Numerical Investigation of the Flow Field and Mass Transfer Characteristics in a Jet Slurry Pump
Abstract
:1. Introduction
2. Numerical Method
2.1. Jet Pump Parameters
2.2. Governing Equations and Turbulence Models
2.3. Modeling and Meshing
2.3.1. 3D Geometrical Model
2.3.2. Gridding
2.3.3. Grid Independence Test
2.4. Boundary Conditions
3. Results and Discussion
3.1. Validation
3.2. Flow Field Analysis at the Axis of the Jet Slurry Pump
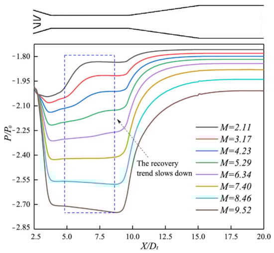
3.2.1. Pressure Distribution
3.2.2. Turbulent Kinetic Energy Distribution
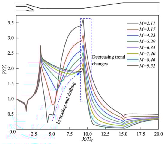
3.2.3. Velocity Distribution
3.3. Slurry Flow State
3.3.1. Slurry Pressure Changes
3.3.2. Slurry Velocity Change
3.4. Mixed Transportation of Two-Phase Flow
3.5. Overall Working Performance of the Jet Slurry Pump
3.5.1. Pressure Ratio H
3.5.2. Efficiency of Jet Slurry Pump
4. Conclusions
- (1)
- The mainstream and the secondary jet mixed strongly in the suction chamber, and gradually mixed well in the throat tube. As the flow ratio increased, the jet pressures along the axis showed a downward trend, and the turbulent kinetic energy in the mixing tube dropped sharply.
- (2)
- As the flow ratio increased, the wall pressure continued to decline. When the outlet pressure dropped below the suction pressure, the jet slurry pump was difficult to operate normally.
- (3)
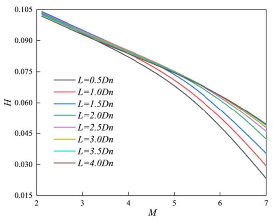
- The efficiency was greatly affected by the mixing chamber length and flow ratio and presented a parabolic shape. When L = 3.5Dn, the best comprehensive performance of the jet slurry pump was achieved, which could reach 27.6%.
- (4)
- Due to the lack of research on jet slurry pumps, a specific structure model was devised and analyzed in this paper. In future work, the influence of structural parameters and different slurry concentrations will be taken into account.
Author Contributions
Funding
Institutional Review Board Statement
Informed Consent Statement
Data Availability Statement
Conflicts of Interest
Abbreviations
| m | area ratio |
| M | flow ratio |
| H | pressure ratio |
| η | efficiency |
| St | throat area |
| Sn | nozzle area |
| Qs | suction flux |
| Qo | inlet flux |
| Pe | exit pressure |
| Ps | suction pressure |
| P0 | inlet pressure |
| mass-averaged velocity | |
| mixture density | |
| n | number of phases |
| body force | |
| viscosity of the mixture | |
| drift velocity for secondary phase k | |
| effective conductivity | |
| kt | turbulent thermal conductivity |
| sensible enthalpy for phase k | |
| k | turbulence kinetic energy |
| ε | rate of dissipation |
| Di | nozzle inlet diameter |
| α | nozzle inlet angle |
| Dn | nozzle outlet diameter |
| L | mixing chamber length |
| Dt | throat diameter |
| Lt | mixing tube length |
| β | angle of diffuser inlet |
| Ld | diffuser length |
References
- Bi, Z.Y. Research on Efficiency Optimization and Control for Dredging Slurry Pipeline Transport System. Ph.D. Thesis, Zhejiang University, Hangzhou, China, 2008. Available online: https://kns.cnki.net/KCMS/detail/detail.aspx?dbname=CDFD0911&filename=2009033175.nh (accessed on 1 April 2008).
- Boor, M.O. Production Optimization; IHC Company: Kinderdijk, The Netherlands, 2005. [Google Scholar]
- Miedema, S.A. Slurry Transport Fundamentals. In A Historical Overview & The Delft Head Loss and Limit Deposit Velocity Framework; Delft University of Technology: Delft, The Netherlands, 2016; pp. 107–118. [Google Scholar]
- Panevnik, A.V. Determination of Hydraulic Losses in the Setting of a Well Jet Pump. Chem. Pet. Eng. 2001, 37, 368–369. [Google Scholar] [CrossRef]
- Meakhail, A.T.; Zien, Y.; Elsallak, M.; AbdelHady, S. Experimental study of the effect of some geometric variables and number of nozzles on the performance of a subsonic air—Air ejector. Proc. Inst. Mech. Eng. Part A J. Power Energy 2008, 222, 809–818. [Google Scholar] [CrossRef]
- Everitt, P.; Riffat, S.B. Steam jet ejector system for vehicle air conditioning. Int. J. Ambient. Energy 1999, 20, 14–20. [Google Scholar] [CrossRef]
- Jafarian, A.; Azizi, M.; Forghani, P. Experimental and numerical investigation of transient phenomena in vacuum ejectors. Energy 2016, 102, 528–536. [Google Scholar] [CrossRef]
- Wang, J.; Xu, S.J.; Cheng, H.Y.; Ji, B.; Zhang, J.Q.; Long, X.P. Experimental investigation of cavity length pulsation characteristics of jet pumps during limited operation stage. Energy 2018, 163, 61–73. [Google Scholar] [CrossRef]
- Aphornratana, S.; Eames, I.W. A small capacity steam-ejector refrigerator: Experimental investigation of a system using ejector with movable primary nozzle. Int. J. Refrig. 1997, 20, 352–358. [Google Scholar] [CrossRef]
- Gogate, P.R. Cavitational reactors for process intensification of chemical processing applications: A critical review. Chem. Eng. Process. Process. Intensif. 2008, 47, 515–527. [Google Scholar] [CrossRef]
- Alperin, M.; Wu, J.-J. Thrust Augmenting Ejectors, Part, I. AIAA J. 1983, 21, 1428–1436. [Google Scholar] [CrossRef]
- Beithou, N.; Aybar, H.S. High-Pressure Steam-Driven Jet Pump—Part II: Parametric Analysis. J. Eng. Gas Turbines Power 2001, 123, 701–706. [Google Scholar] [CrossRef]
- Xiao, L.Z.; Long, X.P.; Li, L.; Xu, M.; Wu, N.; Wang, Q. Movement characteristics of fish in a jet fish pump. Ocean Eng. 2015, 108, 480–492. [Google Scholar] [CrossRef]
- Balamurugan, S.; Lad, M.D.; Gaikar, V.G.; Patwardhan, A.W. Hydrodynamics and mass transfer characteristics of gas–liquid ejectors. Chem. Eng. J. 2007, 131, 83–103. [Google Scholar] [CrossRef]
- Yang, X.; Long, X.; Kang, Y. Effect of diffuser structure and throat length on jet pump performance. J. Harbin Inst. Technol. 2014, 46, 111–115. [Google Scholar]
- Banasiak, K.; Palacz, M.; Hafner, A.; Buliński, Z.; Smołka, J.; Nowak, A.J.; Fic, A. A CFD-based investigation of the energy performance of two-phase R744 ejectors to recover the expansion work in refrigeration systems: An irreversibility analysis. Int. J. Refrig. 2014, 40, 328–337. [Google Scholar] [CrossRef]
- Havelka, P.; Linek, V.; Sinkule, J.; Zahradník, J.; Fialova, M. Effect of the ejector configuration on the gas suction rate and gas hold-up in ejector loop reactors. Chem. Eng. Sci. 1997, 52, 1701–1713. [Google Scholar] [CrossRef]
- Yang, X.L.; Long, X.P.; Kang, Y.; Xiao, L.Z. Application of Constant Rate of Velocity or Pressure Change Method to Improve Annular Jet Pump Performance. Int. J. Fluid Mach. Syst. 2013, 6, 137–143. [Google Scholar] [CrossRef] [Green Version]
- Saker, A.A.; Hassan, H.Z. Study of the Different Factors That Influence Jet Pump Performance. Open J. Fluid Dyn. 2013, 3, 44–49. [Google Scholar] [CrossRef] [Green Version]
- Besagni, G.; Inzoli, F. Computational fluid-dynamics modeling of supersonic ejectors: Screening of turbulence modeling approaches. Appl. Therm. Eng. 2017, 117, 122–144. [Google Scholar] [CrossRef]
- Mallela, R.; Chatterjee, D. Numerical investigation of the effect of geometry on the performance of a jet pump. Proc. Inst. Mech. Eng. Part C J. Mech. Eng. Sci. 2011, 225, 1614–1625. [Google Scholar] [CrossRef]
- Girgidov, A.D. Efficiencies of Jet Pumps. Power Technol. Eng. 2015, 48, 366–370. [Google Scholar] [CrossRef]
- Banasiak, K.; Hafner, A.; Andresen, T. Experimental and numerical investigation of the influence of the two-phase ejector geometry on the performance of the R744 heat pump. Int. J. Refrig. 2012, 35, 1617–1625. [Google Scholar] [CrossRef]
- Long, X.; Han, N.; Chen, Q. Influence of nozzle exit tip thickness on the performance and flow field of jet pump. J. Mech. Sci. Technol. 2008, 22, 1959–1965. [Google Scholar] [CrossRef]
- Yang, X.L.; Long, X.P. Numerical investigation on the jet pump performance based on different turbulence models. IOP Conf. Ser. Earth Environ. Sci. 2012, 15, 052019. [Google Scholar] [CrossRef]
- Kumar, R.S.; Kumaraswamy, S.; Mani, A. Experimental investigations on a two-phase jet pump used in desalination systems. Desalination 2006, 204, 437–447. [Google Scholar] [CrossRef]
- Yasmin, H.; Iqbal, N.; Tanveer, A. Engineering Applications of Peristaltic Fluid Flow with Hall Current, Thermal Deposition and Convective Conditions. Mathematics 2020, 8, 1710. [Google Scholar] [CrossRef]
- Yasmin, H.; Iqbal, N. Convective Mass/Heat Analysis of an Electroosmotic Peristaltic Flow of Ionic Liquid in a Symmetric Porous Microchannel with Soret and Dufour. Math. Probl. Eng. 2021, 2021, 1–14. [Google Scholar] [CrossRef]
- Iqbal, N.; Yasmin, H.; Kometa, B.K.; Attiya, A.A. Effects of Convection on Sisko Fluid with Peristalsis in an Asymmetric Channel. Math. Comput. Appl. 2020, 25, 52. [Google Scholar] [CrossRef]
- Iqbal, N.; Yasmin, H.; Bibi, A.; Attiya, A.A. Peristaltic motion of Maxwell fluid subject to convective heat and mass conditions. Ain Shams Eng. J. 2021, 12, 3121–3131. [Google Scholar] [CrossRef]
- Du, W.; Luo, L.; Wang, S.; Liu, J.; Sunden, B. Numerical investigation of flow field and heat transfer characteristics in a latticework duct with jet cooling structures. Int. J. Therm. Sci. 2020, 158, 106553. [Google Scholar] [CrossRef]
- Zhou, L.; Wang, W.; Hang, J.; Shi, W.; Yan, H.; Zhu, Y. Numerical Investigation of a High-Speed Electrical Submersible Pump with Different End Clearances. Water 2020, 12, 1116. [Google Scholar] [CrossRef] [Green Version]
- Engin, T.; Gur, M. Performance Characteristics of a Centrifugal Pump Impeller With Running Tip Clearance Pumping Solid-Liquid Mixtures. J. Fluids Eng. 2001, 123, 532–538. [Google Scholar] [CrossRef]
- Winoto, S.H.; Li, H.; Shah, D.A. Efficiency of Jet Pumps. J. Hydraul. Eng. 2000, 126, 150–156. [Google Scholar] [CrossRef]
- Long, X.P.; Zhang, J.Q.; Wang, Q.Q.; Xiao, L.Z.; Xu, M.S.; Lyu, Q.; Ji, B. Experimental investigation on the performance of jet pump cavitation reactor at different area ratios. Exp. Therm. Fluid Sci. 2016, 78, 309–321. [Google Scholar] [CrossRef]
- Long, X.P.; Wang, J.; Zhang, J.Q.; Ji, B. Experimental investigation of the cavitation characteristics of jet pump cavitation reactors with special emphasis on negative flow ratios. Exp. Therm. Fluid Sci. 2018, 96, 33–42. [Google Scholar] [CrossRef]
- El-Sawaf, I.A.; Halawa, M.A.; Younes, M.A.; Teaima, I.R. Study of the different parameters that influence on the performance of water jet pump. In Proceedings of the Fifteenth International Water Technology Conference, Alexandria, Egypt, 15 July 2011; Volume 15. Available online: http://citeseerx.ist.psu.edu/viewdoc/summary?doi=10.1.1.302.842 (accessed on 1 November 2013).
- ANSYS Fluent Theory Guide 15. Inc. ANSYS. 2013. Available online: https://www.ansys.com/products/fluids/ansys-fluent (accessed on 1 November 2013).
- Lucas, C.; Rusche, H.; Schroeder, A.; Koehler, J. Numerical investigation of a two-phase CO2 ejector. Int. J. Refrig. 2014, 43, 154–166. [Google Scholar] [CrossRef]
- Xu, M.S.; Long, X.P.; Yang, X.L. Effects of nozzle location on new type annular jet pump performance. J. Drain. Irrig. Mach. Eng. 2014, 32, 563–566. [Google Scholar]
- Giacomelli, F.; Mazzelli, F.; Banasiak, K.; Hafner, A.; Milazzo, A. Experimental and computational analysis of a R744 flashing ejector. Int. J. Refrig. 2019, 107, 326–343. [Google Scholar] [CrossRef] [Green Version]
- Sriveerakul, T.; Aphornratana, S.; Chunnanond, K. Performance prediction of steam ejector using computational fluid dynamics: Part 1. Validation of the CFD results. Int. J. Therm. Sci. 2007, 46, 812–822. [Google Scholar] [CrossRef]
- Yu, J.L.; Guo, X.H.; Hu, X.S. Experimental research of liquid-liquid &gas jet pump. Chem. Ind. Eng. 2001, 2, 103–108. Available online: https://kns.cnki.net/kcms/detail/detail.aspx?dbcode=CJFD&dbname=CJFD2001&filename=HXGY200102007&uniplatform=NZKPT&v=2AVd12xm9-ZDIuYn7z-nf680zWyky_9HVOeNxiXCj09_9Wh6sQS2GRF6Z_eoQcI3 (accessed on 1 April 2001).
- Long, X.P.; Cheng, H.G.; Yang, X.L.; Xiao, L.Z. Numerical and experimental investigations on super-large area-ratio jet pumps. J. Drain. Irrig. Mach. Eng. 2012, 30, 379–383. [Google Scholar]
- Zhao, Y.H. Numerical Simulation for Hyrodynamic Characteristics and Internal Flow Field of Jet Pump. Master’s Thesis, Northeast Petroleum University, Daqing, China, 2012. Available online: https://kns.cnki.net/KCMS/detail/detail.aspx?dbname=CMFD201301&filename=1012432055.nh (accessed on 23 March 2012).
- Wu, Y.; Zhao, H.; Zhang, C.; Wang, L.; Han, J. Optimization analysis of structure parameters of steam ejector based on CFD and orthogonal test. Energy 2018, 151, 79–93. [Google Scholar] [CrossRef]
- Xu, M.S.; Yang, X.L.; Long, X.P.; Lü, Q. Large eddy simulation of turbulent flow structure and characteristics in an annular jet pump. J. Hydrodyn. 2017, 29, 702–715. [Google Scholar] [CrossRef]
- Liu, Y. Study on Performance of the Steam Ejector Used for Low Pressure Gas well Deliquification. Master’s Thesis, China University of Petroleum, Beijing, China, 2018. Available online: https://kns.cnki.net/KCMS/detail/detail.aspx?dbname=CMFD202001&filename=1019927532.nh (accessed on 1 May 2018).















| Nozzle Inlet Di (mm) | Nozzle Inlet Angle α (°) | Nozzle Outlet Diameter Dn (mm) | Mixing Chamber Length L (mm) | Throat Diameter Dt (mm) | Mixing Tube Length Lt (mm) | Angle of Diffuser Inlet β (°) | Diffuser Length Ld (mm) | Area Ratio m |
|---|---|---|---|---|---|---|---|---|
| 16 | 13.8 | 8 | 8 | 32 | 192 | 8 | 180 | 16 |
| Elements of the Grid | Outlet Pressure Pe (Pa) | Deviation |
|---|---|---|
| 637,845 | −119,145 | 32.32% |
| 883,452 | −149,350 | 15.16% |
| 1,030,459 | −164,324 | 6.66% |
| 1,327,280 | −176,020 | 0.014% |
| 1,548,932 | −176,002 | 0.024% |
| 1,762,390 | −176,045 | -- |
Publisher’s Note: MDPI stays neutral with regard to jurisdictional claims in published maps and institutional affiliations. |
© 2021 by the authors. Licensee MDPI, Basel, Switzerland. This article is an open access article distributed under the terms and conditions of the Creative Commons Attribution (CC BY) license (https://creativecommons.org/licenses/by/4.0/).
Share and Cite
Qian, Y.; Wang, Y.; Fang, Z.; Chen, X.; Miedema, S.A. Numerical Investigation of the Flow Field and Mass Transfer Characteristics in a Jet Slurry Pump. Processes 2021, 9, 2053. https://doi.org/10.3390/pr9112053
Qian Y, Wang Y, Fang Z, Chen X, Miedema SA. Numerical Investigation of the Flow Field and Mass Transfer Characteristics in a Jet Slurry Pump. Processes. 2021; 9(11):2053. https://doi.org/10.3390/pr9112053
Chicago/Turabian StyleQian, Yi’nan, Yuanshun Wang, Zhenlong Fang, Xiuhan Chen, and Sape A. Miedema. 2021. "Numerical Investigation of the Flow Field and Mass Transfer Characteristics in a Jet Slurry Pump" Processes 9, no. 11: 2053. https://doi.org/10.3390/pr9112053
APA StyleQian, Y., Wang, Y., Fang, Z., Chen, X., & Miedema, S. A. (2021). Numerical Investigation of the Flow Field and Mass Transfer Characteristics in a Jet Slurry Pump. Processes, 9(11), 2053. https://doi.org/10.3390/pr9112053

