Dispersion Tailoring and Four-Wave Mixing in Silica Microspheres with Germanosilicate Coating
Abstract
:1. Introduction
2. Methods
2.1. Microresonator Model Description
2.2. Group Velocity Dispersion Calculation and Dispersion Optimization
2.3. Calculation of the Phase-Matching Curves for the Degenerate FWM Process
3. Results
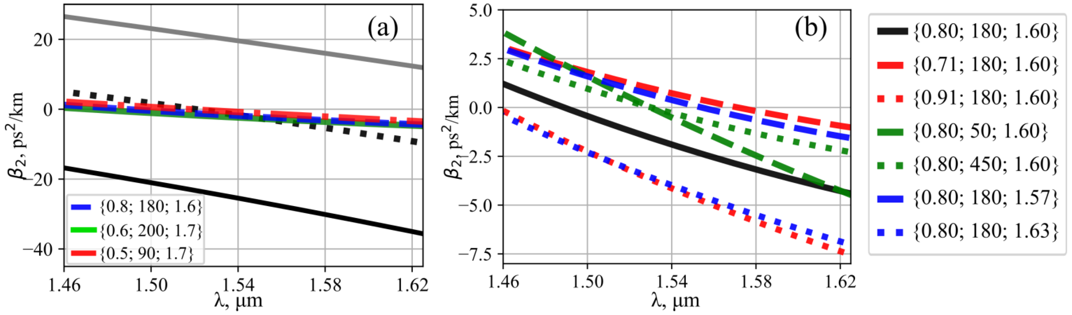
3.1. Dispersion Tailoring
3.2. Four-Wave Mixing
4. Discussion
Author Contributions
Funding
Conflicts of Interest
References
- Suh, M.G.; Yang, Q.F.; Yang, K.Y.; Yi, X.; Vahala, K.J. Microresonator soliton dual-comb spectroscopy. Science 2016, 354, 600–603. [Google Scholar] [CrossRef] [PubMed] [Green Version]
- Yu, M.; Okawachi, Y.; Griffith, A.G.; Lipson, M.; Gaeta, A.L. Microresonator-based high-resolution gas spectroscopy. Opt. Lett. 2017, 42, 4442–4445. [Google Scholar] [CrossRef] [Green Version]
- Toropov, N.; Cabello, G.; Serrano, M.P.; Gutha, R.R.; Rafti, M.; Vollmer, F. Review of biosensing with whispering-gallery mode lasers. Light. Sci. Appl. 2021, 10, 42. [Google Scholar] [CrossRef] [PubMed]
- Zhivotkov, D.; Ristić, D.; Romanova, E.; Ivanda, M. Refractometric gas sensing using a whispering gallery mode microresonator coated with a supra-micron sol-gel layer. Opt. Mater. 2021, 118, 111286. [Google Scholar] [CrossRef]
- Brice, I.; Grundsteins, K.; Atvars, A.; Alnis, J.; Viter, R.; Ramanavicius, A. Whispering gallery mode resonator and glucose oxidase based glucose biosensor. Sens. Actuators B Chem. 2020, 318, 128004. [Google Scholar] [CrossRef]
- Han, Z.; Fast, S.S.; Klotz, E.; Vatnik, I.D.; Churkin, D.V. Optical filtering with axial whispering gallery modes on the surface of tapered optical fibers. Laser Phys. Lett. 2020, 17, 066201. [Google Scholar] [CrossRef]
- Sumetsky, M. SNAP microwave optical filters. Opt. Lett. 2021, 46, 4144–4147. [Google Scholar] [CrossRef] [PubMed]
- Pfeifle, J.; Brasch, V.; Lauermann, M.; Yu, Y.; Wegner, D.; Herr, T.; Hartinger, K.; Schindler, P.; Li, J.; Hillerkuss, D.; et al. Coherent terabit communications with microresonator Kerr frequency combs. Nat. Photon. 2014, 8, 375–380. [Google Scholar] [CrossRef] [PubMed] [Green Version]
- Braunfelds, J.; Murnieks, R.; Salgals, T.; Brice, I.; Sharashidze, T.; Lyashuk, I.; Ostrovskis, A.; Spolitis, S.; Alnis, J.; Porins, J.; et al. Frequency comb generation in WGM microsphere based generators for telecommunication applications. Quantum Electron. 2020, 50, 1043–1049. [Google Scholar] [CrossRef]
- Salgals, T.; Alnis, J.; Murnieks, R.; Brice, I.; Porins, J.; Andrianov, A.V.; Anashkina, E.A.; Spolitis, S.; Bobrovs, V. Demonstration of a fiber optical communication system employing a silica microsphere-based OFC source. Opt. Express 2021, 29, 10903–10913. [Google Scholar] [CrossRef]
- Spolitis, S.; Murnieks, R.; Skladova, L.; Salgals, T.; Andrianov, A.V.; Marisova, M.P.; Leuchs, G.; Anashkina, E.A.; Bobrovs, V. IM/DD WDM-PON communication system based on optical frequency comb generated in silica whispering gallery mode resonator. IEEE Access 2021, 9, 66335–66345. [Google Scholar] [CrossRef]
- Kippenberg, T.J.; Gaeta, A.L.; Lipson, M.; Gorodetsky, M.L. Dissipative Kerr solitons in optical microresonators. Science 2018, 361, eaan8083. [Google Scholar] [CrossRef] [Green Version]
- Ortiz-Ricardo, E.; Bertoni-Ocampo, C.; Maldonado-Terrón, M.; Garcia Zurita, A.; Ramirez-Alarcon, R.; Cruz Ramirez, H.; Castro-Beltrán, R.; U’Ren, A.B. Sub-MHz spectral width photon-pair source based on fused silica microspheres. Photonics Research 2021, 9, 2237–2252. [Google Scholar] [CrossRef]
- Chen, J.; Levine, Z.H.; Fan, J.; Migdall, A.L. Frequency-bin entangled comb of photon pairs from a Silicon-on-Insulator micro-resonator. Opt. Express 2011, 19, 1470–1483. [Google Scholar] [CrossRef]
- Anderson, M.H.; Lihachev, G.; Weng, W.; Liu, J.; Kippenberg, T.J. Zero-dispersion Kerr solitons in optical microresonators. arXiv 2017, arXiv:2007.14507v2. [Google Scholar]
- Dianov, E.M.; Mashinsky, V.M. Germania-based core optical fibers. J. Light. Technol. 2005, 23, 3500–3508. [Google Scholar] [CrossRef]
- Fujimaki, M.; Shimoto, S.; Miyazaki, N.; Ohki, Y.; Seol, K.S.; Imamura, K. Effect of annealing on Ge-doped SiO2 thin films. J. Appl. Phys. 1999, 86, 5270. [Google Scholar] [CrossRef]
- Quartarone, E.; Mustarelli, P.; Marabelli, F.; Battagliarin, M.; Turato, S. GeO2-doped SiO2 sputtered thin films: Microstructure, stoichiometry, and optical properties. J. Vac. Sci. Technol. 2004, 22, 2234. [Google Scholar] [CrossRef]
- Miller, J.W.; Chesaux, M.; Deligiannis, D.; Mascher, P.; Bradley, J.D.B. Low-loss GeO2 thin films deposited by ion-assisted alternating current reactive sputtering for waveguide applications. Thin Solid Films. 2020, 709, 138165. [Google Scholar] [CrossRef]
- Khaled, J.; Fujiwara, T.; Ohama, M.; Ikushima, A.J. Generation of second harmonics in Ge-doped SiO2 thin films by ultraviolet irradiation under poling electric field. J. Appl. Phys. 2000, 87, 2137–2141. [Google Scholar] [CrossRef]
- Ho, C.K.F.; Pita, K.; Ngo, N.Q.; Kam, C.H. Optical functions of (x)GeO2:(1 − x)SiO2 films determined by multi-sample and multi-angle spectroscopic ellipsometry. Opt. Express 2005, 13, 1049–1054. [Google Scholar] [CrossRef]
- Chen, D.-G.; Potter, B.G.; Simmons, J.H. GeO2-SiO2 thin films for planar waveguide applications. J. Non-Cryst. Sol. 1994, 178, 135–147. [Google Scholar] [CrossRef]
- Simmons, K.D.; Stegeman, G.I.; Potter, B.G., Jr.; Simmons, J.H. Photosensitivity in germano-silicate sol-gel thin films. J. Non-Cryst. Sol. 1994, 179, 254–259. [Google Scholar] [CrossRef]
- Potter, B.G., Jr.; Ochoa, R.; Chen, D.G.; Simmons, J.H. Raman scattering investigation of xGeO2-(1 − x)SiO2 planar waveguides. Opt. Lett. 1992, 17, 1349–1351. [Google Scholar] [CrossRef]
- Savchenkov, A.A.; Ilchenko, V.S.; Handley, T.; Maleki, L. Ultraviolet-assisted frequency trimming of optical microsphere resonators. Opt. Lett. 2003, 28, 649–650. [Google Scholar] [CrossRef]
- Inga, M.; Fujii, L.; Filho, J.M.C.S.; Palhares, J.H.Q.; Ferlauto, A.S.; Marques, F.C.; Alegre, T.P.M.; Wiederhecker, G. Alumina coating for dispersion management in ultra-high Q microresonators. APL Photonics 2020, 5, 116107. [Google Scholar] [CrossRef]
- Li, B.B.; Wang, Q.Y.; Xiao, Y.F.; Jiang, X.F.; Li, Y.; Xiao, L.; Gong, Q. On chip, high-sensitivity thermal sensor based on high-Q polydimethylsiloxane-coated microresonator. Appl. Phys. Lett. 2010, 96, 251109. [Google Scholar] [CrossRef]
- Han, M.; Wang, A. Temperature compensation of optical microresonators using a surface layer with negative thermo-optic coefficient. Opt. Lett. 2007, 32, 1800–1802. [Google Scholar] [CrossRef]
- Eroglu, D.; Kulah, H. Quality Factor Enhancement of Lateral Microresonators in Liquid Media by Hydrophobic Coating. J. Microelectromech. Syst. 2011, 20, 1068–1070. [Google Scholar] [CrossRef]
- Anashkina, E.A.; Sorokin, A.A.; Marisova, M.P.; Andrianov, A.V. Development and numerical simulation of spherical microresonators based on SiO2-GeO2 germanosilicate glasses for generation of optical frequency combs. Quantum Electron. 2019, 49, 371–376. [Google Scholar] [CrossRef]
- Riesen, N.; Zhang, W.Q.; Monro, T.M. Dispersion in silica microbubble resonators. Opt. Lett. 2016, 41, 1257–1260. [Google Scholar] [CrossRef] [PubMed]
- Anashkina, E.A.; Marisova, M.P.; Sorokin, A.A.; Andrianov, A.V. Numerical Simulation of Mid-Infrared Optical Frequency Comb Generation in Chalcogenide As2S3 Microbubble Resonators. Photonics 2019, 6, 55. [Google Scholar] [CrossRef] [Green Version]
- Agha, I.H.; Okawachi, Y.; Gaeta, A.L. Theoretical and experimental investigation of broadband cascaded four-wave mixing in high-Q microspheres. Opt. Express 2009, 17, 16209–16215. [Google Scholar] [CrossRef] [PubMed]
- Fleming, J.W. Dispersion in GeO2-SiO2 glasses. Appl. Opt. 1984, 23, 4486. [Google Scholar] [CrossRef] [PubMed]
- Teraoka, I.; Arnold, S. Whispering-gallery modes in a misrosphere coated with a high-refractive index layer: Polarization-dependent sensitivity enhancement of the resonance-shift sensor and TE–TM resonance matching. J. Opt. Soc. Am. B 2007, 24, 653–659. [Google Scholar] [CrossRef] [Green Version]
- Sayson, N.L.B.; Webb, K.E.; Coen, S.; Erkintalo, M.; Murdoch, S.G. Widely tunable optic parametric oscillation in a Kerr microresonator. Opt. Lett. 2017, 42, 5190–5193. [Google Scholar] [CrossRef] [Green Version]
- Anashkina, E.A.; Marisova, M.P.; Salgals, T.; Alnis, J.; Lyashuk, I.; Leuchs, G.; Spolitis, S.; Bobrovs, V.; Andrianov, A.V. Optical frequency combs generated in silica microspheres in the telecommunication C-, U-, and E-bands. Photonics 2021, 8, 345. [Google Scholar] [CrossRef]
- Hansson, T.; Wabnitz, S. Dynamics of microresonator frequency comb generation: Models and stability. Nanophotonics 2016, 5, 231–243. [Google Scholar] [CrossRef] [Green Version]
- Mägi, E.C.; Fu, L.B.; Nguyen, H.C.; Lamont, M.R.E.; Yeom, D.I.; Eggleton, B.J. Enhanced Kerr nonlinearity in sub-wavelength diameter As2Se3 chalcogenide fiber tapers. Opt. Express 2007, 15, 10324–10329. [Google Scholar] [CrossRef]
- Yatsenko, Y.; Mavritsky, A. D-scan measurement of nonlinear refractive index in fibers heavily doped with GeO2. Opt. Lett. 2007, 32, 3257–3259. [Google Scholar] [CrossRef] [Green Version]
- ITU-T Recommendation G.694.1, Spectral Grids for WDM Applications: DWDM Frequency Grid, International Telecommunication Union, Telecommunication Standardization Sector of ITU. 2012, pp. 1–7. Available online: https://www.itu.int/itu-t/recommendations/rec.aspx?rec=11482&lang=en (accessed on 23 October 2021).









| X | R, μm | b, μm | FSR, GHz | J, ps2/km | γ, W−1km−1 |
|---|---|---|---|---|---|
| 0.7 | 150 | 1.6 | 200.9 | 2.8 | 8.7 |
| 0.8 | 150 | 1.6 | 199.0 | 1.7 | 9.5 |
| 0.7 | 100 | 1.6 | 300.4 | 2.2 | 10.7 |
| 0.8 | 100 | 1.6 | 297.6 | 2.0 | 11.7 |
Publisher’s Note: MDPI stays neutral with regard to jurisdictional claims in published maps and institutional affiliations. |
© 2021 by the authors. Licensee MDPI, Basel, Switzerland. This article is an open access article distributed under the terms and conditions of the Creative Commons Attribution (CC BY) license (https://creativecommons.org/licenses/by/4.0/).
Share and Cite
Marisova, M.P.; Andrianov, A.V.; Leuchs, G.; Anashkina, E.A. Dispersion Tailoring and Four-Wave Mixing in Silica Microspheres with Germanosilicate Coating. Photonics 2021, 8, 473. https://doi.org/10.3390/photonics8110473
Marisova MP, Andrianov AV, Leuchs G, Anashkina EA. Dispersion Tailoring and Four-Wave Mixing in Silica Microspheres with Germanosilicate Coating. Photonics. 2021; 8(11):473. https://doi.org/10.3390/photonics8110473
Chicago/Turabian StyleMarisova, Maria P., Alexey V. Andrianov, Gerd Leuchs, and Elena A. Anashkina. 2021. "Dispersion Tailoring and Four-Wave Mixing in Silica Microspheres with Germanosilicate Coating" Photonics 8, no. 11: 473. https://doi.org/10.3390/photonics8110473
APA StyleMarisova, M. P., Andrianov, A. V., Leuchs, G., & Anashkina, E. A. (2021). Dispersion Tailoring and Four-Wave Mixing in Silica Microspheres with Germanosilicate Coating. Photonics, 8(11), 473. https://doi.org/10.3390/photonics8110473

