Next Article in Journal
Spherical Fuzzy Graphs with Application to Decision-Making
Next Article in Special Issue
Chaos Synchronization for Hyperchaotic Lorenz-Type System via Fuzzy-Based Sliding-Mode Observer
Previous Article in Journal
Acknowledgement to Reviewers of MCA in 2019
Previous Article in Special Issue
Non-Epsilon Dominated Evolutionary Algorithm for the Set of Approximate Solutions
 
 
Font Type:
Arial Georgia Verdana
Font Size:
Aa Aa Aa
Line Spacing:
Column Width:
Background:
Article

Evolutionary Algorithms Enhanced with Quadratic Coding and Sensing Search for Global Optimization

1
Department of Computer Science in Jamoum, Umm Al-Qura University, Makkah 25371, Saudi Arabia
2
Department of Computer Science, Faculty of Computers & Information, Assiut University, Assiut 71526, Egypt
3
Computers and Systems Engineering Department, Mansoura University, Mansoura 35516, Egypt
4
Department of Computer Sciences, College of Computing and Information Technology, University of Jeddah, Jeddah 23218, Saudi Arabia
5
Department of Electrical Engineering, Computers and Systems Section, Faculty of Engineering, Aswan University, Aswan 81528, Egypt
*
Author to whom correspondence should be addressed.
Math. Comput. Appl. 2020, 25(1), 7; https://doi.org/10.3390/mca25010007
Submission received: 26 November 2019 / Revised: 9 January 2020 / Accepted: 14 January 2020 / Published: 16 January 2020
(This article belongs to the Special Issue Numerical and Evolutionary Optimization 2019)

Abstract

Enhancing Evolutionary Algorithms (EAs) using mathematical elements significantly contribute to their development and control the randomness they are experiencing. Moreover, the automation of the primary process steps of EAs is still one of the hardest problems. Specifically, EAs still have no robust automatic termination criteria. Moreover, the highly random behavior of some evolutionary operations should be controlled, and the methods should invoke advanced learning process and elements. As follows, this research focuses on the problem of automating and controlling the search process of EAs by using sensing and mathematical mechanisms. These mechanisms can provide the search process with the needed memories and conditions to adapt to the diversification and intensification opportunities. Moreover, a new quadratic coding and quadratic search operator are invoked to increase the local search improving possibilities. The suggested quadratic search operator uses both regression and Radial Basis Function (RBF) neural network models. Two evolutionary-based methods are proposed to evaluate the performance of the suggested enhancing elements using genetic algorithms and evolution strategies. Results show that for both the regression, RBFs and quadratic techniques could help in the approximation of high-dimensional functions with the use of a few adjustable parameters for each type of function. Moreover, the automatic termination criteria could allow the search process to stop appropriately.

1. Introduction

Evolutionary Algorithms (EAs) are considered to be one of the core methods applied in the area of computational intelligence [1]. Generally, EAs constitute a class of the main global search tools which can be adapted to deal with many forms of nonlinear and hard optimization problems. Developing applicable versions of EAs is hugely required to meet the fast-growing of optimization applications in all aspects of science [2,3]. Recently, there is an extreme interest in adapting EAs to be used with other computational intelligence techniques in different application areas. Although there are a vast number of attempts to modify the EAs to solve global optimization problems, most of them invoke only heuristic design elements, and they do not use mathematical mechanisms [4,5].
On the other hand, EAs have been applied in various optimization problems such as continuous, discrete, and combinatorial problems with and without constraints as well as mixed optimization problems [6,7]. Moreover, EAs are considered to be a milestone in the computational intelligence filed [8]. Thus, developing practical schemes of EAs is remarkably required to meet the fast increasing of many applications in different real-life science [2,9]. However, EAs still have no automatic termination criteria. Thus, EAs algorithms cannot determine when or where they can terminate, and a user should pre-specify a criterion for that purpose. Typically, methods of termination criteria are such as when there has been no improvement in a pre-specified number of generations, when reaching a pre-specified number of generations, or when the objective function value has reached a pre-specified value. Another important designing issue is that controlling the randomness of some evolutionary operations should be considered in designing effective evolutionary-based search methods. This has motivated many researchers and was one of the main reasons for inventing the “memetic algorithms” [10,11]. Moreover, more deterministic operations have been highly recommended in developing the next generation genetic algorithms [12].
The main goal of this research is to construct an effective and intelligent method that looks for optimal or near-optimal solutions to non-convex optimization problems. A global search method is to solve the general unconstrained global optimization problem:
min x X f ( x ) .
In Equation (1), f is a real-value function that is defined in the search space X R n with variables x X . Many methods of EAs have been suggested to deal with such problems [13,14]. This optimization problem has also been considered by different heuristic methods such as; tabu search [15,16,17], simulated annealing [18,19,20], memetic algorithms [11], differential evolution [21,22], particle swarm optimization [23,24], ant colony optimization [25], variable neighborhood search [26], scatter search [27,28] and hybrid approaches [29,30,31]. Multiple applications in various areas such as computer engineering, computer science, economic, engineering, computational science and medicine can be expressed or redefined as problem in Equation (1), see [2,32] and references therein. The considered problem is an unconstrained one; however, there are several constraint-handling techniques that have been proposed to extend some of the previously mentioned research to deal with the constrained version of Problem (1) [33,34,35]. Some of the common techniques are to use penalty functions, fillers and dominance-based technique [36,37].
In this research, the proposed methods are expressed using quadratic models that partially approximate the objective function. Two design models have been invoked to construct these methods. In the first model called Quadratic Coding Genetic Algorithm (QAGA), trial solutions are encoded as coefficients of quadratic functions, and their fitness is evaluated by the objective values at quadratic optimizers of these models. Through generations, these quadratic forms are adapted by the genetic operators: selection, crossover, and mutation. In the second model, Evolution Strategies (ESs) are modified by exploiting search memory elements, automatic sensing conditions, and a quadratic search operator for global optimization. The second proposed method is called Sensing Evolution Strategies (SES). Specifically, the regression method and Artificial Neural Networks (ANN) are used as an approximation process. Explicitly, Radial Basis Functions (RBFs) are invoked as an efficient local ANN technique [38].
The obtained results show that the quadratic approximation and coding models could improve the performance of EAs and could reach faster convergence. Moreover, the mutagenesis operator is much effective and cheaper than some local search techniques. Furthermore, the final intensification process can be started to refine the elite solutions obtained so far. In general, the numerical results indicate that the proposed methods are competitive with some other versions of EAs.
The rest of this paper is structured as follows. Related work is discussed in Section 2. In Section 3, the components of the proposed quadratic models are illustrated. The details of the proposed methods QCGA and SES are explained in Section 4 and Section 5, respectively. In Section 6, numerical experiments aiming at analyzing and discussing the performance of the proposed methods and their novel operators are presented. Finally, the conclusion makes up Section 7.

2. Related Work

The main contributions of this research are to use the wise guidance of mathematical techniques through quadratic models and to design smarter evolutionary-based methods that can sense the progress of the search to achieve finer intensification, wider exploration, and automatic termination.
In designing the proposed methods, EAs are customized with different guiding strategies. First, an exploration and exploitation strategy is proposed to provide the search process with accelerated automatic termination criteria. Specifically, matrices called Gene Matrix (GM) are constructed to sample the search space [1,39,40]. The role of the GM is to aid the exploration process. Typically, GM can equip the search with novel diverse solutions by applying a unique type of mutation that is called “mutagenesis” [39,40]. Principally, mutagenesis may be defined as a nature mechanism by which the genes of an individual are changed, which lead to the mutation process. Thus, this mechanism is a driving force of evolution process [40]. Thus, the mutagenesis operator alters some survival individuals to accelerate the exploration and exploitation processes [40]. On the other hand, GM is used to lead the search process to know how far the exploration process has gone to judge a termination point. Moreover, the mutagenesis operation lets the proposed method, the GA with Gene Matrix, perform like a so-called “Memetic Algorithm” [41,42] to accomplish a faster convergence [40].
Practical termination criteria are one of the main designing issues in EAs. Typically, research is scant of termination criteria for EAs. However, in [43], an empirical method is used to determine the maximum number of needed generations by using the problem characteristics to converge for a solution. Moreover, eight termination criteria have been discussed in [44] that proposed a way of using clustering techniques to test the distribution of specific generation individuals in the search space. Different search memory mechanisms have been adapted as termination criteria to reflect the wideness of the exploration process [39,40,45]. There are four classes of termination criteria of EAs [39]. The first class is called T F i t criterion, and it is based on calculating the best fitness function values over generations. This method keeps tracking the best fitness function values in each generation, and it terminates the algorithm if the values do not significantly change [46,47]. A T P o p criterion is the second class measuring the population over generations. In each generation, the distances between chromosomes are measured and used to terminate the algorithm if these distances are very close. Work in [48] uses T P o p criterion for termination by adding distances among individuals and making sure it is smaller than a predefined threshold. The other two classes are T B u d and T S F B . The T B u d criterion applies a computational budget such as the maximum number of generations or function evaluations for termination [49,50,51]. In the T S F B criterion, a search feedback measure evaluates the exploration and exploitation processes. Measures such as the distribution of the generated solutions or the frequencies of visiting regions inside the search space are invoked to test the search process. In [45], the exploration process is examined by a diverse index set of points created at the beginning of the search process, which tries to guarantee a well-distribution of the generated points over the search space. The algorithm is terminated when most of the regions get visited.
These termination criteria may struggle from some difficulties [45,52]. Applying T F i t only in EAs can easily make it trapped in local minima. Also, it is costly to have the entire population or a part of it convergent when using T P o p , while it is sufficient to have one chromosome closely reach the global minima. Gaining prior information about the search problem is a big concern when invoking T B u d criteria. Lastly, however using T S F B looks effective; it may suffer the dimensionality problem, and it is complex to save and test huge historical search information. Therefore, implementing mixed termination criteria in EAs to overcome these problems is appreciated [53,54].
Evolutionary computing and artificial neural networks are main classes in computational intelligence [55,56]. Most of the research focus on how to use EAs to get more trained ANN [57,58]. There is relatively little research studying how to do the opposite by using ANN to design better EA-based methods or even to construct global optimization methods such in [59,60]. In this research, the Radial Basis Functions (RBFs) are invoked as an efficient local ANN technique to help the EAs to reach promising regions and directions. Generally, other types of ANN could be used for the same task, such as the well-known multi-layer perceptron (MLB) with a training algorithm such as the back-propagation algorithm. However, RBFs is a local learning ANNs that could overcome the problem of long iterations learning process of other types of ANNs. In RBFs, the number of iterations is bounded maximum to the number of input samples. In other words, the middle layer adds one neuron per any new input sample, as shown in Figure 1.

3. Quadratic Approximation Methods

One of the main steps in the proposed algorithms is to find out the best and fastest approximation for a high-dimensional function. Generally, two methods have been applied for this purpose; quadratic regression and radial basis function as a local supervised ANN. In both methods, the following Equation (2) and its derivative are used for the fitting of the parameters:
f ( x ) = x T A x + b x + c ,
where A is an n × n matrix, b is a vector with n-dimension, and c is a scalar. These individuals’ quadratic forms are adapted by the genetic operators through generations to fit the given objective function locally.
The least-square quadratic regression (also known as a nonlinear or second-order regression) is used because it is a fast and simple method for fitting. Moreover, it produces a good approximation and has very encouraging properties that can solve high-dimensional functions by finding A, b, and c in Equation (2). Thus, the idea is to choose a quadratic function that minimizes the sum of the squares of the vertical distances between the original fitness function values at generated solutions and an approximate quadratic function with finding coefficients A, b and c, as shown in Figure 2. Then, approximate quadratic optimizers of the quadratic models can be given by Equation (3), which is represented by the derivative of Equation (2).
x = 1 2 A 1 b .
It is computationally expensive to compute the inverse of a full matrix A in Equation (3), especially for high dimension problems. Hence, it is recommended to apply an efficient relaxation method to approximate A to a diagonal matrix. Therefore, an approximate quadratic solution can be given as:
x = 1 2 i = 1 n b i a i , i ,
where a i , j and b i are the entities of A and b, respectively, with a i , i 0 , i = 1 , , n and i = 1 , , n .

3.1. Regression

Quadratic regression models are usually generated using least-squares methods [61]. Procedure 1 explains the steps of obtaining an approximate solution using the least-squares regression models. Starting with a set S of previously generated solutions, the least-squares regression method is called to find an approximate quadratic function, as in Equation (2), that fits those solutions. Then, an approximate optimizer can be calculated using Equation (3).
Procedure 1.  Quad-LSE ( S )
1. 
Using least-squares regression, generate a quadratic model as in Equation (2) that fits the solutions in the sample set S.
2. 
Get the coefficients A, b, and c, of the generated approximate quadratic function.
3. 
Return with the minimum point of the approximate quadratic function using Equations (3) and (4).

3.2. Artificial Neural Networks

Artificial Neural Networks (ANNs) are used in various optimization applications, such as in the areas of complex nonlinear system identification and global approximation. Many researchers have proved that multi-layer feed-forward ANNs, using different types of activation functions, works as a universal approximator [38]. Moreover, continuous nonlinear functions can be approximated and/or interpolated with feed-forward ANNs and can be used to approximate the outputs of dynamical systems directly. Generally, ANNs are employed with EA in two main ways. Typically, most research focus on optimizing ANNs parameters, especially weights, using evolutionary techniques, especially GA [62]. These results, in better classification of the ANNs, use of the power of both methods, the learning ability of the ANNs, and the best parameter values of EA. On the other hand, little research, such as this one, do the opposite thing by optimizing the evolutionary algorithms using ANNs for various purposes [63,64,65].
In this research, the speedup of the optimization process has been done using an RBF neural network. The RBF has been used for searching for the approximated quadratic function for a continuous function of variables such as shown in Appendix A and Appendix B. Therefore, The RBF builds local representations of the functions and so their parameters. However, RBFs are simpler to be initialized and trained than feed-forward multi-layer perceptrons (MLPs) neural networks. Thus, RBFs overcome the problem of the training iteration process as it is a local learning type of neural network. Therefore, the iterations are bounded as a maximum of the number of input samples. However, RBFs approximation may be very attractive for approximating complex functions in numerical simulations. Moreover, RBFs would allow randomly scattered data to generalize easily to several space dimensions, and it can be accurate in the interpolation process. With all those motivations, this study used the properties of RBFs approximations to develop a new global optimization tool.
As shown in Figure 1, the RBF neural network is a two-layer ANN, where each hidden unit exploits a radial (Gaussian) activation function for the hidden layer processing elements. The output unit applies a weighted sum of all hidden unit outputs. Although the inputs into the RBF network are nonlinear, the output is linear due to the structure of the RBF neural network. By adjusting the parameters of the Gaussian functions in the hidden layer neurons, each one reacts only to a small region of the input space. However, for successful performance and implementation of RBFs is to find reasonable centers and widths of the Gaussian functions. In this research, during simulation, a MATLAB function is used to determine the Gaussian centers and widths using the input data of the desired function from Appendix A and Appendix B. Once the hidden layer has completed its local training and all parameters adjustment, the output layer then adds the outputs of the hidden layer based on its weights. The steps of obtaining an approximate solution using the ANN models are shown in Procedure 2.
Procedure 2.  Quad-ANN ( S )
1. 
A set S of generated samples of solutions is used for training the RBF to obtain an approximate quadratic function as in Equation (2).
2. 
Get the coefficients A, b and c of the approximate quadratic function obtained by the RBF network.
3. 
Return with the minimum point of the approximate quadratic function using Equations (3) and (4).

4. Quadratic Coding Genetic Algorithm

One of the proposed methods in this research is called the Quadratic Coding Genetic Algorithm (QCGA). In the following, the main structure and design of the proposed QCGA method are described. Generally, the QCGA method uses a population of μ individuals or solutions. Each individual represents a quadratic form model as in Equation (2). These quadratic form individuals are adapted by the genetic operators through generations to fit the given objective function locally. Therefore, optimizing these quadratic models can provide approximated solutions for the local minima of a given objective function. The optimizers of the quadratic models can be given by Equation (3), as explained before.
Practically, it is very costly to compute the inverse of a full matrix A in Equation (3), especially for high dimension problems. Hence, using a reasonable relaxation form of this coefficient matrix is crucial. Thus, as a main step in the proposed method, A is approximated as a diagonal matrix. Therefore, the QCGA individuals are coded in the quadratic models as:
w = ( w 1 , w 2 , , w n , w n + 1 , , w 2 n , w 2 n + 1 ) ,
where w i , i = 1 , , n , are equal to the diagonal entities of A, w i , i = n + 1 , , 2 n , are equal to the entities of b, and w 2 n + 1 = c . To avoid the non-singularity of A, the entities w i , i = 1 , , n , are initialized and updated to satisfy the conditions | x i | ϵ , i = 1 , , n , for some predefined small real number ϵ . The individuals fitness values are computed as f ( x ) , where f ( · ) is the given objective function and x is calculated as:
x = 1 2 ( w n + 1 w 1 , w n + 2 w 2 , , w 2 n w n ) .
The algorithmic scenario of QCGA is shown in Figure 3. In each iteration of the QCGA algorithm, an intermediate parent population is generated using the linear ranking selection mechanism [66]. Then, the arithmetical crossover and uniform mutation operators [67] are applied to reproduce the offspring. After getting the children, the survival selection is applied to select the survival members based on the members’ elitism. Finally, the QCGA uses local search methods of Nelder–Mead [68] and the heuristic descent method [18] as a final intensification step to refine the best solutions found so far.

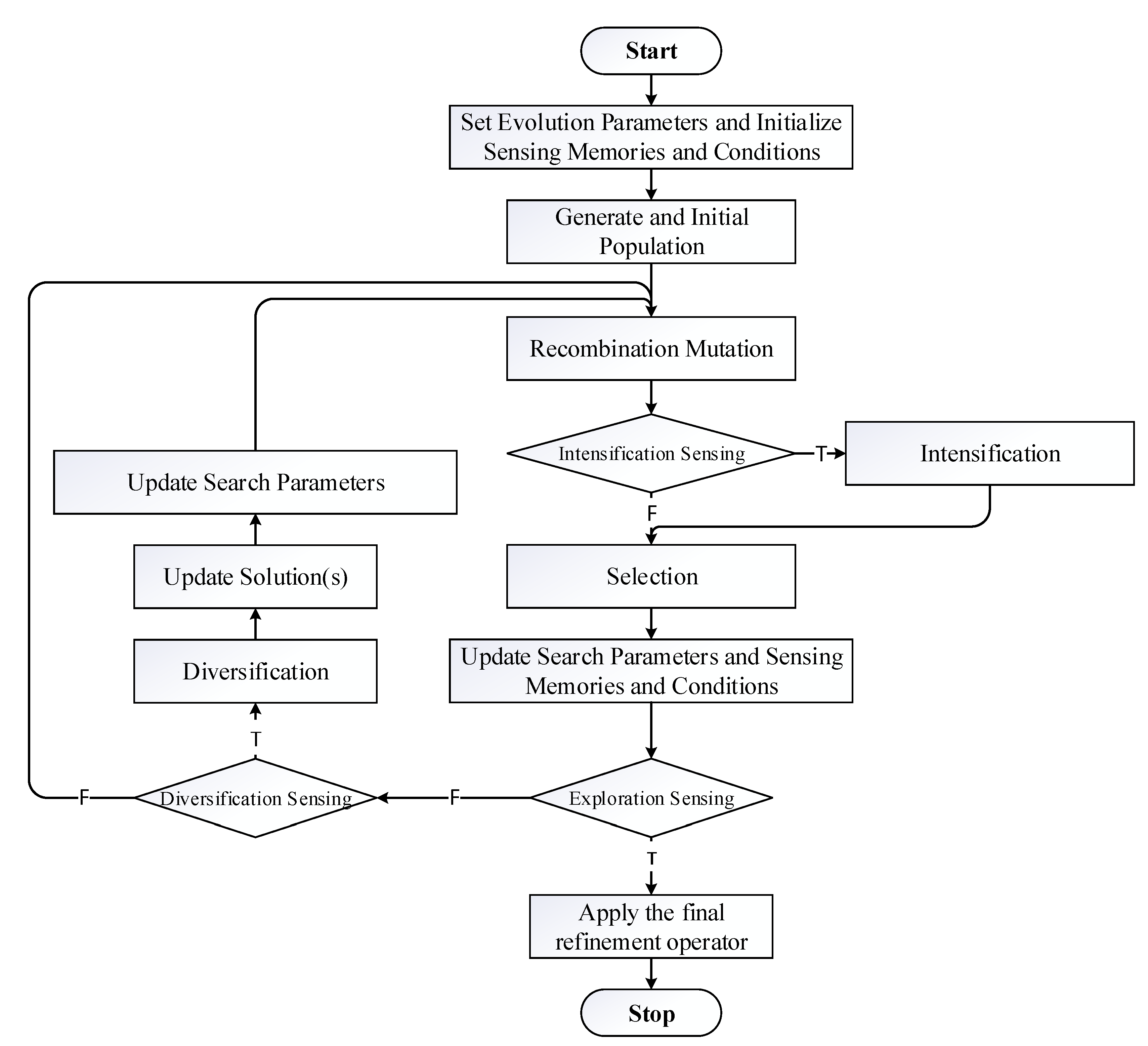
5. Sensing Evolution Strategies

The difficulty in solving global optimization problems arises from the challenge of searching a vast variable space to locate an optimal point, or at least space of points, with appropriate solution quality. It becomes even more challenging when the appropriate space is minimal compared to the complex search space. However, the quality of the initial solutions may impact the performance of the algorithm. Thus, various global optimization techniques which exploit memory concept in different ways to help in both finding the optimal solution in minimum time and reduce the problem complexity are proposed. Generally, memory concept is used in various research for the sake of assisting exploration and exploitation processes. In [40], a directing strategy based on new search memories; the Gene Matrix (GM) and Landscape Matrix (LM) is proposed. That strategy can provide the search with new diverse solutions by applying a new type of mutation called “mutagenesis” [39]. The mutagenesis operator is used to change selected survival individuals to accelerate the exploration and exploitation processes. However, the GM and LM are also used to help the search process to remember how far the exploration process has gone to judge a termination point. In [15,16], tabu search algorithms are used with memory concept in high-dimensional problems to explore the region around an iterate solution more precisely.
The main structure of the proposed Sensing Evolution Strategies (SES) is shown in Figure 4. In the following, full details of the SES method and its algorithm steps are described. The SES method starts with a population of μ real-coded chromosomes. The mutated offspring is generated as in the typical ESs [69,70]. Therefore, a mutated offspring ( x ˜ , σ ˜ ) is obtained from a parent ( x ^ , σ ^ ) , where the i-th component of the mutated offspring ( x ˜ , σ ˜ ) is given as:
σ ˜ i = σ ^ i e τ N ( 0 , 1 ) + τ N i ( 0 , 1 ) ,
x ˜ i = x ^ i + σ ˜ i N i ( 0 , 1 ) ,
where τ 1 / 2 n and τ 1 / 2 n , and the proportional coefficients are usually set to one. The mutated offspring can be also computed from recombined parent as given in Procedure 3.
Procedure 3.  Recombination ( p 1 , , p ρ )
1. 
If ρ > n then return.
2. 
Partition each parent into ρ partitions at the same positions, i.e., p j = [ X 1 j X 2 j X ρ j ] , j = 1 , , ρ .
3. 
Order the set { 1 , 2 , , ρ } randomly to be { o 1 , o 2 , , o ρ } .
4. 
Calculate the recombined child x = [ X 1 o 1 X 2 o 2 X ρ o ρ ] , and return.
Adding sensing features to the proposed SES method makes it behave smarter. This can be achieved by generating and analyze search data and memory elements. As a main search memory for the SES, the GM is invoked as it has shown promising performance in global optimization [1,39,40]. In GM, each x in the search space consists of n genes or variables to get a real-coding representation of each individual in x. First, the range value of each gene is divided into m sub-range to check the diversity of the gene values. Thus, the GM is initialized to be a n × m zero matrix in which each entry of the i-th row refers to a sub-space of the i-th gene, from which GM is zeros, and ones matrix and its entries are changed from zeros to ones if new genes are generated within the corresponding sub-spaces during the searching process, as shown in Figure 5. This process can be continued until all entries become ones, i.e., with no zero entry in the GM. At that point, when the GM is considered full of ones, the search process achieves an advanced exploration process and can be stopped. Therefore, the GM is used to provide the search process with efficient termination criteria, and it can help by providing the search process with various diverse solutions.
Three sensing features have been invoked in the SES method as explained in the following:
  • Intensification Sensing. This feature seeks to detect promising search regions that have been recently visited. Then, a local fast search can be applied to explore such promising regions deeply. The SES method uses quadratic search models as stated in Procedures 1 and 2 to obtain approximate premising solutions using Equation (4). Moreover, a promising region can be detected when the generated mutated children are adapted to be close. Then, a quadratic model can be generated to approximate the fitness function in that close region surrounding those mutated children.
  • Diversification Sensing. This feature aims to avoid entrapment in local solutions and recognize the need for generating new diverse solutions. The SES method checks the improvement rates while the search is going on. Whenever significant non-improvement has been faced, then the mutagenesis operation (Procedure 4) is called to generate new diverse solutions. In that procedure, new solutions are created by generating their gene values within sub-ranges whose corresponding indicators are zeros in the GM as shown in Figure 6. Those diverse solutions replace some worst solutions in the current population.
  • Exploration Sensing. This feature tries to recognize the progress of the search exploration process and to detect an appropriate time for termination whenever a wide exploration process is achieved. When a full GM is reached, then the SES method has learned that the exploration method is almost over.
The mutagenesis operation starts with selecting a zero-position in the GM, which is corresponding to a zero-visit partition. Selecting such GM-entry is done randomly. Then, a new value of the gene related to the selected GM-entry is generated within the corresponding partition of the selection, as illustrated in Figure 6. The formal description of this mechanism is stated in Procedure 4.
Procedure 4.  Mutagenesis ( x , GM )
1. 
If GM is full then return.
2. 
Choose a zero-position ( i , j ) in GM randomly.
3. 
Update x by setting x i = l i + ( j r ) u i l i m , where r is a random number from ( 0 , 1 ) , and l i , u i are the lower and upper bound of the variable x i , respectively.
4. 
Update GM by setting G M i j = 1 , and return.
The formal description of the proposed SES method is given in the following Algorithm 1.
Algorithm 1. SES Algorithm
1. 
Initialization.Create an initial population P 0 = { ( x i , σ i , F ( x i ) ) , i = 1 , , μ } , and initialize the GM. Choose the recombination probability p r [ 0 , 1 ] , set values of; ρ, N w and N e l i t e t , set ν : = λ / μ , and set the generation counter g : = 0 .
2. 
Main Loop.Repeat the following steps (2.1)–(2.4) from j = 1 , , μ .
2.1 
Recombination.Generate a random number χ [ 0 , 1 ] . If χ > p r , choose a parent ( x ^ j , σ ^ j ) from P g and go to Step 2.2. Otherwise, choose ρ parents p 1 , , p ρ from P g , and calculate the recombined child ( x ^ j , σ ^ j ) using Procedure 3.
2.2 
Mutation.Use the individual ( x ^ j , σ ^ j ) to calculate the mutated children ( x ˜ j , k , σ ˜ j , k ) , k = 1 , , ν , as in Equations (7) and (8).
2.3 
Fitness.Evaluate the fitness function F ˜ j , k = F ( x ˜ j , k ) , k = 1 , , ν .
2.4 
Intensification Sensing.If the individual ( x ^ j , σ ^ j ) and his mutated children ( x ˜ j , k , σ ˜ j , k ) , k = 1 , , ν , are close enough to be approximated by a quadratic model, the apply Procedure 1 or 2 to get an improved point. Replace the worst mutated child with the generated point by the quadratic model if the latter is better.
3. 
Children Gathering.Collect all generated children in C g containing all ( x ˜ j , k , σ ˜ j , k , F ˜ j , k ) , j = 1 , , μ , k = 1 , , ν .
4. 
Update Search Parameters. Update the GM.
5. 
Exploration Sensing. If the GM is full, then go to Step 8.
6. 
Selection.Choose the best μ individuals from P g C g to compose the next generation P g + 1 . Update the gene matrix GM.
7. 
Diversification Sensing. If the new population needs new diverse solutions, then apply Procedure 4 to alter the N w worst individuals in P g + 1 . Set g : = g + 1 , and go to Step 2.
8. 
Intensification.Apply a local search method starting from each solution from the N e l i t e best ones obtained in the previous search stage.
The non-convex global optimization problem, defined in Equation (1), is an N P -complete problem [71]. Therefore, there is no efficient algorithm to solve such problem in its general form. Metaheuristics are practical solvers for this problem which are generally polynomial algorithms [72,73]. The proposed methods; QCGA and SES, follow the main structures of standard EAs with additive procedures which are at most of order O ( n 3 ) .

6. Experimental Results

In the following, the experimental results are discussed. All the proposed methods are programmed using MATLAB. The parameters values used in QCGA and SES algorithms are set based on the typical setting in the literature or determined through our preliminary numerical experiments, as shown in Table 1 and Table 2. Two classes of benchmark test functions have been invoked in the experimental results to discuss the efficiency of the proposed methods. The first class of benchmark functions contains 13 classical test functions f 1 f 13 [16]. Those functions definitions are given in Appendix A. The other class of benchmark functions contains 25 hard test functions h 1 h 25 [74,75] which are described in Appendix B.
In the following, a highlight of the performance analysis on the quadratic coding and quadratic search operators before discussing the whole proposed algorithmic performance of the proposed methods is given.

6.1. Quadratic Coding

The main numerical results are shown in Figure 7 and Table 3. Table 3 shows the average values of best solutions (Avg. f ( x b e s t ) ), the average numbers of function evaluations (Cost), and the success rates of reaching close to the global optima. We compare the results of the QCGA method with the standard genetic algorithm (GA), and one of the recent genetic algorithm versions called the Adaptive Genetic Algorithm (AGA) [9]. For the QCGA and GA results, there are obtained over 100 independent runs. The AGA results are taken from their original reference, which is averaged over only 30 independent runs. The results in Table 3 and Figure 7 show that the proposed method could improve the performance of the genetic algorithm and could reach faster convergence. Moreover, the proposed method could be competitive with the recent advanced GA versions.

6.2. Quadratic Models

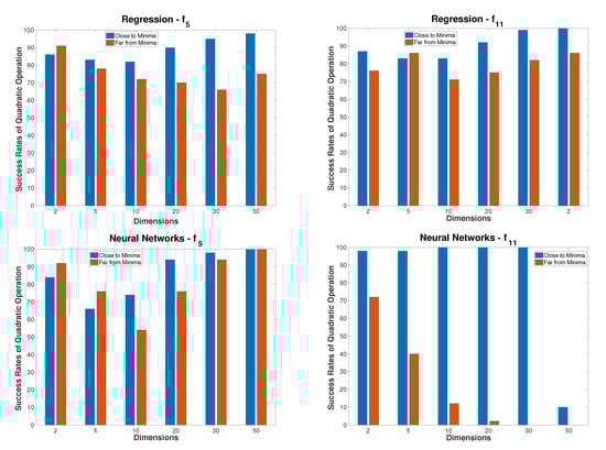
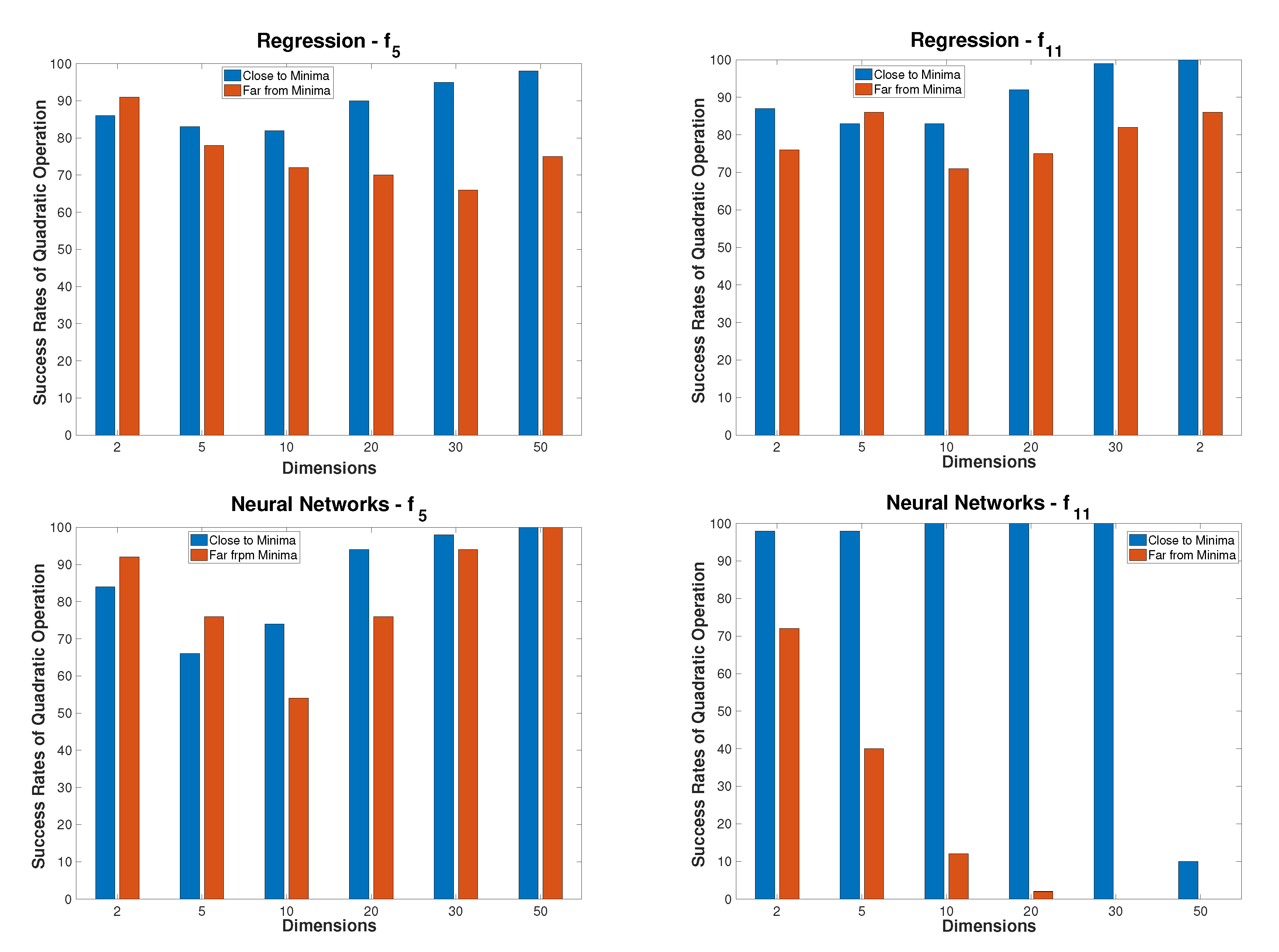
The performance of the quadratic regression model is tested to show how it can help the EAs to find new, improved solutions. Figure 8 shows the success rates of obtaining improved solutions using the proposed quadratic models. Two test functions; f 5 and f 11 (shown in Appendix A), are invoked in this experiment with different dimensions of 2, 5, 10, 20, 30 and 50. The solutions used in this experiment are generated to be close to local or global minima, and also to be far from them. Results show that the success rates of obtaining improved solutions are promising, especially in high dimensions. However, the results shown in Figure 8 illustrate that the performance of this quadratic operation near minima is better than that far from them. Compared to regression models, the RBF is almost working in the same manner. However, the RBF success rate of obtaining improved solutions depends on the type of function since the performance of the quadratic operation at f 5 is better than that at f 11 . Finally, we may conclude that the proposed quadratic models are promising intensification procedures especially in the vicinity of the local and global minima.

6.3. Termination Criteria and Processing Time

The automatic termination using the GM is illustrated in Figure 9 using test functions f 1 , f 3 , f 5 and f 7 . The QCGA and SES R codes were continued running after reaching the point of having a full GM to check any further improvement after that. It is worthwhile to mention that there almost no improvement after reaching a full GM as shown in Figure 9. Therefore, the automatic termination using the GM could help EAs to avoid unnecessary computations.
The runtime of the proposed methods are computed and presented in Figure 10 and Figure 11 which is reported over 25 independent runs. Figure 10 shows the processing time for running the QCGA and the standard GA. The difference between the processing times of the two methods is reasonable, although the QCGA uses additional search procedures more than the standard GA. The processing time for running the all proposed methods are presented in Figure 11. The processing times of these methods are close to each other. However, one can note that the processing times of using the ANN models are greater than those of using the regression models.

6.4. Global Search Results

Table 4 shows a comparison between various methods such as regression SES R , RBFs SES N , and Covariance Matrix Adaptation Evolution Strategy (CMA-ES) [76]. The results are not as fair as the termination policies in both methods are different. Thus, the results show that the regression method is more promoting over the RBFs due to the mentioned reason of termination criteria. The results also reveal that the QCGA algorithm has steadily better performance than the ESLAT and CMA-ES in terms of the success rate. The solution costs in Table 5 show the number of iterations that is consumed to get each relevant result. RBFs consume more time in all function iterations than the regression method, while the QCGA consumes less time compared with the ESLAT algorithm.
The Wilcoxon rank-sum test [77,78,79] is applied to measure the performance of all the compared methods. This test is classified as a non-parametric test, which is endorsed in our experiments [80,81]. A comparison between the Wilcoxon test’s results and the obtained results from our proposed methods are illustrated in Table 6. The table shows the sum of rankings obtained in each comparison and the p-value associated. Typically, the difference d i between the performance values of the two methods on i-th out of N results are calculated. Afterwards, based on the absolute values of these differences, they are ranked. The ranks R + and R are computed as follows:
R + = d i > 0 r a n k ( d i ) + 1 2 d i = 0 r a n k ( d i ) , R = d i < 0 r a n k ( d i ) + 1 2 d i = 0 r a n k ( d i ) .
The equality hypothesis is based on rejecting in case of having the min ( R + , R ) is less than or equal to the value of the distribution of Wilcoxon for N degrees of freedom (Table B.12 in [79]). The best method is SES R , as shown in Table 6 according to the best solutions criteria, while the comparison based on the success rate criteria shows that SES R is better than the SES N and ESLAT algorithms. Also, QCGA has an excellent performance better than SES N and ESLAT. The third comparison criteria, solutions costs, proves that SES R performs better than all the compared methods except the CMA-ES.

6.5. Results for Hard Test Functions

There are many suits of test functions, but one of the most common is the CEC2005 suit which contains 25 functions [74,75], see Appendix B. This benchmark suit includes unimodal functions ( h 1 h 5 ), basic multimodal functions ( h 6 h 12 ), extended multimodal functions ( h 13 h 14 ), and hybrid composition functions ( h 15 h 25 ). These functions are composed from some classical functions with higher degrees of difficulties like function shifting, rotating and combining.
The proposed QCGA method is applied to these hard test functions with dimensions 10, 30 and 50, as reported in Table 7, Table 8 and Table 9. The reported results in these tables are global minima, the mean and standard deviation of best objective values obtained by the algorithm as well as the best and the worst value, the mean and standard deviation of the errors between the obtained objective values and the optimal ones, the mean of function evaluations, and the success rate of reaching the global minima within a gap of 10 3 . All these results are obtained over 25 independent runs of the QCGA code. The results show that the method could reach the global minima for some functions and close to them for others. The best objective function values obtained by the method are relatively close to the worst ones except to functions h 4 and h 5 .
To check the quality of the hard functions results displayed in Table 8 and Table 9, we compare them with the following benchmark methods:
  • Self-adaptive artificial bee colony based on the global best candidate (SABC-GB) method [82].
  • Artificial bee colony (ABC/best/1) [83].
The compared results are reported in Table 10 and Table 11, as well as Table 12 which shows the statistical tests for the compared results. Table 10 and Table 11 show the mean and standard deviation values of the errors between the obtained objective values and the optimal ones for the hard test functions with dimensions 30 and 50. The results of the compared methods SABC-GB and ABC/best/1 are taken from their original references [82,83], respectively. The number of function evaluations used to terminate both of the SABC-GB and ABC/best/1 methods is 300,000 as mentioned in [82].
The best obtained error values among the compared methods in Table 8 and Table 9 are marked with bold. Moreover, the numbers of times that each method succeeded in obtaining the best result compared to the others are mentioned at the bottom of each table. For the 30-dimension results in Table 8, the performance of SABC-GB and QCGA regarding obtaining the best errors is close. However, the proposed QCGA method is slightly better than SABC-GB for the 50-dimension results in Table 9.
The Wilcoxon rank-sum test is applied to estimate the difference between the compared methods in terms of the obtained errors and the numbers of function evaluations. The statistical test outputs are reported in Table 12. These tests clarify that there is no significant difference between the compared methods in terms of the solution errors at the significant level of 0.05 . However, it is clear that the QCGA could outperform the others in terms of reducing the computational costs of function evaluations.

7. Conclusions

In this work, we propose a modified GA version called QCGA, which is based on applying a quadratic search operator to solve the global optimization problem. The use of quadratic coding of solutions efficiently assists the algorithm in achieving promising performance. Furthermore, other quadratic-based techniques are presented as search operators to help the ESs in finding a global solution quickly. Moreover, the gene matrix memory element is invoked, which could guide the search process to new diverse solutions and help in terminating the algorithms. The efficiency of these methods is tested using several sets of benchmark test functions. The comparisons with some standard techniques in the literature indicate that the proposed methods are promising and show the efficiency of them shortening the computational costs. We may conclude that applying quadratic search operators can give them better performance and quick solutions. Therefore, we suggest the extension of the proposed ideas to modify the other metaheuristics. The quadratic search models can be invoked as local search procedures in many methods such as particle swarm optimization, ant colony optimization, and artificial immune systems. Moreover, the quadratic models and coding can also be used in response surface and surrogate optimization techniques. Finally, the proposed methods can also be extended to deal with constrained global optimization problems using suitable constraint-handling techniques.

Author Contributions

Conceptualization, A.-R.H., H.H.A. and M.A., W.D.; methodology, A.-R.H., W.D., H.H.A. and M.A.; programming and implementation, A.-R.H., H.H.A. and M.A.; writing—original draft preparation, A.-R.H., W.D., H.H.A. and M.A.; writing—review and editing, A.-R.H., W.D., H.H.A. and M.A.; funding acquisition, A.-R.H. All authors have read and agreed to the published version of the manuscript.

Funding

This work was funded by the National Plan for Science, Technology, and Innovation (MAARIFAH), King Abdulaziz City for Science and Technology, the Kingdom of Saudi Arabia, award number (13-INF544-10).

Acknowledgments

The authors would like to thank King Abdulaziz City for Science and Technology, the Kingdom of Saudi Arabia, for supporting the project number (13-INF544-10).

Conflicts of Interest

The authors declare no conflict of interest.

Appendix A. Classical Test Functions

Appendix A.1. Sphere Function (f1)

  • Definition:  f 1 ( x ) = i = 1 n x i 2 .
  • Search space:  100 x i 100 , i = 1 , , n .
  • Global minimum:  x = ( 0 , , 0 ) , f 1 ( x ) = 0 .

Appendix A.2. Schwefel Function (f2)

  • Definition:  f 2 ( x ) = i = 1 n | x i | + i = 1 n | x i | .
  • Search space:  10 x i 10 , i = 1 , , n .
  • Global minimum:  x = ( 0 , , 0 ) , f 2 ( x ) = 0 .

Appendix A.3. Schwefel Function (f3)

  • Definition:  f 3 ( x ) = i = 1 n ( j = 1 i x j ) 2 .
  • Search space:  100 x i 100 , i = 1 , , n .
  • Global minimum:  x = ( 0 , , 0 ) , f 3 ( x ) = 0 .

Appendix A.4. Schwefel Function (f4)

  • Definition:  f 4 ( x ) = max i = 1 , n { | x i | } .
  • Search space:  100 x i 100 , i = 1 , , n .
  • Global minimum:  x = ( 0 , , 0 ) , f 4 ( x ) = 0 .

Appendix A.5. Rosenbrock Function (f5)

  • Definition:  f 5 ( x ) = i = 1 n 1 100 x i 2 x i + 1 2 + x i 1 2 .
  • Search space:  30 x i 30 , i = 1 , 2 , , n .
  • Global minimum:  x = ( 1 , , 1 ) , f 5 ( x ) = 0 .

Appendix A.6. Step Function (f6)

  • Definition:  f 6 ( x ) = i = 1 n ( x i + 0.5 ) 2 .
  • Search space:  100 x i 100 , i = 1 , 2 , , n .
  • Global minimum:  x = ( 0 , , 0 ) , f 6 ( x ) = 0 .

Appendix A.7. Quartic Function with Noise (f7)

  • Definition:  f 7 ( x ) = i = 1 n i x i 4 + r a n d o m [ 0 , 1 ) .
  • Search space:  1.28 x i 1.28 , i = 1 , , n .
  • Global minimum:  x = ( 0 , , 0 ) , f 7 ( x ) = 0 .

Appendix A.8. Schwefel Functions (f8)

  • Definition:  f 8 ( x ) = i = 1 n x i sin x i .
  • Search space:  500 x i 500 , i = 1 , 2 , , n .
  • Global minimum:  x = ( 420.9687 , , 420.9687 ) , f 8 ( x ) = 418.9829 n .

Appendix A.9. Rastrigin Function (f9)

  • Definition:  f 9 ( x ) = 10 n + i = 1 n x i 2 10 cos 2 π x i .
  • Search space:  5.12 x i 5.12 , i = 1 , , n .
  • Global minimum:  x = ( 0 , , 0 ) , f 9 ( x ) = 0 .

Appendix A.10. Ackley Function (f10)

  • Definition:  f 10 ( x ) = 20 + e 20 e 1 5 1 n i = 1 n x i 2 e 1 n i = 1 n cos ( 2 π x i ) .
  • Search space:  32 x i 32 , i = 1 , 2 , , n .
  • Global minimum:  x = ( 0 , , 0 ) ; f 10 ( x ) = 0 .

Appendix A.11. Griewank Function (f11)

  • Definition:  f 11 ( x ) = 1 4000 i = 1 n x i 2 i = 1 n cos x i i + 1 .
  • Search space:  600 x i 600 , i = 1 , , n .
  • Global minimum:  x = ( 0 , , 0 ) , f 11 ( x ) = 0 .

Appendix A.12. Levy Functions (f12, f13)

  • Definition: 
    f 12 ( x ) = π n { 10 sin 2 ( π y 1 ) + i = 1 n 1 ( y i 1 ) 2 ( 1 + 10 sin 2 ( π y i + 1 ) ) + ( y n 1 ) 2 } + i = 1 n u ( x i , 10 , 100 , 4 ) , y i = 1 + x i 1 4 , i = 1 , , n . f 13 ( x ) = 1 10 { sin 2 ( 3 π x 1 ) + i = 1 n 1 ( x i 1 ) 2 ( 1 + sin 2 ( 3 π x i + 1 ) ) + ( x n 1 ) 2 ( 1 + sin 2 ( 2 π x n ) ) } + i = 1 n u ( x i , 5 , 100 , 4 ) , u ( x i , a , k , m ) = k ( x i a ) m , x i > a ; 0 , a x i a ; k ( x i a ) m , x i < a .
  • Search space:  50 x i 50 , i = 1 , , n .
  • Global minimum:  x = ( 1 , , 1 ) , f 12 ( x ) = f 13 ( x ) = 0 .

Appendix B. Hard Test Functions

Twenty-five hard test functions h 1 h 25 are listed in Table A1 with their global minima and bounds. The reader is directed to reference [74,75] for more details on these functions.
Table A1. Hard Test Functions.
Table A1. Hard Test Functions.
hFunction NameBoundsGlobal Min
h 1 Shifted sphere function [ 100 , 100 ] 450
h 2 Shifted Schwefel’s function 1.2 [ 100 , 100 ] 450
h 3 Shifted rotated high conditioned elliptic function [ 100 , 100 ] 450
h 4 Shifted Schwefel’s function 1.2 with noise in fitness [ 100 , 100 ] 450
h 5 Schwefel’s function 2.6 with global optimum on bounds [ 100 , 100 ] 310
h 6 Shifted Rosenbrock’s function [ 100 , 100 ] 390
h 7 Shifted rotated Griewank’s function without bounds [ 0 , 600 ] 180
h 8 Shifted rotated Ackley’s function with global optimum on bounds [ 32 , 32 ] 140
h 9 Shifted Rastrigin’s function [ 5 , 5 ] 330
h 10 Shifted rotated Rastrigin’s function [ 5 , 5 ] 330
h 11 Shifted rotated Weierstrass function [ 0.5 , 0.5 ] 90
h 12 Schwefel’s function 2.13 [ 100 , 100 ] 460
h 13 Expanded extended Griewank’s + Rosenbrock’s function [ 3 , 1 ] 130
h 14 Expanded rotated extended Scaffer’s function [ 100 , 100 ] 300
h 15 Hybrid composition function [ 5 , 5 ] 120
h 16 Rotated hybrid composition function [ 5 , 5 ] 120
h 17 Rotated hybrid composition function with noise in fitness [ 5 , 5 ] 120
h 18 Rotated hybrid composition function [ 5 , 5 ] 10
h 19 Rotated hybrid composition function with narrow basin global optimum [ 5 , 5 ] 10
h 20 Rotated hybrid composition function with global optimum on the bounds [ 5 , 5 ] 10
h 21 Rotated hybrid composition function [ 5 , 5 ] 360
h 22 Rotated hybrid composition function with high condition number matrix [ 5 , 5 ] 360
h 23 Non-Continuous rotated hybrid composition function [ 5 , 5 ] 360
h 24 Rotated hybrid composition function [ 5 , 5 ] 260
h 25 Rotated hybrid composition function without bounds [ 2 , 5 ] 260

References

  1. Hedar, A.R.; Allam, A.A.; Deabes, W. Memory-Based Evolutionary Algorithms for Nonlinear and Stochastic Programming Problems. Mathematics 2019, 7, 1126. [Google Scholar] [CrossRef]
  2. Boussaïd, I.; Lepagnot, J.; Siarry, P. A survey on optimization metaheuristics. Inf. Sci. 2013, 237, 82–117. [Google Scholar] [CrossRef]
  3. Noghanian, S.; Sabouni, A.; Desell, T.; Ashtari, A. Global optimization: Differential evolution, genetic algorithms, particle swarm, and hybrid methods. In Microwave Tomography; Springer: Berlin, Germany, 2014; pp. 39–61. [Google Scholar]
  4. Noack, M.M.; Funke, S.W. Hybrid genetic deflated Newton method for global optimisation. J. Comput. Appl. Math. 2017, 325, 97–112. [Google Scholar] [CrossRef]
  5. Talbi, E.G. Combining metaheuristics with mathematical programming, constraint programming and machine learning. Ann. Oper. Res. 2016, 240, 171–215. [Google Scholar] [CrossRef]
  6. Bansal, J.C.; Singh, P.K.; Pal, N.R. Evolutionary and Swarm Intelligence Algorithms; Springer: Berlin, Germany, 2019. [Google Scholar]
  7. Bozorg-Haddad, O.; Solgi, M.; Loaiciga, H.A. Meta-heuristic and Evolutionary Algorithms for Engineering Optimization; John Wiley & Sons: Hoboken, NJ, USA, 2017; Volume 294. [Google Scholar]
  8. Emmerich, M.; Shir, O.M.; Wang, H. Evolution strategies. In Handbook of Heuristics; Springer: Cham, Switzerland, 2018; pp. 89–119. [Google Scholar] [CrossRef]
  9. Mahmoodabadi, M.; Nemati, A. A novel adaptive genetic algorithm for global optimization of mathematical test functions and real-world problems. Eng. Sci. Technol. Int. J. 2016, 19, 2002–2021. [Google Scholar] [CrossRef]
  10. Ong, Y.S.; Lim, M.H.; Zhu, N.; Wong, K.W. Classification of adaptive memetic algorithms: A comparative study. IEEE Trans. Syst. Man Cybern. B Cybern. 2006, 36, 141–152. [Google Scholar]
  11. Nguyen, Q.H.; Ong, Y.S.; Lim, M.H. A probabilistic memetic framework. IEEE Trans. Evol. Comput. 2009, 13, 604–623. [Google Scholar] [CrossRef]
  12. Whitley, D.; Chicano, F.; Ochoa, G.; Sutton, A.M.; Tinós, R. Next generation genetic algorithms. In Proceedings of the Genetic and Evolutionary Computation Conference, Berlin, Germany, 15–19 July 2017; pp. 922–941. [Google Scholar]
  13. Ahrari, A.; Kramer, O. Finite life span for improving the selection scheme in evolution strategies. Soft Comput. 2017, 21, 501–513. [Google Scholar] [CrossRef]
  14. Toledo, C.F.M.; Oliveira, L.; França, P.M. Global optimization using a genetic algorithm with hierarchically structured population. J. Comput. Appl. Math. 2014, 261, 341–351. [Google Scholar] [CrossRef]
  15. Hedar, A.R.; Fukushima, M. Tabu search directed by direct search methods for nonlinear global optimization. Eur. J. Oper. Res. 2006, 170, 329–349. [Google Scholar] [CrossRef]
  16. Hedar, A.R.; Ali, A.F. Tabu search with multi-level neighborhood structures for high dimensional problems. Appl. Intell. 2012, 37, 189–206. [Google Scholar] [CrossRef]
  17. Mascia, F.; Pellegrini, P.; Birattari, M.; Stützle, T. An analysis of parameter adaptation in reactive tabu search. Int. Trans. Oper. Res. 2014, 21, 127–152. [Google Scholar] [CrossRef][Green Version]
  18. Hedar, A.R.; Fukushima, M. Heuristic pattern search and its hybridization with simulated annealing for nonlinear global optimization. Optim. Methods Softw. 2004, 19, 291–308. [Google Scholar] [CrossRef]
  19. Thakur, M. A new genetic algorithm for global optimization of multimodal continuous functions. J. Comput. Sci. 2014, 5, 298–311. [Google Scholar] [CrossRef]
  20. Yang, C.; Kumar, M. An information guided framework for simulated annealing. J. Glob. Optim. 2015, 62, 131–154. [Google Scholar] [CrossRef]
  21. Saleh, A.; Hameed, H. A Novel Hybrid Algorithm of Differential Evolution with Evolving Spiking Neural Network for Pre-synaptic Neurons Optimization. Int. J. Adv. Soft Comput. 2014, 6, 1–16. [Google Scholar]
  22. Tang, L.; Dong, Y.; Liu, J. Differential Evolution with an Individual-Dependent Mechanism. IEEE Trans. Evol. Comput. 2015, 19, 560–574. [Google Scholar] [CrossRef]
  23. Cheng, S.; Lu, H.; Lei, X.; Shi, Y. A quarter century of particle swarm optimization. Complex Intell. Syst. 2018, 4, 227–239. [Google Scholar] [CrossRef]
  24. Esmin, A.A.; Coelho, R.A.; Matwin, S. A review on particle swarm optimization algorithm and its variants to clustering high-dimensional data. Artif. Intell. Rev. 2015, 44, 23–45. [Google Scholar] [CrossRef]
  25. Socha, K.; Dorigo, M. Ant colony optimization for continuous domains. Eur. J. Oper. Res. 2008, 185, 1155–1173. [Google Scholar] [CrossRef]
  26. Mladenović, N.; Dražić, M.; Kovačevic-Vujčić, V.; Čangalović, M. General variable neighborhood search for the continuous optimization. Eur. J. Oper. Res. 2008, 191, 753–770. [Google Scholar] [CrossRef]
  27. Hvattum, L.M.; Duarte, A.; Glover, F.; Martí, R. Designing effective improvement methods for scatter search: An experimental study on global optimization. Soft Comput. 2013, 17, 49–62. [Google Scholar] [CrossRef]
  28. Li, K.; Tian, H. A DE-based scatter search for global optimization problems. Discrete Dyn. Nat. Soc. 2015, 2015, 1–9. [Google Scholar] [CrossRef]
  29. Kumar, S.; Singh, S.K. Hybrid BFO and PSO Swarm Intelligence Approach for Biometric Feature Optimization. Nat. Inspired Comput. 2016, 7, 1490–1518. [Google Scholar] [CrossRef]
  30. Piotrowski, A.P. Adaptive memetic differential evolution with global and local neighborhood-based mutation operators. Inf. Sci. 2013, 241, 164–194. [Google Scholar] [CrossRef]
  31. Sahnehsaraei, M.A.; Mahmoodabadi, M.J.; Taherkhorsandi, M.; Castillo-Villar, K.K.; Yazdi, S.M. A hybrid global optimization algorithm: Particle swarm optimization in association with a genetic algorithm. In Complex System Modelling and Control Through Intelligent Soft Computations; Springer: Berlin, Germany, 2015; pp. 45–86. [Google Scholar]
  32. Hosseini, S.S.S.; Yang, X.S.; Gandomi, A.H.; Nemati, A. Solutions of Non-smooth Economic Dispatch Problems by Swarm Intelligence. In Adaptation and Hybridization in Computational Intelligence; Springer: Cham, Switzerland, 2015; Volume 18, pp. 136–153. [Google Scholar] [CrossRef]
  33. Coello, C.A.C. Theoretical and numerical constraint-handling techniques used with evolutionary algorithms: A survey of the state of the art. Comput. Methods Appl. Mech. Eng. 2002, 191, 1245–1287. [Google Scholar] [CrossRef]
  34. Mallipeddi, R.; Suganthan, P.N. Ensemble of constraint handling techniques. IEEE Trans. Evol. Comput. 2010, 14, 561–579. [Google Scholar] [CrossRef]
  35. Mezura-Montes, E. Constraint-Handling in Evolutionary Optimization; Springer: Berlin, Germany, 2009; Volume 198. [Google Scholar]
  36. Coello Coello, C.A. Constraint-handling techniques used with evolutionary algorithms. In Proceedings of the Genetic and Evolutionary Computation Conference, Denver, CO, USA, 20–24 July 2016; pp. 563–587. [Google Scholar]
  37. Hedar, A.R.; Fukushima, M. Derivative-free filter simulated annealing method for constrained continuous global optimization. J. Glob. Optim. 2006, 35, 521–549. [Google Scholar] [CrossRef]
  38. Da Silva, I.N.; Spatti, D.H.; Flauzino, R.A.; Liboni, L.H.B.; dos Reis Alves, S.F. Artificial Neural Networks; Springer International Publishing: Cham, Switzerland, 2017. [Google Scholar]
  39. Hedar, A.R.; Ong, B.T.; Fukushima, M. Genetic Algorithms with Automatic Accelerated Termination. Available online: http://www-optima.amp.i.kyoto-u.ac.jp/~fuku/papers/G3AT.pdf (accessed on 14 January 2020).
  40. Hedar, A.R. Adaptive Memory Matrices for Automatic Termination of Evolutionary Algorithms. In Proceedings of the Fourth International Conference on Informatics & Applications, Takamatsu, Japan, 20–22 July 2015; pp. 1–11. [Google Scholar]
  41. Moscato, P. Memetic algorithms: A short introduction. In New Ideas in Optimization; McGraw-Hill Ltd.: London, UK, 1999; pp. 219–234. [Google Scholar]
  42. Lozano, M.; Herrera, F.; Krasnogor, N.; Molina, D. Real-coded memetic algorithms with crossover hill-climbing. Evol. Comput. 2004, 12, 273–302. [Google Scholar] [CrossRef]
  43. Gibbs, M.S.; Maier, H.R.; Dandy, G.C.; Nixon, J.B. Minimum number of generations required for convergence of genetic algorithms. In Proceedings of the IEEE International Conference on Evolutionary Computation, Vancouver, BC, Canada, 16–21 July 2006; pp. 565–572. [Google Scholar]
  44. Jain, B.J.; Pohlheim, H.; Wegener, J. On termination criteria of evolutionary algorithms. In Proceedings of the Genetic and Evolutionary Computation Conference, San Francisco, CA, USA, 7–11 July 2001; Morgan Kaufmann Publishers: Burlington, MA, USA, 2001. [Google Scholar]
  45. Hedar, A.R.; Fukushima, M. Directed Evolutionary Programming: Towards an Improved Performance of Evolutionary Programming. In Proceedings of the IEEE International Conference on Evolutionary Computation, Vancouver, BC, Canada, 16–21 July 2006; pp. 1521–1528. [Google Scholar] [CrossRef]
  46. Leung, Y.W.; Wang, Y. An orthogonal genetic algorithm with quantization for global numerical optimization. IEEE Trans. Evol. Comput. 2001, 5, 41–53. [Google Scholar] [CrossRef]
  47. Tsai, J.T.; Liu, T.K.; Chou, J.H. Hybrid Taguchi-genetic algorithm for global numerical optimization. IEEE Trans. Evol. Comput. 2004, 8, 365–377. [Google Scholar] [CrossRef]
  48. Wang, L.; Xu, R.M.; Yan, B. Accurate small-signal model extraction for pHEMT on GaAs. Int. J. Infrared Millim. Waves 2007, 28, 1133–1141. [Google Scholar] [CrossRef]
  49. Koumousis, V.K.; Katsaras, C.P. A saw-tooth genetic algorithm combining the effects of variable population size and reinitialization to enhance performance. IEEE Trans. Evol. Comput. 2006, 10, 19–28. [Google Scholar] [CrossRef]
  50. Lim, D.; Ong, Y.S.; Jin, Y.; Sendhoff, B. Trusted evolutionary algorithm. In Proceedings of the IEEE International Conference on Evolutionary Computation, Vancouver, BC, Canada, 16–21 July 2006; pp. 149–156. [Google Scholar]
  51. Zhou, Z.; Ong, Y.S.; Nair, P.B.; Keane, A.J.; Lum, K.Y. Combining global and local surrogate models to accelerate evolutionary optimization. IEEE Trans. Syst. Man Cybern. C Appl. Rev. 2007, 37, 66–76. [Google Scholar] [CrossRef]
  52. Safe, M.; Carballido, J.; Ponzoni, I.; Brignole, N. On stopping criteria for genetic algorithms. In Advances in Artificial Intelligence—SBIA 2004; Springer: Berlin, Germany, 2004; pp. 405–413. [Google Scholar]
  53. Kaelo, P.; Ali, M.M. Integrated crossover rules in real coded genetic algorithms. Eur. J. Oper. Res. 2007, 176, 60–76. [Google Scholar] [CrossRef]
  54. Tsoulos, I.G. Modifications of real code genetic algorithm for global optimization. Appl. Math. Comput. 2008, 203, 598–607. [Google Scholar] [CrossRef]
  55. Engelbrecht, A.P. Computational Intelligence: An Introduction; John Wiley & Sons: Hoboken, NJ, USA, 2007. [Google Scholar]
  56. Konar, A. Computational Intelligence: Principles, Techniques and Applications; Springer Science & Business Media: Berlin, Germany, 2006. [Google Scholar]
  57. Ding, S.; Li, H.; Su, C.; Yu, J.; Jin, F. Evolutionary artificial neural networks: A review. Artif. Intell. Rev. 2013, 39, 251–260. [Google Scholar] [CrossRef]
  58. Such, F.P.; Madhavan, V.; Conti, E.; Lehman, J.; Stanley, K.O.; Clune, J. Deep neuroevolution: Genetic algorithms are a competitive alternative for training deep neural networks for reinforcement learning. arXiv 2017, arXiv:1712.06567. [Google Scholar]
  59. Cheng, L.; Hou, Z.G.; Lin, Y.; Tan, M.; Zhang, W.C.; Wu, F.X. Recurrent neural network for non-smooth convex optimization problems with application to the identification of genetic regulatory networks. IEEE Trans. Neural Netw. 2011, 22, 714–726. [Google Scholar] [CrossRef]
  60. Schweidtmann, A.M.; Mitsos, A. Deterministic global optimization with artificial neural networks embedded. J. Optim. Theory Appl. 2019, 180, 925–948. [Google Scholar] [CrossRef]
  61. Gunst, R.F. Regression Analysis and Its Application: A Data-Oriented Approach; CRC Press: Boca Raton, FL, USA, 2018. [Google Scholar]
  62. Dokeroglu, T.; Sevinc, E.; Kucukyilmaz, T.; Cosar, A. A survey on new generation metaheuristic algorithms. Comput. Ind. Eng. 2019, 137, 106040. [Google Scholar] [CrossRef]
  63. Liu, Z.; Liu, Y.; Xiong, L. Robust Linear Neural Network for Constrained Quadratic Optimization. Discrete Dyn. Nat. Soc. 2017, 2017. [Google Scholar] [CrossRef]
  64. Ghasabi-Oskoei, H.; Mahdavi-Amiri, N. An efficient simplified neural network for solving linear and quadratic programming problems. Appl. Math. Comput. 2006, 175, 452–464. [Google Scholar] [CrossRef]
  65. Feng, J.; Qin, S.; Shi, F.; Zhao, X. A recurrent neural network with finite-time convergence for convex quadratic bilevel programming problems. Neural Comput. Appl. 2018, 30, 3399–3408. [Google Scholar] [CrossRef]
  66. Baker, J.E. Adaptive selection methods for genetic algorithms. In Proceedings of the 1st International Conference on Genetic Algorithms and Their Applications, Pittsburgh, PA, USA, 24–26 July 1985; pp. 101–111. [Google Scholar]
  67. Herrera, F.; Lozano, M.; Verdegay, J.L. Tackling real-coded genetic algorithms: Operators and tools for behavioural analysis. Artif. Intell. Rev. 1998, 12, 265–319. [Google Scholar] [CrossRef]
  68. Nelder, J.A.; Mead, R. A simplex method for function minimization. Comput. J. 1965, 7, 308–313. [Google Scholar] [CrossRef]
  69. Beyer, H.G.; Schwefel, H.P. Fast evolution strategies: A comprehensive introduction. Nat. Comput. 2002, 1, 3–52. [Google Scholar] [CrossRef]
  70. Eiben, A.E.; Smith, J.E. Introduction to Evolutionary Computing; Springer Science & Business Media: Berlin, Germany, 2003. [Google Scholar]
  71. Vavasis, S.A. Complexity issues in global optimization: A survey. In Handbook of Global Optimization; Springer: Berlin, Germany, 1995; pp. 27–41. [Google Scholar]
  72. Talbi, E.G. Metaheuristics: From Design to Implementation; John Wiley & Sons: Hoboken, NJ, USA, 2009; Volume 74. [Google Scholar]
  73. Yang, X.S. Metaheuristic optimization: Algorithm analysis and open problems. In Proceedings of the International Symposium on Experimental Algorithms, Crete, Greece, 5–7 May 2011; pp. 21–32. [Google Scholar]
  74. Liang, J.; Suganthan, P.; Deb, K. Novel composition test functions for numerical global optimization. In Proceedings of the 2005 IEEE Swarm Intelligence Symposium, Pasadena, CA, USA, 8–10 June 2005; pp. 68–75. [Google Scholar]
  75. Suganthan, P.N.; Hansen, N.; Liang, J.J.; Deb, K.; Chen, Y.P.; Auger, A.; Tiwari, S. Problem Definitions and Evaluation Criteria for the CEC 2005 Special Session on Real-Parameter Optimization. Available online: http://www.cmap.polytechnique.fr/~nikolaus.hansen/Tech-Report-May-30-05.pdf (accessed on 14 January 2020).
  76. Hansen, N.; Müller, S.D.; Koumoutsakos, P. Reducing the Time Complexity of the Derandomized Evolution Strategy with Covariance Matrix Adaptation (CMA-ES). Evol. Comput. 2003, 11, 1–18. [Google Scholar] [CrossRef]
  77. García, S.; Fernández, A.; Luengo, J.; Herrera, F. A study of statistical techniques and performance measures for genetics-based machine learning: Accuracy and interpretability. Soft Comput. 2009, 13, 959. [Google Scholar] [CrossRef]
  78. Sheskin, D.J. Handbook of Parametric and Nonparametric Statistical Procedures; CRC Press: Boca Raton, FL, USA, 2003. [Google Scholar]
  79. Zar, J.H. Biostatistical Analysis; Pearson Higher Education: London, UK, 2013. [Google Scholar]
  80. Derrac, J.; García, S.; Molina, D.; Herrera, F. A practical tutorial on the use of nonparametric statistical tests as a methodology for comparing evolutionary and swarm intelligence algorithms. Swarm Evol. Comput. 2011, 1, 3–18. [Google Scholar] [CrossRef]
  81. García-Martínez, S.; Molina, D.; Lozano, M.; Herrera, F. A study on the use of non-parametric tests for analyzing the evolutionary algorithms’ behaviour: A case study on the CEC’2005 special session on real parameter optimization. J. Heuristics 2009, 15, 617–644. [Google Scholar] [CrossRef]
  82. Xue, Y.; Jiang, J.; Zhao, B.; Ma, T. A self-adaptive artificial bee colony algorithm based on global best for global optimization. Soft Comput. 2018, 22, 2935–2952. [Google Scholar] [CrossRef]
  83. Gao, W.; Liu, S.; Huang, L. A global best artificial bee colony algorithm for global optimization. J. Comput. Appl. Math. 2012, 236, 2741–2753. [Google Scholar] [CrossRef]
Figure 1. Representation of RBF architecture.
Figure 1. Representation of RBF architecture.
Mca 25 00007 g001
Figure 2. Representation of quadratic approximation.
Figure 2. Representation of quadratic approximation.
Mca 25 00007 g002
Figure 3. The QCGA Flowchart.
Figure 3. The QCGA Flowchart.
Mca 25 00007 g003
Figure 4. A flowchart for the Sensing Evolution Strategies with Quadratic Search (SESQS).
Figure 4. A flowchart for the Sensing Evolution Strategies with Quadratic Search (SESQS).
Mca 25 00007 g004
Figure 5. An Example of the GM in two dimensions.
Figure 5. An Example of the GM in two dimensions.
Mca 25 00007 g005
Figure 6. An Example of the mutagenesis steps in two dimensions.
Figure 6. An Example of the mutagenesis steps in two dimensions.
Mca 25 00007 g006
Figure 7. Examples of QCGA and GA performance using f 4 and f 9 test functions.
Figure 7. Examples of QCGA and GA performance using f 4 and f 9 test functions.
Mca 25 00007 g007
Figure 8. Performance of the quadratic operations near or far from minima.
Figure 8. Performance of the quadratic operations near or far from minima.
Mca 25 00007 g008
Figure 9. GM termination performance.
Figure 9. GM termination performance.
Mca 25 00007 g009
Figure 10. Processing times for the QCGA and GA codes using f 1 f 13 test functions.
Figure 10. Processing times for the QCGA and GA codes using f 1 f 13 test functions.
Mca 25 00007 g010
Figure 11. Processing times for proposed methods codes using f 1 f 13 test functions.
Figure 11. Processing times for proposed methods codes using f 1 f 13 test functions.
Mca 25 00007 g011
Table 1. QCGA parameters.
Table 1. QCGA parameters.
ParameterDefinitionValue
μ The population size50
p r The crossover probability 0.25
p m The mutation probability 0.05
mNo. of partitions in GM50
N e l i t e No. of best solutions used in in the intensification step1
N w No. of worst solutions updated by the mutagenesis processn
Table 2. SES parameters.
Table 2. SES parameters.
ParameterDefinitionValue
μ The population size30
λ The offspring size 10 μ
ρ No. of mated parents min ( n , 5 )
mNo. of partitions in GM50
p r The recombination probability 0.25
N e l i t e No. of best solutions used in in the intensification step1
N w No. of worst solutions updated by the mutagenesis processn
Table 3. Solutions qualities and costs of the proposed and compared methods.
Table 3. Solutions qualities and costs of the proposed and compared methods.
QCGAGAAGA
fAvg. f ( x b e s t ) CostRateAvg. f ( x b e s t ) CostRateAvg. f ( x b e s t ) Cost
f 1 5.21 × 10 16 34,931100% 2.04 × 10 12 34,646100% 1.10 × 10 43 40,000
f 2 3.54 × 10 5 41,734100% 7.62 × 10 5 42,25298% 2.04 × 10 31 40,000
f 3 1.79 × 10 9 38,514100% 1.46 × 10 8 38,969100% 1.21 × 10 4 40,000
f 4 8.21 × 10 2 38,9511% 2.35 41,3450% 1.71 × 10 + 1 40,000
f 5 8.04 × 10 11 40,678100% 5.58 × 10 1 39,40886% 2.70 × 10 11 40,000
f 6 034,843100% 4.50 × 10 + 1 34,9390%
f 7 9.32 × 10 6 35,816100% 2.05 35,1940% 7.64 × 10 15 40,000
Table 4. Solutions qualities—average errors and success rates.
Table 4. Solutions qualities—average errors and success rates.
fSES R SES N QCGAESLATCMA-ES
f 1 2.8 × 10 19 ( 100 % ) 1.7 × 10 17 ( 100 % ) 5.2 × 10 16 ( 100 % ) 2.0 × 10 17 ( 100 % ) 9.7 × 10 23 ( 100 % )
f 2 5.4 × 10 07 ( 100 % ) 3.2 × 10 05 ( 100 % ) 3.5 × 10 05 ( 100 % ) 3.8 × 10 05 ( 100 % ) 4.2 × 10 11 ( 100 % )
f 3 8.6 × 10 08 ( 100 % ) 5.1 × 10 06 ( 100 % ) 1.8 × 10 09 ( 100 % ) 6.1 × 10 06 ( 100 % ) 7.1 × 10 23 ( 100 % )
f 4 1.1 × 10 01 ( 7 % ) 6.5 × 10 01 ( 5 % ) 8.2 × 10 02 ( 1 % ) 7.8 × 10 01 ( 0 % ) 5.4 × 10 12 ( 100 % )
f 5 2.7 × 10 01 ( 78 % ) 1.6 × 10 00 ( 75 % ) 8.0 × 10 11 ( 100 % ) 1.9 × 10 00 ( 70 % ) 4.0 × 10 01 ( 90 % )
f 6 2.8 × 10 04 ( 100 % ) 1.7 × 10 02 ( 100 % ) 0.0 × 10 00 ( 100 % ) 2.0 × 10 02 ( 98 % ) 1.4 × 10 02 ( 36 % )
f 7 5.5 × 10 03 ( 8 % ) 3.3 × 10 01 ( 5 % ) 9.3 × 10 06 ( 100 % ) 3.9 × 10 01 ( 0 % ) 2.3 × 10 01 ( 0 % )
f 8 2.2 × 10 15 ( 0 % ) 2.1 × 10 15 ( 0 % ) 2.80 × 10 38 ( 0 % ) 2.3 × 10 15 ( 0 % ) 7.6 × 10 03 ( 0 % )
f 9 6.6 × 10 02 ( 48 % ) 3.9 × 10 00 ( 45 % ) 3.0 × 10 00 ( 0 % ) 4.7 × 10 00 ( 40 % ) 5.2 × 10 01 ( 0 % )
f 10 2.5 × 10 10 ( 100 % ) 1.5 × 10 08 ( 100 % ) 9.9 × 10 06 ( 100 % ) 1.8 × 10 08 ( 100 % ) 6.9 × 10 12 ( 100 % )
f 11 2.0 × 10 05 ( 97 % ) 1.2 × 10 03 ( 95 % ) 1.7 × 10 11 ( 100 % ) 1.4 × 10 03 ( 90 % ) 7.4 × 10 04 ( 92 % )
f 12 2.1 × 10 14 ( 100 % ) 1.3 × 10 12 ( 100 % ) 9.0 × 10 12 ( 100 % ) 1.5 × 10 12 ( 100 % ) 1.2 × 10 04 ( 88 % )
f 13 9.1 × 10 05 ( 71 % ) 5.4 × 10 03 ( 65 % ) 5.5 × 10 02 ( 45 % ) 6.4 × 10 03 ( 60 % ) 1.7 × 10 03 ( 86 % )
Table 5. Solutions costs (Numbers of function evaluations).
Table 5. Solutions costs (Numbers of function evaluations).
fSES R SES N QCGAESLATCMA-ES
f 1 34,94438,82734,93169,72410,721
f 2 30,51233,90241,73460,85912,145
f 3 36,15340,16938,51472,14121,248
f 4 34,99338,88038,95169,82120,813
f 5 33,38737,09640,67866,60955,821
f 6 28,61431,79334,84357,0642184
f 7 25,56328,40335,81650,962667,131
f 8 30,93434,37135,55261,7046621
f 9 27,02230,02434,91153,88010,079
f 10 29,53732,81836,25658,90910,654
f 11 35,60439,56035,69971,04410,522
f 12 31,59735,10836,30563,03013,981
f 13 32,91036,56636,59665,65513,756
Table 6. Wilcoxon rank-sum test for the results of Table 4 and Table 5.
Table 6. Wilcoxon rank-sum test for the results of Table 4 and Table 5.
Comparison CriteriaCompared Methods R + R p-ValueBest Method
Best SolutionsSES R , SES N 13780.0001SES R
SES R , QCGA13780.0001SES R
SES R , ESLAT13.577.50.0003SES R
SES R , CMA-ES13780.0001SES R
SES N , QCGA0910.3560-
SES N , ESLAT56350.4418-
SES N , CMA-ES13780.3560-
QCGA, ESLAT72190.2382-
QCGA, CMA-ES13780.7976-
ESLAT, CMA-ES16750.2184-
Success RatesSES R , SES N 90.50.50SES R
SES R , QCGA77140.8501-
SES R , ESLAT90.50.50SES R
SES R , CMA-ES46450.5681-
SES N , QCGA0.590.50QCGA
SES N , ESLAT45.545.5NaN-
SES N , CMA-ES1.589.50CMA-ES
QCGA, ESLAT90.50.50QCGA
QCGA, CMA-ES44470.5488-
ESLAT, CMA-ES1.589.50CMA-ES
Solutions CostsSES R , SES N 0910.0313SES R
SES R , QCGA1900.0005SES R
SES R , ESLAT0910SES R
SES R , CMA-ES70210.0029CMA-ES
SES N , QCGA24670.2592-
SES N , ESLAT0910SES N
SES N , CMA-ES76150.0029CMA-ES
QCGA, ESLAT0910QCGA
QCGA, CMA-ES77140.0029CMA-ES
ESLAT, CMA-ES78130.0004CMA-ES
Table 7. The QCGA results of hard functions h 1 h 25 with dimension n = 10 .
Table 7. The QCGA results of hard functions h 1 h 25 with dimension n = 10 .
Function ValuesErrorsEvals.Success
h h MeanStdBestWorstMeanStdMean(%)
h 1 450 450.0 2.15 × 10 12 450.0 450.0 2.37 × 10 12 2.15 × 10 12 58,024 100
h 2 450 450.0 1.31 × 10 9 450.0 450.0 1.59 × 10 9 1.31 × 10 9 58,567 100
h 3 450 450.0 1.72 × 10 2 450.0 449.9 5.90 × 10 3 1.72 × 10 2 59,838 64
h 4 450 8030.5 1.82 × 10 3 3327.4 10,812.9 8.48 × 10 3 1.82 × 10 3 57,652 0
h 5 310 1960.4 1.43 × 10 3 293.2 5634.4 2.27 × 10 3 1.43 × 10 3 59,736 0
h 6 390 390.8 1.63 × 10 0 390.0 394.0 7.97 × 10 1 1.63 × 10 0 59,917 80
h 7 180 179.0 8.20 × 10 1 180.0 177.1 9.62 × 10 1 8.20 × 10 1 58,943 0
h 8 140 120.0 1.86 × 10 4 120.0 120.0 2.00 × 10 1 1.86 × 10 4 58,525 0
h 9 330 329.7 6.11 × 10 1 330.0 328.0 2.79 × 10 1 6.11 × 10 1 57,897 80
h 10 330 272.1 1.43 × 10 1 302.1 247.4 5.79 × 10 1 1.43 × 10 1 57,918 0
h 11 90 97.4 1.15 × 10 0 95.0 99.3 7.38 × 10 0 1.15 × 10 0 57,793 0
h 12 460 138.4 6.45 × 10 2 460.0 1233.6 3.22 × 10 2 6.45 × 10 2 58,240 36
h 13 130 129.8 1.45 × 10 1 130.0 129.3 1.59 × 10 1 1.45 × 10 1 58,620 0
h 14 300 296.0 2.79 × 10 1 296.4 295.5 3.98 × 10 0 2.79 × 10 1 59,500 0
h 15 120 216.5 2.21 × 10 2 120.0 1020.0 9.65 × 10 1 2.21 × 10 2 57,595 80
h 16 120 361.2 4.66 × 10 1 270.9 458.7 2.41 × 10 2 4.66 × 10 1 57,745 0
h 17 120 365.7 4.82 × 10 1 254.4 452.3 2.46 × 10 2 4.82 × 10 1 57,698 0
h 18 10 910.0 5.30 × 10 9 910.0 910.0 9.00 × 10 2 5.30 × 10 9 57,792 0
h 19 10 910.0 1.68 × 10 3 910.0 910.0 9.00 × 10 2 1.68 × 10 3 57,765 0
h 20 10 918.9 4.45 × 10 1 910.0 1132.6 9.09 × 10 2 4.45 × 10 1 57,707 0
h 21 360 1616.7 1.64 × 10 2 860.0 1750.3 1.26 × 10 3 1.64 × 10 2 57,764 0
h 22 360 1273.5 5.28 × 10 1 1145.8 1388.8 9.13 × 10 2 5.28 × 10 1 57,700 0
h 23 360 1615.1 5.17 × 10 1 1523.7 1721.5 1.26 × 10 3 5.17 × 10 1 57,765 0
h 24 260 1361.1 3.63 × 10 2 460.0 1613.9 1.10 × 10 3 3.63 × 10 2 57,661 0
h 25 260 1383.9 3.29 × 10 2 460.0 1543.7 1.12 × 10 3 3.29 × 10 2 57,646 0
Table 8. The QCGA results of hard functions h 1 h 25 with dimension n = 30 .
Table 8. The QCGA results of hard functions h 1 h 25 with dimension n = 30 .
Function ValuesErrorsEvals.Success
h h MeanStdBestWorstMeanStdMean(%)
h 1 450 450.0 6.23 × 10 10 450.0 450.0 4.38 × 10 10 6.23 × 10 10 172,504 100
h 2 450 450.0 2.47 × 10 8 450.0 450.0 1.03 × 10 7 2.47 × 10 8 177,167 100
h 3 450 439.6 2.23 × 10 1 449.9 399.8 1.04 × 10 1 2.23 × 10 1 180,218 0
h 4 450 29,718.1 1.59 × 10 3 27,415.2 31,616.6 3.02 × 10 4 1.59 × 10 3 172,917 0
h 5 310 21,183.2 3.03 × 10 3 18,314.0 25,710.7 2.15 × 10 4 3.03 × 10 3 173,964 0
h 6 390 875.9 4.24 × 10 2 409.1 1186.5 4.86 × 10 2 4.24 × 10 2 177,557 0
h 7 180 180.0 1.15 × 10 10 180.0 180.0 9.86 × 10 7 1.15 × 10 10 177,086 100
h 8 140 120.0 4.85 × 10 6 120.0 120.0 2.00 × 10 1 4.85 × 10 6 177,544 0
h 9 330 237.3 1.75 × 10 1 262.3 218.6 9.27 × 10 1 1.75 × 10 1 172,591 0
h 10 330 84.2 2.28 × 10 1 106.1 52.4 2.46 × 10 2 2.28 × 10 1 172,977 0
h 11 90 126.9 2.68 × 10 0 123.1 129.4 3.69 × 10 1 2.68 × 10 0 173,114 0
h 12 460 385.0 5.70 × 10 2 68.3 1220.3 8.45 × 10 2 5.70 × 10 2 176,014 0
h 13 130 127.0 1.01 × 10 0 128.3 125.9 2.98 × 10 0 1.01 × 10 0 176,551 0
h 14 300 286.7 3.03 × 10 1 287.1 286.3 1.03 × 10 1 3.03 × 10 1 182,736 0
h 15 120 531.5 1.81 × 10 1 508.7 557.3 4.11 × 10 2 1.81 × 10 1 173,161 0
h 16 120 468.9 9.39 × 10 1 364.2 578.0 3.49 × 10 2 9.39 × 10 1 173,415 0
h 17 120 508.4 8.68 × 10 1 399.3 607.9 3.88 × 10 2 8.68 × 10 1 173,128 0
h 18 10 910.3 1.88 × 10 1 910.1 910.6 9.00 × 10 2 1.88 × 10 1 173,191 0
h 19 10 910.4 1.38 × 10 1 910.2 910.6 9.00 × 10 2 1.38 × 10 1 173,609 0
h 20 10 910.6 2.48 × 10 1 910.4 911.0 9.01 × 10 2 2.48 × 10 1 172,848 0
h 21 360 1609.3 1.04 × 10 1 1597.9 1621.6 1.25 × 10 3 1.04 × 10 1 173,131 0
h 22 360 1346.6 4.28 × 10 1 1182.1 1400.3 9.07 × 10 2 4.28 × 10 1 173,098 0
h 23 360 1609.9 9.24 × 10 0 1599.5 1621.6 1.25 × 10 3 9.24 × 10 0 173,375 0
h 24 260 1242.3 3.11 × 10 2 823.5 1557.1 9.82 × 10 2 3.11 × 10 2 173,035 0
h 25 260 1404.3 2.63 × 10 2 942.3 1558.8 1.14 × 10 3 2.63 × 10 2 172,817 0
Table 9. The QCGA results of hard functions h 1 h 25 with dimension n = 50 .
Table 9. The QCGA results of hard functions h 1 h 25 with dimension n = 50 .
Function ValuesErrorsEvals.Success
h h MeanStdBestWorstMeanStdMean(%)
h 1 450 450.0 7.94 × 10 13 450.0 450.0 8.75 × 10 12 7.94 × 10 13 290,585 100
h 2 450 450.0 1.82 × 10 7 450.0 450.0 2.41 × 10 7 1.82 × 10 7 300,898 100
h 3 450 443.7 6.20 × 10 0 449.8 424.5 6.35 × 10 0 6.20 × 10 0 319,328 0
h 4 450 65,598 1.13 × 10 4 50,984100,100 6.60 × 10 4 1.13 × 10 4 287,977 0
h 5 310 22,210 3.89 × 10 3 14,40429,409 2.25 × 10 4 3.89 × 10 3 302,175 0
h 6 390 705.7 3.27 × 10 2 433.6 1243.2 3.16 × 10 2 3.27 × 10 2 306,740 0
h 7 180 180.0 1.47 × 10 10 180.0 180.0 4.11 × 10 10 1.47 × 10 10 300,342 100
h 8 140 120.0 9.89 × 10 7 120.0 120.0 2.00 × 10 1 9.89 × 10 7 298,303 0
h 9 330 106.3 2.25 × 10 1 161.9 64.3 2.24 × 10 2 2.25 × 10 1 289,411 0
h 10 330 64.9 6.03 × 10 1 47.4 187.4 3.95 × 10 2 6.03 × 10 1 289,837 0
h 11 90 155.4 3.25 × 10 0 148.5 161.4 6.54 × 10 1 3.25 × 10 0 291,468 0
h 12 460 5489 6.17 × 10 3 455.0 17,190 5.95 × 10 3 6.17 × 10 3 298,225 0
h 13 130 116.2 3.74 × 10 0 120.8 105.5 1.38 × 10 1 3.74 × 10 0 299,730 0
h 14 300 277.2 3.19 × 10 1 277.9 276.7 2.21 × 10 1 3.19 × 10 1 320,024 0
h 15 120 705.5 5.59 × 10 1 663.1 768.8 5.86 × 10 2 5.59 × 10 1 288,695 0
h 16 120 530.4 8.50 × 10 1 450.0 619.4 4.10 × 10 2 8.50 × 10 1 288,770 0
h 17 120 595.3 4.74 × 10 1 541.0 627.6 4.75 × 10 2 4.74 × 10 1 288,089 0
h 18 10 918.3 1.81 × 10 0 916.8 920.3 9.08 × 10 2 1.81 × 10 0 288,668 0
h 19 10 918.9 1.45 × 10 0 917.2 920.0 9.09 × 10 2 1.45 × 10 0 288,326 0
h 20 10 915.9 3.70 × 10 0 911.9 919.2 9.06 × 10 2 3.70 × 10 0 289,279 0
h 21 360 1621.9 1.50 × 10 1 1603.3 1644.7 1.26 × 10 3 1.50 × 10 1 288,564 0
h 22 360 1256.5 7.13 × 10 1 1187.9 1334.4 8.97 × 10 2 7.13 × 10 1 288,602 0
h 23 360 1633.1 2.26 × 10 1 1598.8 1657.2 1.27 × 10 3 2.26 × 10 1 288,786 0
h 24 260 1550.2 1.81 × 10 1 1526.5 1567.5 1.29 × 10 3 1.81 × 10 1 288,319 0
h 25 260 1558.3 9.61 × 10 0 1549.6 1573.4 1.30 × 10 3 9.61 × 10 0 288,425 0
Table 10. Comparing the QCGA method with other benchmark methods using the hard functions h 1 h 25 with dimension n = 30 .
Table 10. Comparing the QCGA method with other benchmark methods using the hard functions h 1 h 25 with dimension n = 30 .
QCGAABC/best/1 [83]SABC-GB [82]
hMeanStdMeanStdMeanStd
h 1 4.38 × 10 10 6.23 × 10 10 1.97 × 10 12 1.93 × 10 13 5.68 × 10 14 0
h 2 1.03 × 10 7 2.47 × 10 8 3.55 × 10 4 1.96 × 10 3 1.01 × 10 4 6.19 × 10 2
h 3 1.04 × 10 1 2.23 × 10 1 5.28 × 10 7 9.41 × 10 6 1.08 × 10 7 3.23 × 10 5
h 4 3.02 × 10 4 1.59 × 10 3 5.06 × 10 4 5.02 × 10 3 3.19 × 10 4 4.67 × 10 2
h 5 2.15 × 10 4 3.03 × 10 3 9.34 × 10 3 5.34 × 10 2 7.41 × 10 3 7.94 × 10 2
h 6 4.86 × 10 2 4.24 × 10 2 1.86 × 10 2 4.11 × 10 1 2.52 × 10 1 1.03 × 10 1
h 7 9.86 × 10 7 1.15 × 10 10 4.70 × 10 3 5.15 × 10 2 4.70 × 10 3 0.00
h 8 2.00 × 10 1 4.85 × 10 6 2.09 × 10 1 1.10 × 10 2 2.09 × 10 1 5.40 × 10 2
h 9 9.27 × 10 1 1.75 × 10 1 2.03 × 10 12 2.02 × 10 12 5.68 × 10 14 0
h 10 2.46 × 10 2 2.28 × 10 1 2.82 × 10 2 1.14 × 10 1 1.34 × 10 2 5.34
h 11 3.69 × 10 1 2.68 3.32 × 10 1 1.45 2.50 × 10 1 2.66 × 10 1
h 12 8.45 × 10 2 5.70 × 10 2 8.82 × 10 4 1.61 × 10 4 1.05 × 10 4 2.05 × 10 3
h 13 2.98 1.01 7.59 7.45 × 10 1 7.39 × 10 1 1.94 × 10 1
h 14 1.03 × 10 1 3.03 × 10 1 1.33 × 10 1 3.39 × 10 2 1.27 × 10 1 4.65 × 10 2
h 15 4.11 × 10 2 1.81 × 10 1 3.29 × 10 2 1.45 × 10 2 2.39 × 10 3 1.81 × 10 3
h 16 3.49 × 10 2 9.39 × 10 1 3.17 × 10 2 1.11 × 10 1 1.58 × 10 2 2.51 × 10 1
h 17 3.88 × 10 2 8.68 × 10 1 4.25 × 10 2 8.83 2.35 × 10 2 3.37
h 18 9.00 × 10 2 1.88 × 10 1 9.21 × 10 2 2.16 9.09 × 10 2 1.32
h 19 9.00 × 10 2 1.38 × 10 1 9.21 × 10 2 1.73 9.10 × 10 2 1.13
h 20 9.01 × 10 2 2.48 × 10 1 9.23 × 10 2 3.07 9.09 × 10 2 1.47
h 21 1.25 × 10 3 1.04 × 10 1 5.07 × 10 2 5.87 × 10 1 5.00 × 10 2 0
h 22 9.07 × 10 2 4.28 × 10 1 1.04 × 10 3 1.60 × 10 1 9.38 × 10 2 2.68
h 23 1.25 × 10 3 9.24 6.12 × 10 2 2.13 × 10 1 5.34 × 10 2 0
h 24 9.82 × 10 2 3.11 × 10 2 1.07 × 10 3 3.25 × 10 1 4.54 × 10 2 3.59 × 10 2
h 25 1.14 × 10 3 2.63 × 10 2 1.68 × 10 3 5.07 1.64 × 10 3 0
Best12013
Table 11. Comparing the QCGA method with other benchmark methods using the hard functions h 1 h 25 with dimension n = 50 .
Table 11. Comparing the QCGA method with other benchmark methods using the hard functions h 1 h 25 with dimension n = 50 .
QCGAABC/best/1 [83]SABC-GB [82]
hMeanStdMeanStdMeanStd
h 1 8.75 × 10 12 7.94 × 10 13 6.33 × 10 11 1.10 × 10 11 2.27 × 10 13 4.64 × 10 14
h 2 2.41 × 10 7 1.82 × 10 7 1.06 × 10 5 1.22 × 10 4 6.02 × 10 4 3.79 × 10 3
h 3 6.35 6.20 1.84 × 10 8 4.77 × 10 7 5.85 × 10 7 9.96 × 10 6
h 4 6.60 × 10 4 1.13 × 10 4 1.31 × 10 5 7.70 × 10 3 1.30 × 10 5 6.23 × 10 3
h 5 2.25 × 10 4 3.89 × 10 3 2.47 × 10 4 1.20 × 10 3 2.37 × 10 4 1.26 × 10 3
h 6 3.16 × 10 2 3.27 × 10 2 3.24 × 10 3 1.33 × 10 3 3.77 1.91
h 7 4.11 × 10 10 1.47 × 10 10 6.22 × 10 3 1.85 6.20 × 10 3 0
h 8 2.00 × 10 1 9.89 × 10 7 2.11 × 10 1 1.82 × 10 2 2.10 × 10 1 0
h 9 2.24 × 10 2 2.25 × 10 1 2.97 × 10 12 6.18 × 10 13 1.71 × 10 13 0
h 10 3.95 × 10 2 6.03 × 10 1 6.61 × 10 2 1.17 × 10 1 4.24 × 10 2 3.92 × 10 1
h 11 6.54 × 10 1 3.25 6.46 × 10 1 6.63 × 10 1 5.60 × 10 1 1.61
h 12 5.95 × 10 3 6.17 × 10 3 4.69 × 10 5 4.79 × 10 3 5.78 × 10 4 1.28 × 10 4
h 13 1.38 × 10 1 3.74 1.82 × 10 1 1.90 1.58 2.61 × 10 1
h 14 2.21 × 10 1 3.19 × 10 1 2.31 × 10 1 2.34 × 10 1 2.26 × 10 1 1.98 × 10 1
h 15 5.86 × 10 2 5.59 × 10 1 3.17 × 10 2 8.96 × 10 1 2.27 × 10 1 9.77
h 16 4.10 × 10 2 8.50 × 10 1 4.27 × 10 2 1.37 3.10 × 10 2 3.58 × 10 1
h 17 4.75 × 10 2 4.74 × 10 1 7.56 × 10 2 3.98 × 10 1 4.33 × 10 2 1.93 × 10 1
h 18 9.08 × 10 2 1.81 9.71 × 10 2 9.33 9.39 × 10 2 4.18
h 19 9.09 × 10 2 1.45 9.68 × 10 2 1.30 9.37 × 10 2 6.34
h 20 9.06 × 10 2 3.70 9.75 × 10 2 3.36 9.35 × 10 2 3.88
h 21 1.26 × 10 3 1.50 × 10 1 1.04 × 10 3 1.16 1.02 × 10 3 5.59 × 10 1
h 22 8.97 × 10 2 7.13 × 10 1 1.13 × 10 3 2.46 × 10 1 9.91 × 10 2 3.46 × 10 1
h 23 1.27 × 10 3 2.26 × 10 1 1.04 × 10 3 3.69 1.02 × 10 3 0
h 24 1.29 × 10 3 1.81 × 10 1 1.36 × 10 3 5.29 1.08 × 10 3 1.37 × 10 1
h 25 1.30 × 10 3 9.61 1.85 × 10 3 9.93 1.69 × 10 3 5.95
Best14011
Table 12. Wilcoxon rank-sum test for the hard functions results.
Table 12. Wilcoxon rank-sum test for the hard functions results.
Comparison CriteriaCompared Methodsn R + R p-ValueBest Method
Solution ErrorsQCGA, ABC/best/1 [83]301142110.2687
QCGA, SABC-GB [82]301651600.6276
QCGA, ABC/best/1 [83]50542710.1031
QCGA, SABC-GB [82]501261990.3721
Numbers ofQCGA, ABC/best/1 [83]300325 9.73 × 10 11 QCGA
Function EvaluationsQCGA, SABC-GB [82]300325 9.73 × 10 11 QCGA
QCGA, ABC/best/1 [83]5067258 7.79 × 10 4 QCGA
QCGA, SABC-GB [82]5067258 7.79 × 10 4 QCGA

Share and Cite

MDPI and ACS Style

Hedar, A.-R.; Deabes, W.; Almaraashi, M.; Amin, H.H. Evolutionary Algorithms Enhanced with Quadratic Coding and Sensing Search for Global Optimization. Math. Comput. Appl. 2020, 25, 7. https://doi.org/10.3390/mca25010007

AMA Style

Hedar A-R, Deabes W, Almaraashi M, Amin HH. Evolutionary Algorithms Enhanced with Quadratic Coding and Sensing Search for Global Optimization. Mathematical and Computational Applications. 2020; 25(1):7. https://doi.org/10.3390/mca25010007

Chicago/Turabian Style

Hedar, Abdel-Rahman, Wael Deabes, Majid Almaraashi, and Hesham H. Amin. 2020. "Evolutionary Algorithms Enhanced with Quadratic Coding and Sensing Search for Global Optimization" Mathematical and Computational Applications 25, no. 1: 7. https://doi.org/10.3390/mca25010007

APA Style

Hedar, A.-R., Deabes, W., Almaraashi, M., & Amin, H. H. (2020). Evolutionary Algorithms Enhanced with Quadratic Coding and Sensing Search for Global Optimization. Mathematical and Computational Applications, 25(1), 7. https://doi.org/10.3390/mca25010007

Article Metrics

Back to TopTop