Chemical Composition and Low-Temperature Fluidity Properties of Jet Fuels
Abstract
:1. Introduction
2. Materials and Methods
2.1. Jet Fuel Samples
2.2. Fuel Composition Analysis
2.3. Low-Temperature Fluidity Properties
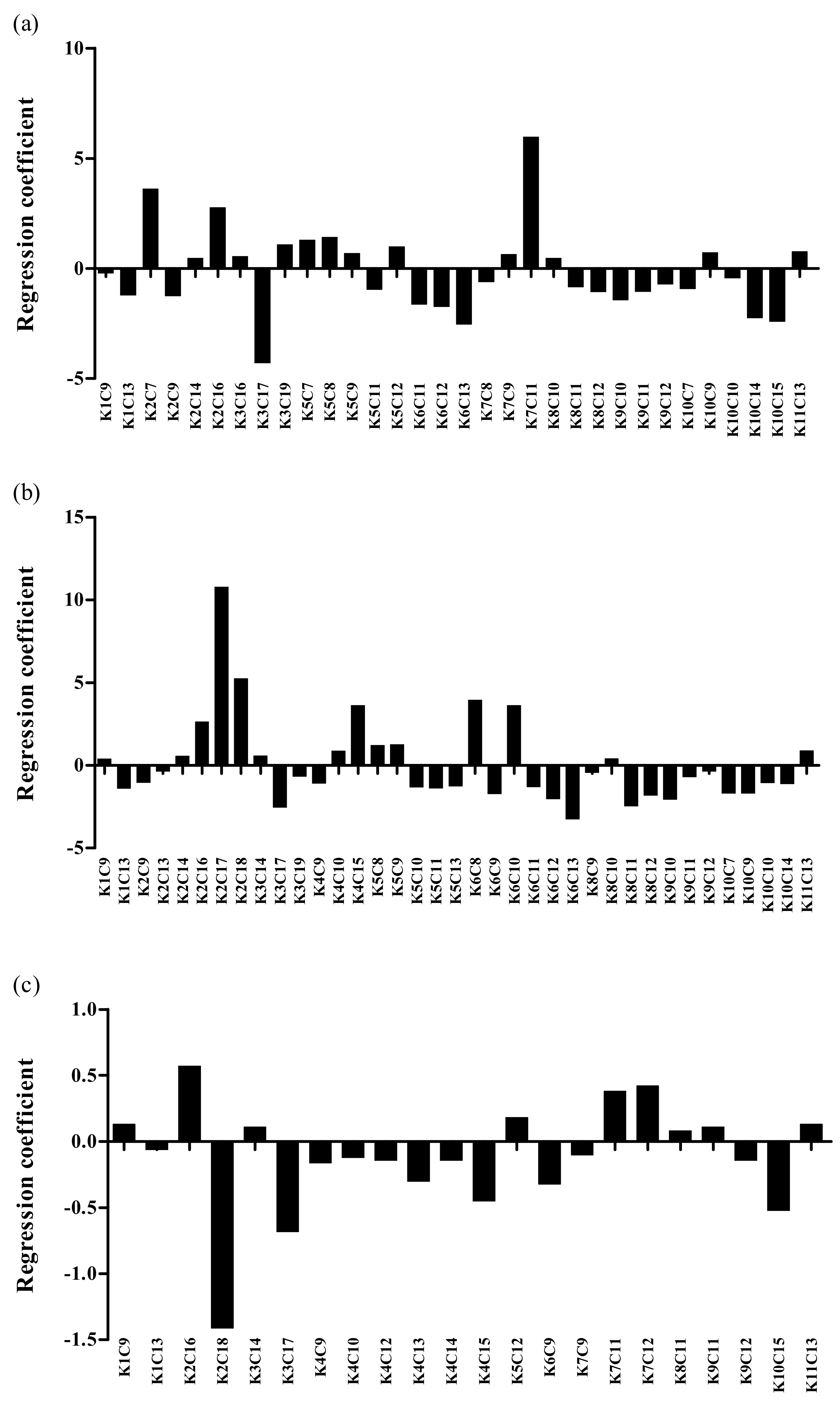
3. Results and Discussion
3.1. Fuel Composition
3.2. Composition–Property Relationships of Low-Temperature Fluidity
4. Conclusions
Author Contributions
Funding
Institutional Review Board Statement
Informed Consent Statement
Conflicts of Interest
References
- Coordinating Reseach Council. Handbook of Aviation Fuel Properties; CRC Report No. 635; CRC Press: Boca Raton, FL, USA, 2004. [Google Scholar]
- Liu, G.; Wang, L.; Qu, H.; Shen, H.; Zhang, X.; Zhang, S.; Mi, Z. Artificial neural network approaches on composition-property relationships of jet fuels based on GC-MS. Fuel 2007, 86, 2551–2559. [Google Scholar] [CrossRef]
- Gehron, M.J.; Yosi, R.A.; Gehron, R.; Yost, M.J. Hydrocarbon-Type Analysis of Jet Fuel with Gas Chromatography/Mass Spectrometry. In Novel Techniques in Fossil Fuel Mass Spectrometry; Wood, K., Ashe, T., Eds.; ASTM International: West Conshohocken, PA, USA, 1989. [Google Scholar]
- Van der Westhuizen, R.; Ajam, M.; De Coning, P.; Beens, J.; de Villiers, A.; Sandra, P. Comprehensive two-dimensional gas chromatography for the analysis of synthetic and crude-derived jet fuels. J. Chromatogr. A 2011, 1218, 4478–4486. [Google Scholar] [CrossRef] [PubMed]
- Shi, X.; Li, H.; Song, Z.; Zhang, X.; Liu, G. Quantitative composition-property relationship of aviation hydrocarbon fuel based on comprehensive two-dimensional gas chromatography with mass spectrometry and flame ionization detector. Fuel 2017, 200, 395–406. [Google Scholar] [CrossRef]
- Vozka, P.; Modereger, B.; Park, A.; Zhang, W.; Triced, R.; Kenttämaa, H.; Kilaz, G. Jet fuel density via GC×GC-FID. Fuel 2019, 235, 1052–1060. [Google Scholar] [CrossRef]
- Vozka, P.; Kilaz, G. A review of aviation turbine fuel chemical composition-property relations. Fuel 2020, 268, 117391. [Google Scholar] [CrossRef]
- Wang, X.; Jia, T.; Pan, L.; Liu, Q.; Fang, Y.; Zoul, J.; Zhang, X. Review on the relationship between liquid aerospace fuel composition and their physicochemical properties. Trans. Tianjin Univ. 2021, 27, 87–109. [Google Scholar] [CrossRef]
- Hemighaus, G.; Bacha, J.; Barnes, F.; Franklin, M.; Gibbs, L.; Hogue, N.; Lesninni, D.; Lind, J.; Maybury, J.; Morris, J. Aviation Fuels Technical Review; Chevron Corporation: San Ramom, CA, USA, 2006. [Google Scholar]
- Cookson, D.J.; Lloyd, C.P.; Smith, B.E. Investigation of the chemical basis of kerosene (jet fuel) specification properties. Energy Fuels 1987, 1, 438–447. [Google Scholar] [CrossRef]
- Cookson, D.J.; Smith, B.E. Calculation of jet and diesel fuel properties using carbon-13 NMR spectroscopy. Energy Fuels 1990, 4, 152–156. [Google Scholar] [CrossRef]
- Moses, C.A.; Roets, P.N.J.; Viljoen, C.L.; Wilson, G.R. Effect of chemistry and boiling-point distribution on the properties and characteristics of synthesized paraffinic kerosene and blends with Jet A. In Proceedings of the 11th International Conference on Stability, Handling and Use of Liquid Fuels 2009, Prague, Czech Republic, 18–22 October 2019. [Google Scholar]
- Al-Nuaimi, I.A.; Bohra, M.; Selam, M.; Choudhury, H.A.; El-Halwagi, M.M.; Elbashir, N.O. Optimization of the aromatic/paraffinic composition of synthetic jet fuels. Chem. Eng. Technol. 2016, 39, 2217–2228. [Google Scholar] [CrossRef]
- Joubert, T.S. Relationship between Degree of Branching, Carbon Number Distribution and the Low Temperature Fluidity of Jet Fuel; North-West University: Potchefstroom, South Africa, 2018. [Google Scholar]
- ASTM. ASTM D2425—17 Standard Test Method for Hydrocarbon Types in Middle Distillates by Mass Spectrometry; ASTM: West Conshohocken, PA, USA, 2017. [Google Scholar]
- ASTM. ASTM D2386—19 Standard Test Method for Freezing Point of Aviation Fuels; ASTM: West Conshohocken, PA, USA, 2019. [Google Scholar]
- ASTM. ASTM D445—19a Standard Test Method for Kinematic Viscosity of Transparent and Opaque Liquids (and Calculation of Dynamic Viscosity); ASTM: West Conshohocken, PA, USA, 2019. [Google Scholar]
- ASTM. ASTM D1655—20 Standard Specification for Aviation Turbine Fuels; ASTM: West Conshohocken, PA, USA, 2020. [Google Scholar]
- Elmalik, E.; Raza, B.; Warrag, S.; Ramadhan, H.; Alborzi, E.; Elbashir, N. Role of hydrocarbon building blocks on gas-to-liquid derived synthetic jet fuel characteristics. Ind. Eng. Chem. Res. 2014, 53, 1856–1865. [Google Scholar] [CrossRef]
- Coetzer, R.; Joubert, T.; Viljoen, C.; Nel, R.; Strydem, C. Response surface models for synthetic jet fuel properties. Appl. Petrochem. Res. 2018, 8, 39–53. [Google Scholar] [CrossRef]
- Rencher, A.C.; William, F.C. Methods of Multivariate Analysis, 3rd ed.; Wiley: Hoboken, NJ, USA, 2012. [Google Scholar] [CrossRef]
- Han, P.; Nie, G.; Xie, J.; Feng, E.X.; Pan, L.; Zhang, X.; Zou, J. Synthesis of high-density biofuel with excellent low-temperature properties from lignocellulose-derived feedstock. Fuel Process. Technol. 2017, 163, 45–50. [Google Scholar] [CrossRef]
- Nie, G.; Zhang, X.; Pan, L.; Wang, M.; Zou, J. One-pot production of branched decalins as high-density jet fuel from monocyclic alkanes and alcohols. Chem. Eng. Sci. 2018, 180, 64–69. [Google Scholar] [CrossRef]
- Vozka, P.; Šimáček, P.; Kilaz, G. Impact of HEFA feedstocks on fuel composition and properties in blends with jet A. Energy Fuels 2018, 32, 11595–11606. [Google Scholar] [CrossRef]
- Jeihouni, Y.; Pischinger, S.; Ruhkamp, L.; Koerfer, T. Relationship between Fuel Properties and Sensitivity Analysis of Non-Aromatic and Aromatic Fuels Used in a Single Cylinder Heavy Duty Diesel Engine; SAE Technical Paper 2011-01-0333; SAE: Warrendale, PA, USA, 2011. [Google Scholar]




| Class | Structural Characteristic and Number of Carbon Atoms Per Molecule | Nomenclature |
|---|---|---|
| K1 | Normal paraffinic (alkanes) with between 7 and 19 carbon atoms | K1C7 to K1C19 |
| K2 | Monobranched isoparaffinic (isoalkanes) with between 7 and 19 carbon atoms | K2C7 to K2C19 |
| K3 | Highly branched isoparaffinic (isoalkanes) with between 7 and 19 carbons | K3C7 to K3C19 |
| K4 | Monobranched alkyl-mono-naphthenic with between 7 and 19 carbons | K4C7 to K4C19 |
| K5 | Highly branched alkyl-mono-naphthenic between 7 and 19 carbons | K5C7 to K5C19 |
| K6 | Di-naphthenics, alkyl-di-naphthenics, tri-naphthenics, and alkyl-tri-naphthenics with between 7 and 19 carbons | K6C7 to K6C19 |
| K7 | Monobranched alkylbenzenes with between 7 and 19 carbons | K7C7 to K7C19 |
| K8 | Highly branched alkylbenzenes with between 7 and 19 carbons | K8C7 to K8C19 |
| K9 | Indanes, alkyl-indanes, indenes, alkyl-indenes, naphthalenes, alkyl-naphthalenes and polycyclic aromatics, and tetralin and alkyl-tetralin with between 7 and 19 carbons | K9C7 to K9C19 |
| K10 | Normal, monobranched, and highly branched olefins (alkenes) with between 7 and 19 carbons | K10C7 to K10C19 |
| K11 | Normal, monobranched, highly branched and 13-carbon cycloalkenes | K11C13 |
| Statistic Data | Hydrocarbon Family (wt%) | ||||
|---|---|---|---|---|---|
| Paraffinic | Naphthenic | Aromatic | Naphthalene | Tetralin and Indane Compounds | |
| Mean | 67.39 | 15.33 | 12.03 | 3.96 | 1.29 |
| Maximum value | 75.08 | 21.60 | 17.74 | 6.17 | 3.10 |
| Minimum value | 57.67 | 8.56 | 7.13 | 1.90 | 0.24 |
| Compound Name | Mean (wt%) | Maximum Value (wt%) | |
|---|---|---|---|
| P1 | Heptane | 0.31 | 0.52 |
| P2 | 3-Methyl-heptane | 0.14 | 0.79 |
| P3 | Octane | 0.73 | 1.58 |
| P4 | 2,6-Dimethyl-heptane | 0.33 | 0.5 |
| P5 | 2,3-Dimethyl-heptane | 0.29 | 1.31 |
| P6 | 2-Methyl-octane | 0.58 | 1.45 |
| P7 | 3-Methyl-octane | 0.38 | 1.34 |
| P8 | Nonane | 2.53 | 5.49 |
| P9 | 3,6-Dimethyl-octane | 0.49 | 1.83 |
| P10 | 2-Methyl-nonane | 0.77 | 1.58 |
| P11 | n-Decane | 4.07 | 7.45 |
| P12 | 2-Methyl-decane | 1.46 | 2.01 |
| P13 | 3-Methyl-decane | 1.13 | 2.18 |
| P14 | n-Undecane | 6.03 | 8.70 |
| P15 | 2-Methyl-undecane | 1.23 | 1.64 |
| P16 | 3-Methyl-undecane | 1.11 | 2.07 |
| P17 | n-Dodecane | 5.58 | 7.98 |
| P18 | n-Tridecane | 3.99 | 5.67 |
| P19 | n-Tetradecane | 2.72 | 4.94 |
| P20 | n-Pentadecane | 1.29 | 3.61 |
| Compound Name | Mean (wt%) | Maximum Value (wt%) | |
|---|---|---|---|
| CP1 | Methyl-cyclohexane | 0.54 | 0.85 |
| CP2 | Ethyl-cyclohexane | 0.39 | 0.94 |
| CP3 | Propyl-cyclohexane | 0.62 | 1.23 |
| CP4 | Butyl-cyclohexane | 0.62 | 0.96 |
| CP5 | Pentyl-cyclohexane | 0.76 | 1.39 |
| CP6 | Hexyl-cyclohexane | 0.72 | 1.43 |
| CP7 | Octyl-cyclohexane | 0.22 | 0.51 |
| CP8 | 1,1,3-Trimethyl-cyclohexane | 0.61 | 1.73 |
| CP9 | 1,3,5-Trimethyl-cyclohexane | 0.21 | 1.02 |
| CP10 | 1-Ethyl-4-methyl-cyclohexane | 0.43 | 1.15 |
| Compound Name | Mean (wt%) | Maximum Value (wt%) | |
|---|---|---|---|
| A1 | 1,2,4-Trimethyl-benzene | 0.77 | 1.83 |
| A2 | 1,2,3-Trimethyl-benzene | 0.48 | 1.08 |
| A3 | 1-Ethyl-2-methyl-benzene | 0.23 | 0.58 |
| A4 | 1-Methyl-3-propyl-benzene | 0.33 | 0.63 |
| A5 | Toluene | 0.37 | 0.65 |
| A6 | o-Xylene | 0.49 | 1.73 |
| A7 | p-Xylene | 0.52 | 1.36 |
| N1 | trans-Decahydronaphthalene | 0.27 | 0.44 |
| N2 | Decahydro-2-methyl-naphthalene | 0.32 | 0.53 |
| N3 | 2-Methyl-naphthalene | 0.51 | 1.29 |
| N4 | 1-Methyl-naphthalene | 0.22 | 0.57 |
| Input Variable | Regression | F Statistic | p-Value | |
|---|---|---|---|---|
| Freezing point, FP (°C) | 5.064 | 0.001056 | 68% | |
| Crystallization onset temperature, Tco (°C) | 7.45 | 0.000213 | 60% | |
| Viscosity at −20 °C, KV (mm2/s) | 8.403 | 5.69 | 67% |
| Input Variable | Regression | F Statistic | p-Value | |
|---|---|---|---|---|
| Freezing point, FP (°C) | 52.69 | 2.2 | 98% | |
| Crystallization onset temperature, Tco (°C) | 42.67 | 2.2 | 98% | |
| Kinematic viscosity at −20 °C, KV (mm2/s) | 22.09 | 2.2 | 91% |
Publisher’s Note: MDPI stays neutral with regard to jurisdictional claims in published maps and institutional affiliations. |
© 2021 by the authors. Licensee MDPI, Basel, Switzerland. This article is an open access article distributed under the terms and conditions of the Creative Commons Attribution (CC BY) license (https://creativecommons.org/licenses/by/4.0/).
Share and Cite
Benavides, A.; Benjumea, P.; Cortés, F.B.; Ruiz, M.A. Chemical Composition and Low-Temperature Fluidity Properties of Jet Fuels. Processes 2021, 9, 1184. https://doi.org/10.3390/pr9071184
Benavides A, Benjumea P, Cortés FB, Ruiz MA. Chemical Composition and Low-Temperature Fluidity Properties of Jet Fuels. Processes. 2021; 9(7):1184. https://doi.org/10.3390/pr9071184
Chicago/Turabian StyleBenavides, Alirio, Pedro Benjumea, Farid B. Cortés, and Marco A. Ruiz. 2021. "Chemical Composition and Low-Temperature Fluidity Properties of Jet Fuels" Processes 9, no. 7: 1184. https://doi.org/10.3390/pr9071184
APA StyleBenavides, A., Benjumea, P., Cortés, F. B., & Ruiz, M. A. (2021). Chemical Composition and Low-Temperature Fluidity Properties of Jet Fuels. Processes, 9(7), 1184. https://doi.org/10.3390/pr9071184

