Next Article in Journal
Athermal Design of Star Tracker Optics with Factor Analysis on Lens Power Distribution and Glass Thermal Property
Previous Article in Journal
Surface Wettability Control Without Knowledge of Surface Topography and Chemistry—A Versatile Approach
 
 
Font Type:
Arial Georgia Verdana
Font Size:
Aa Aa Aa
Line Spacing:
Column Width:
Background:
Article

Research on Distributed Temperature and Bending Sensing Measurement Based on DPP-BOTDA

1
Department of Electronic and Communication Engineering, North China Electric Power University, Baoding 071003, China
2
Hebei Key Laboratory of Power Internet of Things Technology, North China Electric Power University, Baoding 071003, China
*
Author to whom correspondence should be addressed.
Photonics 2025, 12(11), 1056; https://doi.org/10.3390/photonics12111056
Submission received: 17 September 2025 / Revised: 8 October 2025 / Accepted: 20 October 2025 / Published: 24 October 2025

Abstract

Traditional single-mode Brillouin optical time-domain analysis systems are inherently limited in terms of sensing capacity, susceptibility to bending loss, and spatial resolution. Multi-core fibers present a promising approach to overcoming these limitations. In this study, a seven-core fiber was utilized, with the central core and three asymmetrically positioned off-axis cores selected for sensing. The temperature coefficients of the four selected cores were experimentally calibrated as 1.103, 0.962, 1.277, and 0.937 MHz/°C, respectively. By employing differential pulse techniques within the Brillouin distributed sensing system, temperature-compensated bending measurements were achieved with a spatial resolution of 20 cm. The fiber was wound around cylindrical mandrels with diameters of 7 cm, 10 cm, and 15 cm. Experimental results demonstrate effective decoupling of temperature and bending strain, enabling accurate curvature reconstruction. Error analysis reveals a minimum deviation of 0.04% for smaller diameters and 0.68% for larger diameters. Cross-comparison of measurements conducted at varying temperatures confirms the robustness and effectiveness of the proposed temperature compensation method.

1. Introduction

Optical fiber sensing technology has become a key research focus for bending measurement owing to its many advantages [1,2]. Conventional sensing systems generally employ single-mode fibers (SMFs) as the sensing medium. However, because the SMF core is located along the central axis of the fiber bending, its sensitivity to bending-induced strain is relatively low [3,4]. To accurately measure the curvature information of a deformed fiber section, it is essential to have a symmetrically distributed eccentric core positioned away from the central bending axis. As a result, multi-core fibers (MCFs) [5,6,7] have emerged as the mainstream medium for bending measurement research.
Current research on optical fiber bending sensors can be broadly divided into two categories. The first involves quasi-distributed sensing systems based on fiber Bragg gratings (FBGs) [8,9], while the second employs distributed sensing systems that use MCFs as the sensing medium. In 2020, Ahmad A. O. et al. [10] inscribed FBGs into a four-core fiber (comprising one axial core and three eccentric cores arranged at 120° intervals) to develop a bending sensor for monitoring bending and positioning in flexible conduits. In 2021, Zhu L Q et al. [11] inscribed FBGs in a seven-core fiber 160 mm in length, interpolated discrete FBG sensing points, and employed the central core for temperature compensation. Tests on a standard cylindrical helix demonstrated a maximum reconstruction error of 7.45 mm and an average error of 2.82 mm. In 2023, Deng S. H. et al. [12] proposed a quantitative method for monitoring bolt loosening using FBG bending sensors. The method measured the wavelength shift of the FBG bending response induced by changes in the bolt loosening angle, achieving a maximum error of less than 6.19%. In 2024, Ruibin C. et al. [13] employed focused femtosecond laser pulses and point-by-point direct writing to inscribe gratings through the protective coating of specialty fibers. Leveraging the strong directional dependence of dual-core fiber bending behavior, their method achieved a bending sensitivity of 58 pm·m−1 over a curvature range of 0–50 m−1. At present, femtosecond laser inscription has become the dominant technique for FBG fabrication. Nevertheless, constrained by the limited number and spacing of inscribed gratings, quasi-distributed bending measurement systems, while capable of relatively high precision, remain difficult to implement as fully distributed systems.
As early as 2006, Luna Technologies (USA) [14,15] employed an optical frequency domain reflectometry (OFDR) system to perform curvature measurement and shape reconstruction using a 1.1-m MCF. Unlike quasi-distributed bending sensors, OFDR enables the measurement of bending deformation at any point along the fiber [16,17,18]. Constrained by the number and spacing of inscribed gratings, quasi-distributed bending measurement, though precise, remains inherently unsuitable for a fully distributed implementation.
Building on this research background, increasing attention has been directed toward distributed optical fiber bending measurement methods based on Brillouin scattering. In 2016, Zhao Z Y’s team [19] employed a differential pulse-pair Brillouin optical time-domain analysis (DPP-BOTDA) system to investigate the bending characteristics of both central and eccentric cores in an MCF, and calibrated their Brillouin frequency shift (BFS) strain coefficients to be 0.0485568 ± 0.0002495 MHz/με for the central core and 0.0485888 ± 0.0002736 MHz/με for the eccentric cores. In 2018, Angeliki et al. [20] applied a Brillouin optical time-domain reflectometry (BOTDR)-based system to quantify BFS in the central and eccentric cores of a seven-core fiber under varying bending radii, demonstrating the feasibility of BOTDR for MCF bending sensing. In 2020, Jang M et al. [21] realized distributed bending measurements using Brillouin optical coherence-domain analysis (BOCDA) combined with a differential measurement scheme. Their sensing probe, incorporating three optical fibers, enabled a maximum measurable three-dimensional curvature of 143 m−1 with a tip position error of approximately 0.7%. In 2024, Li Y Q et al. [4] developed a BOTDA-based system to acquire Brillouin scattering spectra from bent seven-core fibers and successfully reconstructed bending profiles corresponding to diameters of 5.2 cm and 11.2 cm using a shape restoration algorithm.
MCFs have emerged as critical sensing media in fields such as space-division multiplexing and shape sensing. Analysis of prior experimental results shows that the axial core of a seven-core optical fiber exhibits low sensitivity to bending. However, the composition of an MCF indicates that there will inevitably be issues related to simultaneous sensitivity to temperature and strain during the experimental process. In this work, we employed a DPP-BOTDA system to investigate and measure the temperature response coefficients of the MCF central core and the eccentric core. We leveraged the bending insensitivity of the central core for temperature compensation. Under the combined effects of temperature and bending, we conducted curvature measurements and analyzed the bending degrees corresponding to various bending diameters. Furthermore, we performed additional curvature restoration and error analysis on the measured bends. This study demonstrates a temperature-compensated distributed bending sensing approach using a seven-core fiber and a DPP-BOTDA system. By exploiting the bending insensitivity of the central core for temperature compensation, accurate curvature measurement and reconstruction were achieved under combined thermal and mechanical effects. These results verify the feasibility of decoupling strain and temperature in MCF-based sensors, offering a reliable method for structural health monitoring.

2. Basic Principle

2.1. Differential Pulse Pair—Brillouin Optical Time-Domain Analysis

Inhomogeneities within the fiber core induce Brillouin scattering during light propagation [1]; Brillouin scattering can be classified as either spontaneous or stimulated [22,23,24]. In a conventional BOTDA system, pulsed light and continuous-wave (CW) light are launched from opposite ends of the sensing fiber, with the pulsed light frequency set higher than that of the CW light. By tuning their frequency offset, the stimulated Brillouin scattering (SBS) interaction strength can be controlled. The SBS effect reaches maximum strength when the frequency offset matches the BFS of the fiber [25,26]. Although BOTDA systems offer advantages such as high detection accuracy, long sensing distance, and high signal-to-noise ratio, their spatial resolution is fundamentally limited by the phonon lifetime and is difficult to surpass the meter level. The differential pulse pair technique provides an effective means of overcoming this trade-off, enabling spatial resolution on the order of centimeters.
The operating principle of the DPP-BOTDA system [27,28,29] is illustrated in Figure 1. The DPP-BOTDA system utilizes two pump pulses of relatively long duration. Compared with conventional single-pulse schemes, this dual-pulse configuration avoids the signal-to-noise ratio degradation and spectral broadening associated with excessively narrow pulses. In the sensing fiber of length L 0 , two pulses with widths of τ 1 and τ 2 are successively launched and propagate toward the probe light. The pulse interval τ 3 must satisfy τ 3 2 n L 0 / c . The difference between the two obtained Brillouin gain spectrum (BGS) is taken to obtain a BGS with a corresponding pulse width of the difference between the two pulses ( τ , τ = τ 2 τ 1 ). By using such method, the spatial resolution is determined by the pulse width difference τ .
The principle of obtaining high spatial resolution through difference is shown in Figure 2. The temporal overlap between pump and CW light generates a Stokes intensity profile characterized by a rising edge whose duration matches the pump pulse width. When two pulses of light with different pulse widths enter the optical fiber simultaneously, the intensity of the Stokes light will generate two time-varying curves with rising edges of different widths. By subtracting the two curves, a resultant profile corresponding to the pulse-width difference is obtained, yielding a spatial resolution defined by this difference. By carefully selecting the two pulse widths, spatial resolutions significantly exceeding those of traditional BOTDA systems can be realized. The BGS at each point in the optical fiber can be obtained through frequency sweeping, and from the BFS distribution, the local temperature and strain along the fiber can be precisely demodulated.

2.2. Temperature and Strain Are Cross-Sensitive

During the SBS process, the pump pulse light, Stokes light, and acoustic wave fields follow the law of conservation of dynamic energy. The angular frequencies and wave vectors of the three waves have the following relationships [30]:
ω A = ω p ω s
k A = k p k s
where ω A , k A ; ω s , k s ; and ω p , k p respectively represent the angular frequencies and wave vectors of sound waves, Stokes light, and incident light. At the same time, the sound wave ω A and the space k A need to satisfy the dispersion relationship ( ω A = V A k A 2 V A k p sin ( θ / 2 ) ). θ is the angle between the Stokes light and the pump light, so the variation of the BFS of the Stokes light is related to the scattering Angle. In single-mode optical fibers, θ = π . By using k p = 2 π n / λ p , we can obtain BFS ( v B ) as:
v B = ω A / 2 π = 2 n V A / λ p
where V A represents the speed of sound and n represents the refractive index of the optical fiber. When the ambient temperature where the optical fiber is located or the strain it is subjected to changes, both n and V A in the optical fiber will change accordingly. Let the temperature coefficient be C T and the strain coefficient be C ε , then BFS can be expressed as:
v B ( Δ T , Δ ε ) = v B 0 + C T Δ T + C ε Δ ε
where v B 0 represents the BFS in the initial state, while Δ T and Δ ε denote the changes in temperature and strain, respectively.

2.3. The Principle of Curvature Measurement for Multi-Core Optical Fibers

When MCF is bent, the bending stress experienced by each core inside it is different. In this paper, a seven-core optical fiber is used as the sensing medium, and its simplified model during bending can be represented by Figure 3 [31,32].
The figure shows L the initial length of the optical fiber without stress, R is the radius of curvature of the optical fiber, d is the length between the core and the neutral axis of the bend, and Δ L is the variation length of the core due to the tensile or compressive strain it has received. If the stresses on the L 1 and L 2 sides are ε 1 and ε 2 , then the stress variation on both sides ( Δ ε 1 and Δ ε 2 ) should have the following relationship:
Δ ε 1 = d R = Δ ε 2
Generally, we believe that the ambient temperature at the same position for each core of the MCF is also the same. Then, by selecting any two cores in the MCF and subtracting their BFS, the influence of temperature on the measurement result can be offset, and the following relationship can be obtained:
Δ v B 2 Δ v B 1 = C T Δ T 2 + C ε Δ ε 2 C T Δ T 1 + C ε Δ ε 1 = C T Δ T 2 Δ T 1 + C ε Δ ε 2 Δ ε 1 = C ε 2 d R = 2 C κ κ
where C κ = C ε d is the curvature coefficient of the fiber, and κ = 1 / R is the curvature of the fiber. The Fleiner equation is the most commonly used 3D shape reconstruction algorithm, but when the curve has an inflection point, it is difficult to define the unique continuous Fleiner equation on the curve, resulting in low shape reconstruction accuracy. In this paper, a 3D parallel transmission frame is used. It consists of a tangent vector T s a normal vector N 1 ( s ) , and another curvature component N 2 ( s ) along each point of the curve. T s , N 1 ( s ) , and N 2 ( s ) are composed of the following relations:
T ( s ) N 1 ( s ) N 2 ( s ) = 0 κ 1 ( s ) κ 2 ( s ) κ 1 ( s ) 0 0 κ 2 ( s ) 0 0 T ( s ) N 1 ( s ) N 2 ( s )
where the direction of T s is the bending direction of the curve. Then the curvature κ ( s ) is defined as
κ s = T s
It can be obtained according to Equations (7) and (8).
κ ( s ) = ( κ 1 ( s ) ) 2 + ( κ 2 ( s ) ) 2
where κ 1 ( s ) and κ 2 ( s ) are the two curvature components of κ ( s ) in the directions of N 1 ( s ) and N 2 ( s ) , respectively. Combining Equation (9) with interpolation fitting yields the curvature κ ( s ) .

3. Results and Discussion

In this study, a high-spatial-resolution distributed Brillouin fiber temperature and strain analyzer (RP1020, RealPhotonics Co., Ltd., Anshan, China) was employed. The physical image of its device is shown in Figure 4. The system is based on DPP-BOTDA technology, with a measurement spatial resolution of 20 cm, a sampling resolution of 5 cm, and frequency sweep step of 10 MHz. The principle of its internal system is as follows: the optical signal output from the laser is divided into two paths. One path is modulated as the pulse pump light, and the other serves as the continuous detection light. The two optical signals generate the SBS effect in the optical fiber. The backward-scattered signal is collected and processed to produce the optical time-domain response of the fiber, which is then used for data analysis.

3.1. Temperature Characteristics of Multi-Core Optical Fiber Cores

Currently, multi-core optical fibers are predominantly fabricated through preform drawing. During this process, it is practically impossible to guarantee that the temperature characteristics of all seven single-mode cores are identical. Consequently, directly subtracting the BFS for temperature compensation may introduce errors. To address this, the temperature coefficients of the individual fiber cores were calibrated prior to conducting bending measurements. The homogeneous low-crosstalk MCF produced by YOFC Optical Fibre and Cable Joint Stock Limited Company was selected as the sensor. The cross-sectional diagram of the optical fiber is shown in Figure 5. In deformation measurement, the requirements for accuracy and spatial resolution vary across different application scenarios. The spatial resolution of 20 cm adopted in this study represents a significant improvement over conventional BOTDA systems. This enhanced resolution is particularly suitable for monitoring deformations in critical components of transmission systems, such as transformer windings or major structural hardware deformations. However, the system has certain limitations in detecting minor local deformations.
The central core of the seven-core optical fiber is designated as core 1, and the other cores are evenly distributed at a distance of 41.5 μm from the central core. Meanwhile, the two adjacent eccentric cores form a 60° angle with each other. To balance experimental accuracy and measurement efficiency, only the central core (core 1) and three eccentric cores (cores 3, 5, and 7) were used for the measurements. The total fiber length was 290 m, consisting of 288 m of seven-core fiber and 1 m of lead fiber at both terminations. It is important to note that the BFS of the fan-in/fan-out lead fiber differs from that of the seven-core section and therefore requires separate calibration.
Temperature coefficient calibration was performed on an 80 cm fiber segment positioned between 20 m and 21 m from the front end of the sensing fiber. The selected optical fiber segments were placed in a water bath for heating, and the experimental data of cores numbered 1, 3, 5, and 7 at different temperatures were measured separately. The three-dimensional BGS of the intermediate core 1 and the offset core 7 at 70 °C are shown in Figure 6. From Figure 6, we can clearly see the difference in BFS between the seven-core fiber and the fan-in/fan-out single-mode fiber pigtail. Lorentzian fitting of the experimental data at room temperature (20 °C) yielded a BFS of 10.81 GHz for the single-mode pigtail and 10.68 GHz for the seven-core fiber. In the top-view BGS, the frequency shift of the 80 cm heated section is clearly observable, confirming that the DPP-BOTDA system employed in this study achieves a spatial resolution higher than that of conventional BOTDA systems. Comparing the top-view BGS of cores 1 and 7 in Figure 6c,d, core 1, located at the fiber axis and unaffected by bending, exhibits high Brillouin strength and a relatively uniform BFS along the fiber. In contrast, the eccentric core experiences bending-induced strain, resulting in lower Brillouin intensity and significant BFS variations along the fiber. These observations highlight a key characteristic of multi-core fibers: eccentric cores are sensitive to bending strain, whereas the central core remains essentially strain-insensitive.
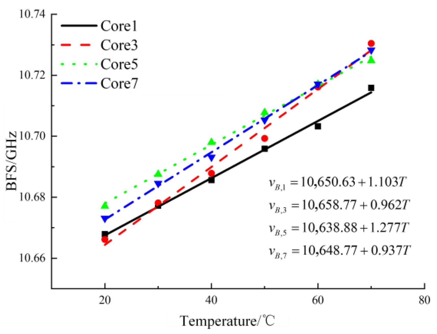
Temperature calibration was performed in 10 °C increments from 20 °C to 70 °C, yielding six datasets for determining the temperature coefficients. Figure 7 shows the temperature-dependent fitting curves for the central core (core 1) and the eccentric cores (cores 3, 5, and 7). The corresponding temperature coefficients were determined to be 1.103, 0.962, 1.277, and 0.937, the unit is MHz/°C. Due to their unique structural design, seven-core optical fibers are susceptible to non-uniform refractive index distribution across individual cores during the tapering process, primarily as a result of uneven stress distribution. This leads to variations in core characteristics. As illustrated in Figure 7, while the temperature coefficient trends of the four selected fiber cores exhibit similar patterns, notable discrepancies in their response coefficients are observed. It is believed that these differences in temperature coefficients mainly arise from inherent manufacturing variations during the production of the seven-core optical fiber. To avoid chance, three identical experiments were conducted and the average of the three was taken.

3.2. Temperature-Compensated Bending Measurement of Multi-Core Optical Fibers

Unlike previous studies that assumed identical temperature responses for all MCF cores, we implemented a refined compensation method: the central core’s BFS is used to determine the local temperature, which is then applied, via the measured temperature coefficients, to correct the BFS of each eccentric core. Subtracting this temperature-induced component from the measured BFS isolates bending-induced strain, enabling accurate curvature reconstruction.
Select the optical fiber at a position of approximately 40 m to 47 m at the front end of the sensing optical fiber, which is about 7 m long. During the winding process, try to ensure that it does not twist and wind it around three discs of different diameters. The length of each disc wound is close to 1 m, with a certain distance in between to wrap around the next disc of the next diameter. The diameters of the three discs are 7 cm, 10 cm, and 15 cm, respectively. Meanwhile, place the three discs into the water bath pot for heating, creating a simultaneous effect of temperature and bending. The physical diagram of the optical fiber layout is shown in Figure 8. It is well recognized that the diameter of bare optical fibers is extremely small. During manual winding procedures, torsional stress is inevitably introduced to varying degrees. At present, two primary approaches are employed to address this issue. The first involves the use of helical multi-core optical fibers, in which pre-stress is applied to the fiber cores during manufacturing to account for additional torsional stress. However, this type of fiber is associated with high production costs. The second approach utilizes torsional algorithms to decouple torsional and bending stresses through data analysis. In this study, we focus on a commonly used seven-core optical fiber-based pre-stressed deformation sensor, aiming to evaluate the effectiveness of the measurement methodology. Great care is taken during fiber deployment, and the stressed segment is maintained within one meter to minimize the influence of torsional stress on measurement accuracy.
The BFS of cores 1, 3, 5, and 7 was collected. Figure 9a shows the BFS of the four cores at the 39.5–47.5 m position of the sensing fiber. It can be seen that the three selected eccentric cores have produced different degrees of bending strain under the action of different bending diameters. Figure 9b shows the temperature information obtained from solving the shaft core. It can be seen that the demodulated temperature distribution appears uneven. This arises from the limitations of our laboratory setup, where the optical fiber was heated by immersion in a water bath. Such a method inevitably introduces temperature non-uniformities. Figure 9c shows the change in BFS of the eccentricity after subtracting the influence of temperature. From the figure, we can distinguish the positions of the three curved sections of the optical fiber, which are approximately at 40.8–41.6 m, 42.6–43.4 m, and 45.5–46.2 m, respectively, corresponding to bending diameters of 7 cm, 10 cm, and 15 cm. It is worth noting that the temperature compensation method developed in this study was specifically designed to accommodate such non-uniform heating conditions, thereby allowing reliable bending measurements. In practical applications, it is equally difficult to guarantee that the temperature of an optical fiber remains perfectly stable or evenly distributed. Therefore, the true significance of temperature compensation lies in mitigating the cross-sensitivity between temperature and bending strain, ensuring that the retrieved bending strain values are as accurate as possible.
It is important to note that during the initial phase of MCF measurement, in addition to calibrating and determining the temperature coefficient, the bending strain coefficient should also be calibrated in theory. In this paper, we selected the bending coefficient data obtained by Professor Zhao Zhiyong’s research group and integrated it into the computational model. In fact, such operations will cause certain errors in the calculation results. Due to reasons such as batch and manufacturer, the strain coefficient of the core of seven-core optical fibers will change. However, due to limitations in experimental conditions, an accurate and controllable strain application platform is currently unavailable. Manual bending methods cannot consistently ensure the same positioning of the fiber core across repeated trials, which compromises the precision required for measuring individual fiber core bending coefficients. As a result, under the current experimental conditions, it is almost impossible to precisely calibrate the strain coefficient of the fiber core. By solving, we can obtain the BFS variation of the 3, 5, and 7 eccentric cores after temperature compensation. Substituting these results into the formula and applying the BFS strain coefficient of 0.0486 MHz/με reported in [19], the strain curves of cores 3, 5, and 7 were derived, as shown in Figure 10. As shown in Figure 10, the measured strain values of the fiber cores include both positive and negative values, corresponding to tensile and compressive strain, respectively. The eccentric core located at the neutral axis of the bend is subjected to a smaller strain value. At the same time, we can also observe that the strain values of the same fiber core at different bending diameter positions are both positive and negative. This occurs because, despite efforts to minimize twisting during the artificial application of bending strain, the fiber inevitably experiences a certain degree of torsion in the middle of the bent sections due to stress redistribution.

3.3. Curvature Calculation and Error Analysis

Using the parallel transmission frame method, the measured eccentric strain values were substituted into a custom algorithm to compute the sum of the curvature components of the bent fiber. The curvature of the corresponding bending sections was then calculated based on Equation (9). The final curvature results are presented in Figure 11. In general, longitudinal strain is the primary parameter measured in optical fibers. This study focuses on the strain induced by bending deformation, where varying degrees of curvature lead to distinct strain magnitudes. The total strain under bending conditions is regarded as the superposition of transverse and longitudinal strain components.
For the first curved section, the maximum curvature obtained was 28.58 m−1 compared to the theoretical value of 28.57 m−1 for a 7 cm bending diameter, yielding an error of only 0.04%. The average curvature was 27.88 m−1, corresponding to an error of 2.50%. For the second section, the maximum curvature was 21.27 m−1, while the theoretical value for a 10 cm diameter was 20.00 m−1, giving an error of 6.35%. The average curvature was 19.69 m−1, with an error of 1.55%. For the third section, the maximum curvature was 14.40 m−1, compared to the theoretical value of 13.33 m−1 for a 15 cm diameter, with an error of 8.02%. The average curvature was 13.24 m−1, corresponding to an error of 0.68%. It is worth noting that the average curvature is calculated by taking the curvature at the midpoint of the bending section to mitigate the impact of fiber disturbances before and after the bending section on the results. The detailed calculation results for each bending section are summarized in Table 1.
The calculated errors indicate that maximum curvature measurements are more accurate for smaller bending diameters, while the error between the maximum measured curvature and the theoretical value increases with larger diameters. Conversely, the average curvature provides higher accuracy for larger bending diameters, with the error decreasing as the diameter increases. Therefore, depending on specific application scenarios or measurement requirements, either the maximum or the average curvature value can be selected for analysis.
To further validate the effectiveness of the proposed temperature compensation method and demonstrate its capability to decouple temperature reliably and strain-induced Brillouin shifts under broader thermal variations, measurements were conducted on a seven-core fiber bent to a diameter of 10 cm. Three temperature conditions were applied using a water bath, with set points of 50 °C, 65 °C, and 80 °C. The corresponding demodulated temperature distributions are presented in Figure 12. As observed, the demodulated temperature within a single bending section appears relatively uniform. In contrast, differences are more pronounced between distinct bending sections. This observation aligns with practical conditions in field deployments, where environmental parameters often vary along different fiber segments. It should also be noted that the inherent limitations of the water bath heating method result in increasing temperature measurement errors at higher set points. Curvature values for the bent sections were then calculated under each temperature condition, with detailed results summarized in Table 2.
As shown in Table 2, the curvature values obtained using the proposed temperature-compensated bending measurement method remain close to the actual curvature across different temperatures, with an average error of 2.5% and a maximum error of 6.35%. Figure 10 further illustrates that temperature demodulation error increases with rising temperature. Consistent with this trend, Table 2 shows that the error in the maximum measured curvature also grows with temperature, reflecting the accumulation of multiple error sources. In contrast, the average curvature of the bending section remains well controlled, with deviations within 1.55% and a minimum error of only 0.45%. These results demonstrate that the average curvature value closely approximates the true curvature. Overall, the findings confirm that the temperature compensation method proposed in this work is both effective and practical. Within a wide temperature range, it enables precise separation of temperature and strain-induced effects in the optical fiber, thereby providing a robust solution to the problem of cross-sensitivity between temperature and strain.

4. Conclusions

In this study, a DPP-BOTDA system with 20 cm spatial resolution was used in conjunction with a 290 m seven-core fiber to implement a distributed bending sensor. In this fiber, core 1 lies at the central axis, while the remaining six cores are symmetrically arranged at a radial distance of 41.5 μm, with adjacent eccentric cores separated by 60°. To balance experimental accuracy and efficiency, measurements focused on core 1 (central) and cores 3, 5, and 7 (eccentric). Prior to bending experiments, temperature calibration was performed to account for core-to-core variations, yielding coefficients of 1.103, 0.962, 1.277, and 0.937 MHz/°C, consistent with standard single-mode fibers. A temperature-compensated bending measurement method was applied: the BFS of the central core was used to determine the local fiber temperature, from which the expected BFS of the eccentric cores was calculated. Subtracting these values from the measured BFS provided the bending strain of each eccentric core, enabling accurate curvature reconstruction. This approach effectively separates temperature and bending effects, demonstrating high precision in distributed curvature measurement for multi-core fibers.
Three bending diameters—7 cm, 10 cm, and 15 cm—were tested under simultaneous temperature and bending conditions. The temperature-compensated measurement method successfully decoupled bending strain from thermal effects, and curvature was reconstructed using the parallel transmission frame algorithm. Error analysis showed a minimum deviation of 0.04% from the actual curvature. The results further indicate that for larger bending diameters, the average curvature provides a closer approximation to the actual value, whereas for smaller diameters, the maximum curvature measurement is more accurate. This insight can guide the selection of appropriate curvature metrics under varying bending conditions, improving the accuracy of structural condition monitoring. Finally, through the measurement and calculation of bending at three different temperatures, the results show that the proposed temperature compensation method effectively separates the temperature and strain effects in multi-core optical fibers and achieves accurate curvature measurement within a wide temperature range, with an average error of only 2.5%. This confirms its practicality and robustness in reliable bending sensing under heating conditions.
Measurement errors arise from multiple sources, including system spatial resolution, sampling rate, torsional forces during fiber winding, and non-uniform temperature distribution among cores. For long-distance and small-scale deformation measurements, it is advisable to explore the integration of chaotic laser measurement technology, either in combination with the BOCDA system or through frequency-domain measurement techniques, to further enhance spatial resolution. To address the influence of torsional stress, stress decoupling algorithms could be incorporated in future work to improve the accuracy of deformation measurements. In this study, the widely used and relatively low-cost water bath heating method was employed. Although the proposed temperature compensation method can mitigate temperature non-uniformity caused by water bath heating, the inherent unevenness introduces uncertainty, complicating the verification of temperature decoupling accuracy. In future studies, more controllable and uniform heating devices, such as climate chambers, could be used for more rigorous testing and validation of the method’s performance. Addressing these factors remains a priority for future research.

Author Contributions

L.Z. and Y.L. conceived the idea and conducted the experiments. L.Z. and Z.L. analyzed the experimental results and reviewed the manuscript and supervised the project. All authors have read and agreed to the published version of the manuscript.

Funding

This research was funded by the Youth Research Special Project of NCUT, grant number: 2025NCUTYRSP031, and the Sichuan Engineering Technology Research Center of Industrial Internet Intelligent Monitoring and Application, grant number: GHGC202506, and the National Natural Science Foundation of China, grant numbers 62171185 and 52177141, and the Basic Scientific Research Business Expenses of Central Universities, grant number 2023MS111.

Institutional Review Board Statement

Not applicable.

Informed Consent Statement

Not applicable.

Data Availability Statement

All data reported in the paper are presented in the main text. Any other data will be provided upon request.

Conflicts of Interest

The authors declare no conflicts of interest.

References

  1. Zhang, L.; Li, Y.; An, Q.; Li, X. Temperature Sensing Technology Based on Rayleigh Brillouin Optical Time Domain Analysis with Pulse Coding. Acta Opt. Sin. 2017, 37, 1106004. [Google Scholar] [CrossRef]
  2. Su, C.; Gao, J.; Liu, X.; Liu, Y.; Ma, Y.; Geng, T. In-fiber single-core modulation in twin-core fiber sensor for sensitivity-enhanced vector bending measurement. Sens. Actuators A Phys. 2025, 383, 116200. [Google Scholar] [CrossRef]
  3. Zhao, Z.; Dang, Y.; Tang, M.; Duan, L.; Wang, M.; Wu, H.; Fu, S.; Tong, W.; Shum, P.P.; Liu, D. Spatial-division multiplexed hybrid Raman and Brillouin optical time-domain reflectometry based on multi-core fiber. Opt. Express 2016, 24, 25111–25118. [Google Scholar] [CrossRef]
  4. Liu, Z.; Wu, J.; Zhang, L.; Li, Y.; Wang, J.; Wang, K. Shape Sensing Based on Brillouin Optical Time Domain Analysis. Acta Photon. Sin. 2024, 53, 102. [Google Scholar] [CrossRef]
  5. Tandon, P.; Zakharian, A. Impact of multicore fiber (MCF) opticals, cross-talk, radiative leakage loss, splice loss and propagation configuration on the system transmission performance. Opt. Commun. 2023, 539, 129483. [Google Scholar] [CrossRef]
  6. Wang, K.; Ji, W.; Xiong, C.; Wang, C.; Qin, Y.; Shen, Y.; Xiao, L. Parallel Farby–Perot Interferometers in an Etched Multicore Fiber for Vector Bending Measurements. Micromachines 2024, 15, 1406. [Google Scholar] [CrossRef] [PubMed]
  7. Wang, H.; Fan, S.; Meng, L.; Xu, Z.; Xia, Q.; Wang, D.; Yuan, T.; Zhang, X.; Yuan, L. Sensitivity-enhanced two-dimensional bending sensor based on single-mode fiber measurement. Opt. Laser Technol. 2024, 177, 111076. [Google Scholar] [CrossRef]
  8. Zhu, Y.; Zhang, X.; Lou, X.; Dong, M.; Zhu, L. An FBG sensor-based glove for remote operation of manipulator. Chin. J. Sci. Instrum. 2024, 45, 148–155. [Google Scholar] [CrossRef]
  9. Zhao, Y.; Hua, Z.; Tang, M.; Peng, H.; Chen, S.; Ma, Y.; Liu, Y.; He, Z. Dual-dip long-period fiber gratings for directional bending measurement. Opt. Commun. 2023, 549, 129901. [Google Scholar] [CrossRef]
  10. Al-Ahmad, O.; Ourak, M.; Van Roosbroeck, J.; Vlekken, J.; Poorten, E.V. Improved FBG-Based Shape Sensing Methods for Vascular Catheterization Treatment. IEEE Robot. Autom. Lett. 2020, 5, 4687–4694. [Google Scholar] [CrossRef]
  11. Liu, Y.; Zhou, A.; Yuan, L. Multifunctional fiber-optic sensor, based on helix structure and fiber Bragg gratings, for shape sensing. Opt. Laser Technol. 2021, 143, 107327. [Google Scholar] [CrossRef]
  12. Deng, S.; Wang, T.; Tan, B.; Lu, G. Theoretical and experimental study on FBG bending sensor for quantitative monitoring of bolt looseness. Measurement 2023, 216, 113002. [Google Scholar] [CrossRef]
  13. Chen, R.; Li, L.; Yu, Q.; Luo, Z.; Lian, Z.; Teng, C.; Qu, H.; Hu, X. Large Range Curvature Measurement Using FBGs in Two-Core Fiber with Protective Coating. Micromachines 2024, 15, 1310. [Google Scholar] [CrossRef]
  14. Duncan, R.G.; Raum, M.T. Characterization of a fiber-optic shape and position sensor. In Proceedings of the SPIE Smart Structures and Materials + Nondestructive Evaluation and Health Monitoring, San Diego, CA, USA, 26 February–2 March 2006. [Google Scholar]
  15. Duncan, R.G.; Froggatt, M.E.; Kreger, S.T.; Seeley, R.J.; Gifford, D.K.; Sang, A.K.; Wolfe, M.S. High-accuracy fiber-optic shape sensing. In Proceedings of the SPIE Smart Structures and Materials + Nondestructive Evaluation and Health Monitoring, San Diego, CA, USA, 26 February–2 March 2007. [Google Scholar]
  16. Westbrook, P.S.; Kremp, T.; Feder, K.S.; Ko, W.; Monberg, E.M.; Wu, H.C.; Simoff, D.A.; Taunay, T.F.; Ortiz, R.M. Continuous Multicore Optical Fiber Grating Arrays for Distributed Sensing Applications. J. Light. Technol. 2017, 35, 1248–1252. [Google Scholar] [CrossRef]
  17. Parent, F.; Loranger, S.; Mandal, K.K.; Iezzi, V.L.; Lapointe, J.; Boisvert, J.-S.; Baiad, M.D.; Kadoury, S.; Kashyap, R. Enhancement of accuracy in shape sensing of surgical needles using optical frequency domain reflectometry in optical fibers. Biomed. Opt. Express 2017, 8, 280977. [Google Scholar] [CrossRef] [PubMed]
  18. Chen, Z.; Wang, C.; Ding, Z.; Zhu, D.; Guo, H.; Pan, M.; Yu, Y.; Liu, K.; Jiang, J.; Liu, T. Demonstration of Large Curvature Radius Shape Sensing Using Optical Frequency Domain Reflectometry in Multi-Core Fibers. IEEE Photonics J. 2021, 13, 9492824. [Google Scholar] [CrossRef]
  19. Zhao, Z.; Soto, M.A.; Tang, M.; Thévenaz, L. Distributed shape sensing using Brillouin scattering in multi-core fibers. Opt. Express 2016, 24, 25211–25223. [Google Scholar] [CrossRef]
  20. Zafeiropoulou, A.; Masoudi, A.; Cooper, L.; Brambilla, G. Distributed shape sensing with a multicore fibre based on BOTDR technique. In Proceedings of the 26th International Conference on Optical Fiber Sensors, Lausanne, Switzerland, 24–28 September 2018. [Google Scholar]
  21. Jang, M.; Choi, J.H.; Kim, J.S.; Song, Y.-W.; Song, K.Y.; Kim, J. High-Accuracy Distributed Bend Sensor Eligible for High-Curvature Structures Based on Brillouin Optical Correlation Domain Analysis. IEEE J. Sel. Top. Quantum Electron. 2020, 26, 9078105. [Google Scholar] [CrossRef]
  22. Zhang, R.; Chen, G.; Sun, J. Analysis of acousto-optic interaction based on forward stimulated Brillouin scattering in hybrid phononic-photonic waveguides. Opt. Express 2016, 24, 13051–13059. [Google Scholar] [CrossRef]
  23. Li, Y.L. Research on Hot Spot Detection Technology of Transformer Winding Based on Brillouin Scattering. Master’s Thesis, North China Electric Power University, Beijing, China, 2024. [Google Scholar]
  24. Xu, Q.Y.; Ma, D.Y.; Li, Y.Z.; Guo, L.F.; Xu, X. Research progress of single-ended stimulated Brillouin optical time-domain sensing technology. Acta Opt. Sin. 2025, 15, 82–95. [Google Scholar]
  25. Yu, C.Y.; Wang, B.W.; Wang, L.; Lv, C. The Application of Neural Network in Brillouin Optical Time Domain Analyzer for Temperature Extraction(Invited). Study Opt. Commun. 2017, 06, 42–47. [Google Scholar] [CrossRef]
  26. Yu, B.F.; Zhu, J.J.; Xu, P.B.; Wen, K.H.; Dong, X.Y. Investigation of Brillouin scattering in high Germania-doped few-mode fiber for bend-resistant sensing. Optoelectron. Lett. 2025, 1–8. [Google Scholar]
  27. Zhang, D.Y.; Yang, Y.; Xu, J.L.; Ni, L.; Li, H. Structural Crack Detection Using DPP-BOTDA and Crack-Induced Features of the Brillouin Gain Spectrum. Sensors 2020, 20, 6947. [Google Scholar] [CrossRef]
  28. Qi, S.M.; Yang, Z.S.; Hong, X.B.; Wu, J. Research Progress of Brillouin Optical Time-Domain Analyzers Based on Optical Pulse Coding. Acta Opt. Sin. 2024, 44, 279–298. [Google Scholar] [CrossRef]
  29. Zhang, X.P.; Zhang, Y.X.; Wang, L.; Yu, K.L.; Liu, B.; Yin, G.L.; Liu, K.; Liu, X.; Li, S.N.; Ding, C.Q.; et al. Current Status and Future of Research and Applications for Distributed Fiber Optic Sensing Technology. Acta Opt. Sin. 2024, 44, 11–73. [Google Scholar]
  30. Wang, J. Modeling Analysis and Optimization Design of Simplex Coding BOTDA System. Master’s Thesis, North China Electric Power University, Beijing, China, 2018. [Google Scholar]
  31. Fan, Y.; Bao, W.J.; Liao, C.R.; Wang, Y.P. Two-Dimensional Vector Displacement Sensing Based on Femtosecond Laser Direct-Writing Multicore Fiber Bragg Grating and Coupled Waveguides. Chin. J. Lasers 2025, 52, 127–135. [Google Scholar]
  32. Wang, J.J.; Tang, R. Shape Coordinate Prediction of Multi-Core Optical Fiber Based on CNN-LSTM Network and Attention Mechanism. Acta Opt. Sin. 2025, 45, 37–44. [Google Scholar]
Figure 1. Schematic diagram of the DPP-BOTDA bending measurement system.
Figure 1. Schematic diagram of the DPP-BOTDA bending measurement system.
Photonics 12 01056 g001
Figure 2. Schematic diagram of differential pulse pairs.
Figure 2. Schematic diagram of differential pulse pairs.
Photonics 12 01056 g002
Figure 3. Simplified model of distributed bending sensor.
Figure 3. Simplified model of distributed bending sensor.
Photonics 12 01056 g003
Figure 4. Physical drawing of the measurement system.
Figure 4. Physical drawing of the measurement system.
Photonics 12 01056 g004
Figure 5. MCF internal structure diagram.
Figure 5. MCF internal structure diagram.
Photonics 12 01056 g005
Figure 6. Time-domain results of core 1 and core 7 at 70 °C. (a) Three-dimensional Brillouin gain diagram of core 1 at 70 °C; (b) three-dimensional Brillouin gain diagram of core 7 at 70 °C; (c) top view of the Brillouin gain chart of core 1 at 70 °C; (d) top view of the Brillouin gain diagram for core 7 at 70 °C.
Figure 6. Time-domain results of core 1 and core 7 at 70 °C. (a) Three-dimensional Brillouin gain diagram of core 1 at 70 °C; (b) three-dimensional Brillouin gain diagram of core 7 at 70 °C; (c) top view of the Brillouin gain chart of core 1 at 70 °C; (d) top view of the Brillouin gain diagram for core 7 at 70 °C.
Photonics 12 01056 g006
Figure 7. Temperature coefficient fitting curves of cores 1, 3, 5, and 7.
Figure 7. Temperature coefficient fitting curves of cores 1, 3, 5, and 7.
Photonics 12 01056 g007
Figure 8. Physical diagram of optical fiber layout.
Figure 8. Physical diagram of optical fiber layout.
Photonics 12 01056 g008
Figure 9. Core 1 and core 3, 5, 7 temperature compensated bending measurements. (a) Brillouin frequency shift of four cores 1, 3, 5, 7 at positions 16.5–19.5 m; (b) temperature information obtained by solving core 1; (c) the change in Brillouin frequency shift of cores 3, 5, and 7 after subtracting the effect of temperature.
Figure 9. Core 1 and core 3, 5, 7 temperature compensated bending measurements. (a) Brillouin frequency shift of four cores 1, 3, 5, 7 at positions 16.5–19.5 m; (b) temperature information obtained by solving core 1; (c) the change in Brillouin frequency shift of cores 3, 5, and 7 after subtracting the effect of temperature.
Photonics 12 01056 g009
Figure 10. Strain curves for core 3, 5, and 7.
Figure 10. Strain curves for core 3, 5, and 7.
Photonics 12 01056 g010
Figure 11. The curvature of the bending section of an optical fiber.
Figure 11. The curvature of the bending section of an optical fiber.
Photonics 12 01056 g011
Figure 12. The temperature demodulation results of the 10 cm bending section at different temperatures.
Figure 12. The temperature demodulation results of the 10 cm bending section at different temperatures.
Photonics 12 01056 g012
Table 1. The Calculation Data Results of Each Bending Section.
Table 1. The Calculation Data Results of Each Bending Section.
Position of the Curved SectionBending Diameter/Curvature (m−1)The Maximum Value of the Curvature Measured (m−1)Maximum Value and Actual Error (%)The Average Value of the Measured Curvature (m−1)Average Value and Actual Error (%)
40.8–41.6 m7 cm/28.5728.580.0427.882.50
42.6–43.4 m10 cm/20.0021.276.3519.691.55
45.5–46.2 m15 cm/13.3314.408.0213.240.68
Table 2. The curvature and error calculation results of the 10 cm bending section at different temperatures.
Table 2. The curvature and error calculation results of the 10 cm bending section at different temperatures.
Bending Diameter/Curvature (m−1)Temperature (°C)The Maximum Value of the Curvature Measured (m−1)Maximum Value and Actual Error (%)The Average Value of the Measured Curvature (m−1)Average Value and Actual Error (%)
10 cm/20.005020.512.5519.771.15
6520.592.9519.910.45
8021.276.3519.691.55
Disclaimer/Publisher’s Note: The statements, opinions and data contained in all publications are solely those of the individual author(s) and contributor(s) and not of MDPI and/or the editor(s). MDPI and/or the editor(s) disclaim responsibility for any injury to people or property resulting from any ideas, methods, instructions or products referred to in the content.

Share and Cite

MDPI and ACS Style

Liu, Z.; Li, Y.; Zhang, L. Research on Distributed Temperature and Bending Sensing Measurement Based on DPP-BOTDA. Photonics 2025, 12, 1056. https://doi.org/10.3390/photonics12111056

AMA Style

Liu Z, Li Y, Zhang L. Research on Distributed Temperature and Bending Sensing Measurement Based on DPP-BOTDA. Photonics. 2025; 12(11):1056. https://doi.org/10.3390/photonics12111056

Chicago/Turabian Style

Liu, Zijuan, Yongqian Li, and Lixin Zhang. 2025. "Research on Distributed Temperature and Bending Sensing Measurement Based on DPP-BOTDA" Photonics 12, no. 11: 1056. https://doi.org/10.3390/photonics12111056

APA Style

Liu, Z., Li, Y., & Zhang, L. (2025). Research on Distributed Temperature and Bending Sensing Measurement Based on DPP-BOTDA. Photonics, 12(11), 1056. https://doi.org/10.3390/photonics12111056

Note that from the first issue of 2016, this journal uses article numbers instead of page numbers. See further details here.

Article Metrics

Back to TopTop