Magnetically Grafted Carbon Nanotubes Synthesis and Its Oriented Nanochannels Construction in the Poly(Vinylidene Fluoride) (PVDF) Ultrafiltration Membranes
Abstract
1. Introduction
2. Materials and Methods
2.1. Materials
2.2. Synthesizing Magnetical CNTs Grafting Single and Diblock Molecular Chains
2.3. Orientation of Magnetical CNTs Grafting Molecular Chains in the Membrane
2.4. Characterizing the Structure and Morphology of the Magnetical CNTs Grafting Molecular Chains
2.5. Characterizing the Basic Properties of the CNTs/PVDF Composited Membrane
2.6. Filtration and Antifouling Properties of the CNTs/PVDF Composited Membrane
3. Results and Discussion
3.1. Surface Chemical Identification and Morphology Analysis for the Magnetically Grafted CNTs
CNTs’ Surface Morphologies Observation
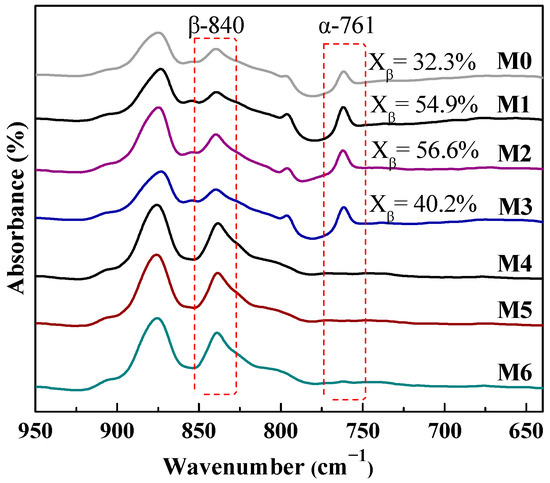
3.2. Surface Property and Crystalline Phase Analysis for the PVDF Composited Membrane
3.3. PVDF Composited Membrane Performance
3.4. The Orientation Identification of Grafted mCNTs in the Membrane Matrix
4. Conclusions
Author Contributions
Funding
Institutional Review Board Statement
Informed Consent Statement
Data Availability Statement
Conflicts of Interest
References
- Zou, D.; Chen, X.; Drioli, E.; Ke, X.; Qiu, M.; Fan, Y. Facile co-sintering process to fabricate sustainable antifouling silver nanoparticles (AgNPs)-enhanced tight ceramic ultrafiltration membranes for protein separation. J. Membr. Sci. 2020, 593, 117402. [Google Scholar] [CrossRef]
- Ma, W.; Song, X.; Yin, S.; Peng, H.; Yang, H.; Gong, F.; Liu, C.; Zhong, J. Grafting an amphiphilic block copolymer to magnetic-functionalized carbon nanotubes and their nanochannels in membranes. ACS Appl. Polym. Mater. 2021, 3, 6468–6478. [Google Scholar] [CrossRef]
- Suhartono, J.; Pertiwi, D.S.; Noersalim, C.; Yulianingsih, D.; Sofianti, F.; Saptoro, A.; Chafidz, A. Characteristics and performances of blended polyethersulfone and carbon-based nanomaterial membranes: Effect of nanomaterial types and air exposure. Chem. Eng. Technol. 2020, 43, 1630–1637. [Google Scholar] [CrossRef]
- Li, G.; Feng, L.; Zhai, Z.; Wang, F. Study on enhancing effect of carbon nanotubes on the interlayer strength of 3D printing of plastic powder. AIP Adv. 2020, 10, 065106. [Google Scholar] [CrossRef]
- Du, C.; Li, M.; Cao, M.; Feng, S.; Guo, H.; Li, B. Enhanced thermal and mechanical properties of polyvinlydene fluoride composites with magnetic oriented carbon nanotube. Carbon 2018, 126, 197–207. [Google Scholar] [CrossRef]
- Ma, W.; Zhao, Y.; Li, Y.; Zhang, P.; Cao, Z.; Yang, H.; Liu, C.; Tao, G.; Gong, F.; Matsuyama, H. Synthesis of hydrophilic carbon nanotubes by grafting poly(methyl methacrylate) via click reaction and its effect on poly(vinylidene fluoride)-carbon nanotube composite membrane properties. Appl. Surf. Sci. 2018, 435, 79–90. [Google Scholar] [CrossRef]
- Li, B.; Zhou, J.; Xu, X.; Yu, J.; Shao, W.; Fang, Y.; Lu, X. Solvent quality affects chain conformational order at the polymer surface revealed by sum frequency generation vibrational spectroscopy. Polymer 2013, 54, 1853–1859. [Google Scholar] [CrossRef]
- John, J.; Klepac, D.; Didović, M.; Sandesh, C.J.; Liu, Y.; Raju KV, S.N.; Pius, A.; Valić, S.; Thomas, S. Main chain and segmental dynamics of semi interpenetrating polymer networks based on polyisoprene and poly(methyl methacrylate). Polymer 2010, 51, 2390–2402. [Google Scholar] [CrossRef]
- Regev, C.; Belfer, S.; Holenberg, M.; Fainstein, R.; Parola, A.H.; Kasher, R. Fabrication of poly(ethylene glycol) particles with a micro-spherical morphology on polymeric fibers and its application in high flux water filtration. Sep. Purif. Technol. 2019, 210, 729–736. [Google Scholar] [CrossRef]
- Chen, G.E.; Sun, W.G.; Kong, Y.F.; Wu, Q.; Sun, L.; Yu, J.; Xu, Z.L. Hydrophilic Modification of PVDF microfiltration membrane with poly (Ethylene Glycol) dimethacrylate through surface polymerization. Polym. Plast. Technol. Eng. 2018, 57, 108–117. [Google Scholar] [CrossRef]
- Bodzek, M.; Konieczny, K.; Kwiecinska-Mydlak, A. Recent advances in water and wastewater treatment using membranes with carbon nanotubes. Membr. Water Treat. 2022, 13, 259–290. [Google Scholar]
- Demirel, E.; Dadashov, S. Fabrication of a novel PVDF based silica coated multi-walled carbon nanotube embedded membrane with improved filtration performance. Chem. Eng. Commun. 2022, 209, 1009–1034. [Google Scholar] [CrossRef]
- An, X.Y.; Wu, H.C.; Li, Y.J.; He, X.W.; Chen, L.X.; Zhang, Y.K. The hydrophilic boronic acid-poly(ethylene glycol) methyl ether methacrylate copolymer brushes functionalized magnetic carbon nanotubes for the selective enrichment of glycoproteins. Talanta 2020, 210, 120632. [Google Scholar] [CrossRef]
- Li, G.; Zheng, H.; Bai, R. A facile strategy for the preparation of azide polymers via room temperature RAFT polymerization by redox initiation. Macromol. Rapid Commun. 2009, 30, 442–447. [Google Scholar] [CrossRef]
- Ma, W.; Zhao, Y.; Zhu, Z.; Guo, L.; Cao, Z.; Xia, Y.; Yang, H.; Gong, F.; Zhong, J. Synthesis of poly(methyl methacrylate) grafted multiwalled carbon nanotubes via a combination of RAFT and alkyne-azide click reaction. Appl. Sci. 2019, 9, 603. [Google Scholar] [CrossRef]
- Liu, J.; Chen, C.; Feng, Y.; Liao, Y.; Ye, Y.; Xie, X.; Mai, Y.W. Ultralow-carbon nanotube-toughened epoxy: The critical role of a double-layer interface. ACS Appl. Mater. Interfaces 2018, 10, 1204–1216. [Google Scholar] [CrossRef]
- Hosono, T.; Takahashi, H.; Fujita, A.; Joseyphus, R.J.; Tohji, K.; Jeyadevan, B. Synthesis of magnetite nanoparticles for AC magnetic heating. J. Magn. Magn. Mater. 2009, 321, 3019–3023. [Google Scholar] [CrossRef]
- Luo, H.; Huang, Y.; Wang, D. The crystallization and crystal transition of PVDF in PAN nano-tube. Polymer 2013, 54, 4710–4718. [Google Scholar] [CrossRef]
- Xu, S.; Ma, W.; Yang, H.; Cao, Z.; Gong, F.; Liu, C. Cross-Linking Combined with Surfactant Bilayer Assembly Enhances the Hydrophilic and Antifouling Properties of PTFE Microfiltration Membranes. Separtions 2022, 9, 2. [Google Scholar] [CrossRef]
- María, N.; Patil, Y.; Polymeropoulos, G.; Peshkov, A.; Rodionov, V.; Maiz, J.; Hadjichristidis, N.; Müller, A.J. (PVDF)2(PEO)2 miktoarm star copolymers: Synthesis and isothermal crystallization leading to exclusive β-phase formation. Eur. Polym. J. 2022, 179, 111506. [Google Scholar] [CrossRef]
- Wei, D.; Zhou, S.; Li, M.; Xue, A.; Zhang, Y.; Zhao, Y.; Zhong, J.; Yang, D. PVDF/palygorskite composite ultrafiltration membranes: Effects of nanoclay particles on membrane structure and properties. Appl. Clay Sci. 2019, 181, 105171. [Google Scholar] [CrossRef]
- Pishnamazi, M.; Koushkbaghi, S.; Hosseini, S.S.; Darabi, M.; Yousefi, A.; Irani, M. Metal organic framework nanoparticles loaded-PVDF/chitosan nanofibrous ultrafiltration membranes for the removal of BSA protein and Cr(VI) ions. J. Mol. Liq. 2020, 317, 113934. [Google Scholar] [CrossRef]
- Lin, Y.C.; Tseng, H.H.; Wang, D.K. Uncovering the effects of PEG porogen molecular weight and concentration on ultrafiltration membrane properties and protein purification performance. J. Membr. Sci. 2021, 618, 118729. [Google Scholar] [CrossRef]














| Code | PVDF (wt%) | Grafted Molecular Chains | mCNTs (wt%) | DMAc (wt%) | Magnetic Field |
|---|---|---|---|---|---|
| M0 | 14 | - | - | 84 | No |
| M1 | PMMA single chains | 2 | 84 | No | |
| M2 | 2 | 84 | Yes | ||
| M3 | 5 | 84 | No | ||
| M4 | PMMA + P(PEGMA) diblock molecular chains | 5 | 84 | No | |
| M5 | 5 | 84 | Yes | ||
| M6 | 10 | 84 | No |
| Sample | Tmon/°C | Tmp/°C | Tmf/°C | ΔTm/°C | ΔHm/(J·g−1) | ΔXc/% |
|---|---|---|---|---|---|---|
| M0 | 165.3 | 169.4 | 173.0 | 7.7 | 16.2 | 15.5 |
| M1 | 166.0 | 170.8 | 174.3 | 8.3 | 24.3 | 23.2 |
| M2 | 166.1 | 171.2 | 174.2 | 8.1 | 26.1 | 24.9 |
| M3 | 165.2 | 170.2 | 172.6 | 7.4 | 27.1 | 26.3 |
| M4 | 166.8 | 172.3 | 176.7 | 9.9 | 36.8 | 35.2 |
| M5 | 166.9 | 173.2 | 177.2 | 10.3 | 38.6 | 36.8 |
| M6 | 166.1 | 171.5 | 175.4 | 9.3 | 28.7 | 27.4 |
Disclaimer/Publisher’s Note: The statements, opinions and data contained in all publications are solely those of the individual author(s) and contributor(s) and not of MDPI and/or the editor(s). MDPI and/or the editor(s) disclaim responsibility for any injury to people or property resulting from any ideas, methods, instructions or products referred to in the content. |
© 2023 by the authors. Licensee MDPI, Basel, Switzerland. This article is an open access article distributed under the terms and conditions of the Creative Commons Attribution (CC BY) license (https://creativecommons.org/licenses/by/4.0/).
Share and Cite
Song, X.; Ma, W.; Peng, P.; Yin, S.; Ma, B.; Yang, H.; Gong, F.; Liu, C. Magnetically Grafted Carbon Nanotubes Synthesis and Its Oriented Nanochannels Construction in the Poly(Vinylidene Fluoride) (PVDF) Ultrafiltration Membranes. Separations 2023, 10, 249. https://doi.org/10.3390/separations10040249
Song X, Ma W, Peng P, Yin S, Ma B, Yang H, Gong F, Liu C. Magnetically Grafted Carbon Nanotubes Synthesis and Its Oriented Nanochannels Construction in the Poly(Vinylidene Fluoride) (PVDF) Ultrafiltration Membranes. Separations. 2023; 10(4):249. https://doi.org/10.3390/separations10040249
Chicago/Turabian StyleSong, Xiangyuan, Wenzhong Ma, Peisen Peng, Sicheng Yin, Binghao Ma, Haicun Yang, Fanghong Gong, and Chunlin Liu. 2023. "Magnetically Grafted Carbon Nanotubes Synthesis and Its Oriented Nanochannels Construction in the Poly(Vinylidene Fluoride) (PVDF) Ultrafiltration Membranes" Separations 10, no. 4: 249. https://doi.org/10.3390/separations10040249
APA StyleSong, X., Ma, W., Peng, P., Yin, S., Ma, B., Yang, H., Gong, F., & Liu, C. (2023). Magnetically Grafted Carbon Nanotubes Synthesis and Its Oriented Nanochannels Construction in the Poly(Vinylidene Fluoride) (PVDF) Ultrafiltration Membranes. Separations, 10(4), 249. https://doi.org/10.3390/separations10040249

