Improving the Quality of the Water Flowing over a Stepped Spillway in Open Canals by Increasing Its Degree of Aeration
Abstract
1. Introduction
- -
- The most effective number of steps (Ns).
- -
- The most effective angle of the back surface of the spillway body (θ°).
- -
- The optimum value of the ratio between the step height and the spillway height (h/H).
2. Literature Review
- ▪
- Modification in rough step geometry could enhance the degree of the water energy dissipation efficiency.
- ▪
- The end sill proved more efficient than the reverse inclined angle.
- ▪
- The steps with inclined slopes proved to be more effective than the steps with end sills having the same size.
- ▪
- It was noticed that the effective length of the reverse inclined angle has not been investigated yet, according to the best of our knowledge. Therefore, it will be studied in the present experimental study.
3. Theoretical Approach and Dimensional Analysis
- Fluid characteristics: ρ is the water density (kg/m3); μ is the dynamic viscosity (kg/m.s); and ơ is the surface tension (kg/s2).
- Spillway Geometry Characteristics: B is the original channel width (m); h is the step height (m); H is the total height of the spillways (m); L is the length of the spillway (m); is the step length (m); Ns is the number of steps; and θ is the angle of the back surface of the spillway.
- Flow characteristics: ∆E is the total energy loss (m); is the critical velocity over the spillway (m/s); is the water velocity just downstream of the spillway (m/s); V0 is the upstream water velocity (m/s); g is the acceleration of gravity (m/s2), Q is the discharge (m3/s); q is the discharge per unit width of channel (m2/s); y is the flow depth over the crest level upstream of the spillway (m); y1 is the flow depth just downstream of the spillway (m); yo is the flow depth upstream of the spillway (m); and is the critical water depth over the spillway (m).
4. Experimental Approach
4.1. First Stage: Estimating the Best Effective Ratio of Step Height to Step Length (h/l)
4.2. Second Stage: Estimating the Best Effective Ratio of Step Height to Spillway Height (h/H)
4.3. Third Stage: Estimating the Best Effective Ratio of Length of Reverse Inclined Step to Step Length (lr/l)
4.4. Fourth Stage: Estimating the Best Effective Ratio of End Sill Radius to Step Height (r/h)
4.5. Fifth Stage: Effect of Staggered Steps Arrangement
- The stepped spillway model with step height to step length ratio (h/l = 0.50), as concluded in stage No. 1, and with the number of steps (Ns = 5), as concluded in stage No. 2.
- The stepped spillway model with the reverse inclined steps has the same dimensions as the stepped spillway, but with the reverse slope with a ratio (lr/l = 0.25), as concluded in stage No. 3.
- The stepped spillway model with a quarter circular end-sill has the same dimensions as the stepped spillway, but with a ratio (r/h = 0.40), as concluded in stage No. 4.
- The traditional spillway model (smooth spillway) has the same dimensions as the stepped spillway but without steps.
- The staggered step spillway model has the same dimensions as the stepped spillway but with staggered step arrangements.
5. Analysis and Discussion
5.1. First Stage: Estimating the Best Effective Ratio (h/l) or Inclination Angle of the Spillway Back Surface (θ°)
5.2. Second Stage: Estimating the Best Effective Ratio of Step Height to Spillway Height (h/H), and Number of Steps (Ns)
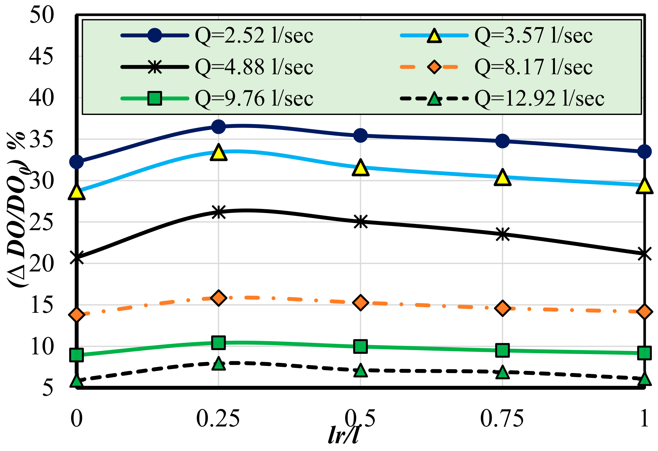
5.3. Third Stage: Estimating the Best Effective Ratio of Length of Reverse Inclined Step to Step Length (lr/l)
5.4. Fourth Stage: Estimating the Best Effective Ratio of End Sill Radius to Step Height (r/h)
5.5. Fifth Stage: Comparison Between Different Spillway Geometrical Arrangements
6. Conclusions
- The study successfully introduced a new geometrically modified spillway, achieving a significant increase in water energy dissipation efficiency, with an average value of about 69%, and increasing the dissolved oxygen content by an average of about 21.70% within the specified laboratory discharge limits, which is quite good.
- The optimal dimensions of the desired stepped spillway for achieving maximum performance efficiency in both water energy dissipation and enhancing the dissolved oxygen content were identified. The main goal of the study was achieved, with the following parameters identified: a step height to step length ratio (h/L) of 0.50, a step height to total spillway height ratio (h/H) of 0.20, and a reverse inclined step ratio (lr/L) of 0.25, or a radius of end sill to step height ratio (r/h) of 0.40.
- Among all the tested angles of inclination for the back surface of the spillway body, an angle of 26.57 degrees yielded the best measured results and is recommended for achieving maximum efficiency in both water energy dissipation and flow aeration.
- The best results for flow energy dissipation (ranging between 90.13% at the lowest flow rate and 55.69% at the highest flow rate) were achieved by using a reverse inclination for the stepped back of the spillway with a relative step length (lr/L) of 0.25. This set-up also provided the best results for flow aeration, with flow rates ranging between 2.52 L/s and 12.92 L/s. The recorded increase in dissolved oxygen content was between 36.49% and 7.97%, which is significant.
- The study demonstrated that using a quarter-end sill with a modified stepped back for the spillway generally increased the energy dissipation efficiency. Specifically, using a quarter-end sill with a relative radius (r/h) of 0.4 increased the energy dissipation by approximately 89.90% at the lowest flow rate and by 55.59% at the highest flow rate. At the same time, using a quarter-end sill increased the dissolved oxygen content by about 35.56% and 7.50% for the lowest and highest discharges, respectively.
- The comparison of the obtained results from different spillway geometrical arrangements (smooth spillway, stepped spillway, staggered steps spillway, steps with reverse slope, and steps with a quarter circular end sill) proved that using the reverse inclination for the stepped back of the spillway with a relative step length (lr/L) of 0.25 was the most efficient for both water energy dissipation and flow aeration.
- The results obtained from all the experimental runs carried out for all tested models were used to develop accurate equations for calculating the effect of the geometrical treatments of spillway backs on water energy dissipation and flow aeration, using the MATLAB program (Version 2014-B). Mohamed A. Ashour, M. Khairy Ali and Tawab E. Aly
Author Contributions
Funding
Data Availability Statement
Conflicts of Interest
References
- Pandey, B.R.; K C, M.R.; Crookston, B.; Zenz, G. Numerical Investigation of Different Stepped Spillway Geometries over a Mild Slope for Safe Operation Using Multi-Phase Model. Water 2024, 16, 1635. [Google Scholar] [CrossRef]
- Jahad, U.A.; Chabuk, A.; Alabas, M.A.; Mahmoud, A.S.; Al-Ansari, N.; Laue, J. CFD Analysis of the Effects of Compound Downstream Slope on Flow Over the Spillway. J. Ecol. Eng. 2023, 24, 274–286. [Google Scholar] [CrossRef]
- Ghaderi, A.; Abbasi, S. Experimental and numerical study of the effects of geometric appendance elements on energy dissipation over stepped spillway. Water 2021, 13, 957. [Google Scholar] [CrossRef]
- Arjenaki, M.O.; Sanayei, H.R.Z. Numerical investigation of energy dissipation rate in stepped spillways with lateral slopes using experimental model development approach. Model. Earth Syst. Environ. 2020, 6, 605–616. [Google Scholar] [CrossRef]
- Ashoor, A.; Riazi, A. Stepped spillways and energy dissipation: A non-uniform step length approach. Appl. Sci. 2019, 9, 5071. [Google Scholar] [CrossRef]
- Abdel-Aal, G.M.A.; Sobeah, M.; Helal, E.; El-Fooly, M. Improving energy dissipation on stepped spillways using breakers. Ain Shams Eng. J. 2018, 9, 1887–1896. [Google Scholar] [CrossRef]
- Jahad, U.A.; Al-Ameri, R.; Chua, L.; Das, S. Geometry effects on energy dissipation over stepped spillway. In Proceedings of the First MoHESR and HCED Iraqi Scholars Conference, Melbourne, Australia, 5 December 2017; p. 96. [Google Scholar]
- Hussein, B.S.; Jalil, S.A. Hydraulic Comparison between Labyrinth and Plain Stepped Falls. J. Univ. Duhok 2016, 19, 226–237. [Google Scholar]
- Hamedi, A.; Ketabdar, M.; Fesharaki, M.; Mansoori, A. Nappe flow regime energy loss in stepped chutes equipped with reverse inclined steps: Experimental development. Fla. Civ. Eng. J. 2016, 28–37. [Google Scholar]
- Al-Husseini, T.R. A Novel experimental work and study on flow and energy dissipation over stepped spillways. J. Babylon Univ.-Eng. Sci. 2016, 24, 1050–1063. [Google Scholar]
- Asadi, E.; Dalir, A.H.; Farsadizadeh, D.; Hassanzaheh, Y.; Salmasi, F. Energy dissipation of skimming flow with different sill dimensions in stepped spillway model. Inter. J. Agric. Biosci. 2015, 4, 118–121. [Google Scholar]
- Hamedi, A.; Malekmohammadi, I.; Mansoori, A.; Roshanaei, H. Energy dissipation in stepped spillway equipped with inclined steps together with end sill. In Proceedings of the 2012 Fourth International Conference on Computational Intelligence and Communication Networks, Uttar Pradesh, India, 3–5 November 2012; pp. 638–642. [Google Scholar] [CrossRef]
- Zare, H.K.; Doering, J.C. Energy dissipation and flow characteristics of baffles and sills on stepped spillways. J. Hydraul. Res. 2012, 50, 192–199. [Google Scholar] [CrossRef]
- Chinnarasri, C.; Wongwises, S. Flow patterns and energy dissipation over various stepped chutes. J. Irrig. Drain. Eng. 2006, 132, 70–76. [Google Scholar] [CrossRef]
- Barani, G.A.; Rahnama, M.B.; Sohrabipoor, N. Investigation of flow energy dissipation over different stepped spillways. Am. J. Appl. Sci. 2005, 2, 1101–1105. [Google Scholar]
- James, C.S.; Main, A.G.; Moon, J. Enhanced energy dissipation in stepped chutes. Proc. Inst. Civ. Eng.-Water Marit. Eng. 2001, 148, 277–280. [Google Scholar] [CrossRef]
- Kökpinar, M.A. Flow over a stepped chute with and without macro-roughness elements. Can. J. Civ. Eng. 2004, 31, 880–891. [Google Scholar] [CrossRef]
- Baylar, A.; Emiroglu, M.E.; Bagatur, T. An experimental investigation of aeration performance in stepped spillways. Water Environ. J. 2006, 20, 35–42. [Google Scholar] [CrossRef]
- Aras, E.; Berkun, M. Comparison of stepped and smooth spillway effects on stream reaeration. Water SA 2010, 36, 309–314. [Google Scholar]
- Zare, H.K.; Doering, J.C. Inception point of air entrainment and training wall characteristics of baffles and sills on stepped spillways. J. Hydraul. Eng. 2012, 138, 1119–1124. [Google Scholar] [CrossRef]
- Wuthrich, D.; Chanson, H. Aeration performances of a gabion stepped weir with and without capping. Environ. Fluid Mech. 2015, 15, 711–730. [Google Scholar] [CrossRef]
- Zhang, G.; Chanson, H. Air-water flow properties in stepped chutes with modified step and cavity geometries. Int. J. Multiph. Flow 2018, 99, 423–436. [Google Scholar] [CrossRef]
- Wan, W.; Raza, A.; Chen, X. Effect of height and geometry of stepped spillway on inception point location. Appl. Sci. 2019, 9, 2091. [Google Scholar] [CrossRef]
- Novakoski, C.K.; Ferla, R.; Priebe, P.D.; Abreu, A.S.; Marques, M.G.; Prá, M.D.; Canellas, A.V.; Teixeira, E.D. Induced aeration flow over stepped spillways: Mean pressures, air entrainment and flow behavior. RBRH 2021, 26, e34. [Google Scholar] [CrossRef]
- Raza, A.; Wan, W.; Mehmood, K. Stepped spillway slope effect on air entrainment and inception point location. Water 2021, 13, 1428. [Google Scholar] [CrossRef]
- Arosquipa Nina, Y.; Shi, R.; Wüthrich, D.; Chanson, H. Air–Water flows and head losses on stepped spillways with inclined steps. J. Irrig. Drain. Eng. 2022, 148, 04022037. [Google Scholar] [CrossRef]
- Jahad, U.A.; Al-Ameri, R.; Chabuk, A.; Majdi, A.; Majdi, H.S.; Al-Ansari, N.; Laue, J. Dissolved oxygen variation on the steps with a quarter circle end sill for flows over the stepped spillways. Int. J. Des. Nat. Ecodynamics 2022, 17, 639–648. [Google Scholar] [CrossRef]
- Jahad, U.A.; Alabas, M.A.; Mahmoud, A.S.; Al-Ameri, R.; Das, S. The effect of the compound slope spillway on air entrainment and total kinetic energy using computational fluid dynamics. Water Pract. Technol. 2024, 19, 1032–1046. [Google Scholar] [CrossRef]
- Baylar, A.; Bagatur, T.; Emiroglu, M.E. Prediction of the oxygen content of nappe, transition, and skimming flow regimes in stepped-channel chutes. J. Environ. Eng. Sci. 2007, 6, 201–208. [Google Scholar] [CrossRef]
- André, S. High-Velocity Aerated Flows over Stepped Chutes with Macro-Roughness Elements. Ph.D. Thesis, EPFL, Lausanne, Switzerland, 2004. [Google Scholar]
- Baylar, A.; Emiroglu, M.E. Study of aeration efficiency at stepped channels. Proc. Inst. Civ. Eng.-Water Marit. Eng. 2003, 156, 257–263. [Google Scholar] [CrossRef]
- Bung, D.B.; Schlenkhoff, A. Self-aerated skimming flow on embankment stepped spillways: The effect of additional micro-roughness on energy dissipation and oxygen transfer. In Proceedings of the IAHR European Congress (CD-ROM), Edinburgh, UK, 4–6 May 2010; International Association for Hydro-Environment Engineering and Research: Munich, Germany, 2010. [Google Scholar]
- Chanson, H. Predicting oxygen content downstream of weirs, spillways and waterways. Proc. Inst. Civ. Eng.-Water Marit. Energy 1995, 112, 20–30. [Google Scholar] [CrossRef]
- Toombes, L.; Chanson, H. Air–water mass transfer on a stepped waterway. J. Environ. Eng. 2005, 131, 1377–1386. [Google Scholar] [CrossRef]
- Henderson, F.M. Open Channel Flow; Rouse, H., Ed.; Macmillan: New York, NY, USA, 1966; Volume 29. [Google Scholar]
- Chow, V.T. Open Channel Hydraulics; McGraw-Hill Book Company, Inc.: New York, NY, USA, 1959. [Google Scholar]


















| Author | Spillway Geometry | Step Shape | Conclusion |
|---|---|---|---|
| [1] | H = 0.2 m uniform step, H = 0.1 m uniform step, non-uniform steps, adverse slope steps, and stepped pool. | ![]() | The maximum efficiency (∆E/Eo) was obtained by 0.2 m H steps for lower and higher flow rates, and uniform steps of higher drop height and length achieve higher turbulent kinetic energy over the steps. |
| [2] | Five spillway models with varying slopes (normal = 30°, compound (I) = 20° and 39°, and compound (II) = 39° and 20°). | ![]() | Compound slopes enhance energy dissipation by 14%, and turbulent kinetic energy increases with compound slope design. |
| [3] | Flat steps, appendance elements (AE) on steps with four cases in various arrangements, and the center appendance elements and two side appendances. | ![]() | Geometric appendance elements on steps increase energy dissipation (by about 7.2%) significantly, and reducing the height of elements enhances energy dissipation and turbulent kinetic energy. |
| [4] | Five different stairs with new and different geometries. | ![]() | Type D spillway with barriers showed the best energy dissipation, and adding barriers increased the energy dissipation by 15%. |
| [5] | Uniform step length, non-uniform step length, longer steps in the beginning, shorter steps in the beginning, random step length distribution, and semi-uniform step length. | ![]() | Semi-uniform stepped spillways with a 1:3 step length ratio increase the energy dissipation by 20%, and the vortex interference region between adjacent cavities contributes to energy dissipation. |
| [6] | Ns = 4. hb/h = 0.2, 0.4, 0.6, 0.8, and 1, t = 2, 5, and 10 mm, and area of holes = 2.22%, 5%, 10% and 20% of the breaker area. | ![]() | The 5% holes gave the maximum (∆E/Eo) of 67%, which occurred at hb = 0.8 h, and with a three-hole area. |
| [7] | Ns = 6 and 10, flat steps with a 1/4 circular end sill. | ![]() | The maximum energy dissipation (93%) was obtained from the model with Ns = 10 steps and with a ¼ circular end sill. |
| [8] | Ns = 5 and 10, and two different widths of the rectangular cycle (0.06 and 0.1 m). | ![]() | The model with an angle of the back surface of the spillway (°) of 26.6°, five steps (Ns) and with a magnification length ratio (Lt/w) of 2.67, was better for dissipating energy (18.7%). |
| [9] | Reverse inclined angle (°) = 7°, 10°, and 12°). | ![]() | The energy dissipation increases with an increasing reverse inclined angle (α°). |
| [10] | Plain steps, half cut, inclined end sill, and crushed with gravel. | ![]() | The maximum energy dissipation (19%) occurred in the rough steps and end sills, respectively, compared with plain steps. |
| [11] | m = 0.2, 0.3, and 0.4 times higher than the step height, and t = 0.5 and 0.25 times the length of steps. | ![]() | The maximum energy dissipation (11%) occurred with the model that had sills where = 0.4 and = 0.25. |
| [12] | Inclined steps and end sill, with adverse slopes equal 7°, 10°, and 12°. | ![]() | The maximum values of energy dissipation (16.4%) were obtained in the model with equal to 0.7. |
| [13] | Ns = 10, and the rounding radius (r) was r/L = 0.25. | ![]() | Steps with rounding edges dissipated energy more than sharp edges. |
| [14] | α = 10, 20, and 30° and m = 5, 10, and 15 mm. | ![]() | Steps with end sill dissipated the kinetic energy (67.6%) more than inclined steps at the same height (m). |
| [15] | t = 1, 2, 3, and 4 cm, and α = 15°, 26°, 36°, and 45°. | ![]() | Steps with adverse slopes can be more effective than the steps with end sills which are the same size. |
| [16] | Ns = (3, 5, 7, and 15), and = 180°, 135°, and 90°. | ![]() | The maximum dissipated energy occurred when = 90°, and with a large step height and small angle (), the dissipated energy increases to three times that of a traditional stepped spillway. |
| Author | Spillway Geometry | Step Shape | Conclusion |
|---|---|---|---|
| [17] |
| ![]() | The AMR step increases air concentration by 8.3% to 11.1% higher than the WMR step configuration and 17.2% to 22.0% higher than the MR step configuration. |
| [18] |
| ![]() | A stepped spillway aerates the flow more effectively than a smooth spillway. The aeration efficiency increases with a decrease in the ratio of critical flow depth to step height () and with a decrease in the Froude number (). |
| [19] |
| ![]() | Dissolved oxygen content increases with increasing flow rates. The aeration efficiency of the stepped spillway is higher than that of the smooth spillway. |
| [20] | Sharp-stepped, rounded-stepped, baffled-edged, silled-edged, baffled sharp, silled sharp, baffled rounded, and silled rounded. | ![]() | The silled-shifted, rounded spillway gives the smallest inception point so it is recommended to be used in cavitation damage mitigation. |
| [21] |
| ![]() | In a large flow rate, the aeration efficiency of the flat impervious stepped spillway is larger than that of the gabion stepped chute. |
| [22] |
| ![]() | The chambers lead to a reduction in air entrainment. The partial cavity blockages appear to have little effect on air entrainment. |
| [23] |
| ![]() | The inception point of a pooled stepped spillway is located closer to the spillway crest. And it is located further downstream than that of a round stepped spillway. |
| [24] |
| ![]() | Induced aeration did not significantly change mean pressures, and longer deflectors had higher air entrainment coefficients and jet impact. |
| [25] |
| ![]() | Inception point location varies with spillway slope and flow rate. Non-aerated flow zone length increases with decreasing channel slope, and the inception point moves downward as the discharge rate increases. |
| [26] |
| ![]() | The largest drag and head losses are observed on flat horizontal steps. Elongated asymmetrical cavity shapes create less stable recirculation patterns, and bubbles and bubble size seem to be little affected by the step geometry. |
| [27] |
| ![]() | Aeration efficiency improves by 11.39%, and 6.50% at the lowest and highest discharge, respectively. The performance of the steps with the quarter circle end sill model in terms of aeration efficiency increased by 10%. |
| [28] | Five spillway models with varying slopes (normal = 30°, compound (I) = 20° and 39°, and compound (II) = 39° and 20°). | ![]() | In the normal slopes of (30°) and the compound slopes of (39°/20°), the surge in the location of the inception point is around 58%, and the compound slope (II), gives the best protection against cavitation. |
| [29] | Channel slopes were equal to 14.48°, 18.74°, 22.55°, 30°, 40°, 50°. | ![]() | Stepped-channel chutes are an efficient means of aeration. The napped flow regime shows greater aeration efficiency than other regimes. |
| [30] | The angle of the back surface slope was 30°, and 18.6°, step number (Ns) = 64. | ![]() | Napped flow regime occurs in the large range of discharges for flatter slope. Skimming flow started for higher discharge for the angle of the back surface of spillways equals to 18.6° |
| [31] | The slope of the stepped channel defined as (h/l), was equal to 2·41 (α = 22.558°), 2·95 (α = 18.748°), and 3·87 (α = 14.488°). | ![]() | They found that (l/h) and step height (h) have a significant effect on the aeration efficiency of stepped channels, and aeration efficiency generally increases with increasing step height and with decreasing the ratio of step length to step height (l/h). |
| [32] | Stepped spillway scaled 1:10 with a step height of 6 cm, with an angle of the back-surface (ἀ) equals 26.6 with additional micro-roughness. | ![]() | The aeration on a stepped spillway cannot be enhanced by additional micro-roughness elements and therefore, the arrangement has a large influence on the flow characteristics. |
| [33] | Re-analyzed and compared experimental data with a numerical method to predict the free-surface aeration downstream of smooth spillways. | ![]() | At low discharges, self-aeration may contribute up to 80–100% of the total gas transfer. For large discharges, there is a critical discharge above which self-aeration does not occur along the spillway, and gas transfer occurs only in the hydraulic jump. |
| [34] | Experiments were performed on two open channels. The first flume was equipped with 12 steps. The second was equipped with a single drop. | ![]() | They found that the total aeration efficiency of the stepped cascade plus free-overall system ranges typically from 75 to 60% for upstream Froude numbers between 2 and 10. |
Disclaimer/Publisher’s Note: The statements, opinions and data contained in all publications are solely those of the individual author(s) and contributor(s) and not of MDPI and/or the editor(s). MDPI and/or the editor(s) disclaim responsibility for any injury to people or property resulting from any ideas, methods, instructions or products referred to in the content. |
© 2024 by the authors. Licensee MDPI, Basel, Switzerland. This article is an open access article distributed under the terms and conditions of the Creative Commons Attribution (CC BY) license (https://creativecommons.org/licenses/by/4.0/).
Share and Cite
Ashour, M.A.; Ali, M.K.; Aly, T.E. Improving the Quality of the Water Flowing over a Stepped Spillway in Open Canals by Increasing Its Degree of Aeration. Limnol. Rev. 2024, 24, 653-671. https://doi.org/10.3390/limnolrev24040038
Ashour MA, Ali MK, Aly TE. Improving the Quality of the Water Flowing over a Stepped Spillway in Open Canals by Increasing Its Degree of Aeration. Limnological Review. 2024; 24(4):653-671. https://doi.org/10.3390/limnolrev24040038
Chicago/Turabian StyleAshour, Mohamed A., Mohamed Khairy Ali, and Tawab E. Aly. 2024. "Improving the Quality of the Water Flowing over a Stepped Spillway in Open Canals by Increasing Its Degree of Aeration" Limnological Review 24, no. 4: 653-671. https://doi.org/10.3390/limnolrev24040038
APA StyleAshour, M. A., Ali, M. K., & Aly, T. E. (2024). Improving the Quality of the Water Flowing over a Stepped Spillway in Open Canals by Increasing Its Degree of Aeration. Limnological Review, 24(4), 653-671. https://doi.org/10.3390/limnolrev24040038



































