Study on Electrostatic Preparation High-Ash Coal from China Using Roll-Type Electrostatic Separator and the Combustion Characteristics of the Cleaned Coal
Abstract
:1. Introduction
2. Materials and Methods
2.1. Experimental Device
2.2. Experimental Materials
2.3. Experiment to Assess the Influence of Electrode Characteristics
3. Results and Discussion
3.1. Effect of Electrode Characteristics on Coal Separation
3.1.1. Influence of Voltage on Coal Beneficiation Efficiency
3.1.2. Influence of the Electrode Distance on Coal Beneficiation Efficiency
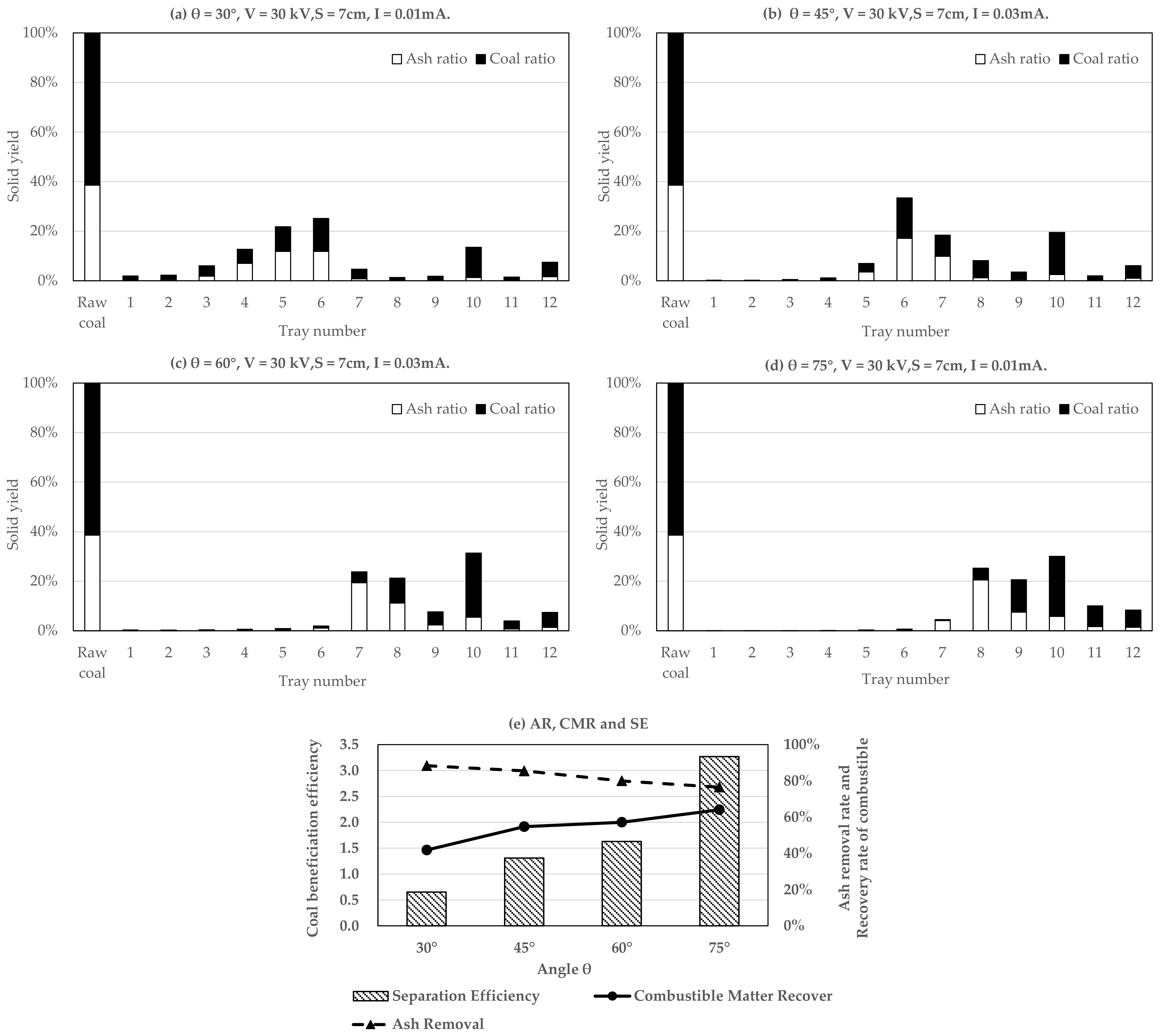
3.1.3. Influence of the Electrode Angle on Coal Beneficiation Efficiency
- The lower the voltage, the smaller the amount of charge on particles, and the particles cannot adhere well to the surface of the drum, thus reducing the coal beneficiation effect. As the highest voltage V of the electrostatic separator in this experiment is 30 kV, it is not possible to discuss whether a higher voltage V will have a better effect on the beneficiation. In fact, the voltage V is too high, which will produce breakdown discharge and affect the separation effect.
- The distance S between the electrode and the drum also affects the coal beneficiation effect greatly. Through an analysis of the three sets of data obtained with different distances, under the conditions of a voltage V of 30 kV and an angle θ of 45°, as the results of the distance S of 7 cm between the electrodes and the drum, the clean coal yield and coal beneficiation efficiency are highest. If the electrode distance S is too small, sometimes a strong electric arc phenomenon will occur, and result in the unstable charging of the particles and therefore affect the separation effect.
- Three angles θ of 30, 45, and 60° were designed for this test. It was found that the larger the angle θ, the better was the coal beneficiation effect; hence, the maximum angle θ of the electrode designed was increased to 75°. The test results confirm that the optimum condition with an angle θ of 75° results in the best coal beneficiation effect.
3.2. Analysis and Comparison of Raw Coal and Clean Coal
3.2.1. Composition Analysis of Clean Coal
3.2.2. Analysis of the Combustion Characteristics
3.2.3. FT-IR Analysis
3.2.4. Analysis of the Combustion Exhaust
4. Conclusions
Author Contributions
Funding
Acknowledgments
Conflicts of Interest
References
- Xiao, K.; Qin, A.; Wang, W.; Lu, S.; Wang, Q. Study on the Characteristics of Size-Segregated Particulate Water-Soluble Inorganic Ions and Potentially Toxic Metals during Wintertime in a High Population Residential Area in Beijing, China. Processes 2021, 9, 552. [Google Scholar] [CrossRef]
- Höök, M.; Zittel, W.; Schindler, J.; Aleklett, K. Global coal production outlooks based on a logistic model. Fuel 2010, 89, 3546–3558. [Google Scholar] [CrossRef] [Green Version]
- Dwari, R.K.; Rao, K.H. Dry beneficiation of coal—A review. Miner. Process. Extr. Metall. Rev. 2007, 28, 177–234. [Google Scholar] [CrossRef]
- Chen, Q.; Yang, Y. Development of dry beneficiation of coal in China. Coal Prep. 2003, 23, 3–12. [Google Scholar] [CrossRef]
- Iuga, A.; Dǎscǎlescu, L.; Morar, R.; Csorvassy, I.; Neamiu, V. Corona-electrostatic separators for recovery of waste non-ferrous metals. J. Electrost. 1989, 23, 235–243. [Google Scholar] [CrossRef]
- Iuga, A.; Neamtu, V.; Suarasan, I.; Morar, R.; Dascalescu, L. Optimal high-voltage energization of corona-electrostatic separators. IEEE Trans. Ind. Appl. 1998, 34, 286–293. [Google Scholar] [CrossRef]
- Venter, J.A.; Vermaak, M.K.G.; Bruwer, J.G. Influence of surface effects on the electrostatic separation of zircon and rutile. J. South. Afr. Inst. Min. Metall. 2008, 108, 55–60. [Google Scholar]
- Morar, R.; Iuga, A.; Cuglesan, I.; Muntean, O.; Dascalescu, L. Iron ore beneficiation using roll-type high-intensity electric field separators. IEEE Trans. Ind. Appl. 1999, 35, 218–224. [Google Scholar] [CrossRef]
- Tripathy, S.K.; Ramamurthy, Y.; Kumar, C.R. Modeling of high-tension roll separator for separation of titanium bearing minerals. Powder Technol. 2010, 201, 181–186. [Google Scholar] [CrossRef]
- Veit, H.M.; Diehl, T.R.; Salami, A.P.; Rodrigues, J.D.S.; Bernardes, A.M.; Tenório, J.A.S. Utilization of magnetic and electrostatic separation in the recycling of printed circuit boards scrap. Waste Manag. 2005, 25, 67–74. [Google Scholar] [CrossRef] [PubMed]
- Li, J.; Xu, Z.; Zhou, Y. Application of corona discharge and electrostatic force to separate metals and nonmetals from crushed particles of waste printed circuit boards. J. Electrost. 2007, 65, 233–238. [Google Scholar] [CrossRef]
- Li, J.; Lu, H.; Xu, Z.; Zhou, Y. A model for computing the trajectories of the conducting particles from waste printed circuit boards in corona electrostatic separators. J. Hazard. Mater. 2008, 151, 52–57. [Google Scholar] [CrossRef] [PubMed]
- Iuga, A.; Samuila, A.; Neamtu, V.; Morar, R.; Beleca, R.; Das, S.; Dascalescu, L. Removal of metallic particles from acrylonitrile butadiene styrene wastes using electrostatic separation methods. IEEE Trans. Ind. Appl. 2010, 47, 322–330. [Google Scholar] [CrossRef]
- Tilmatine, A.; Medles, K.; Younes, M.; Bendaoud, A.; Dascalescu, L. Roll-type versus free-fall electrostatic separation of tribocharged plastic particles. IEEE Trans. Ind. Appl. 2010, 46, 1564–1569. [Google Scholar] [CrossRef]
- Tilmatine, A.; Medles, K.; Bendimerad, S.E.; Boukholda, F.; Dascalescu, L. Electrostatic separators of particles: Application to plastic/metal, metal/metal and plastic/plastic mixtures. Waste Manag. 2009, 29, 228–232. [Google Scholar] [CrossRef]
- Butunoi, T.; Buda, G.; Dragos, C.; Samuila, A.; Neamtu, V.; Morar, R.; Dascalescu, L.; Iuga, A. Wheat seeds separation in high-intensity electric field. In Proceedings of the 2011 7th International Symposium on Advanced Topics in Electrical Engineering (Atee), Bucharest, Romania, 12–14 May 2011; pp. 1–6. [Google Scholar]
- Higashiyama, Y.; Asano, K. Recent progress in electrostatic separation technology. Part. Sci. Technol. 1998, 16, 77–90. [Google Scholar] [CrossRef]
- Zhang, X. Study on Desulfurization and Ash Reduction of Fine Coal. Ph.D. Thesis, China University of Mining and Technology, Xuzhou, China, 1994. [Google Scholar]
- Chu, J. Effect of particle size on mineral dissociation and electrostatic separation of coal. Coal Prep. Technol. 2011, 6, 1–4. [Google Scholar] [CrossRef]
- Chu, J. Study on the Relationship between Coal Chemical Degree and High Voltage Separation. Coal Eng. 2011, 7, 100–101. [Google Scholar] [CrossRef]
- Chu, J. Study on the Relationship between Coal and Rock Composition and High Voltage Separation. Goal Prep. Technol. 2003, 5, 14–17. [Google Scholar] [CrossRef]
- Abel, W.T.; Zulkoski, M.; Gauntlett, G.J. Dry separation of pyrite from coal. Ind. Eng. Chem. Prod. Res. Dev. 1972, 11, 342–347. [Google Scholar] [CrossRef]
- Butcher, D.A.; Rowson, N.A. Electrostatic separation of pyrite from coal. Magn. Electr. Sep. 1995, 6, 19–30. [Google Scholar] [CrossRef]
- Knoll, F.S.; Taylor, J.B. Advances in electrostatic separation. Min. Metall. Explor. 1985, 2, 106–114. [Google Scholar] [CrossRef]
- Chen, X.Y.; Zhang, Y.F.; Zhou, Q. Analysis of Lignite Character in Inner Mongolia China. In IOP Conference Series: Earth and Environmental Science, Proceedings of the 2019 the 3rd International Conference on Sustainable Energy Engineering, Shanghai, China, 24–26 May 2019; IOP Publishing: Philadelphia, PA, USA, 2019; Volume 342, p. 012020. [Google Scholar] [CrossRef]
- Sarkar, J.K.; Wang, Q. Different pyrolysis process conditions of south Asian waste coconut Shell and characterization of gas, bio-char, and bio-oil. Energies 2020, 13, 1970. [Google Scholar] [CrossRef]
- Sarkar, J.K.; Wang, Q. Characterization of pyrolysis products and kinetic analysis of waste jute stick biomass. Processes 2020, 8, 837. [Google Scholar] [CrossRef]
- Ken, B.S.; Nandi, B.K. Desulfurization of high sulfur Indian coal by oil agglomeration using Linseed oil. Powder Technol. 2019, 342, 690–697. [Google Scholar] [CrossRef]







| Particle Size | Ash Content | Water Content | Volatile Matters | Fixed Carbon | S | C | H | N | O |
|---|---|---|---|---|---|---|---|---|---|
| 0.5–1 mm | 38.60% | 2.90% | 32.03% | 26.47% | 0.41% | 13.59% | 1.08% | 0.17% | 46.16% |
| No. | Grade of Coal | Code | Ash Content (Ad) Range/% |
|---|---|---|---|
| 1 | Ultra-low-ash | ULA | Ad ≤ 10 |
| 2 | Low-ash | LA | 10 < Ad ≤ 20 |
| 3 | Medium ash | MA | 20 < Ad ≤ 30 |
| 4 | High-ash | HA | 30 < Ad ≤ 40 |
| 5 | Ultra-high-ash | UHA | 40 < Ad ≤ 50 |
| Ignition Temperature (°C) | Maximum Burning Rate (mg/min) | Peak Combustion Temperature (°C) | Maximum Weight Loss Percentage (%) | Burnout Temperature (°C) | |
|---|---|---|---|---|---|
| Raw coal | 309.38 | 0.84 | 366.85 | 0.15 | 577.94 |
| Clean coal | 301.01 | 1.10 | 371.94 | 0.20 | 612.11 |
Publisher’s Note: MDPI stays neutral with regard to jurisdictional claims in published maps and institutional affiliations. |
© 2021 by the authors. Licensee MDPI, Basel, Switzerland. This article is an open access article distributed under the terms and conditions of the Creative Commons Attribution (CC BY) license (https://creativecommons.org/licenses/by/4.0/).
Share and Cite
Liu, C.; Wang, Q. Study on Electrostatic Preparation High-Ash Coal from China Using Roll-Type Electrostatic Separator and the Combustion Characteristics of the Cleaned Coal. Processes 2021, 9, 1139. https://doi.org/10.3390/pr9071139
Liu C, Wang Q. Study on Electrostatic Preparation High-Ash Coal from China Using Roll-Type Electrostatic Separator and the Combustion Characteristics of the Cleaned Coal. Processes. 2021; 9(7):1139. https://doi.org/10.3390/pr9071139
Chicago/Turabian StyleLiu, Chengyuan, and Qingyue Wang. 2021. "Study on Electrostatic Preparation High-Ash Coal from China Using Roll-Type Electrostatic Separator and the Combustion Characteristics of the Cleaned Coal" Processes 9, no. 7: 1139. https://doi.org/10.3390/pr9071139
APA StyleLiu, C., & Wang, Q. (2021). Study on Electrostatic Preparation High-Ash Coal from China Using Roll-Type Electrostatic Separator and the Combustion Characteristics of the Cleaned Coal. Processes, 9(7), 1139. https://doi.org/10.3390/pr9071139

