Bidirectional Resonant Converter for DC Microgrid Applications
Abstract
:1. Introduction
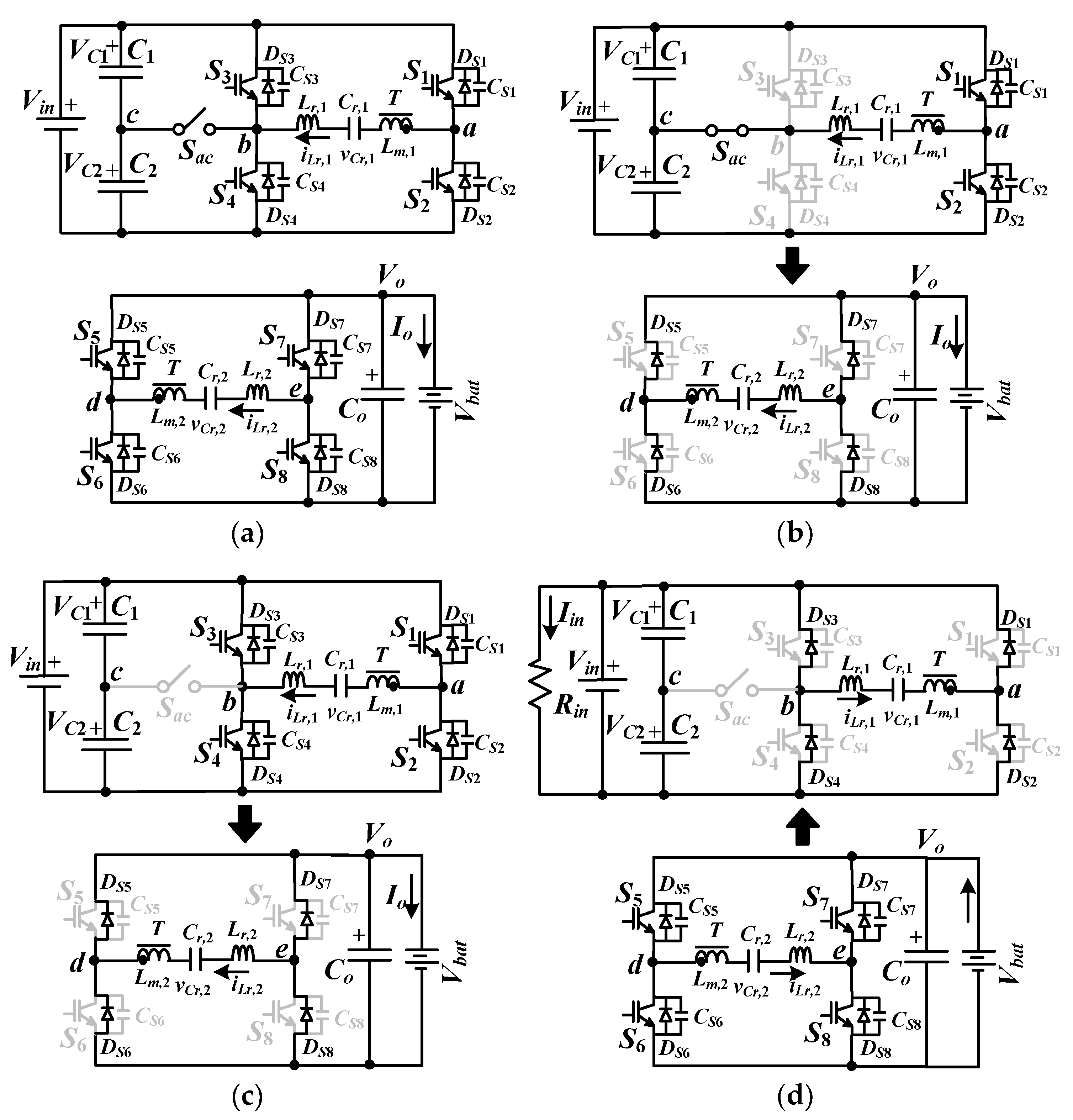
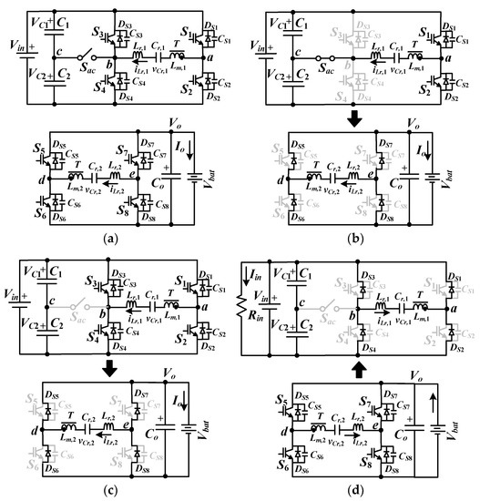
2. Circuit Schematic of the Presented Converter
3. Principle of Operation
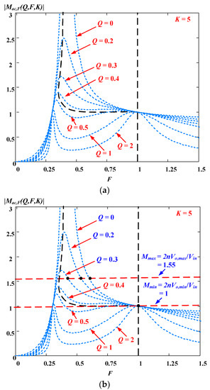
3.1. Low-Output Voltage Range under Forward Power Operation
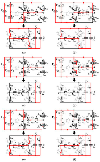
- State 1 [t0, t1]: vCS1 = 0 at t0. Since iLr,1(t0) < 0, the anti-parallel diode DS1 conducts. Therefore, switch S1 turns on at this moment to achieve zero voltage switching. The current iLr,2 increases and DS5 and DS8 are forward biased.
- State 2 [t1, t2]: At t1, iLr,1 > 0 so that diode DS1 becomes off and iLr,1 flows through S1 instead of DS1. Power is transferred from VC1 to Vo in this state. The input and output leg voltages are Vac = VC1 = Vin/2 and Vde = Vo. In this state, the resonant frequency is .
- State 3 [t2, t3]: If fsw < fr, iLr,2 = 0 at t2. Thus, DS5 and DS8 are off. Since C1 >> Cr,1, the resonant frequency in state 3 is given as .
- State 4 [t3, t4]: S1 turns off at t3. Then, iLr,1 will charge CS1 and discharge CS2. If the current where CS,1 = CS1 = CS2 = CS3 = CS4 and iLm,1,peak is the peak value of iLm,1, then CS2 can be discharged to zero voltage.
- State 5 [t4, t5]: vCS2 = 0 at t4. Since iLr,1(t4) > 0, the anti-parallel diode DS2 conducts. Therefore, S2 can be turned on at this moment to realize zero voltage switching. The current iLr,2 decreases so that DS6 and DS7 are conducting.
- State 6 [t5, t6]: At t5, iLr,1 < 0 so that DS2 is off. iLr,1 flows through S2. Power is transferred from VC2 to Vo in state 6. The resonant frequency in state 6 is .
- State 7 [t6, t7]: At time t6, iLr,2 = 0. Then, DS6 and DS7 become off. Since C2 >> Cr,1, the resonant frequency in state 7 is .
- State 8 [t7, Tsw + t0]: At time t7, S2 is turned off. Since iLr,1(t7) < 0, CS1 (CS2) is discharged (charged) in this state. This switching cycle is ended at time Tsw + t0.
3.2. High-Output Voltage Range under Forward Power Operation
3.3. Under Backward Power Operation
- State 1 [t0, t1]: At time t0, vCS5 = vCS8 = 0. Owing to iLr,2(t0) < 0, DS5 anf DS8 are conducting. S5 and S8 turn on at this moment to accomplish zero voltage switching. On the left hand side, iLr,1 > 0 and DS1 and DS4 are conducting.
- State 2 [t1, t2]: At time t1, iLr,2 becomes positive and DS5 and DS8 are off. Therefore, the positive current iLr,2 flows through S5 and S8. Power is transferred from Vo to Vin in this state. The leg voltages are Vab = Vin and Vde = Vo. In state 2, the resonant frequency is .
- State 3 [t2, t3]: If fr > fsw, the current iLr,1 will be decreased to 0 at time t2. Then, DS1 and DS4 become off. The resonant frequency in state 3 is expressed as .
- State 4 [t3, t4]: At time t3, S5 and S8 are turned off. The current iLr,2 discharge CS6 and CS7. If the current where iLm,2,peak is the peak value of iLm,2 and CS,2 = CS5 = CS6 = CS7 = CS8, then CS6 and CS7 are discharged to zero voltage.
- State 5 [t4, t5]: At time t4, vCS6 = vCS7 = 0. Owing to iLr,2(t4) > 0, DS6 and DS7 are conducting. S6 and S7 turn on at this moment to realize zero voltage switching. The current iLr,1(t) < 0 and DS2 and DS3 are conducting.
- State 6 [t5, t6]: At time t5, iLr,2 becomes negative and DS6 and DS7 are off. The current iLr,2 flows through S6 and S7. Power is transferred from Vo to Vin in state 6.
- State 7 [t6, t7]: At time t6, iLr,1 = 0 so that DS2 and DS3 are off. The resonant frequency in state 7 is .
- State 8 [t7, Tsw + t0]: At time t7, S6 and S7 are off. The current iLr,2 discharges CS5 and CS8. This switching cycle is ended at time Tsw + t0 when vCS5 = vCS8 = 0.
4. Circuit Analysis and Design Procedures
5. Experimental Results
6. Conclusions
Funding
Institutional Review Board Statement
Informed Consent Statement
Acknowledgments
Conflicts of Interest
References
- Dragicevic, T.; Lu, X.; Vasquez, J.C.; Guerrero, J.M. DC microgrids—Part I: A review of control strategies and stabilization techniques. IEEE Trans. Power Electron. 2016, 31, 4876–4891. [Google Scholar] [CrossRef] [Green Version]
- Dragicevic, T.; Lu, X.; Vasquez, J.C.; Guerrero, J.M. DC microgrids—Part II: A review of power architectures, applications, and standardization issue. IEEE Trans. Power Electron. 2016, 31, 3528–3549. [Google Scholar] [CrossRef] [Green Version]
- Emadi, A.; Lee, Y.J.; Rajashekara, K. Power electronics and motor drives in electric, hybrid electric, and plug-in hybrid electric vehicles. IEEE Trans. Ind. Electron. 2008, 55, 2237–2245. [Google Scholar] [CrossRef]
- Guerrero, J.M.; Loh, P.C.; Lee, T.L.; Chandorkar, M. Advanced control architectures for intelligent microgrids—Part II: Power quality, energy storage, and ac/dc microgrids. IEEE Trans. Ind. Electron. 2013, 60, 1263–1270. [Google Scholar] [CrossRef] [Green Version]
- Meng, L.; Shafiee, Q.; Trecate, G.F.; Karimi, H.; Fulwani, D.; Lu, X.; Guerrero, J.M. Review on control of DC microgrids and multiple microgrid clusters. IEEE J. Emerg. Sel. Top. Power Electron. 2017, 5, 928–948. [Google Scholar]
- Mangu, B.; Akshatha, S.; Suryanarayana, D.; Fernandes, B.G. Grid-connected PV-wind-battery-based multi-input transformer-couple bidirectional dc-dc converter for household applications. IEEE J. Emerg. Sel. Top. Power Electron. 2016, 4, 1086–1095. [Google Scholar] [CrossRef]
- Yilmaz, M.; Krein, P.T. Review of battery charger topologies, charging power levels, and infrastructure for plug-in electric and hybrid vehicles. IEEE Trans. Power Electron. 2013, 28, 2151–2169. [Google Scholar] [CrossRef]
- Ahrabi, R.R.; Ardi, H.; Elmi, M.; Ajami, A. A novel step-up multi input dc-dc converter for hybrid electric vehicles application. IEEE Trans. Power Electron. 2017, 32, 3549–3561. [Google Scholar] [CrossRef]
- Xu, D.; Zhao, C.; Fan, H. A PWM plus phase-shift control bidirectional DC-DC converter. IEEE Trans. Power Electron. 2004, 19, 666–675. [Google Scholar] [CrossRef]
- Tao, H.; Kotsopoulos, A.; Duarte, J.L.; Hendrix, M.A.M. Family of multiport bidirectional DC-DC converters. IEE Proc. Electr. Power Appl. 2006, 153, 451–458. [Google Scholar] [CrossRef] [Green Version]
- Jain, A.K.; Ayyanar, R. PWM control of dual active bridge: Comprehensive analysis and experimental verification. IEEE Trans. Power Electron. 2011, 26, 1215–1227. [Google Scholar] [CrossRef]
- Zhao, B.; Song, Q.; Liu, W.; Sun, Y. Overview of dual-active-bridge isolated bidirectional DC–DC converter for high-frequency-link power-conversion system. IEEE Trans. Power Electron. 2014, 29, 4091–4106. [Google Scholar] [CrossRef]
- Rico, S.J.; Pagano, D.J.; Lucas, K.E. Bidirectional power sharing for DC microgrid enabled by dual active bridge DC-DC converter. Energies 2021, 14, 404. [Google Scholar]
- Lara, J.; Masisi, L.; Hernandez, C.; Arjona, A.; Chandra, A. Novel five-level ANPC bidirectional converter for power quality enhancement during G2V/V2G operation of cascaded EV charger. Energies 2021, 14, 2650. [Google Scholar] [CrossRef]
- Jung, J.H.; Kim, H.S.; Ryu, M.H.; Baek, J.W. Design methodology of bidirectional CLLC resonant converter for high-frequency isolation of DC distribution systems. IEEE Trans. Power Electron. 2013, 28, 1741–1755. [Google Scholar] [CrossRef]
- Zou, S.; Lu, J.; Mallik, A.; Khaligh, A. Bi-directional CLLC converter with synchronous rectification for plug-in electric vehicles. IEEE Trans. Ind. Appl. 2018, 54, 998–1005. [Google Scholar] [CrossRef]
- Lin, B.R. Analysis of a series-parallel resonant converter for DC microgrid applications. Processes 2021, 9, 542. [Google Scholar] [CrossRef]
- Lin, B.R. Analysis and implementation of a frequency control DC-DC converter for light electric vehicle applications. Electronics 2021, 10, 1623. [Google Scholar] [CrossRef]




















| Topology | Power Switches | Split Capacitor | Resonant Components | Voltage Range, Power Rating |
|---|---|---|---|---|
| DAB converter | 8 | 0 | 1 | Vin = 600 V, Vo = 300–450 V, Po = 10 kW in [11] |
| Dual half bridge CLLC converter | 4 | 4 | 4 | Vin = 400–600 V, Vo = 300–450 V, Po = 3.3 kW in [15] |
| Dual full bridge CLLC converter | 8 | 0 | 4 | Vin = 382–408 V, Vo = 50 V, Po = 400 W in [16] |
| Proposed converter | 10 | 2 | 4 | Vin = 400 V, Vo = 200–450 V, Po = 1 kW |
Publisher’s Note: MDPI stays neutral with regard to jurisdictional claims in published maps and institutional affiliations. |
© 2021 by the author. Licensee MDPI, Basel, Switzerland. This article is an open access article distributed under the terms and conditions of the Creative Commons Attribution (CC BY) license (https://creativecommons.org/licenses/by/4.0/).
Share and Cite
Lin, B.-R. Bidirectional Resonant Converter for DC Microgrid Applications. Processes 2021, 9, 1664. https://doi.org/10.3390/pr9091664
Lin B-R. Bidirectional Resonant Converter for DC Microgrid Applications. Processes. 2021; 9(9):1664. https://doi.org/10.3390/pr9091664
Chicago/Turabian StyleLin, Bor-Ren. 2021. "Bidirectional Resonant Converter for DC Microgrid Applications" Processes 9, no. 9: 1664. https://doi.org/10.3390/pr9091664
APA StyleLin, B.-R. (2021). Bidirectional Resonant Converter for DC Microgrid Applications. Processes, 9(9), 1664. https://doi.org/10.3390/pr9091664