, S. Constant-intensity waves and their modulational instability in non-Hermitian potentials. Nat. Commun. 2015, 6, 7257. [Google Scholar] [CrossRef]
- Sarma, A.K. Modulation instability in nonlinear complex parity-time () symmetric periodic structures. J. Opt. Soc. Am. B 2014, 31, 1861–1866. [Google Scholar] [CrossRef]
- Cole, J.T.; Makris, K.G.; Musslimani, Z.H.; Christodoulides, D.N.; Rotter, S. Modulational instability in a symmetric vector nonlinear Schrödinger system. Physica D 2016, 336, 53–61. [Google Scholar] [CrossRef]
- Krolikowski, W.; Bang, O.; Wyller, J. Modulational instability in nonlocal nonlinear Kerr media. Phys. Rev. E 2001, 64, 016612. [Google Scholar] [CrossRef] [PubMed]
- Królikowski, W.; Bang, O.; Nikolov, N.I.; Neshev, D.; Wyller, J.; Rasmussen, J.J.; Edmundson, D. Modulational instability, solitons and beam propagation in spatially nonlocal nonlinear media. J. Opt. B 2004, 6, S288–S294. [Google Scholar] [CrossRef]
- Esbensen, B.K.; Wlotzka, A.; Bache, M.; Bang, O.; Krolikowski, W. Modulational instability and solitons in nonlocal media with competing nonlinearities. Phys. Rev. A 2011, 84, 053854. [Google Scholar] [CrossRef]
- Maucher, F.; Pohl, T.; Krolikowski, W.; Skupin, S. Pattern formation in the nonlinear Schrödinger equation with competing nonlocal nonlinearities. Opt. Data Process. Storage 2017, 3, 13–19. [Google Scholar] [CrossRef]
- Doktorov, E.V.; Molchan, M.A. Modulational instability in nonlocal Kerr-type media with random parameters. Phys. Rev. A 2007, 75, 053819. [Google Scholar] [CrossRef]
- Maucher, F.; Pohl, T.; Skupin, S.; Krolikowski, W. Self-organization of light in optical media with competing nonlinearities. Phys. Rev. Lett. 2016, 116, 163902. [Google Scholar] [CrossRef]
- Zhang, Y.C.; Walther, V.; Pohl, T. Long-range interactions and symmetry breaking in quantum gases through optical feedback. Phys. Rev. Lett. 2018, 121, 073604. [Google Scholar] [CrossRef]
- Henkel, N.; Nath, R.; Pohl, T. Three-dimensional roton excitations and supersolid formation in Rydberg-excited Bose-Einstein condensates. Phys. Rev. Lett. 2010, 104, 195302. [Google Scholar] [CrossRef]
- Malomed, B.A. Symmetry breaking in laser cavities. Nat. Photon. 2015, 9, 287–289. [Google Scholar] [CrossRef]
- Malomed, B.A. Spontaneous Symmetry Breaking, Self-Trapping, and Josephson Oscillations, 3rd ed.; Springer: Berlin/Heidelberg, Germany, 2013. [Google Scholar]
- Mayteevarunyoo, T.; Malomed, B.A.; Dong, G. Spontaneous symmetry breaking in a nonlinear double-well structure. Phys. Rev. A 2008, 78, 053601. [Google Scholar] [CrossRef]
- Dror, N.; Malomed, B.A. Solitons supported by localized nonlinearities in periodic media. Phys. Rev. A 2011, 83, 033828. [Google Scholar] [CrossRef]
- Demokritov, S.O.; Serga, A.A.; Hillebrands, B.; Kostylev, M.P.; Kalinikos, B.A. Experimental observation of symmetry-breaking nonlinear modes in an active ring. Nature 2003, 426, 159–162. [Google Scholar] [CrossRef] [PubMed]
- Agrawal, G.P. Nonlinear Fiber Optics, 4th ed.; Springer: Berlin/Heidelberg, Germany, 2000. [Google Scholar]
- Hasegawa, A. Generation of a train of soliton pulses by induced modulational instability in optical fibers. Opt. Lett. 1994, 9, 288–290. [Google Scholar] [CrossRef]
- Kibler, B.; Fatome, J.; Finot, C.; Millot, G.; Dias, F.; Genty, G.; Akhmediev, N.; Dudley, J.M. The Peregrine soliton in nonlinear fibre optics. Nat. Phys. 2010, 6, 790–795. [Google Scholar] [CrossRef]
- Nguyen, J.H.V.; Luo, D.; Hulet, R.G. Formation of matter-wave soliton trains by modulational instability. Science 2017, 356, 422–426. [Google Scholar] [CrossRef]
- Arecchi, F.T.; Boccaletti, S.; Ramazza, P. Pattern formation and competition in nonlinear optics. Phys. Rep. 1999, 318, 1–83. [Google Scholar] [CrossRef]
- Lugiato, L.A.; Brambilla, M.; Gatti, A. Optical pattern formation. Adv. At. Mol. Opt. Phys. 1999, 40, 229–306. [Google Scholar]
- Labeyrie, G.; Tesio, E.; Gomes, P.M.; Oppo, G.L.; Firth, W.J.; Robb, G.R.M.; Arnold, A.S.; Kaiser, R.; Ackemann, T. Optomechanical self-structuring in cold atomic gas. Nat. Photon. 2014, 8, 321–325. [Google Scholar] [CrossRef]
- Boettcher, S.; Bender, C.M. Real Spectra in Non-Hermitian Hamiltonians Having PT Symmetry. Phys. Rev. Lett. 1998, 80, 5243. [Google Scholar]
- Bender, C.M. Making sense of non-Hermitian Hamiltonians. Rep. Prog. Phys. 2007, 70, 947–1018. [Google Scholar] [CrossRef]
- Driben, R.; Malomed, B.A. Stability of solitons in parity-time-symmetric couplers. Opt. Lett. 2011, 36, 4323–4325. [Google Scholar] [CrossRef] [PubMed]
- El-Ganainy, R.; Makris, K.G.; Khajavikhan, M.; Musslimani, Z.H.; Rotter, S.; Christodoulides, D.N. Non-Hermitian physics and PT symmetry. Nat. Phys. 2018, 14, 11–19. [Google Scholar] [CrossRef]
- Feng, L.; El-Ganainy, R.; Ge, L. Non-Hermitian photonics based on parity-time symmetry. Nat. Photon. 2017, 11, 752–762. [Google Scholar] [CrossRef]
- Zhao, H.; Feng, L. Parity-time symmetric photonics. Rev. Sci. Nat. 2018, 5, 183–199. [Google Scholar] [CrossRef]
- Feng, L.; Xu, Y.-L.; Fegadolli, W.S.; Lu, M.-H.; Oliveira, J.E.B.; Almeida, V.R.; Chen, Y.-F.; Scherer, A. Experimental demonstration of a unidirectional reflectionless parity-time metamaterial at optical frequencies. Nat. Phys. 2012, 12, 108–113. [Google Scholar] [CrossRef]
- Longhi, S. PT-symmetric laser absorber. Phys. Rev. A 2010, 82, 031801(R). [Google Scholar] [CrossRef]
- Chong, Y.D.; Ge, L.; Stone, A.D. PT-Symmetry Breaking and Laser-Absorber Modes in Optical Scattering Systems. Phys. Rev. Lett. 2011, 106, 093902. [Google Scholar] [CrossRef]
- Sun, Y.; Tan, W.; Li, H.; Li, J.; Chen, H. Experimental Demonstration of a Coherent Perfect Absorber with PT Phase Transition. Phys. Rev. Lett. 2014, 112, 143903. [Google Scholar] [CrossRef]
- Konotop, V.V.; Shchesnovich, V.S.; Zezyulin, D.A. Giant ampliffication of modes in parity-time symmetric waveguides. Phys. Lett. A 2012, 376, 2750. [Google Scholar] [CrossRef]
- Feng, L.; Wong, Z.J.; Ma, R.; Wang, Y.; Zhang, X. Single mode laser by parity-time symmetry breaking. Science 2014, 346, 972–975. [Google Scholar] [CrossRef] [PubMed]
- Hodaei, H.; Miri, M.-A.; Heinrich, M.; Christodoulides, D.N.; Khajavikhan, M. Parity-time-symmetric microring lasers. Science 2014, 346, 975–978. [Google Scholar] [CrossRef] [PubMed]
- Hodaei, H.; Hassan, A.U.; Wittek, S.; Garcia-Gracia, H.; El-Ganainy, R.; Christodoulides, D.N.; Khajavikhan, M. Enhanced sensitivity at higher-order exceptional points. Nature 2017, 548, 187–191. [Google Scholar] [CrossRef] [PubMed]
- Chen, W.; Özdemirş, K.; Zhao, G.; Wiersig, J.; Yang, L. Exceptional points enhance sensing in an optical microcavity. Nature 2017, 548, 192–196. [Google Scholar] [CrossRef] [PubMed]
- Xiao, L.; Zhan, X.; Bian, Z.H.; Wang, K.K.; Zhang, X.; Wang, X.P.; Li, J.; Mochizuki, K.; Kim, D.; Kawakami, N.; et al. Observation of topological edge states in parity-time-symmetric quantum walks. Nat. Phys. 2017, 13, 1117–1123. [Google Scholar] [CrossRef]
- Mohapatra, A.K.; Jackson, T.R.; Adams, C.S. Coherent optical detection of highly excited Rydberg states using electromagnetically induced transparency. Phys. Rev. Lett. 2007, 98, 113003. [Google Scholar] [CrossRef]
- Saffman, M.; Walker, G.T.; Mølmer, K. Quantum information with Rydberg atoms. Rev. Mod. Phys. 2010, 82, 2313. [Google Scholar] [CrossRef]
- Bernien, H.; Schwartz, S.; Keesling, A.; Levine, H.; Omran, A.; Pichler, H.; Choi, S.; Zibrov, A.S.; Endres, M.; Greiner, M.; et al. Probing many-body dynamics on a 51-atom quantum simulator. Nature 2017, 551, 579–584. [Google Scholar] [CrossRef]
- Jing, M.; Hu, Y.; Ma, J.; Zhang, H.; Zhang, L.; Xiao, L.; Jia, S. Atomic superheterodyne receiver based on microwave-dressed Rydberg spectroscopy. Nat. Phys. 2020, 16, 911–915. [Google Scholar] [CrossRef]
- Pritchard, J.D.; Maxwell, D.; Gauguet, A.; Weatherill, K.J.; Jones, M.P.A.; Adams, C.S. Cooperative Atom-Light Interaction in a Blockaded Rydberg Ensemble. Phys. Rev. Lett. 2010, 105, 193603. [Google Scholar] [CrossRef]
- Ding, D.-S.; Busche, H.; Shi, B.-S.; Guo, G.-C.; Adams, C.S. Phase Diagram and Self-Organizing Dynamics in a Thermal Ensemble of Strongly Interacting Rydberg Atoms. Phys. Rev. X 2020, 10, 021023. [Google Scholar] [CrossRef]
- Ding, D.-S.; Liu, Z.-K.; Shi, B.-S.; Guo, G.-C.; Mølmer, K.; Adams, C.S. Enhanced metrology at the critical point of a many-body Rydberg atomic system. Nat. Phys. 2022. [Google Scholar] [CrossRef]
- Liu, Z.-K.; Zhang, L.-H.; Liu, B.; Zhang, Z.-Y.; Guo, G.-C.; Ding, D.-S.; Shi, B.-S. Deep learning enhanced Rydberg multifrequency microwave recognition. Nat. Commun. 2022, 13, 1997. [Google Scholar] [CrossRef]
- Liu, B.; Zhang, L.-H.; Liu, Z.-K.; Zhang, Z.-Y.; Zhu, Z.-H.; Gao, W.; Guo, G.-C.; Ding, D.-S.; Shi, B.-S. Highly Sensitive Measurement of a Megahertz rf Electric Field with a Rydberg-Atom Sensor. Phys. Rev. Appl. 2022, 18, 014045. [Google Scholar] [CrossRef]
- Zhang, L.-H.; Liu, Z.-K.; Liu, B.; Zhang, Z.-Y.; Guo, G.-C.; Ding, D.-S.; Shi, B.-S. Rydberg Microwave-Frequency-Comb Spectrometer. Phys. Rev. Appl. 2022, 18, 014033. [Google Scholar] [CrossRef]
- Gallagher, T.F. Rydberg Atoms; Springer: New York, NY, USA, 2006. [Google Scholar]
- Fleischhauer, M.; Imamoǧlu, A.; Marangos, J.P. Electromagnetically induced transparency: Optics in coherent media. Rev. Mod. Phys. 2005, 77, 633. [Google Scholar] [CrossRef]
- Sevincli, S.; Henkel, N.; Ates, C.; Pohl, T. Nonlocal Nonlinear Optics in Cold Rydberg Gases. Phys. Rev. Lett. 2011, 107, 153001. [Google Scholar] [CrossRef]
- Shi, Z.; Li, W.; Huang, G. Structural phase transitions of optical patterns in atomic gases with microwave controlled Rydberg interactions. Phy. Rev. A 2020, 102, 023519. [Google Scholar] [CrossRef]
- Bai, Z.; Huang, G. Enhanced third-order and fifth-order Kerr nonlinearities in a cold atomic system via Rydberg-Rydberg interaction. Opt. Express 2016, 24, 4442–4461. [Google Scholar] [CrossRef]
- Chen, Z.; Zeng, J. Localized gap modes of coherently trapped atoms in an optical lattice. Opt. Express 2021, 29, 3011–3025. [Google Scholar] [CrossRef]
- Chen, Z.; Liu, X.; Zeng, J. Electromagnetically induced moire optical lattices in a coherent atomic gas. Front. Phys. 2022, 17, 42508. [Google Scholar] [CrossRef]
- Singer, K.; Stanojevic, J.; Weidemuller, M.; Cote, R. Long-range interactions between alkali Rydberg atom pairs correlated to the ns–ns, np–np and nd–nd asymptotes. J. Phys. B At. Mol. Opt. Phys. 2005, 38, S295–S307. [Google Scholar] [CrossRef]
- Petrosyan, D.; Molmer, K. Binding Potentials and Interaction Gates between Microwave-Dressed Rydberg Atoms. Phys. Rev. Lett. 2014, 113, 123003. [Google Scholar] [CrossRef] [PubMed]
- Wadati, M. Construction of Parity-Time Symmetric Potential through the Soliton Theory. J. Phys. Soc. Jpn. 2008, 77, 074005. [Google Scholar] [CrossRef]
- Hang, C.; Huang, G. Parity-time symmetry along with nonlocal optical solitons and their active controls in a Rydberg atomic gas. Phys. Rev. A 2018, 98, 043840. [Google Scholar] [CrossRef]
- Hang, C.; Huang, G.; Konotop, V.V. -symmetry with a system of three-level atoms. Phys. Rev. Lett. 2013, 110, 083604. [Google Scholar] [CrossRef]
- Yang, J. Nonlinear Waves in Integrable and Nonintegrable Systems, 1st ed.; SIAM: Philadelphia, PA, USA, 2010. [Google Scholar]
- Takei, N.; Sommer, C.; Genes, C.; Pupillo, G.; Goto, H.; Koyasu, K.; Chiba, H.; Weidemüller, M.; Ohmori, K. Direct observation of ultrafast many-body electron dynamics in an ultracold Rydberg gas. Nat. Commun. 2016, 7, 13449. [Google Scholar] [CrossRef]






Publisher’s Note: MDPI stays neutral with regard to jurisdictional claims in published maps and institutional affiliations. |
© 2022 by the authors. Licensee MDPI, Basel, Switzerland. This article is an open access article distributed under the terms and conditions of the Creative Commons Attribution (CC BY) license (https://creativecommons.org/licenses/by/4.0/).
Share and Cite
Shi, Z.; Qin, L.; Zhao, X.; Huang, H. Optical Pattern Formation in a Rydberg-Dressed Atomic Gas with Non-Hermitian Potentials. Photonics 2022, 9, 856. https://doi.org/10.3390/photonics9110856
Shi Z, Qin L, Zhao X, Huang H. Optical Pattern Formation in a Rydberg-Dressed Atomic Gas with Non-Hermitian Potentials. Photonics. 2022; 9(11):856. https://doi.org/10.3390/photonics9110856
Chicago/Turabian StyleShi, Zeyun, Lu Qin, Xingdong Zhao, and Haibo Huang. 2022. "Optical Pattern Formation in a Rydberg-Dressed Atomic Gas with Non-Hermitian Potentials" Photonics 9, no. 11: 856. https://doi.org/10.3390/photonics9110856
APA StyleShi, Z., Qin, L., Zhao, X., & Huang, H. (2022). Optical Pattern Formation in a Rydberg-Dressed Atomic Gas with Non-Hermitian Potentials. Photonics, 9(11), 856. https://doi.org/10.3390/photonics9110856

