Improved Mechanical Characterization of Soft Tissues Including Mounting Stretches
Abstract
1. Introduction
2. Materials and Methods
2.1. Continuum Mechanics Framework
2.2. Material Parameter Identification Procedures
2.2.1. Standard Fitting Methods
2.2.2. Fitting Including Prestretch Method
2.3. Virtual Biaxial Experiments
2.4. Biaxial Experimental Testing of Human Aortas
3. Results
3.1. Comparison of Fitting Methods and Verification of Fitting with Prestretch Method
3.2. Fitting Including Prestretch Method—Comparison with ‘Linden Method’
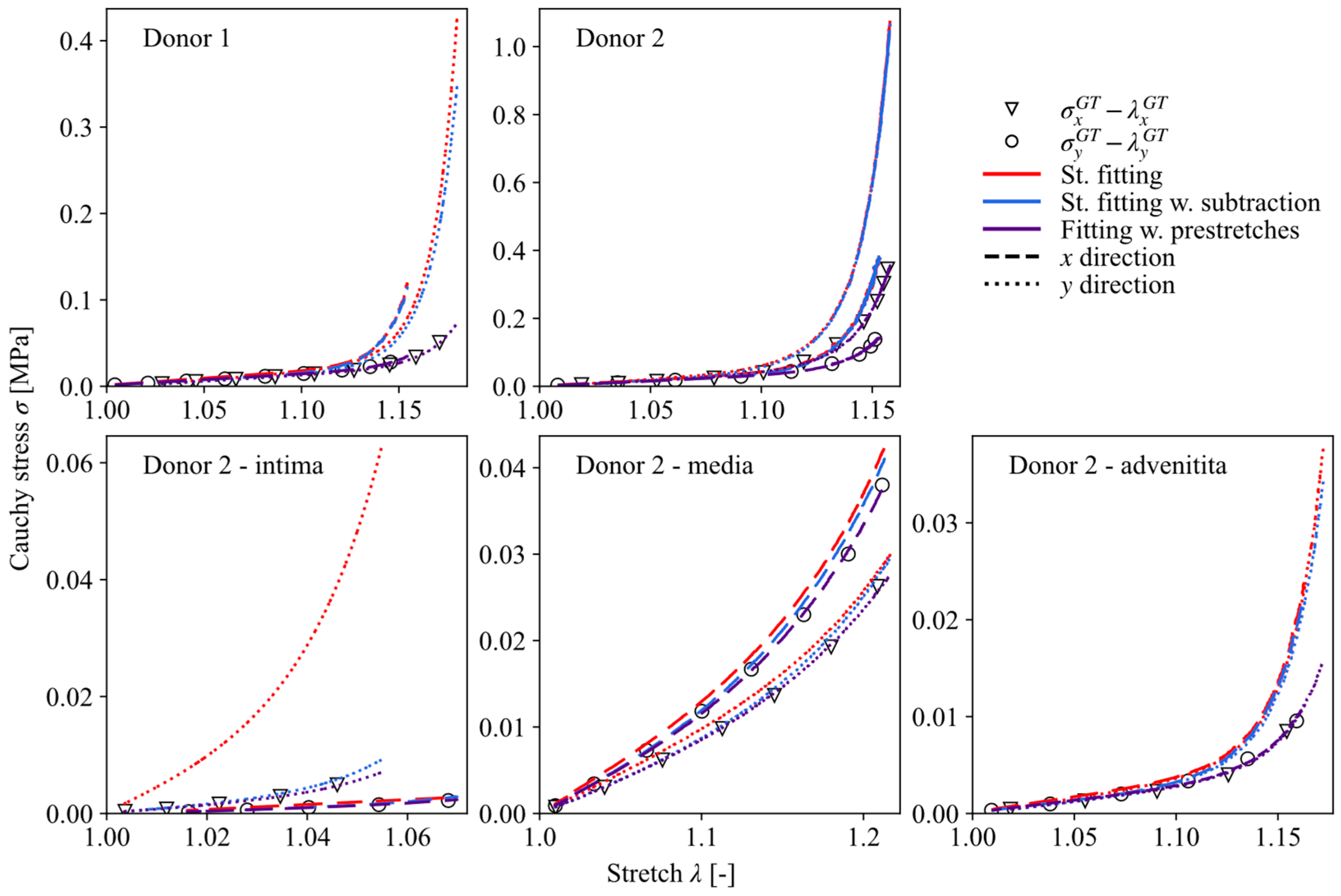
3.3. Fitting Data from Biaxial Experiments
4. Discussion
Author Contributions
Funding
Data Availability Statement
Acknowledgments
Conflicts of Interest
References
- Eberth, J.F.; Humphrey, J.D. Reduced Smooth Muscle Contractile Capacity Facilitates Maladaptive Arterial Remodeling. J. Biomech. Eng. 2022, 144, 044503. [Google Scholar] [CrossRef]
- Zhang, W.; Rossini, G.; Kamensky, D.; Bui-Thanh, T.; Sacks, M.S. Isogeometric Finite Element-based Simulation of the Aortic Heart Valve: Integration of Neural Network Structural Material Model and Structural Tensor Fiber Architecture Representations. Int. J. Numer. Methods Biomed. Eng. 2021, 37, e3438. [Google Scholar] [CrossRef]
- Laubrie, J.D.; Mousavi, J.S.; Avril, S. A New Finite-element Shell Model for Arterial Growth and Remodeling after Stent Implantation. Int. J. Numer. Methods Biomed. Eng. 2020, 36, e3282. [Google Scholar] [CrossRef]
- Karšaj, I.; Humphrey, J.D. A Multilayered Wall Model of Arterial Growth and Remodeling. Mech. Mater. 2012, 44, 110–119. [Google Scholar] [CrossRef] [PubMed][Green Version]
- Holzapfel, G.A.; Ogden, R.W. Biomechanical Relevance of the Microstructure in Artery Walls with a Focus on Passive and Active Components. Am. J. Physiol.-Heart Circ. Physiol. 2018, 315, H540–H549. [Google Scholar] [CrossRef] [PubMed]
- Humphrey, J.D. Cardiovascular Solid Mechanics: Cells, Tissues, and Organs; Springer: New York, NY, USA, 2002; ISBN 978-1-4419-2897-9. [Google Scholar]
- Macrae, R.A.; Miller, K.; Doyle, B.J. Methods in Mechanical Testing of Arterial Tissue: A Review. Strain 2016, 52, 380–399. [Google Scholar] [CrossRef]
- Cilla, M.; Corral, A.V.; Peña, J.A.; Peña, E. Analysis of the Accuracy on Computing Nominal Stress in a Biaxial Test for Arteries. Strain 2020, 56, e12331. [Google Scholar] [CrossRef]
- Delgadillo, J.O.V.; Delorme, S.; Thibault, F.; DiRaddo, R.; Hatzikiriakos, S.G. Large Deformation Characterization of Porcine Thoracic Aortas: Inverse Modeling Fitting of Uniaxial and Biaxial Tests. J. Biomed. Sci. Eng. 2015, 08, 717–732. [Google Scholar] [CrossRef][Green Version]
- Niestrawska, J.A.; Viertler, C.; Regitnig, P.; Cohnert, T.U.; Sommer, G.; Holzapfel, G.A. Microstructure and Mechanics of Healthy and Aneurysmatic Abdominal Aortas: Experimental Analysis and Modelling. J. R. Soc. Interface 2016, 13, 20160620. [Google Scholar] [CrossRef]
- Pukaluk, A.; Wittgenstein, A.-S.; Leitinger, G.; Kolb, D.; Pernitsch, D.; Schneider, S.A.; Knöbelreiter, P.; Horak, V.; Bredies, K.; Holzapfel, G.A.; et al. An Ultrastructural 3D Reconstruction Method for Observing the Arrangement of Collagen Fibrils and Proteoglycans in the Human Aortic Wall under Mechanical Load. Acta Biomater. 2022, 141, 300–314. [Google Scholar] [CrossRef]
- Smoljkić, M.; Verbrugghe, P.; Larsson, M.; Widman, E.; Fehervary, H.; D’hooge, J.; Vander Sloten, J.; Famaey, N. Comparison of in Vivo vs. Ex Situ Obtained Material Properties of Sheep Common Carotid Artery. Med. Eng. Phys. 2018, 55, 16–24. [Google Scholar] [CrossRef] [PubMed]
- O’Connell, G.D.; Sen, S.; Elliott, D.M. Human Annulus Fibrosus Material Properties from Biaxial Testing and Constitutive Modeling Are Altered with Degeneration. Biomech. Model. Mechanobiol. 2012, 11, 493–503. [Google Scholar] [CrossRef] [PubMed]
- Sun, W.; Sacks, M.S.; Scott, M.J. Effects of Boundary Conditions on the Estimation of the Planar Biaxial Mechanical Properties of Soft Tissues. J. Biomech. Eng. 2005, 127, 709–715. [Google Scholar] [CrossRef] [PubMed]
- Sommer, G.; Haspinger, D.C.; Andrä, M.; Sacherer, M.; Viertler, C.; Regitnig, P.; Holzapfel, G.A. Quantification of Shear Deformations and Corresponding Stresses in the Biaxially Tested Human Myocardium. Ann. Biomed. Eng. 2015, 43, 2334–2348. [Google Scholar] [CrossRef] [PubMed]
- Deplano, V.; Boufi, M.; Boiron, O.; Guivier-Curien, C.; Alimi, Y.; Bertrand, E. Biaxial Tensile Tests of the Porcine Ascending Aorta. J. Biomech. 2016, 49, 2031–2037. [Google Scholar] [CrossRef] [PubMed]
- Zhang, W.; Feng, Y.; Lee, C.-H.; Billiar, K.L.; Sacks, M.S. A Generalized Method for the Analysis of Planar Biaxial Mechanical Data Using Tethered Testing Configurations. J. Biomech. Eng. 2015, 137, 064501. [Google Scholar] [CrossRef] [PubMed]
- Nolan, D.R.; McGarry, J.P. On the Correct Interpretation of Measured Force and Calculation of Material Stress in Biaxial Tests. J. Mech. Behav. Biomed. Mater. 2016, 53, 187–199. [Google Scholar] [CrossRef] [PubMed]
- Slazansky, M.; Polzer, S.; Man, V.; Bursa, J. Analysis of Accuracy of Biaxial Tests Based on Their Computational Simulations. Strain 2016, 52, 424–435. [Google Scholar] [CrossRef]
- Fehervary, H.; Smoljkić, M.; Vander Sloten, J.; Famaey, N. Planar Biaxial Testing of Soft Biological Tissue Using Rakes: A Critical Analysis of Protocol and Fitting Process. J. Mech. Behav. Biomed. Mater. 2016, 61, 135–151. [Google Scholar] [CrossRef]
- Fehervary, H.; Vander Sloten, J.; Famaey, N. Development of an Improved Parameter Fitting Method for Planar Biaxial Testing Using Rakes. Int. J. Numer. Methods Biomed. Eng. 2019, 35, e3174. [Google Scholar] [CrossRef]
- Sigaeva, T.; Polzer, S.; Vitásek, R.; Di Martino, E.S. Effect of Testing Conditions on the Mechanical Response of Aortic Tissues from Planar Biaxial Experiments: Loading Protocol and Specimen Side. J. Mech. Behav. Biomed. Mater. 2020, 111, 103882. [Google Scholar] [CrossRef] [PubMed]
- Vander Linden, K.; Fehervary, H.; Maes, L.; Famaey, N. An Improved Parameter Fitting Approach of a Planar Biaxial Test Including the Experimental Prestretch. SSRN Electron. J. 2022. [Google Scholar] [CrossRef]
- Carew, T.E.; Vaishnav, R.N.; Patel, D.J. Compressibility of the Arterial Wall. Circ. Res. 1968, 23, 61–68. [Google Scholar] [CrossRef] [PubMed]
- Gasser, T.C.; Ogden, R.W.; Holzapfel, G.A. Hyperelastic Modelling of Arterial Layers with Distributed Collagen Fibre Orientations. J. R. Soc. Interface 2006, 3, 15–35. [Google Scholar] [CrossRef] [PubMed]
- Schriefl, A.J.; Reinisch, A.J.; Sankaran, S.; Pierce, D.M.; Holzapfel, G.A. Quantitative Assessment of Collagen Fibre Orientations from Two-Dimensional Images of Soft Biological Tissues. J. R. Soc. Interface 2012, 9, 3081–3093. [Google Scholar] [CrossRef] [PubMed]
- Holzapfel, G.A.; Ogden, R.W. On Planar Biaxial Tests for Anisotropic Nonlinearly Elastic Solids. A Continuum Mechanical Framework. Math. Mech. Solids 2009, 14, 474–489. [Google Scholar] [CrossRef]
- Ristic, N. Nano-Scale Biomechanical Investigation of Human Aortas by Means of Transmission Electron Microscope Imaging. Master’s Thesis, Technical University of Graz, Institue of Biomechanics, Graz, Austria, 2021. [Google Scholar]
- Smoljkić, M.; Fehervary, H.; Van Den Bergh, P.; Jorge-Peñas, A.; Kluyskens, L.; Dymarkowski, S.; Verbrugghe, P.; Meuris, B.; Vander Sloten, J.; Famaey, N. Biomechanical Characterization of Ascending Aortic Aneurysms. Biomech. Model. Mechanobiol. 2017, 16, 705–720. [Google Scholar] [CrossRef] [PubMed]
- Gundiah, N.; Ratcliffe, M.B.; Pruitt, L.A. Determination of Strain Energy Function for Arterial Elastin: Experiments Using Histology and Mechanical Tests. J. Biomech. 2007, 40, 586–594. [Google Scholar] [CrossRef] [PubMed]
- Weisbecker, H.; Pierce, D.M.; Regitnig, P.; Holzapfel, G.A. Layer-Specific Damage Experiments and Modeling of Human Thoracic and Abdominal Aortas with Non-Atherosclerotic Intimal Thickening. J. Mech. Behav. Biomed. Mater. 2012, 12, 93–106. [Google Scholar] [CrossRef]
- Holzapfel, G.A.; Sommer, G.; Auer, M.; Regitnig, P.; Ogden, R.W. Layer-Specific 3D Residual Deformations of Human Aortas with Non-Atherosclerotic Intimal Thickening. Ann. Biomed. Eng. 2007, 35, 530–545. [Google Scholar] [CrossRef]
- Sommer, G.; Eder, M.; Kovacs, L.; Pathak, H.; Bonitz, L.; Mueller, C.; Regitnig, P.; Holzapfel, G.A. Multiaxial Mechanical Properties and Constitutive Modeling of Human Adipose Tissue: A Basis for Preoperative Simulations in Plastic and Reconstructive Surgery. Acta Biomater. 2013, 9, 9036–9048. [Google Scholar] [CrossRef] [PubMed]
- Vander Linden, K.; Fehervary, H.; Vastmans, J.; Famaey, N. The Influence of Out-of-Plane Motion on the Deformation Measurement of Planar Biaxial Tests on Biological Soft Tissue. Mech. Res. Commun. 2023, 129, 104099. [Google Scholar] [CrossRef]
- Niestrawska, J.A.; Regitnig, P.; Viertler, C.; Cohnert, T.U.; Babu, A.R.; Holzapfel, G.A. The Role of Tissue Remodeling in Mechanics and Pathogenesis of Abdominal Aortic Aneurysms. Acta Biomater. 2019, 88, 149–161. [Google Scholar] [CrossRef] [PubMed]










| MP Set | [kPa] | [kPa] | [-] | [°] | [-] |
|---|---|---|---|---|---|
| Smoljkić M55 | 59.7 | 36.3 | 11.38 | 58.9 | 0.243 |
| Weisbecker—media | 14.0 | 140 | 11.90 | 38.4 | 0.210 |
| Specimen | Gender | Age | Atherosclerosis Level | Thickness [mm] | Experimental Stretches [-] |
|---|---|---|---|---|---|
| Donor 1 | Male | 56 | Medium | 1.93 | 1.15 |
| Donor 2 | Male | 69 | High | 1.35 | 1.15 |
| Donor 2– intima | Male | 69 | - | 0.27 | 1.05 |
| Donor 2– media | Male | 69 | - | 0.88 | 1.20 |
| Donor 2– adventitia | Male | 69 | - | 0.54 | 1.15 |
| Fitting Method | [kPa] | [kPa] | [-] | [°] | [-] | MAE [10−3] | ||
|---|---|---|---|---|---|---|---|---|
| Standard fitting | 1.005 | 64.9 | 2.47 | 8.12 | 56.9 | 0 | 467.9 | 0.993 |
| 1.010 | 69.3 | 1.62 | 16.3 | 90.0 | 0.1 | 533.0 | 0.970 | |
| 1.015 | 71.9 | 2.6 | 1.23 | 90.0 | 0 | 710.5 | 0.879 | |
| 1.020 | 74.6 | 2.89 | 0 | 90.0 | 0 | 739.6 | 0.868 | |
| Standard fitting w. subtraction | 1.005 | 58.7 | 39.9 | 12.06 | 59.0 | 0.246 | 37.9 | 0.999 |
| 1.010 | 57.7 | 43.7 | 12.77 | 59.1 | 0.248 | 76.7 | 0.998 | |
| 1.015 | 56.7 | 47.7 | 13.54 | 59.2 | 0.250 | 117.6 | 0.997 | |
| 1.020 | 55.8 | 51.9 | 14.36 | 59.3 | 0.251 | 159.3 | 0.995 | |
| Fitting inc. prestretch | Any value | 59.7 | 36.3 | 11.38 | 58.9 | 0.243 | 0 | 1 |
| Ground-truth | 59.7 | 36.3 | 11.38 | 58.9 | 0.243 | - | - |
| Fitting Method | [kPa] | [kPa] | [-] | [°] | [-] | MAE [10−3] | R2 | |
|---|---|---|---|---|---|---|---|---|
| Standard fitting | 1.005 | 10.3 | 43.9 | 4.93 | 41.45 | 0 | 523.2 | 0.981 |
| 1.010 | 14.3 | 41.1 | 5.57 | 41.16 | 0 | 466.3 | 0.916 | |
| 1.015 | 18.4 | 38.3 | 6.30 | 40.84 | 0 | 515.0 | 0.781 | |
| 1.020 | 22.7 | 35.6 | 7.12 | 40.48 | 0 | 564.6 | 0.537 | |
| Standard fitting w. subtraction | 1.005 | 14.0 | 147.9 | 12.49 | 38.47 | 0.209 | 22.5 | 0.987 |
| 1.010 | 14.6 | 157.6 | 13.21 | 38.49 | 0.209 | 57.2 | 0.932 | |
| 1.015 | 14.2 | 169.4 | 14.07 | 38.48 | 0.211 | 82.7 | 0.852 | |
| 1.020 | 14.4 | 183.7 | 15.11 | 38.41 | 0.214 | 125.9 | 0.701 | |
| Fitting inc. prestretch | Any value | 14.0 | 140 | 11.90 | 38.4 | 0.210 | 0 | 1 |
| Ground-truth | 14.0 | 140 | 11.90 | 38.4 | 0.210 | - | - |
| Specimen | Method | C1 [kPa] | k1 [kPa] | k2 [-] | α [◦] | κ [-] | [-] | [-] |
|---|---|---|---|---|---|---|---|---|
| 1 | Linden | 5.1 | 20.2 | 2.110 | 89.98 | 0.263 | 1.077 | 1.058 |
| FIP | 5.1 | 20.1 | 2.154 | 85.76 | 0.263 | 1.077 | 1.059 | |
| 2 | Linden | 8.0 | 43.5 | 1.057 | 90.00 | 0.295 | 1.063 | 1.042 |
| FIP | 8.0 | 44.0 | 1.138 | 90.00 | 0.298 | 1.060 | 1.044 | |
| 3 | Linden | 1.0 | 18.6 | 0.029 | 46.86 | 0.059 | 1.066 | 1.043 |
| FIP | 2.4 | 21.3 | 0.039 | 46.60 | 0.120 | 1.056 | 1.052 | |
| 4 | Linden | 6.8 | 41.0 | 0.322 | 90.00 | 0.277 | 1.074 | 1.037 |
| FIP | 6.7 | 41.7 | 0.281 | 90.00 | 0.279 | 1.075 | 1.039 | |
| 5 | Linden | 4.4 | 19.9 | 0.538 | 54.39 | 0.096 | 1.092 | 1.027 |
| FIP | 3.8 | 18.8 | 0.475 | 54.00 | 0.067 | 1.104 | 1.021 |
| Specimen | Method | C1 [kPa] | k1 [kPa] | k2 [-] | α [◦] | κ [-] | [-] | [-] | |
|---|---|---|---|---|---|---|---|---|---|
| Donor 1 | SF | 14.51 | 4.255 | 127.87 | 90.00 | 0.210 | - | - | <0 |
| SFS | 11.55 | 0.768 | 39.07 | 61.00 | 0 | - | - | <0 | |
| FIP | 12.21 | 0.37 | 31.35 | 60.88 | 0 | 1.003 | 1.028 | 0.99 | |
| Donor 2 | SF | 30.53 | 57.85 | 171.20 | 90.00 | 0.239 | - | - | <0 |
| SFS | 24.90 | 65.80 | 174.57 | 90.00 | 0.243 | - | - | <0 | |
| FIP | 25.87 | 39.78 | 139.88 | 90.00 | 0.241 | 1.009 | 1.016 | 0.99 | |
| Donor 2—intima | SF | 3.78 | 4.68 | 76.73 | 90.00 | 0.003 | <0 | ||
| SFS | 2.13 | 39.65 | 374.63 | 90.00 | 0.221 | 0.87 | |||
| FIP | 2.14 | 26.88 | 268.30 | 90.00 | 0.206 | 1.017 | 1.004 | 0.99 | |
| Donor 2—media | SF | 5.28 | 10.21 | 2.57 | 37.74 | 0 | 0.96 | ||
| SFS | 2.78 | 13.35 | 2.06 | 39.26 | 0 | 0.98 | |||
| FIP | 2.98 | 12.47 | 1.88 | 39.00 | 0 | 1.009 | 1.010 | 0.99 | |
| Donor 2—adventitia | SF | 2.70 | 0.41 | 31.04 | 52.40 | 0 | <0 | ||
| SFS | 1.99 | 0.62 | 27.77 | 51.32 | 0 | <0 | |||
| FIP | 2.10 | 0.41 | 23.85 | 51.21 | 0 | 1.009 | 1.019 | 0.99 |
Disclaimer/Publisher’s Note: The statements, opinions and data contained in all publications are solely those of the individual author(s) and contributor(s) and not of MDPI and/or the editor(s). MDPI and/or the editor(s) disclaim responsibility for any injury to people or property resulting from any ideas, methods, instructions or products referred to in the content. |
© 2024 by the authors. Licensee MDPI, Basel, Switzerland. This article is an open access article distributed under the terms and conditions of the Creative Commons Attribution (CC BY) license (https://creativecommons.org/licenses/by/4.0/).
Share and Cite
Škugor, T.; Virag, L.; Sommer, G.; Karšaj, I. Improved Mechanical Characterization of Soft Tissues Including Mounting Stretches. Math. Comput. Appl. 2024, 29, 55. https://doi.org/10.3390/mca29040055
Škugor T, Virag L, Sommer G, Karšaj I. Improved Mechanical Characterization of Soft Tissues Including Mounting Stretches. Mathematical and Computational Applications. 2024; 29(4):55. https://doi.org/10.3390/mca29040055
Chicago/Turabian StyleŠkugor, Toni, Lana Virag, Gerhard Sommer, and Igor Karšaj. 2024. "Improved Mechanical Characterization of Soft Tissues Including Mounting Stretches" Mathematical and Computational Applications 29, no. 4: 55. https://doi.org/10.3390/mca29040055
APA StyleŠkugor, T., Virag, L., Sommer, G., & Karšaj, I. (2024). Improved Mechanical Characterization of Soft Tissues Including Mounting Stretches. Mathematical and Computational Applications, 29(4), 55. https://doi.org/10.3390/mca29040055

