Next Article in Journal
Heat Transfer Coefficient Estimation and Performance Evaluation of Shell and Tube Heat Exchanger Using Flue Gas
Previous Article in Journal
Calcium Carbonate as Functional Filler in Polyamide 12-Manipulation of the Thermal and Mechanical Properties
 
 
Font Type:
Arial Georgia Verdana
Font Size:
Aa Aa Aa
Line Spacing:
Column Width:
Background:
Article

Study on Pressure Change Rate of the Automatic Pressure Regulating Valve in the Electronic-Controlled Pneumatic Braking System of Commercial Vehicle

School of Mechanical and Electrical Engineering, Wuhan University of Technology, Luoshi Road 122, Wuhan 430070, China
*
Author to whom correspondence should be addressed.
Processes 2021, 9(6), 938; https://doi.org/10.3390/pr9060938
Submission received: 12 May 2021 / Revised: 24 May 2021 / Accepted: 25 May 2021 / Published: 26 May 2021

Abstract

:
In contrast to the traditional pneumatic braking system, the electronic-controlled pneumatic braking system of commercial vehicles is a new system and can remedy the defects of the conventional braking system, such as long response time and low control accuracy. Additionally, it can adapt to the needs and development of autonomous driving. As the key pressure regulating component in electronic-controlled pneumatic braking system of commercial vehicles, automatic pressure regulating valves can quickly and accurately control the braking pressure in real time through an electronic control method. By aiming at improving driving comfort on the premise of ensuring braking security, this paper took the automatic pressure regulating valve as the research object and studied the pressure change rate during the braking process. First, the characteristics of the automatic pressure regulating valve and the concept of the pressure change rate were elaborated. Then, with the volume change of automatic pressure regulating valve in consideration, the mathematical model based on gas dynamics and the association model between pressure change rate and vehicle dynamic model was established in MATLAB/Simulink and analyzed. Next, through the experimental test of a sample product, the mathematical models have been verified. Finally, the key structure parameters affecting the pressure change rate of the automatic pressure regulating valve and the influence law have been identified; therefore, appropriate design advice and theoretical support have been provided to improve driving comfort.

1. Introduction

Compared with the traditional pneumatic braking system of commercial vehicles, the electronic control pneumatic braking system gains improvement from electronic-control method; hence, it can rapidly and accurately regulate the pressure in real time. As the key pressure regulating component of the electronic-controlled pneumatic braking system of commercial vehicles, the automatic pressure regulating valve ensures security and improves driving comfort with reliable pressure regulating characteristics.
WABCO and KNORR are among the earliest companies to research electronic-controlled pressure regulating valves and have developed the proportional relay valve and axle modulator for pneumatic EBS (Electronic braking system). Researchers have performed extensive research on pneumatic braking systems and the characteristics of electronic-controlled pressure regulating valves. Yi Lu et al. established the full-parameter models of the key components in a bus pneumatic braking system and analyzed the main factor affecting the dynamic response characteristics of the system [1]. Zhengtie Han et al. studied the hysteresis characteristics of the relay valve in the electronic-controlled pneumatic braking system of commercial vehicles and analyzed the influence of key parameters on hysteresis characteristics [2,3,4]. M. You et al. built the mathematical model of a WABCO proportional relay valve, studied the influence of key parameters on dynamic characteristics and then designed the controller [5].
Ride comfort is used to describe the comfort level of the driver in the vibration environment of the vehicle. For the study of vehicle longitudinal ride comfort, many scholars take jerk, namely the derivative of acceleration, as the evaluation index of driving comfort. N Mutoh et al. proposed the "discomfort index" to describe the driving comfort based on braking deceleration speed and jerk [6].
In the braking process of commercial vehicles, the fluctuation of supply pressure and the delay in transmission system result in pressure deviation and time deviation between actual and expected pressure response; therefore, the pressure change rate is proposed to evaluate the deviations. In order to realize real-time pressure regulation rapidly and accurately, the pressure change rate needs to be taken into consideration. There have been few research on the pressure change rate and the driving comfort, which mainly focus on the hydraulic braking system of passenger vehicles. Jian Hu et al. revealed that sonic conductance and supply pressure have great influence on the braking pressure change rate of commercial vehicles [7]. Zhiyuan Li et al. conducted a theoretical analysis on the dynamic pressure regulation characteristics of ABS (Anti-block system) wheel cylinder pressure and built a pressure change rate model [8]. Xiuyuan Xing et al., based on a new type of electro-hydraulic brake system of electric vehicles, built a model of hydraulic brake system and corresponding control strategy with the co-simulation platform and the impact factors of brake pressure change rate were analyzed theoretically [9]. Xing Wang et al. characterized the pressure change rate in a wheel cylinder using the change of steady pressure and studied the key factor that affects the pressure change rate [10,11]. Xingli Li established an association model between the braking pressure change rate and the jerk of commercial vehicles based on vehicle dynamic model, tire model and brake model and analyzed the relation between pressure change rate and driving comfort; he then defined a range of pressure change rate to ensure driving comfort [12]. Ning Pan et al. proposed the braking intention classification method that considered comfort and the corresponding braking force control method of each class and analyzed the influence of braking intention classification and identification method on the number of actions of hydraulic control valve and braking distance to improve brake comfort and security [13]. K.S Sunil et al. analyzed the jerk of the vehicle to examine its effect on security and comfort to the passengers [14]. F Feng et al. investigated the characteristics of vehicle longitudinal jerk and vehicle longitudinal acceleration by using vehicle sensor data from the naturalistic driving study [15].
In these studies, the research on pressure change rate mainly focused on hydraulic braking systems. Furthermore, the research on pneumatic pressure control valves mostly concentrated on the pressure response and time response. However, the pressure response and time response should be considered comprehensively for autonomous driving. There are few studies conducted with the aim of researching the pressure change rate of pneumatic braking valve in the design and test process. Among the research works of the pneumatic regulating valves, most studies did not consider its implementation at each level of autonomous driving.
This paper takes the key pressure regulating component in electronic-controlled pneumatic braking system of commercial vehicles, which is the automatic pressure regulating valve, as the research object. First, the operation principle of the automatic pressure regulating valve and the concept of the pressure change rate are elaborated. Then, with the volume change of automatic pressure regulating valve in consideration, based on gas dynamics and the association model between pressure change rate and vehicle dynamic model, the mathematical models of the automatic pressure regulating valve and the response characteristics of outlet pressure change rate are established in MATLAB/Simulink and analyzed. Next, through the experimental test of a sample product, the mathematical models are then verified. Finally, the key structure parameters affecting the pressure change rate of the automatic pressure regulating valve and the influence pattern are identified, which includes the controlled cavity volume, the opening diameter of the check valve, the diameter of exhaust port, spring stiffness, the ratio of upper and lower surface areas of piston and the mass of the valve core; therefore, appropriate design advice and theoretical support is provided to improve driving comfort.

2. Automatic Pressure Regulating Valve in Electronic-Controlled Pneumatic Braking System of Commercial Vehicles and the Pressure Change Rate

The automatic pressure regulating valve functions as the key pressure regulating component of the electronic-controlled pneumatic braking system of commercial vehicles. The response time is the critical parameter to ensure braking security and driving comfort.
Research manuscripts reporting large datasets that are deposited in a publicly available database should specify where the data have been deposited and provide the relevant accession numbers. If the accession numbers have not yet been obtained at the time of submission, please state that they will be provided during review. They must be provided prior to publication.

2.1. Automatic Pressure Regulating Valve in Electronic-Controlled Pneumatic Braking System of Commercial Vehicles and the Response Characteristics

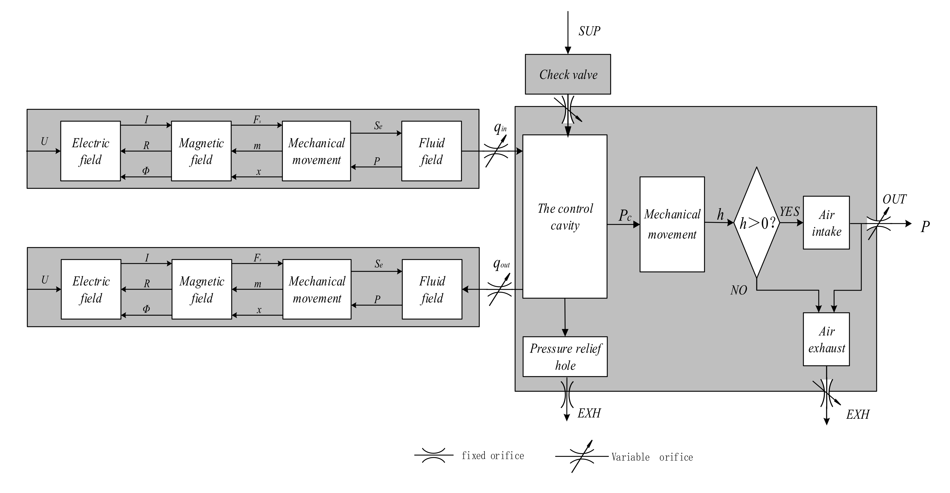
Compared with the regular pressure regulator in traditional pneumatic braking systems, the automatic pressure regulating valve benefits from electronic-controlled methods and thus can react to the instructions of the system during the dynamic driving process and improve driving comfort while ensuring security, which is in line with the development of automated driving in commercial vehicles. Figure 1 depicts the operation principle of the automatic pressure regulating valve, which consists of high-speed solenoid valves, a relay valve, a pressure sensor and a check valve.
The automatic pressure regulating valve meets the requirement of each level of automated driving classified by the SAE (Society of Automotive Engineers) from the Taxonomy and Definitions for Terms Related to Driving Automation Systems for On-Road Motor Vehicles. Based on the classification, the automatic pressure regulating valve functions in the following ways:
  • The check valve enables the driver to regulate the braking pressure in manual-controlled braking mode (in line with Level 0–2 automated driving);
  • Compared to the traditional relay valve, the high-speed solenoid valves in automatic pressure regulating valve functions in non-manual-controlled baking mode (in line with level 3–5);
  • The check valve and the high-speed solenoid valve can function separately; thus, the automatic pressure regulating valve can switch between manual controlled braking mode and electronic-controlled braking mode (in line with level 1–5).

2.2. Sample Product of Automatic Pressure Regulating Valve in Electronic-Controlled Pneumatic Braking System for Commercial Vehicles

Based on the operation principle of the automatic pressure regulating valve, the structure design, the tolerance design and the materials selection have been conducted [16,17] and the sample product is shown in Figure 2.

2.3. Pressure Change Rate of Automatic Pressure Regulating Valve

In the braking process of electronic-controlled pneumatic braking system of commercial vehicles, braking pressure deviation and time deviation may result in failure of braking; therefore, the braking pressure and the braking time must meet expectations and the pressure deviation and the time deviation must be considered together, which are evaluated with pressure change rate. Figure 3 shows the schematic diagram of pressure-time relationship. The deviation in time for actual pressure and expected pressure to reach the same value is time deviation and the deviation in actual pressure and expected pressure simultaneously is pressure deviation.
Pressure change rate is the change of braking pressure per unit time. It can be defined with the following equation:
κ = Δ p Δ t = d p d t
where κ is pressure change rate (Pa/s), Δ p is pressure deviation (Pa), Δ t is time deviation (s), p is braking pressure (Pa) and t is braking time (s).
Junzhi Zhang et al. conducted research to evaluate different levels of driving comfort with jerk in different ranges [18,19]. The jerk criteria for driving comfort in the automotive industry is shown in Table 1.
Jerk is the criterion based on vehicle dynamics and cannot be directly controlled by the automatic pressure regulating valve in the electronic-controlled pressure pneumatic system of commercial vehicles during braking process. By associating jerk and the characteristics of automatic pressure regulating valve [20], the relation between jerk and pressure change rate of automatic pressure regulating valve can be described in follow equation:
d p c d t = 5.288 × 10 5 × d a d t
where p c is the braking pressure in brake chamber (Pa) and a is the acceleration of vehicle (m/s2).
The pressure change rate criteria for driving comfort shown in Table 2 is calculated with the Equation (2) and the values in Table 1.
Considering the security during the braking process, a lower threshold is set to time deviation and pressure deviation. The lower threshold of pressure change rate is then proposed through a division calculation. Based on the jerk criteria for driving comfort, the upper threshold of pressure change rate is defined. As shown in Figure 4, the pressure change rate must remain between upper and lower threshold to guarantee driving comfort on the premise of ensuring braking security.

3. Theoretical Analysis and Simulation Model of Pressure Change Rate of Automatic Pressure Regulating Valve in Electronic-Controlled Pneumatic Braking System of Commercial Vehicles

3.1. Mathematical Model of Automatic Pressure Regulating Valve in Electronic-Controlled Pneumatic Braking System of Commercial Vehicles

3.1.1. Mathematical Model of High-Speed Solenoid Valve

The model of a high-speed solenoid valve includes an electronic subsystem, a magnetic subsystem, a mechanical subsystem and a pneumatic subsystem. The frequency response characteristics and the pressure-flow characteristics are determined by these four tightly coupled subsystems. The movement of the spool in the solenoid valve is determined by electromagnetic force, flow force and spring force. The dynamic equation of the spool of high-speed solenoid valve is as follows:
m d 2 x 1 d t 2 = F s k x 1 ( x 0 + x 1 ) s g n ( d x 1 d t ) c ( d x 1 d t ) ( P u P d ) π r 1 2
where F s is electromagnetic force (N), m is mass of spool, k x 1 is stiffness of spring (N/m), c is coefficient of viscous damping (N·m−1·s−1), P u is upstream pressure (Pa), P d is downstream pressure (Pa), r 1 is the effective radius of flow area (m), x 1 is displacement of the spool (m) and x 0 is the initial shape variable of the spring (m).

3.1.2. The Mathematical Model of Relay Valve

In the pressurization process of the automatic pressure regulating valve, the piston and the valve core stays in contact and hence can be considered as a whole. The dynamic equation can be described as follows.
( m 1 + m 2 ) d 2 x d t 2 = P c A 1 P A 2 ( k x 2 + F 0 ) s g n ( d x d t ) ( c 1 + c 2 ) d x d t s g n ( d x d t ) F f + ( m 1 + m 2 ) g ( x 0 )
In the process of decompression, the piston and the valve core detach and hence should be modeled separately. The dynamic equation of the piston is as follows:
m 1 d 2 x d t 2 = P c A 1 P A 2 s g n ( d x d t ) c 1 d x d t s g n ( d x d t ) F f + m 1 g ( x < 0 )
where x is displacement of the piston (m), m 1 is mass of the piston (kg), m 2 is mass of the valve core (kg), A 1 is the upper surface area of the piston (m2), A 2 is the lower surface area of the piston (m2), k x 2 is stiffness of the spring (N/m), F 0 is preload of spring (m), c 1 is coefficient of viscous damping of piston (N·m−1·s−1), c 2 is the coefficient of viscous damping of valve core (N·m−1·s−1) and F f is friction force (N).

3.1.3. Mathematical Model of Pressure-Flow Characteristics of Automatic Pressure Regulating Valve

The flow characteristics of pneumatic components evaluates the air flow capacity and affects the dynamic characteristics of pneumatic system directly. In the operation of automatic pressure regulating valve, the movement of the valve core changes the flow area and thus the valve opening can be considered as a variable orifice of which the air flow capacity can be evaluated with effective flow area. The relation between pressure and mass flow rate is as follows:
q m = { S e P u k R θ u 2 k + 1 k + 1 2 ( k 1 ) 0 < P d P u < b S e P u ( P d P u ) 2 k ( P d P u ) k + 1 k 2 k R θ u ( k 1 ) b < P d P u < b h η P u 1 P d P u θ 0 θ u b h P d P u
where q m is mass flow rate of air (kg/s), S e is the effective flow area (m2), k is adiabatic exponent of air, R is the gas constant of ideal gas, (287 J·kg−1·K−1), θ 0 is the temperature of standard state, (273.15 K), θ u is the temperature of upstream gas (K), b is the critical pressure ratio, P u is upstream pressure (Pa) and P d is downstream pressure (Pa).
The pressurization and the decompression process of the automatic pressure regulating valve can be considered as the inflation and the deflation process of a variable-volume chamber. These processes happen in an extremely short amount of time and therefore can be regarded as adiabatic processes. Therefore, the relation between pressure and mass flow rate is as follows:
d p d t = R V k θ s q i n R θ V k q o u t ( k 1 ) P V d V d t P V d V d t
where V is the volume of the chamber (m3), q i n is inlet mass flow rate (kg/s), q o u t is outlet mass flow rate (kg/s) and θ s is the temperature of gas that flow through the orifice (K).

3.2. Simulation Model of Automatic Pressure Regulating Valve in Electronic-Controlled Pneumatic Braking System of Commercial Vehicles

In the automatic pressure regulating valve in electronic-controlled pneumatic braking system of commercial vehicles, the pressure of the controlled cavity is regulated with high-speed solenoid valves and a check valve and thus the outlet pressure is regulated. Considering this dynamic system as a whole, the input of the system is the voltage signal for the high-speed solenoid valves, the output is the outlet pressure and the outlet pressure change rate. The coupling of subsystems in the simulation model of the automatic pressure regulating valve of electronic-controlled pneumatic braking system for commercial vehicles is depicted in Figure 5.
Based on the coupled relation between each subsystem, the simulation model of the automatic pressure regulating valve shown in Figure 6 is established.

3.3. Experimental Validation of Simulation Model of Pressure Change Rate of Automatic Pressure Regulating Valve in the Electronic-Controlled Pneumatic Braking System of Commercial Vehicle

To verify the mathematical model of automatic pressure regulating valve, an experiment is performed with the sample product.
As shown in Figure 7, the inlet port and the high-speed inlet port of automatic pressure regulating valve is connected to the air tank. The peddle valve is replaced with an on-off valve to simplify the circuit and the outlet port is connected to the brake chamber. A control signal and pressure data acquisition system based on dSPACE HIL platform is applied to the test bench:
1. With the expected pressure set to 0.5 MPa, the pressure response and the pressure change rate response during pressurization and decompression processes are depicted in Figure 8;
2. To analyze the transition between braking stages, the expected pressure is set to increase to 0.3 MPa, 0.5 MPa and 0.7 MPa. The pressure and the pressure change rate responses are depicted in Figure 9;
There are certain errors between the simulation result and the experiment result. During the pressurization process in the experiment, the pressure response overshoots and after reaching a stable pressure, it oscillates at a certain amplitude owing to the dynamic pressure regulation process of the high-speed solenoid valves. As for the tendency in the process, simulation response and experimental response consist at key values and showed a good agreement.

4. Analysis on the Influence of Relevant Parameters of Pressure Change Rate of an Automatic Pressure Regulating Valve in Electronic-Controlled Pneumatic Braking System of Commercial Vehicles

4.1. Selection of Key Structure Parameters Affecting the Pressure Change Rate of Automatic Pressure Change Rate

The structure of an automatic pressure regulating valve is characterized in multiple parameters. In order to avoid omission, all parameters are enumerated in the preliminary analysis. The range of each structural parameters is listed in Table 3.
Since the number of parameters is large, a response surface method (RSM) is applied to perform an orthogonal experimental design and therefore the relevance between structural parameters and pressure change rate can be evaluated using a small number of experiments. Based on the range listed in Table 3, the design of experiments is shown in Table 4.
The data in the design of experiments were imported into the simulation model for calculation and the corresponding pressure and pressure change rate were obtained. By using data analysis, the gray correlation between structural parameters and pressure change rate was obtained and is shown in Table 5.
In the gray correlation analysis, the parameter with higher gray correlation degree is regarded as the one that contributes to the result at a greater extent. There is a positive correlation between the contribution of the parameter and the grey correlation degree.
Since there are many parameters in this model, parameters with a gray correlation degree higher than 0.8 are considered as the key parameters of pressure change rate of the automatic pressure regulating valve. The key parameters include controlled cavity volume V, opening diameter of check valve d2, diameter of exhaust port d3, spring stiffness K, the ratio of upper and lower surface areas of piston f and the mass of valve core m.

4.2. Analysis on Influence of Key Structural Parameters on Pressure Change Rate of Automatic Pressure Regulating Valve

By changing the value of parameters in a series of simulations in which the supply pressure and the expected pressure are set to 0.7 MPa and 0.5 MPa, the influence pattern and optimization direction of each parameter can be determined.
Figure 10 illustrated the influence pattern of controlled cavity on pressure change rate. In these simulations, the spring stiffness K is 3000 N/m, the diameter of the exhaust port d3 is 0.8 mm, the ratio of the upper and lower surface areas of piston f is 0.3, the mass of the valve core m is 0.1 kg, the opening diameter of the check valve is 0 to simulate the electronic-controlled situation and the controlled cavity volume increases from 0.06 dm3 to 0.14 dm3 gradually.
By looking at Figure 10, it can be observed that the controlled cavity volume has a significant influence on the pressure change rate. A smaller controlled cavity volume contributes to shorter response time, but it significantly causes the pressure change rate to rise. Thus, it is reasonable to increase the controlled cavity volume to improve driving comfort on the premise of ensuring security during braking of moderate intensity.
Figure 11 illustrates the influence pattern of the opening diameter of the check valve on pressure change rate. In these simulations the spring stiffness K is 3000 N/m, the controlled cavity volume V is 0.1 dm3, the diameter of exhaust port d3 is 0.8 mm, the ratio of the upper and lower surface areas of piston f is 0.3, the mass of valve core m is 0.1 kg and the opening diameter of the check valve increases from 0 mm to 4 mm gradually to simulate the transition from electronic-controlled braking mode to coupled braking mode at different degrees.
From Figure 11, it can be noticed that as the opening increases, the pressure change rate rises significantly. Compared with electronic-controlled braking, coupled-braking accelerates pressure response but increased the outlet pressure change rate at a greater extent and, thus, suits emergency braking.
Figure 12 illustrates the influence pattern of the diameter of exhaust port on pressure change rate. In these simulations, the spring stiffness K is 3000 N/m, the controlled cavity volume V is 0.1 dm3, the opening diameter of the check valve is 0, the ratio of the upper and lower surface areas of piston f is 0.3, the mass of valve core m is 0.1 kg and the diameter of exhaust port d3 increases from 0.8 mm to 1.6 mm.
From Figure 12, it can be observed that as the diameter of exhaust port increases, the pressurization time increases and the pressure change rate decreases, which may induce an inadequate braking force.
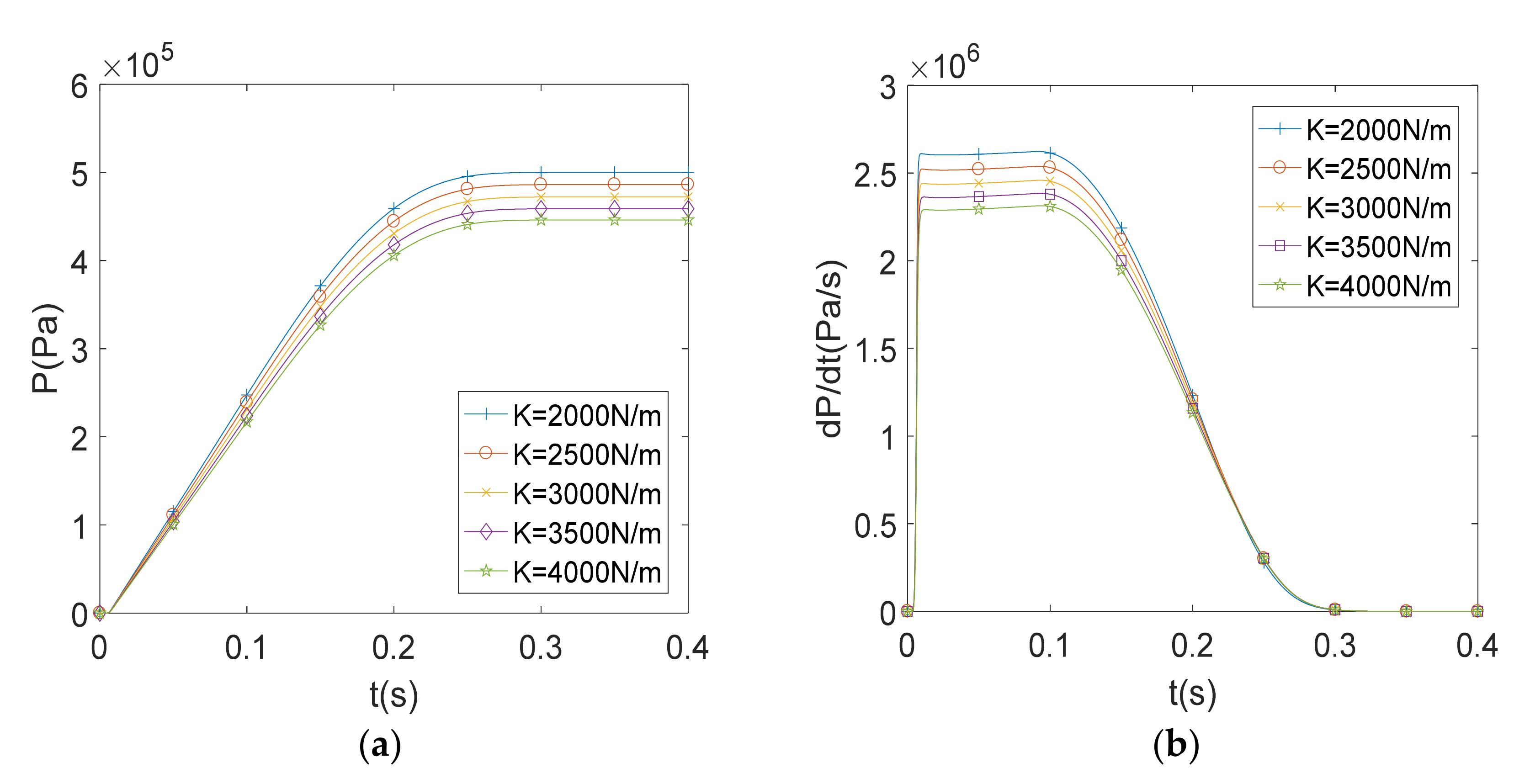
Figure 13 illustrates the influence pattern of spring stiffness on the pressure change rate. In these simulations the controlled cavity volume V is 0.1 dm3, the diameter of exhaust port d3 is 0.8 mm, the ratio of the upper and lower surface areas of piston f is 0.3, the mass of valve core m is 0.1 kg, the opening diameter of the check valve is 0 and the spring stiffness increases from 2000 to 4000 N/m.
From Figure 13, it can be observed that as the spring stiffness increases, the opening of the automatic pressure regulating valve decreases and the pressure change rate decreases. Meanwhile, the ratio between the controlled cavity pressure and the outlet pressure is affected.
Figure 14 and Figure 15 illustrates the influence pattern of the ratio of upper and lower surface areas of the piston and the mass of the valve core on pressure change rate. In these simulations, the spring stiffness K is 3000 N/m, the controlled cavity volume V is 0.1 dm3, the diameter of the exhaust port d3 is 0.8 mm, the opening diameter of check valve is 0, the ratio of the upper and lower surface areas of piston f increases from 0.1 to 0.5 in Figure 14, the mass of valve core m is 0.1 kg and the opening diameter of the check valve increases from 0.1 kg to 0.2 kg in Figure 15.
From Figure 14 and Figure 15, it can be observed that the surface area of the piston is the key parameter affecting the balance of the valve core’s movement. As the mass of the valve core and the ratio of the upper and lower surface areas increase, the stable outlet pressure decreases. Meanwhile, as these two parameters increases, the opening of automatic pressure regulating valve increases and the outlet pressure change rate increases at a certain extent.

5. Discussion

This paper takes the key pressure regulating component, the automatic pressure regulating valve in electronic-controlled pneumatic braking system of commercial vehicles, as the research object and studies the influence of key structural parameters on pressure change rate and then investigates the optimization method to improve security and driving comfort.
The key affecting parameters and their influence patterns on pressure change rate of automatic pressure regulating valve are identified. Increasing the controlled cavity volume, the spring stiffness and the diameter of the exhaust port can effectively decrease pressure change rate. Decreasing the mass of the valve core and the ratio of the upper and lower surface areas can also decrease the pressure change rate.
The optimization direction of each structural parameter of an automatic pressure regulating valve is identified to improve driving comfort. Although increasing the diameter of the exhaust port can decrease the pressure change rate, an over-sized exhaust port may cause inadequate pressure and thus is not the appropriate solution to improve driving comfort. The spring stiffness and the ratio of the upper and lower surface areas of the piston not only affects the pressure change rate but also affects the ratio of controlled cavity pressure and the outlet pressure; therefore, comprehensive consideration should be kept in mind. Since the mass of valve core is small, it has a slight influence. In the design process of an automatic pressure regulating valve, the mass of the valve core can be decreased in the first place, then the ratio of the upper and lower surface areas of the piston can be diminished to improve driving comfort during braking.

6. Conclusions

This paper elaborates the feasibility of using the automatic pressure regulating valve as the key pressure regulating component in the electronic-controlled pneumatic braking system of commercial vehicles. The mathematical model is established and verified through experiments. Based on the verified model, the key parameters affecting the pressure change rate of an automatic pressure regulating valve are identified, then the influence law is analyzed. Finally, appropriate designing advice and theoretical support have been provided to improve driving comfort.
The design advice is concluded as follows: By increasing the controlled cavity volume, the spring stiffness and the diameter of exhaust port or decreasing the mass of the valve core and the ratio of the upper and lower surface areas can decrease the pressure change rate and improve driving comfort during braking. In the design process of an automatic pressure regulating valve, this advice should be given comprehensive consideration.
We will continue to analyze the structural parameters mentioned above that have not been analyzed as of yet and the influence of multiple factors together the pressure change rate will be analyzed. Moreover, in order to promote the development of autonomous driving, it is necessary to continue to manufacture and test the new samples of automatic pressure regulating valves to provide the theoretical basis for the optimization of its manufacturing and design.

Author Contributions

Conceptualization, G.L. and H.B.; methodology, H.B., G.L. and Z.L.; software, H.B., Z.L. and Z.W.; validation, G.L. and H.B.; investigation, H.B., Z.L. and Z.W.; resources, G.L.; data curation, H.B. and Z.L.; writing—Original draft preparation, H.B.; writing—Review and editing, H.B., G.L. and Z.W.; visualization, H.B. and G.L.; supervision, G.L.; project administration, G.L.; funding acquisition, G.L. All authors have read and agreed to the published version of the manuscript.

Funding

This research was funded by the China Postdoctoral Science Foundation (2018M642937) and Project 20202h0184 which cooperates with the SMC Corporation.

Institutional Review Board Statement

Not applicable.

Informed Consent Statement

Not applicable.

Data Availability Statement

The study did not report any data.

Acknowledgments

We would like to sincerely thank all our previous and current teachers and classmates who laid the basis for this research, namely Gangyan Li, Jian Hu, Jun Xu, Zaiyu Wang and Xiaoxu Wei.

Conflicts of Interest

The authors declare no conflict of interest.

References

  1. Lu, Y.; Xu, B.W.; Shi, Y.; Guo, B. Dynamic Modeling and Experimental Verification of Bus Pneumatic Brake System. Chin. Hydraul. Pneum. 2015, 4, 29–34. [Google Scholar]
  2. Han, Z.T. Research on Hysteresis Characteristic and Compensation Control Strategy of EBS for Commercial Vehicle. Ph.D. Thesis, Jilin University, Changchun, China, 2014. [Google Scholar]
  3. LI, J.; Hu, Y.W.; Shi, Q.J.; Zhu, W.W. Research on Simulation Control of Proportional Relay Valve in Electric Bus. Mach. Des. Manuf. 2017, 9, 1–4. [Google Scholar]
  4. Han, J.C.; Zhao, W.Q.; Zong, C.F.; Zheng, H.Y. Simulation and HIL Test for Proportional Relay Valve of Commercial Vehicle Pneumatic EBS. Appl. Mech. Mater. 2013, 437, 418–422. [Google Scholar] [CrossRef]
  5. You, M.; Zhang, J.; Sun, D.; Guo, J. Characteristics analysis and control study of a pneumatic proportional valve. In Proceedings of the IEEE 2015 Advanced Information Technology, Electronic and Automation Control Conference, Chongqing, China, 19–20 December 2015. [Google Scholar]
  6. Mutoh, N.; Takita, K. A control method to suitably distribute electric braking force between front and rear wheels in electric vehicle systems with independently driven front and rear wheels. In Proceedings of the Conference Record of the IAS Annual Meeting, Seattle, WA, USA, 2–8 October 2004. [Google Scholar]
  7. Hu, J.; Yang, R.; Li, X.L.; Yang, F.; Li, G.Y. Factors Affecting the rate of Change of Electronically Controlled Air Brake Pressure of Commercial Vehicles. Chin. Hydraul. Pneum. 2020, 4, 110–116. [Google Scholar]
  8. Li, Z.Y.; Liu, Z.D.; Cui, H.F.; Wang, R.G. Experimental Study on Change Rate Model of Brake Pressure of ABS Wheel Cylinder. Trans. Chin. Soc. Agric. Mach. 2007, 9, 6–9. [Google Scholar]
  9. Xing, X.Y.; Sun, Z.C.; Wang, M. Analysis of Effect on Change Rate of Wheel Cylinder Pressure for Electro-Hydraulic Brake System of Electric Vehicle. Appl. Mech. Mater. 2012, 209, 2094–2099. [Google Scholar] [CrossRef]
  10. Wang, X. Research on Linear Control Algorithm for Braking Pressure of Regenerative Braking System on Electric Vehicle. Master’s Thesis, Jilin University, Changchun, China, 2014. [Google Scholar]
  11. Xu, Z.; Wei, M.X.; Li, Y.F. Variation characteristic of wheel cylinder pressure in electro-hydraulic braking system controlled by PWM signal. J. Traffic Transp. Eng. 2013, 13, 55–61. [Google Scholar]
  12. Li, X.L. Research and Experimental Verification on Calculation Method of Vehicle Brake Chamber Brake Pressure Change Rate. Master’s Thesis, Wuhan University of Technology, Wuhan, China, 2018. [Google Scholar]
  13. Pan, N.; Yu, L.Y.; Song, J. Braking intention classification and identification considering braking comfort for electric vehicle. J. Tsinghua Univ. 2016, 56, 1097–1103. [Google Scholar]
  14. Sharma, S.K.; Chaturvedi, C. Jerk analysis in rail vehicle dynamics. Perspect. Sci. 2016, 8, 648–650. [Google Scholar] [CrossRef]
  15. Feng, F.; Bao, S.; Sayer, J.R.; Flannagan, C.; Manser, M. Can vehicle longitudinal jerk be used to identify aggressive drivers? An examination using naturalistic driving data. Accid. Anal. Prev. 2016, 104, 125–136. [Google Scholar] [CrossRef] [PubMed]
  16. Slocum, A.H. Precision Machine Design; Eurospan: London, UK, 1998. [Google Scholar]
  17. Lu, P.W. Practical Valve Design Manual, 4th ed.; China Mechanical Press: Beijing, China, 2020. [Google Scholar]
  18. Zhang, J.Z.; Xin, L.U.; Wang, L.F.; Chen, S.L.; Li, S.B. A Study on the Drivability of Hybrid Electric Vehicle. In Proceedings of the SAE International Powertrains, Fuels & Lubricants Congress, Shanghai, China, 23–25 June 2008. [Google Scholar]
  19. Morteza, M.G.; Yaser, J.M.; Mahdi, S. Vehicle ride evaluation based on a time-domain variable speed driving pattern. Int. J. Veh. Des. 2008, 47, 81–101. [Google Scholar]
  20. Du, S.Y.; Yang, F.; Li, G.L. Analysis of commercial vehicle electronically controlled pneumatic steering brake comfort based on brake pressure change rate. J. Mech. Electr. Eng. 2020, 37, 614–620. [Google Scholar]
Figure 1. Principle drawing of an automatic pressure regulating valve. (a) inlet port; (b) high-speed inlet port; (c) inlet port (pedal valve); (d) high-speed exhaust port; (e) outlet port; (f) pressure sensor interface; (g) exhaust port; (i) pressure relief hole; (j) controlled cavity inlet port.
Figure 1. Principle drawing of an automatic pressure regulating valve. (a) inlet port; (b) high-speed inlet port; (c) inlet port (pedal valve); (d) high-speed exhaust port; (e) outlet port; (f) pressure sensor interface; (g) exhaust port; (i) pressure relief hole; (j) controlled cavity inlet port.
Processes 09 00938 g001
Figure 2. Sample product of an automatic pressure regulating valve.
Figure 2. Sample product of an automatic pressure regulating valve.
Processes 09 00938 g002
Figure 3. Schematic diagram of pressure-time relationship.
Figure 3. Schematic diagram of pressure-time relationship.
Processes 09 00938 g003
Figure 4. Pressure change rate range of an automatic pressure regulating valve.
Figure 4. Pressure change rate range of an automatic pressure regulating valve.
Processes 09 00938 g004
Figure 5. Coupling of subsystems in the simulation model for the automatic pressure regulating valve.
Figure 5. Coupling of subsystems in the simulation model for the automatic pressure regulating valve.
Processes 09 00938 g005
Figure 6. Simulation model of an automatic pressure regulating valve in electronic-controlled pneumatic braking system of commercial vehicle.
Figure 6. Simulation model of an automatic pressure regulating valve in electronic-controlled pneumatic braking system of commercial vehicle.
Processes 09 00938 g006
Figure 7. Hardware in the loop test bench for an automatic pressure regulating valve.
Figure 7. Hardware in the loop test bench for an automatic pressure regulating valve.
Processes 09 00938 g007
Figure 8. Pressurization and decompression response of an automatic pressure regulating valve: (a) pressure response; (b) pressure change rate response.
Figure 8. Pressurization and decompression response of an automatic pressure regulating valve: (a) pressure response; (b) pressure change rate response.
Processes 09 00938 g008
Figure 9. Step-pressurization response of an automatic pressure regulating valve: (a) pressure response; (b) pressure change rate response.
Figure 9. Step-pressurization response of an automatic pressure regulating valve: (a) pressure response; (b) pressure change rate response.
Processes 09 00938 g009
Figure 10. Influence of controlled cavity volume on pressure change rate: (a) pressure response; (b) pressure change rate response.
Figure 10. Influence of controlled cavity volume on pressure change rate: (a) pressure response; (b) pressure change rate response.
Processes 09 00938 g010
Figure 11. Influence of the opening diameter of the check valve on pressure change rate: (a) pressure response; (b) pressure change rate response.
Figure 11. Influence of the opening diameter of the check valve on pressure change rate: (a) pressure response; (b) pressure change rate response.
Processes 09 00938 g011
Figure 12. Influence of the diameter of exhaust port on pressure change rate: (a) pressure response; (b) pressure change rate response.
Figure 12. Influence of the diameter of exhaust port on pressure change rate: (a) pressure response; (b) pressure change rate response.
Processes 09 00938 g012
Figure 13. Influence of spring stiffness on pressure change rate: (a) pressure response; (b) pressure change rate response.
Figure 13. Influence of spring stiffness on pressure change rate: (a) pressure response; (b) pressure change rate response.
Processes 09 00938 g013
Figure 14. Influence of the ratio of upper and lower surface areas of piston on pressure change rate: (a) pressure response; (b) pressure change rate response.
Figure 14. Influence of the ratio of upper and lower surface areas of piston on pressure change rate: (a) pressure response; (b) pressure change rate response.
Processes 09 00938 g014
Figure 15. Influence of the mass of the valve core on pressure change rate: (a) pressure response; (b) pressure change rate response.
Figure 15. Influence of the mass of the valve core on pressure change rate: (a) pressure response; (b) pressure change rate response.
Processes 09 00938 g015
Table 1. Jerk criteria for driving comfort in automotive industry.
Table 1. Jerk criteria for driving comfort in automotive industry.
Jerk (m/s3)<5.05.0~10.0>10.0
Level of driving comfortGoodAcceptableBad
Table 2. Pressure change rate criteria for driving comfort.
Table 2. Pressure change rate criteria for driving comfort.
Pressure change rate (MPa/s)<2.62.6~5.2>5.2
Level of driving comfortGoodAcceptableBad
Table 3. Range of Structural Parameters.
Table 3. Range of Structural Parameters.
ParameterSymbolRangeUnit
Initial air gapx1–3mm
Diameter of flow channeld12–4mm
Opening diameter of check valved20–4mm
Diameter of exhaust portd30.8–1.6mm
Controlled cavity volumeV0.06–0.14dm3
Ratio of upper and lower surface areas of pistonf0.1–0.5/
Effective flow area of inlet portS25–65mm2
Spring preloadF060–100N
Spring stiffnessk2000–4000N/m
Mass of valve corem0.1–0.2kg
Table 4. Design of experiments based on RSM.
Table 4. Design of experiments based on RSM.
RunInitial Air GapDiameter of Flow ChannelOpening Diameter of Check ValveDiameter of Exhaust PortControlled Cavity VolumeRatio of Upper and Lower Surface Areas of PistonEffective Flow Area of Inlet PortSpring PreloadSpring StiffnessMass of Valve Core
12241.60.060.14510040000.15
22420.80.060.3256030000.15
32441.60.140.3258040000.2
42241.20.060.5658020000.2
52221.20.140.5256020000.2
62220.80.10.52510040000.1
72321.20.10.3458030000.15
82201.20.060.5256030000.15
92201.60.140.52510030000.1
102321.20.10.3458030000.15
112401.60.10.1658040000.2
122320.80.060.56510020000.1
132240.80.060.3656040000.2
142300.80.140.5658030000.2
152301.20.060.1658040000.1
162441.20.10.32510030000.15
172400.80.140.1456040000.1
Table 5. Gray correlation between structural parameters and pressure change rate.
Table 5. Gray correlation between structural parameters and pressure change rate.
ParameterSymbolGrey Correlation Degree
Initial air gapx0.7814
Diameter of flow channeld10.7663
Opening diameter of check valved20.8297
Diameter of exhaust portd30.8179
Controlled cavity volumeV0.8447
Ratio of upper and lower surface areas of pistonf0.8326
Effective flow area of inlet portS0.7982
Spring preloadF00.7367
Spring stiffnessk0.8192
Mass of valve corem0.8043
Publisher’s Note: MDPI stays neutral with regard to jurisdictional claims in published maps and institutional affiliations.

Share and Cite

MDPI and ACS Style

Bao, H.; Wang, Z.; Liu, Z.; Li, G. Study on Pressure Change Rate of the Automatic Pressure Regulating Valve in the Electronic-Controlled Pneumatic Braking System of Commercial Vehicle. Processes 2021, 9, 938. https://doi.org/10.3390/pr9060938

AMA Style

Bao H, Wang Z, Liu Z, Li G. Study on Pressure Change Rate of the Automatic Pressure Regulating Valve in the Electronic-Controlled Pneumatic Braking System of Commercial Vehicle. Processes. 2021; 9(6):938. https://doi.org/10.3390/pr9060938

Chicago/Turabian Style

Bao, Hanwei, Zaiyu Wang, Zihao Liu, and Gangyan Li. 2021. "Study on Pressure Change Rate of the Automatic Pressure Regulating Valve in the Electronic-Controlled Pneumatic Braking System of Commercial Vehicle" Processes 9, no. 6: 938. https://doi.org/10.3390/pr9060938

APA Style

Bao, H., Wang, Z., Liu, Z., & Li, G. (2021). Study on Pressure Change Rate of the Automatic Pressure Regulating Valve in the Electronic-Controlled Pneumatic Braking System of Commercial Vehicle. Processes, 9(6), 938. https://doi.org/10.3390/pr9060938

Note that from the first issue of 2016, this journal uses article numbers instead of page numbers. See further details here.

Article Metrics

Back to TopTop