Next Article in Journal
Robust Object Tracking in Infrared Video via Adaptive Weighted Patches
Previous Article in Journal
Optimization of Setting Take-Profit Levels for Derivative Trading
 
 
Font Type:
Arial Georgia Verdana
Font Size:
Aa Aa Aa
Line Spacing:
Column Width:
Background:
Article

A Novel, Energy-Aware Task Duplication-Based Scheduling Algorithm of Parallel Tasks on Clusters

1
Beijing Key Laboratory of Information Service Engineering, Beijing Union University, No. 97 Beisihuan East Road, Chaoyang District, Beijing 100101, China
2
Computer and Engineering School, Beihang University, No. 37 Xueyuanlu, Haidian District, Beijing 100191, China
*
Author to whom correspondence should be addressed.
Math. Comput. Appl. 2017, 22(1), 2; https://doi.org/10.3390/mca22010002
Submission received: 21 September 2016 / Revised: 9 December 2016 / Accepted: 19 December 2016 / Published: 27 December 2016

Abstract

:
Increasing energy has become an important issue in high performance clusters. To balance the energy and performance, we proposed a novel, energy-aware duplication-based scheduling (NEADS). An existing energy-aware duplication-based algorithm replicates all qualified predecessor tasks in a bottom-up manner. Some tasks without direct relation may be replicated to the same processor, which cannot reduce the communication energy. Instead, the computation overhead may be increased. In contrast, the proposed algorithm only replicates the directly correlated predecessor tasks in the energy threshold range without lengthening the schedule length. The proposed algorithm is compared with the non-duplication algorithm and existing duplicated-based algorithm. Extensive experimental results show that the proposed algorithm can effectively reduce energy consumption in various applications. It has advantages over other algorithms on computation-intensive applications.

1. Introduction

In a high performance computing system, clusters have been widely applied to many fields of scientific and commercial applications as primary and cost-effective infrastructures. Performance improvement has long been the sole objective of different architectural and software studies [1]. However, with the increased system scale, high energy cost has become a prominent issue. For example, on November 2015, the number 1 of the top 500, Tianhe-2 (National University of Defense Technology, Guangzhou, China) consumed more than 17,000 Kilowatts each hour [2]. Therefore, designing energy-efficient clusters from hardware and software is highly urgent.
Increasing evidence shows that interconnection fabric consumes considerable amounts of energy in clusters. For example, interconnections consume 33% of the total energy in the Avici switch (Avici Systems Inc., North Billerica, MA, USA) [3]. Parallel task scheduling strategies can allocate the resources according to task priorities, which is one of the software methods for optimizing the system energy. Among them, task duplication has been proved to be an effective strategy to improve the performance of parallel task scheduling with precedence constraints [4,5]. For reducing the communication overheads, tasks are duplicated to several processors and executed in idle cycles of processors. Duplication-based scheduling algorithms replicate all possible tasks to shorten their length without considering energy consumption caused by duplicated task execution.
Therefore, some energy-aware duplication-based scheduling algorithms are proposed, which selectively replicate the tasks. However, these duplicate-based scheduling strategies replicate tasks only according to the energy difference between current task computation energy and communication energy of these two tasks. With this condition, no direct correlation tasks may be replicated and executed in the same processor. It cannot reduce the communication overhead, but increase the computation overhead of the duplicated tasks. Thus, the overall energy consumption would increase.
To better balance the energy and performance, we propose a novel task duplication scheduling algorithm to replicate tasks according to direct precedence constraints and increased energy threshold. The proposed algorithm aims to reduce the communication energy without increasing the additional computation overhead.
Since our algorithm is based on the Directed Acyclic Graph (DAG), some important parameters of DAG are needed. The notation and description are listed in Table 1. Detailed descriptions are given respectively as follows. The detailed explanations of these parameters are presented in Section 4.
The rest of the paper is organized as follows: In Section 2, we present related work. Section 3 introduces computational models including a task model and an energy consumption model. In Section 4, the energy-aware duplication-based scheduling strategy is presented. Simulation results are demonstrated in Section 5. Finally, Section 6 provides the conclusion.

2. Related Work

Many studies have investigated power-aware techniques through scheduling algorithms. Dynamic power management (DPM) [6] and Dynamic voltage and frequency scaling (DVFS) techniques are widely adopted to reduce power consumption in clusters [7,8,9,10]. DPM is an effective energy saving method that attempts to adjust the power mode according to the workload variation [11,12]. In a broad sense, DVFS can be regarded as the CPU level DPM. This strategy can adjust the voltage or frequency of processors to achieve high energy efficiency for processors. So it has significant advantage in computation-intensive applications. However, for communication- intensive applications its benefits could not exist anymore.
A parallel application program can be divided into many tasks with precedence constraints. These tasks require data processing and data communication. Since task scheduling is an NP-hard problem, many heuristic scheduling strategies are proposed for performance improvements. Parallel task scheduling algorithms can be classified into three categories, called list scheduling, clustering-based scheduling, and duplication-based scheduling respectively. List scheduling assigns the priorities for tasks and maps tasks to processors based on assigned priorities [13]. Clustering-based scheduling clusters intercommunicating tasks in groups and allocate tasks of the same group to the same processor [14]. Duplication-based scheduling focuses on replicating some tasks when the scheduling length can be shortened [15,16]. Reducing communication overheads is the main goal of this scheduling strategy.
Baskiyar et al. [17] proposed a scheduling algorithm called EADAGS, which integrated dynamic voltage scaling and decisive path scheduling for a heterogeneous distributed processing system. Dynamic Voltage Scaling (DVS) is applied to the slack time, and the real-time energy consumption can be calculated. Sinnen et al. focused on the communication contention problem [18]. The communication link competition in task communication is considered. They proposed an energy-aware list-based scheduling algorithm [18] and duplication-based scheduling algorithm [19]. The communication path is selected based on the routing algorithm. Task execution is related to the performance of routing algorithm. Choi et al. [20] presented a co-scheduling strategy, which can integrate the computation intensive tasks and communication intensive tasks by monitoring the processes. Ma’sko et al. [21] proposed the synthetic algorithm based upon list scheduling and clustering scheduling for Symmetric Multi-Processing (SMP) clusters. Shojafar et al. proposed the energy-efficient resource management for data centers [22,23]. A joint meta-heuristic approach to a cloud job scheduling algorithm is proposed in [24], which uses fuzzy theory and a genetic method.
Duplication-based scheduling strategies aim to reduce communication overheads. However, the computation overhead would increase because the duplicated tasks are executed in many processors. Accordingly, the overall energy consumption would augment. Zong et al. [25,26] focused on the energy optimization of task duplication-based scheduling strategies. They proposed two energy-aware duplication-based algorithms, called EAD (Energy-Aware Duplication) scheduling and PEBD (Performance-Energy Balanced Duplication) scheduling, which do not replicate all performance-oriented tasks. They consider both performance improvement and energy cost. The energy threshold and energy efficiency threshold are set to be the condition when duplicating tasks. The favorite predecessor task is defined. If the favorite predecessor satisfies the given condition, it would be replicated. However, if it is not qualified to replicate, its predecessor task is still judged under the same condition. Therefore, some tasks may be mapped to the same processor, but they are not directly correlated. If so, communication energy cannot be reduced, and more computation energy would be generated.
To address the above problem, a more energy-efficient duplication-based scheduling strategy is required to reduce the communication overhead and not increase the unnecessary computation energy consumption.

3. Computation Model

3.1. Task Model

A cluster consists of a set of computation processors, which can be represented as
P = { P 1 , P 2 , , P m }
In the above equation, m is a positive integer and indicates the number of processors. Pi is one of the processor.
The tasks with precedence constraint can be represented as DAG, which includes the vertexes and directed edges with computation weight and communication weight. A vertex denotes a task and the directed edge denotes the communication relation of tasks. A task needs be allocated to a processor to run, which is indivisible and its execution cannot be interrupted. A task can be represented as the following vector.
G = ( V , E , C , T )
V is the task set, which includes n parallel tasks. It can be represented as
V = { v 1 , v 2 , , v n }
E is the communication edge set, which includes all directed edges of DAG. It denotes the precedence dependencies between tasks and can be represented as
E = { e i j = ( v i , v j ) | 1 i , j n }
eij denotes the edge from task vi to task vj.
C is the set of communication overhead, which is the weight set of directed edges in DAG. cij means the communication time from task vi to task vj.
T is the set of computation overhead, which is the weight set of vertexes in DAG. ti denotes the computation time of task vi.
If there exists an edge eij, we call vi is the predecessor of vj and vj is the successor of vi. Only if the all predecessor tasks have finished can the current task start to run. The communication overhead is generated due to the tasks being executed in different processors. So if two related tasks are executed in the same processor, their communication overhead can be regarded as zero.
The schedule length or makespan of parallel tasks denotes the overall time from the first task (entry task of DAG) to the last task (exit task of DAG).

3.2. Energy Model

The overall energy includes the computation energy (EP) and communication energy (EC), which can be represented as the following equation.
E = E P + E C
The computation energy can be represented as the product of the processor speed and execution time. Rp is the speed of processor, which is assumed to be fixed. EP can be represented as
E P = i = 1 n R p t i
The communication energy caused by edge eij can be denoted as elij, which can also be represented as the product of communication rate Rc and the communication time. Therefore, the elij can be represented as
e l i j = k R c c i j
In the above equation, k is the constant parameter. It denotes the energy consumption per Mbps. The overall communication energy of parallel tasks is the sum of communication energy of all edges. Then it can be represented as
E C = i = 1 n j = 1 n e l i j = i = 1 n j = 1 n k R c c i j = k R c i = 1 n j = 1 n c i j

4. Energy-Aware Task Duplication

4.1. Parameters Calculation

Communication computation ratio (CCR) is the ratio of sum of communication time to sum of computation time. It can be represented as follows.
C C R = c i j t i
The earliest start time (EST) of a task can be calculated according to the following equation
E S T = { 0 i = 1 max 1 j n 1 , e j i E E S T ( v j ) + c j i 1 < i n
The earliest complete time (ECT) of a task can be calculated by its EST and execution time and represented as
E C T ( v i ) = E S T ( v i ) + t i
The latest allowable complete time (LACT) of a task needs to be calculated in bottom-up manner. The LACT of last task of DAG is its ECT. The LACT of other tasks can be calculated by the LACT of its successor task and the communication overhead between them. The calculation equation can be represented as
L A C T ( v i ) = { E C T ( v i ) i = n min 1 j n 1 , e j i E L A C T ( v j ) c j i 1 i n 1
The latest allowable start time (LAST) of a task can be calculated by its LACT and computation time. It can be represented as
L A S T ( v i ) = L A C T ( v i ) t i
The B-level of a task can be calculated as
B l e v e l = { 0 i f   v i   h a s   n o   s u c c e s s o r max { B l e v e l ( v j ) + c i j } v j s u c c e s s o r ( v i )
Correspondingly, the T-level of a task can be represented as
T l e v e l = { 0 if   v i   has no predecessor max { T l e v e l ( v j ) + c j i } v j predecessor   ( v i )
The Favorite Predecessor (FP) of a task is defined as the task which has the maximum communication and computation overhead among all predecessor tasks. It can be represented as
F P ( v i ) = v j , where   e j i E , e k i E , j k | E C T ( v j ) + c j i E C T ( v k ) + c k i
The Second Favorite Predecessor (SFP) of a task is defined as
S F P ( v i ) = v j , where   e j i E , e k i E , v j F P ( v i ) , j k | E C T ( v j ) + c j i E C T ( v k ) + c k i

4.2. Task Duplication

The task scheduling process is shown in Figure 1. Precedence constraints of tasks of DAG must be guaranteed by executing the predecessor tasks before the successor task. So the task sequence needs to be ordered using the concept of T-level. Tasks are sorted in ascending order, and then the original task sequence is formed.
Based on the original task sequence, the tasks should be clustered and mapped to different processors. In the clustering process, the linear clustering method is adopted. The tasks with maximum communication are allocated to the same processor. Meanwhile, the task duplications are conducted according to the given condition.
The tasks are sorted in a bottom-up manner in the original task sequence. After the current task is mapped, the predecessor task would be investigated. Since the FP is the favorite predecessor task, which has the longest distance between FP and the current task, replicating the FP can reduce the communication overhead to the greatest extent. SFP is defined, which is the second favorite predecessor task. If the FP cannot meet the replication condition and the SFP meets the condition, the SFP would be replicated. Therefore, the communication overhead between SFP and the current task would be reduced to zero. The new current task would be checked until the task without the predecessor task. Then, this round mapping finishes. The next round mapping would start from the first task of the current task sequence. The algorithm description is given in Figure 2.
The threshold is defined as the difference between the computation energy of executing replicated tasks and the saved communication energy. Task duplication is conducted in task clustering and mapping process in a bottom-up manner. When the FP cannot meet the condition, SFP would be considered.
If the FP cannot meet the requirement of duplication, the favorite predecessor task of the FP would not be judged even if it can meet the condition. This is because there is no direct correlation between the favorite predecessor task of the FP and the current task. In this case, the task duplication only increases the computation overhead. This is the essential difference between the proposed algorithm and EAD [15].
Task duplication condition includes two following items:
  • LAST(vi)LACT(vj) < cij
  • EP(vi)EC(eij) ≤ threshold
The tasks are retrieved in bottom-up manner. The mapping list forms after the entire assignation has finished. Then, schedule length (makespan) and energy are also calculated based upon the models.

5. Energy Efficiency Evaluation

Simulation experiments are conducted to evaluate the performance and energy saving of the proposed algorithm. The standard task graph set is adopted [27], which includes random generated applications and real applications.

5.1. Test Set and Metrics

The three different parallel applications are used in our simulation. They are represented as a standard task graph, and are shown in Table 2. Among them, a parallel application is generated randomly. The other two are real parallel application benchmarks.
The evaluation metrics consist of makespan and energy consumption. The makespan is also called schedule length, which is the overall execution time of a parallel application. The makespan is the metric of efficiency. Energy consumption includes the computation energy consumed by processors and the communication energy of network. The task duplication-based algorithm belongs to energy-aware algorithms. To measure our algorithm more comprehensively, the two metrics are evaluated respectively. The parameters used in calculating energy are obtained from the Lenovo sure-fire servers R510 (Lenovo Inc., Beijing, China).

5.2. Baseline Algorithms

The baseline algorithms include Task Duplication Based Scheduling (TDS) [4] and Energy Aware Task Duplication Based Scheduling (EADS) [15].
  • TDS: The goal of TDS is to improve performance, which attempts to generate the shortest schedule length through task duplication. All tasks that can shorten schedule length would be replicated. The same task may be executed on different processors.
  • EADS: EADS is based on TDS and aims to reduce the energy consumption due to replicating tasks. The FP of the current task is judged based upon the replication condition in the bottom-up manner. Some indirect tasks may be duplicated in the same tasks.

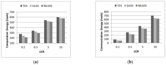
5.3. Impact of CCR

CCR can measure the total time spent on computation and communication. To investigate the impact of CCR, we conduct the experiments using the random application, when CCR varies from 0.1 to 10. The computation energy and communication energy comparison results are shown respectively in Figure 3a,b.
The proposed algorithm NEADS can reduce the energy to some extent compared with two baseline algorithms. When CCR is less than 1, the computation energy has been significantly reduced. However, when CCR is greater than 1, the reduced computation energy is not obvious. Because NEADS focuses on diminishing the extra computation overheads of the indirect predecessor tasks, its advantage of computation energy reduction is more obvious than EADS. The maximum computation energy reduction over TDS and EADS are 22.5% and 12.7% when CCR is set to 0.1, respectively.
The communication energy has been markedly reduced compared with TDS. But NEADS has not great advantages when compared with EADS. Since both EADS and NEADS are based on the task duplication, both of them aim to reduce the communication energy. So NEADS can only achieve small communication energy reduction compared with EADS.

5.4. Impact of Applications

According to the ratio of computation and communication, the features of parallel applications can be classified into computation intensive, communication intensive and synthetic. In this section, the impact of application features on makespan and energy has been investigated. Three applications (i.e., fpppp, Robot control and random) have different features.
Figure 4 shows the comparison results in fpppp. We can see that the makespans in different algorithms are almost equal. However, the energy consumption has been obviously reduced in NEADS compared with other two algorithms. Fpppp belongs to computation intensive applications. Therefore, the proposed algorithm has advantage in reducing energy over other two algorithms for computation intensive applications without increasing the makespan.
Figure 5 shows the comparison results in the robot control. Both makespan and energy have no obvious differences. Energy consumption has been slightly lowered. This shows that, for communication-intensive applications, the proposed algorithm has no distinct advantages.
Random is a synthetic application. In order to indicate its feature, makespan and energy are calculated when CCR is defined as 0.1 and 5 respectively. The comparison results are shown in Figure 6 and Figure 7. When CCR is 0.1, NEADS can dramatically reduce the energy consumption compared with TDS and EADS. However, when CCR is 5, NEADS has a close value in energy consumption with EADS. Since CCR can indicate its features, these results are consistent with those in different applications such as fpppp and robot control.

5.5. Overall Energy Efficiency

To illustrate overall energy efficiency of the proposed algorithm in synthetic applications, we conducted the comprehensive tests on multiple synthetic applications. Figure 8 and Figure 9 show the reduced energy percent in 30 random applications compared with TDS and EADS. The overall energy has been reduced by 9.39% and 3.52% on average, respectively.

6. Conclusions

In this paper, we proposed a novel duplication-based energy-aware scheduling algorithm. In the duplication process, both the favorite predecessor and second favorite predecessor are considered. When the favorite predecessor (FP) does not meet the duplication condition, the predecessor of FP would not be checked. Then, the second favorite predecessor would be judged. This avoids indirect tasks being replicated to the same processor. Correspondingly, extra communication and computation overhead can be reduced. To demonstrate the effectiveness of the proposed algorithm, we conducted extensive experiments under various applications. The experimental results show that, for synthetic applications, NEADS can effectively reduce the energy consumption.

Acknowledgments

The work was supported by Beijing Educational Committee Science and Technology Develop Project under Grant No. KM201511417003, the National Natural Science Foundation of China under Grant No. 61502036, Supporting Program of Sci & Tech Research of China (2014BAK08B02), The Importation and Development of High-Caliber Talents Project of Beijing Municipal Institutions under Grant No. CIT&TCD201404093.

Author Contributions

Aihua Liang and Yu Pang conceived and designed the study. Yu Pang performed the experiments. Aihua Liang wrote and revised the paper. All authors have given approval to the final version of the manuscript.

Conflicts of Interest

The author declares no conflict of interest.

References

  1. Chedid, W.; Yu, C. Survey on Power Management Techniques for Energy Efficient Computer Systems; Technical Report; Department of Electrical and Computer Engineering, Cleveland State University: Cleveland, OH, USA, 2002. [Google Scholar]
  2. TOP500 Team: The TOP500 List. Available online: http://www.top500.org/lists/2015/11 (accessed on 15 January 2016).
  3. Dally, W.J.; Carvey, P.P.; Dennison, L.R. The Avici Terabit Switch/Router. In Proceedings of the 6th Symposium on Hot Interconnects, Stanford, CA, USA, 13–15 August 1998; pp. 41–55.
  4. Ranaweera, S.; Agrawal, D.P. A Task Duplication Based Scheduling Algorithm for Heterogeneous Systems. In Proceedings of the Parallel and Distributed Processing Symposium, Orlando, FL, USA, 29 May–2 June 2000; pp. 445–450.
  5. Bansal, S.; Kumar, P.; Singh, K. An Improved Duplication Strategy for Scheduling Precedence Constrained Graphs in Multiprocessor Systems. IEEE Trans. Parallel Distrib. Syst. 2003, 14, 533–544. [Google Scholar] [CrossRef]
  6. Liang, A.; Xiao, L.; Ruan, L. Adaptive workload driven dynamic power management for high performance computing clusters. Comput. Electr. Eng. 2013, 39, 2357–2368. [Google Scholar] [CrossRef]
  7. Wang, L.; Laszewski, G.; Von Dayal, J. Towards energy aware scheduling for precedence constrained parallel tasks in a cluster with DVFS. In Proceedings of the 10th IEEE/ACM International Conference Symposium on Cluster, Cloud and Grid Computing (CCGrid), Melbourne, Australia, 17–20 May 2010; pp. 368–377.
  8. Saravanan, V.; Anpalagan, A.; Kothari, D.P. A comparative simulation study on the power performance of multi-core architecture. J. Supercomput. 2014, 70, 465–487. [Google Scholar] [CrossRef]
  9. Mishraa, A.; Tripathib, A. Energy efficient voltage scheduling for multi-core processors with software controlled dynamic voltage scaling. Appl. Math. Model. 2014, 38, 3456–3466. [Google Scholar] [CrossRef]
  10. Zhu, X.; He, C.; Li, K.; Qin, X. Adaptive energy-efficient scheduling for real-time tasks on DVS-enabled heterogeneous clusters. J. Parallel Distrib. Comput. 2012, 72, 751–763. [Google Scholar] [CrossRef]
  11. Sridharan, R.; Gupta, N.; Mahapatra, R. Feedback-controlled reliability-aware power management for real-time embedded systems. In Proceedings of the 45th Annual Design Automation Conference, Anaheim, CA, USA, 08–13 June 2008; pp. 185–190.
  12. Marzollaa, M.; Mirandolab, R. Dynamic power management for QoS-aware applications. Sustain. Comput. Inform. Syst. 2013, 3, 231–248. [Google Scholar] [CrossRef]
  13. Falzon, G.; Li, M. Enhancing list scheduling heuristics for dependent job scheduling in grid computing environments. J. Supercomput. 2012, 59, 104–130. [Google Scholar] [CrossRef]
  14. Liu, W.; Duan, Y.; Du, W. An energy efficient clustering-based scheduling algorithm for parallel tasks on homogeneous DVS-enabled clusters. In Proceedings of the 16th International Conference on Computer Supported Cooperative Work in Design (CSCWD), Wuhan, China, 23–25 May 2012; pp. 575–582.
  15. Tang, X.; Li, K.; Liao, G.; Li, R. List scheduling with duplication for heterogeneous computing systems. J. Parallel Distrib. 2010, 70, 323–329. [Google Scholar] [CrossRef]
  16. Lai, K.-C.; Yang, C.-T. A dominant predecessor duplication scheduling algorithm for heterogeneous systems. J. Supercomput. 2007, 44, 126–145. [Google Scholar] [CrossRef]
  17. Sanjeev, B.; Rabab, A. Energy aware DAG scheduling on heterogeneous systems. Cluster Comput. 2010, 13, 373–383. [Google Scholar]
  18. Sinnen, O.; Sousa, L.A. Communication contention in task scheduling. IEEE Trans. Parallel Distrib. Syst. 2005, 16, 503–515. [Google Scholar] [CrossRef]
  19. Sinnen, O.; To, A.; Kaur, M. Contention-aware scheduling with task duplication. J. Parallel Distrib. Comput. 2011, 71, 77–86. [Google Scholar] [CrossRef]
  20. Choi, G.S.; Kim, J.; Ersoz, D.; Yoo, A.; Das, C. Coscheduling in clusters: Is it a viable alternative? In Proceedings of the ACM/IEEE Conference Supercomputing (SC ‘04), Pittsburgh, PA, USA, 6–12 November 2004.
  21. Maosko, L.; Tudruj, M.; Mounie, G. Comparison of program task scheduling algorithms for dynamic SMP clusters with communication on the fly. In Proceedings of the Parallel Processing and Applied Mathematics, Wroclaw, Poland, 13–16 September 2009; pp. 31–41.
  22. Shojafar, M.; Cordeschi, N.; Amendola, D.; Baccarelli, E. Energy-Saving Adaptive Computing and Traffic Engineering for Real-Time-Service Data Centers. In Proceedings of the 22nd IEEE ICC WORKSHOP, London, UK, 8–12 June 2015.
  23. Shojafar, M.; Cordeschi, N.; Baccarelli, E. Energy-efficient Adaptive Resource Management for Real-time Vehicular Cloud Services. IEEE Trans. Cloud Comput. 2016, 99, 1–14. [Google Scholar] [CrossRef]
  24. Shojafar, M.; Javanmardi, S.; Abolfazli, S.; Cordeschi, N. Erratum to: FUGE: A joint meta-heuristic approach to cloud jobs cheduling algorithm using fuzzy theory and a genetic method. Cluster Comput. 2015, 18, 845. [Google Scholar] [CrossRef]
  25. Zong, Z.; Mais, N.; Adam, M. Energy efficient scheduling for parallel applications on mobile clusters. Cluster Comput. 2008, 11, 91–113. [Google Scholar] [CrossRef]
  26. Zong, Z.; Adam, M.; Ruan, X.; Qin, X. EAD and PEBD: Two Energy-Aware Duplication Scheduling Algorithms for Parallel Tasks on Homogeneous Clusters. IEEE Trans. Comput. 2011, 60, 360–374. [Google Scholar] [CrossRef]
  27. Standard Task Graph Set. Available online: http://www.kasahara.elec.waseda.ac.jp/schedule (accessed on 10 October 2015).
Figure 1. Scheduling flow chart of parallel tasks.
Figure 1. Scheduling flow chart of parallel tasks.
Mca 22 00002 g001
Figure 2. Algorithm description.
Figure 2. Algorithm description.
Mca 22 00002 g002
Figure 3. Energy comparison in different communication computation ratios (CCR). (a) Computational Energy comparison and (b) Communication Energy comparison.
Figure 3. Energy comparison in different communication computation ratios (CCR). (a) Computational Energy comparison and (b) Communication Energy comparison.
Mca 22 00002 g003
Figure 4. Makespan and energy comparison of fpppp. (a) Makespan comparison and (b) Energy consumption comparison.
Figure 4. Makespan and energy comparison of fpppp. (a) Makespan comparison and (b) Energy consumption comparison.
Mca 22 00002 g004
Figure 5. Makespan and energy comparison of Robot. (a) Makespan comparison and (b) Energy consumption comparison.
Figure 5. Makespan and energy comparison of Robot. (a) Makespan comparison and (b) Energy consumption comparison.
Mca 22 00002 g005
Figure 6. Makespan and energy comparison of Random CCR = 0.1. (a) Makespan comparison and (b) Energy consumption comparison.
Figure 6. Makespan and energy comparison of Random CCR = 0.1. (a) Makespan comparison and (b) Energy consumption comparison.
Mca 22 00002 g006
Figure 7. Makespan and energy comparison of Random CCR = 5. (a) Makespan comparison and (b) Energy consumption comparison.
Figure 7. Makespan and energy comparison of Random CCR = 5. (a) Makespan comparison and (b) Energy consumption comparison.
Mca 22 00002 g007
Figure 8. Reduced energy in different random applications compared with TDS.
Figure 8. Reduced energy in different random applications compared with TDS.
Mca 22 00002 g008
Figure 9. Reduced energy in different random applications compared with EADS.
Figure 9. Reduced energy in different random applications compared with EADS.
Mca 22 00002 g009
Table 1. Notation list.
Table 1. Notation list.
NotationDescription
CCRCommunication-computation ratio
PRED(vi)The predecessor of vi
SUCC(vi)The successor of vi
EST(vi)The earliest start time of vi
ECT(vi)The earliest complete time of vi
LAST(vi)The latest allowed start time of vi
LACT(vi)The latest allowed complete time of vi
B-level(vi)The longest distance from vi to exit task
T-level(vi)The longest distance from entry task to vi
FP(vi)Favorite predecessor of vi
SFP(vi)Second favorite predecessor of vi
Table 2. Standard task Graph.
Table 2. Standard task Graph.
Parallel ApplicationTask NumberEdge Number
fpppp3341145
Random50164
Robot control88131

Share and Cite

MDPI and ACS Style

Liang, A.; Pang, Y. A Novel, Energy-Aware Task Duplication-Based Scheduling Algorithm of Parallel Tasks on Clusters. Math. Comput. Appl. 2017, 22, 2. https://doi.org/10.3390/mca22010002

AMA Style

Liang A, Pang Y. A Novel, Energy-Aware Task Duplication-Based Scheduling Algorithm of Parallel Tasks on Clusters. Mathematical and Computational Applications. 2017; 22(1):2. https://doi.org/10.3390/mca22010002

Chicago/Turabian Style

Liang, Aihua, and Yu Pang. 2017. "A Novel, Energy-Aware Task Duplication-Based Scheduling Algorithm of Parallel Tasks on Clusters" Mathematical and Computational Applications 22, no. 1: 2. https://doi.org/10.3390/mca22010002

APA Style

Liang, A., & Pang, Y. (2017). A Novel, Energy-Aware Task Duplication-Based Scheduling Algorithm of Parallel Tasks on Clusters. Mathematical and Computational Applications, 22(1), 2. https://doi.org/10.3390/mca22010002

Article Metrics

Back to TopTop