Plant-Based Tacca leontopetaloides Biopolymer Flocculant (TBPF) Produced High Removal of Heavy Metal Ions at Low Dosage
Abstract
1. Introduction
2. Materials and Method
2.1. Chemicals and Reagents
2.2. Preparation of TBPF
2.3. Coagulation–Flocculation Experiments
2.4. Analysis of the Metal Ion Removal
3. Results and Discussion
3.1. Effect of pH on the Removal of Zn, Pb, Ni, and Cd
3.2. Effect of Initial Concentration of TBPF on the Removal of Zn, Pb, Ni and Cd Ions
3.3. Effect of Initial Metal Ion Concentration on Metal Ion Removal
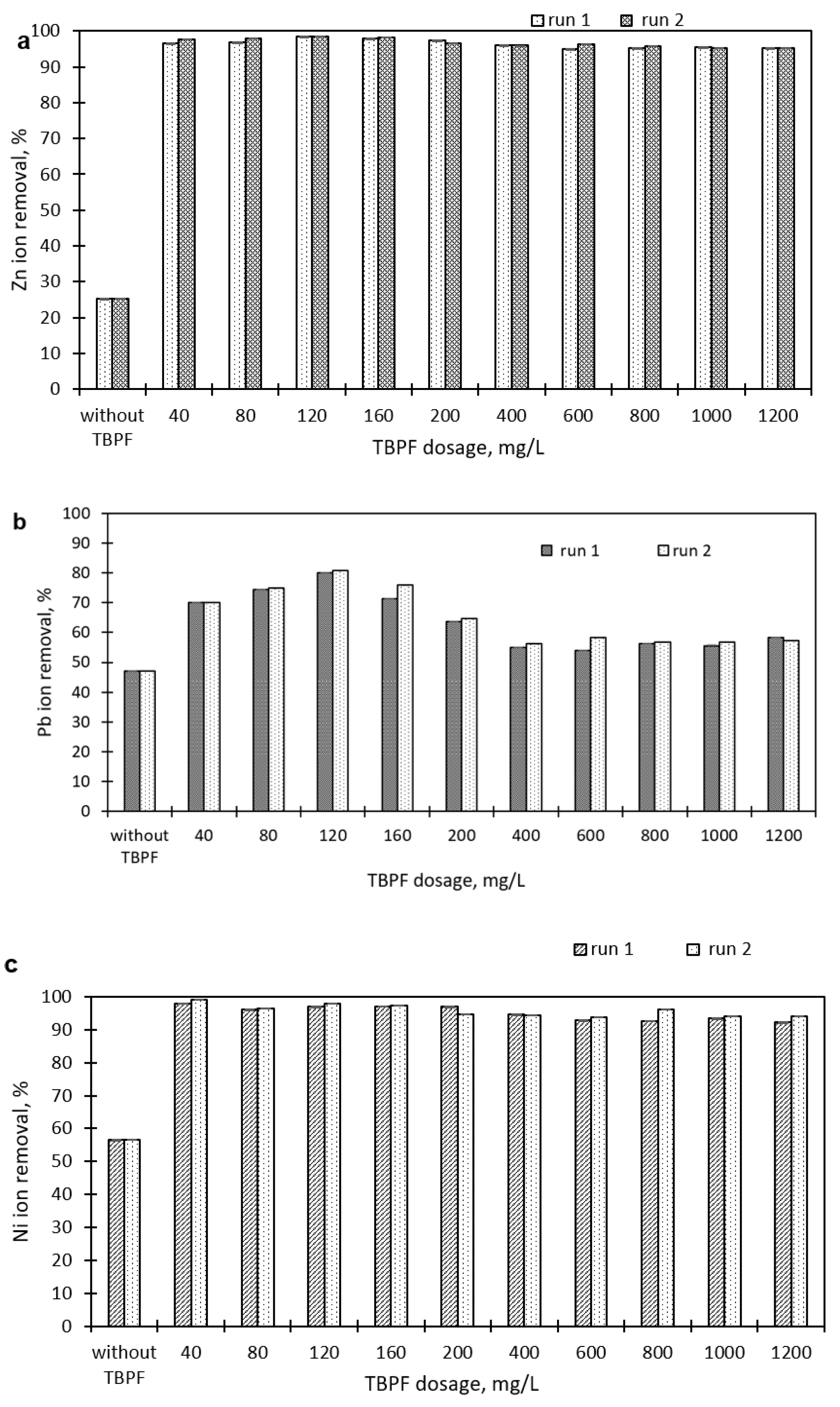
3.4. Effect of TBPF Dosage on Metal Ion Removal
3.5. Comparison of Final Treatment of Heavy Metals with the Standard Limit Set by DOE Malaysia
3.6. Comparison of TBPF Performance with Other Natural and Chemical Flocculants
4. Conclusions
Author Contributions
Funding
Data Availability Statement
Acknowledgments
Conflicts of Interest
References
- Pang, F.M.; Teng, S.P.; Teng, T.T.; Mohd Omar, A.K. Heavy metals removal by hydroxide precipitation and coagulation-flocculation methods from aqueous solutions. Water Qual. Res. J. Can. 2009, 44, 174–182. [Google Scholar] [CrossRef]
- Ismail, Z.; Salim, K.; Othman, S.Z.; Ramli, A.H.; Shirazi, S.M.; Karim, R.; Khoo, S.Y. Determining and comparing the levels of heavy metal concentrations in two selected urban river water. Meas. J. Int. Meas. Confed. 2013, 46, 4135–4144. [Google Scholar] [CrossRef]
- Rehman, K.; Fatima, F.; Waheed, I.; Akash, M.S.H. Prevalence of exposure of heavy metals and their impact on health consequences. J. Cell. Biochem. 2018, 119, 157–184. [Google Scholar] [CrossRef] [PubMed]
- Embas, D.U. EQA ACT 1974 (Sewage) Regulation 2009. 2009; pp. 3884–3926. Available online: http://www.doe.gov.my/portalv1/wp-content/uploads/2015/01/Environmental_Quality_Sewage_Regulations_2009_-_P.U.A_432-2009.pdf (accessed on 23 November 2020).
- Kolya, H.; Tripathy, T. Preparation, investigation of metal ion removal and flocculation performances of grafted hydroxyethyl starch. Int. J. Biol. Macromol. 2013, 62, 557–564. [Google Scholar] [CrossRef] [PubMed]
- Wu, L.; Zhang, X.; Chen, L.; Zhang, H.; Li, C.; Lv, Y.; Xu, Y.; Jia, X.; Shi, Y.; Guo, X. Amphoteric starch derivatives as reusable flocculant for heavy-metal removal. RSC Adv. 2018, 8, 1274–1280. [Google Scholar] [CrossRef]
- Ibarra-Rodríguez, D.; Lizardi-Mendoza, J.; López-Maldonado, E.A.; Oropeza-Guzmán, M.T. Capacity of ‘nopal’ pectin as a dual coagulant-flocculant agent for heavy metals removal. Chem. Eng. J. 2017, 323, 19–28. [Google Scholar] [CrossRef]
- López-maldonado, E.A.; Oropeza-guzman, M.T.; Jurado-baizaval, J.L. Coagulation—flocculation mechanisms in wastewater treatment plants through zeta potential measurements. J. Hazard. Mater. 2014, 279, 1–10. [Google Scholar] [CrossRef] [PubMed]
- Mohd Makhtar, N.S.; Idris, J.; Musa, M.; Andou, Y.; Ku Hamid, K.H.; Puasa, S.W. Plant-Based Tacca leontopetaloides Biopolymer Flocculant ( TBPF ) Produced High Removal of Turbidity, TSS, and Color for Leachate Treatment. Processes 2020, 8, 527. [Google Scholar] [CrossRef]
- Li, H.; Fitzgerald, M.A.; Prakash, S.; Nicholson, T.M.; Gilbert, R.G. The molecular structural features controlling stickiness in cooked rice, a major palatability determinant. Sci. Rep. 2017, 7, 1–12. [Google Scholar] [CrossRef] [PubMed]
- Alcázar-Alay, S.C.; Meireles, M.A.A. Physicochemical properties, modifications and applications of starches from different botanical sources. Food Sci. Technol. 2015, 35, 215–236. [Google Scholar] [CrossRef]
- Helrich, K. AOAC: Official Methods of Analysis (Volume 1). J. Assoc. Off. Agric. Chem. 1990, 1, 237–242. [Google Scholar]
- Abdullah, S.R.S.; Rahman, R.A.; Mohammad, A.B.; Mustafa, M.M.; Khadum, A.A.H. Removal of Mixed Heavy Metals by Hydroxide Precipitation. J. Kejuruter. 1999, 11, 85–101. [Google Scholar]
- Matouq, M.; Jildeh, N.; Qtaishat, M.; Hindiyeh, M.; Al, M.Q. The adsorption kinetics and modeling for heavy metals removal from wastewater by Moringa pods. J. Environ. Chem. Eng. 2015, 3, 775–784. [Google Scholar] [CrossRef]
- Barakat, M.A. New trends in removing heavy metals from industrial wastewater. Arab. J. Chem. 2011, 4, 361–377. [Google Scholar] [CrossRef]
- Shouci, L.; Pugh, R.J.; Forssberg, E. Chapter 7 Flocculation with polymers. In Interfacial Separation of Particles; Elsevier B.V.: Amsterdam, The Netherlands, 2005. [Google Scholar]
- Ma, J.; Fu, K.; Fu, X.; Guan, Q.; Ding, L.; Shi, J.; Zhu, G.; Zhang, X.; Zhang, S.; Jiang, L. Flocculation properties and kinetic investigation of polyacrylamide with different cationic monomer content for high turbid water purification. Sep. Purif. Technol. 2017, 182, 134–143. [Google Scholar] [CrossRef]
- Mattuschka, B.; Straube, G. Biosorption of metals by a waste biomass. J. Chem. Technol. Biotechnol. 1993, 58, 57–63. [Google Scholar] [CrossRef]
- Igwe, J.; Abia, A.A. Adsorption isotherm studies of Cd (II), Pb (II) and Zn (II) ions bioremediation from aqueous solution using unmodified and EDTA-modified maize cob. Eclética Química 2007, 32, 33–42. [Google Scholar] [CrossRef]
- Ouyang, D.; Zhuo, Y.; Hu, L.; Zeng, Q.; Hu, Y.; He, Z. Research on the adsorption behavior of heavy metal ions by porous material prepared with silicate tailings. Minerals 2019, 9, 291. [Google Scholar] [CrossRef]
- Goel, J.; Kadirvelu, K.; Rajagopal, C. Competitive sorption of Cu(II), Pb(II) and Hg(II) ions from aqueous solution using coconut shell-based activated carbon. Adsorpt. Sci. Technol. 2004, 22, 257–273. [Google Scholar] [CrossRef]
- Sun, Y.; Shah, K.J.; Sun, W.; Zheng, H. Performance evaluation of chitosan-based flocculants with good pH resistance and high heavy metals removal capacity. Sep. Purif. Technol. 2019, 215, 208–216. [Google Scholar] [CrossRef]






| Metal Ion | Treatment | DOE Discharge | ||
|---|---|---|---|---|
| Before (mg/L) | After(mg/L) | Standard A (mg/L) | Standard B (mg/L) | |
| Zn | 2.75 ± 0.00 | 0.043 ± 0.00–0.044 ± 0.00 | 1.0 | 1.0 |
| Pb | 2.05 ± 0.01 | 0.41 ± 0.02–0.43± 0.01 | 0.1 | 0.5 |
| Ni | 1.89 ± 0.01 | 0.037 ± 0.00–0.054 ± 0.00 | 0.2 | 1.0 |
| Cd | 1.80 ± 0.00 | 0.11 ± 0.00–0.13 ± 0.00 | 0.01 | 0.02 |
| Natural/Chemical Polymer Flocculant | Nature of Wastewater | Flocculant Aid | Polymer Active Site | pH | Flocculant Initial Concentration (%) | Metal Ion Initial Concentration (mg/L) | Flocculant Dosage (mg/L) | Metal Ion Removal (%) | Reference | |||
|---|---|---|---|---|---|---|---|---|---|---|---|---|
| Zn | Pb | Ni | Cd | |||||||||
| Natural Flocculants | ||||||||||||
| TBPF | Synthetic heavy metal | Hydroxide ion | Carboxylic and hydroxyl | 10 | 10 | 2.5 | 120 | 98.4–98.5 | 79–80, | 97–98 | 92–93 | This study |
| Hydroxyethyl starch grafted with poly-N,N-dimethyl acrylamide (HES-g-PDMA) | Synthetic heavy metal | Hydroxide ion | Amino and carboxyl | 5.5 | - | 355 | 2000 | 25 | 10 | 14 | - | [5] |
| pH-responsive amphoteric starch derivative (PRAS) | Synthetic heavy metal | - | Methyl ethyl and amide | 9 | 1 | 74 | 70 | 91 | - | - | - | [6] |
| Nopal pectin | Synthetic heavy metal | - | Carboxylate and methoxylate group | 3.4 | 0.2 | Zn (344.14) Pb (701.28) Ni (1457.54) Cd (399.66) | 19 | 99 | 67 | 90 | 44 | [7] |
| Chemical Flocculants | ||||||||||||
| Polydiallyldimethylammonium chloride (PolyDADMAC)_ + cationic polyelectrolyte | Electroplating wastewater | Hydroxide ion and polyDADMAC | - | 9 | 0.011 | 626 | 67 | - | 99 | - | - | [8] |
| PaCl | Synthetic heavy metal | Koaret PA 3230 + and hydroxide ion | Polyaluminum | 8.0–9.3 | - | Pb (7) Zn (10) | 80 | - | 98 | - | - | [1] |
Publisher’s Note: MDPI stays neutral with regard to jurisdictional claims in published maps and institutional affiliations. |
© 2020 by the authors. Licensee MDPI, Basel, Switzerland. This article is an open access article distributed under the terms and conditions of the Creative Commons Attribution (CC BY) license (http://creativecommons.org/licenses/by/4.0/).
Share and Cite
Mohd Makhtar, N.S.; Idris, J.; Musa, M.; Andou, Y.; Ku Hamid, K.H.; Puasa, S.W. Plant-Based Tacca leontopetaloides Biopolymer Flocculant (TBPF) Produced High Removal of Heavy Metal Ions at Low Dosage. Processes 2021, 9, 37. https://doi.org/10.3390/pr9010037
Mohd Makhtar NS, Idris J, Musa M, Andou Y, Ku Hamid KH, Puasa SW. Plant-Based Tacca leontopetaloides Biopolymer Flocculant (TBPF) Produced High Removal of Heavy Metal Ions at Low Dosage. Processes. 2021; 9(1):37. https://doi.org/10.3390/pr9010037
Chicago/Turabian StyleMohd Makhtar, Nurul Shuhada, Juferi Idris, Mohibah Musa, Yoshito Andou, Ku Halim Ku Hamid, and Siti Wahidah Puasa. 2021. "Plant-Based Tacca leontopetaloides Biopolymer Flocculant (TBPF) Produced High Removal of Heavy Metal Ions at Low Dosage" Processes 9, no. 1: 37. https://doi.org/10.3390/pr9010037
APA StyleMohd Makhtar, N. S., Idris, J., Musa, M., Andou, Y., Ku Hamid, K. H., & Puasa, S. W. (2021). Plant-Based Tacca leontopetaloides Biopolymer Flocculant (TBPF) Produced High Removal of Heavy Metal Ions at Low Dosage. Processes, 9(1), 37. https://doi.org/10.3390/pr9010037

