Antimicrobial Resistance Pattern in Clinical Escherichia coli and Pseudomonas aeruginosa Isolates Obtained From a Secondary-Care Hospital Prior to and During the COVID-19 Pandemic in Kuwait
Abstract
Introduction
Methods
Study site and data collection
Sample collection, isolation and identification of E. coli and P. aeruginosa
Antimicrobial susceptibility testing
Ethical considerations
Statistical analysis
Results
Individual antibiotic resistance
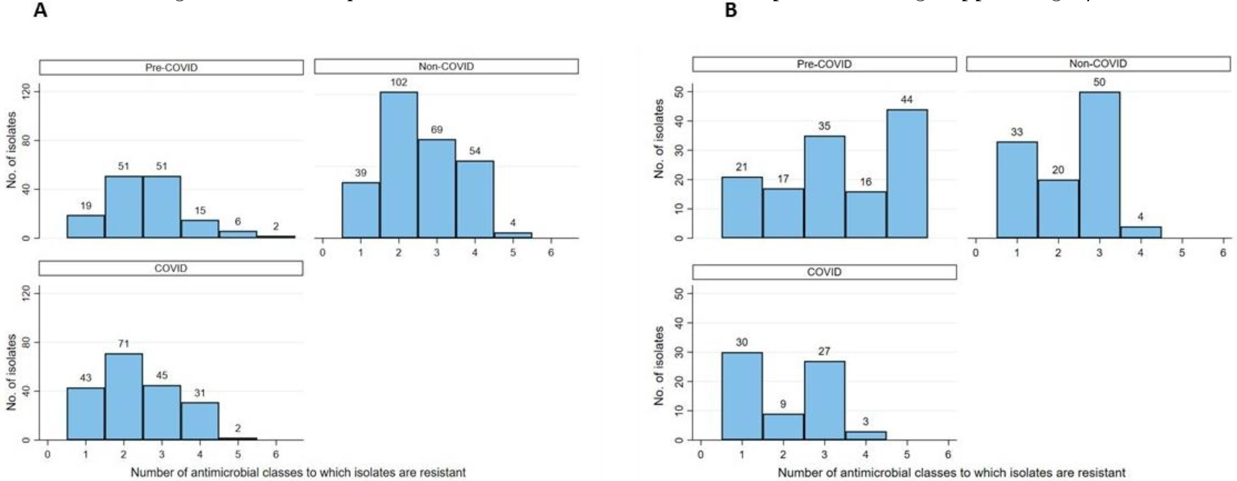
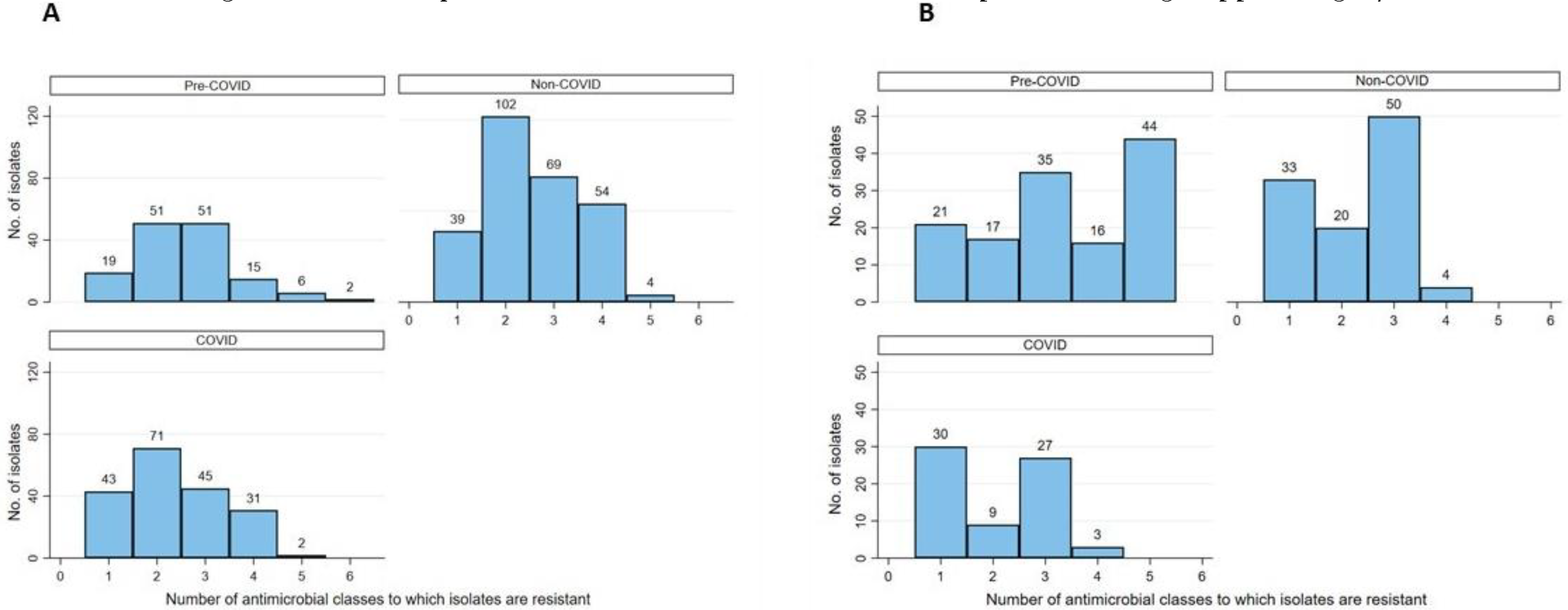
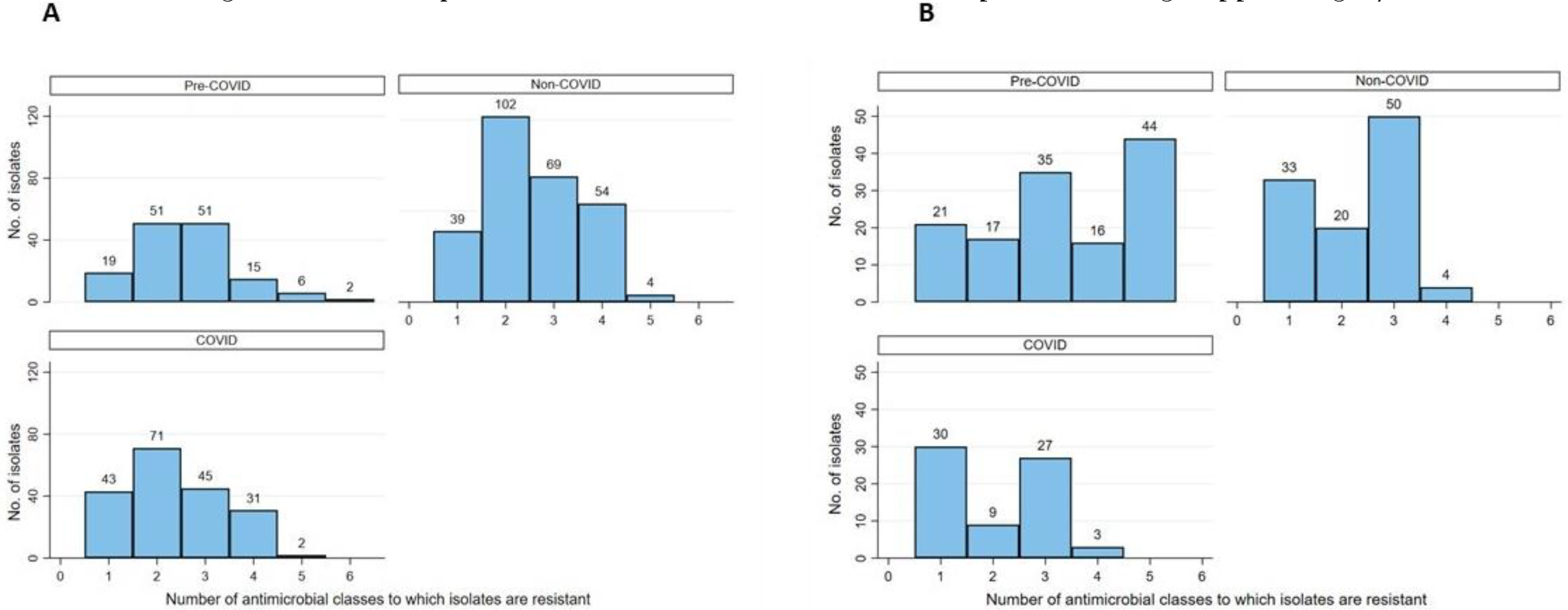
Multidrug resistance
Discussion
Conclusions
Author Contributions
Funding
Data Availability Statement
Conflicts of Interest
References
- Li, B.; Webster, T.J. Bacteria antibiotic resistance: New challenges and opportunities for implant—Associated orthopedic infections. J Orthop Res. 2018, 36, 22–32. [Google Scholar] [CrossRef] [PubMed]
- World Health Organization. The Evolving Threat of Antimicrobial Resistance: Options for Action; World Health Organization: Geneva, Switzerland, 2012. Available online: http://apps.who.int/iris/bitstream/10665/44812/1/9789241503181eng.pdf (accessed on 8 August 2019).
- Woolhouse, M.; Ward, M.; van Bunnik, B.; Farrar, J. Antimicrobial resistance in humans, livestock and the wider environment. Philos Trans R Soc Lond B Biol Sci. 2015, 370, 20140083. [Google Scholar] [CrossRef] [PubMed]
- Rawson, T.M.; Ming, D.; Ahmad, R.; Moore, L.S.P.; Holmes, A.H. Antimicrobial use, drug-resistant infections and COVID-19. Nat Rev Microbiol. 2020, 18, 409–410. [Google Scholar] [CrossRef] [PubMed]
- World Health Organization. Record number of countries contribute data revealing disturbing rates of antimicrobial resistance. 2020. Available online: https://www.who.int/news-room/detail/01-06-2020-record-number-of-countries-contribute-data-revealing-disturbing-rates-of-antimicrobial-resistance (accessed on 13 February 2022).
- He, Y.; Li, W.; Wang, Z.; Chen, H.; Tian, L.; Liu, D. Nosocomial infection among patients with COVID-19: A retrospective data analysis of 918 cases from a single center in Wuhan, China. Infect Control Hosp Epidemiol. 2020, 41, 982–983. [Google Scholar] [CrossRef] [PubMed]
- Polly, M.; de Almeida, B.L.; Lennon, R.P.; Cortês, M.F.; Costa, S.F.; Guimarães, T. Impact of the COVID-19 pandemic on the incidence of multidrug-resistant bacterial infections in an acute care hospital in Brazil. Am J Infect Control. 2022, 50, 32–38. [Google Scholar] [CrossRef] [PubMed]
- Bentivegna, E.; Luciani, M.; Arcari, L.; Santino, I.; Simmaco, M.; Martelletti, P. Reduction of multidrug-resistant (mdr) bacterial infections during the COVID-19 pandemic: A retrospective study. Int J Environ Res Public Health. 2021, 18, 1003. [Google Scholar] [CrossRef] [PubMed]
- Bongiovanni, M.; Barilaro, G.; Zanini, U.; Giuliani, G. Impact of the COVID-19 pandemic on multidrug-resistant hospital-acquired bacterial infections. J Hosp Infect. 2022, 123, 191–192. [Google Scholar] [CrossRef] [PubMed]
- Wardoyo, E.H.; Suardana, I.W.; Yasa, I.W.P.S.; Sukrama, I.D.M. Antibiotics susceptibility of Escherichia coli isolates from clinical specimens before and during COVID-19 pandemic. Iran J Microbiol. 2021, 13, 156–160. [Google Scholar] [PubMed]
- Collignon, P.; Beggs, J.J. CON: COVID-19 will not result in increased antimicrobial resistance prevalence. JAC Antimicrob Resist. 2020, 2, dlaa051. [Google Scholar] [CrossRef] [PubMed]
- Donà, D.; Di Chiara, C.; Sharland, M. Multi-drug-resistant infections in the COVID-19 era: A framework for considering the potential impact. J Hosp Infect. 2020, 106, 198–199. [Google Scholar] [CrossRef] [PubMed]
- Centers for Disease Control and Prevention. Bloodstream infection event (central line-associated bloodstream infection and non-central line associated bloodstream infection). 2020. Available online: https://www.cdc.gov/nhsn/pdfs/pscmanual/4psc_clabscurrent.pdf (accessed on 28 November 2020).
- Centers for Disease Control and Prevention. Pneumonia (ventilator-associated [VAP] and nonventilator-associated pneumonia [PNEU]) event. 2020. Available online: https://www.cdc.gov/nhsn/pdfs/pscmanual/6pscvapcurrent.pdf (accessed on 28 November 2020).
- Centers for Disease Control and Prevention. Urinary tract infection (catheter-associated urinary tract infection [CAUTI] and non-catheter-associated urinary tract infection [UTI]) events. 2021. Available online: https://www.cdc.gov/nhsn/pdfs/pscmanual/7psccauticurrent.pdf (accessed on 28 November 2020).
- Centers for Disease Control and Prevention. CDC/NHSN surveillance definitions for specific types of infections. 2022. Available online: https://www.cdc.gov/nhsn/pdfs/pscmanual/17pscnosinfdef_current.pdf (accessed on 28 May 2022).
- Clinical and Laboratory Standards Institute. Performance Standards for Antimicrobial Susceptibility Testing; CLSI: Wayne, PA, USA, 2017; Volume M100, pp. 21–244. [Google Scholar]
- van Duin, D.; Barlow, G.; Nathwani, D. The impact of the COVID-19 pandemic on antimicrobial resistance: A debate. JAC Antimicrob Resist. 2020, 2, dlaa053. [Google Scholar] [CrossRef] [PubMed]
- Clancy, C.J.; Buehrle, D.J.; Nguyen, M.H. PRO: The COVID-19 pandemic will result in increased antimicrobial resistance rates. JAC Antimicrob Resist. 2020, 2, dlaa049. [Google Scholar] [CrossRef] [PubMed]
- Nori, P.; Cowman, K.; Chen, V.; et al. Bacterial and fungal coinfections in COVID-19 patients hospitalized during the New York City pandemic surge. Infect Control Hosp Epidemiol. 2021, 42, 84–88. [Google Scholar] [CrossRef] [PubMed]
- Langford, B.J.; So, M.; Raybardhan, S.; et al. Antibiotic prescribing in patients with COVID-19: Rapid review and meta-analysis. Clin Microbiol Infect. 2021, 27, 520–531. [Google Scholar] [CrossRef] [PubMed]
- López-Jácome, L.E.; Fernández-Rodríguez, D.; Franco-Cendejas, R.; et al. Increment antimicrobial resistance during the COVID-19 pandemic: Results from the Invifar Network. Microb Drug Resist. 2022, 28, 338–345. [Google Scholar] [PubMed]
- Patel, A.; Emerick, M.; Cabunoc, M.K.; et al. Rapid spread and control of multidrug-resistant Gram-negative bacteria in COVID-19 patient care units. Emerg Infect Dis. 2021, 27, 1234–1237. [Google Scholar] [CrossRef] [PubMed]
- Gasperini, B.; Cherubini, A.; Lucarelli, M.; Espinosa, E.; Prospero, E. Multidrug-resistant bacterial infections in geriatric hospitalized patients before and after the COVID-19 outbreak: Results from a retrospective observational study in two geriatric wards. Antibiotics 2021, 10, 95. [Google Scholar] [CrossRef] [PubMed]
- Alali, W.Q.; AlFouzan, W.; Dhar, R. Prevalence of antimicrobial resistance in Gram-negative clinical isolates from a major secondary hospital in Kuwait: A retrospective descriptive study. Germs 2021, 11, 498–511. [Google Scholar] [CrossRef] [PubMed]

![]() |
![]() |
![]() |
© GERMS 2022.
Share and Cite
Alali, W.Q.; Abdo, N.M.; AlFouzan, W.; Dhar, R. Antimicrobial Resistance Pattern in Clinical Escherichia coli and Pseudomonas aeruginosa Isolates Obtained From a Secondary-Care Hospital Prior to and During the COVID-19 Pandemic in Kuwait. GERMS 2022, 12, 372-383. https://doi.org/10.18683/germs.2022.1341
Alali WQ, Abdo NM, AlFouzan W, Dhar R. Antimicrobial Resistance Pattern in Clinical Escherichia coli and Pseudomonas aeruginosa Isolates Obtained From a Secondary-Care Hospital Prior to and During the COVID-19 Pandemic in Kuwait. GERMS. 2022; 12(3):372-383. https://doi.org/10.18683/germs.2022.1341
Chicago/Turabian StyleAlali, Walid Q., Naglaa M. Abdo, Wadha AlFouzan, and Rita Dhar. 2022. "Antimicrobial Resistance Pattern in Clinical Escherichia coli and Pseudomonas aeruginosa Isolates Obtained From a Secondary-Care Hospital Prior to and During the COVID-19 Pandemic in Kuwait" GERMS 12, no. 3: 372-383. https://doi.org/10.18683/germs.2022.1341
APA StyleAlali, W. Q., Abdo, N. M., AlFouzan, W., & Dhar, R. (2022). Antimicrobial Resistance Pattern in Clinical Escherichia coli and Pseudomonas aeruginosa Isolates Obtained From a Secondary-Care Hospital Prior to and During the COVID-19 Pandemic in Kuwait. GERMS, 12(3), 372-383. https://doi.org/10.18683/germs.2022.1341



