Experimental Study on Pressure Distribution and Flow Coefficient of Globe Valve
Abstract
1. Introduction
2. Experimental Setup and Experimental Conditions
2.1. Experimental Setup
2.2. Experimental Conditions
- Quick opening type produces a large increase in flow rate for initial increase in valve opening and is usually used for safety or cooling systems where the instant large flow is required.
- Linear type has a linear relationship between the flow rate and the valve opening that is commonly used in liquid level control applications.
- Equal percentage type provides a small increase in flow rate with the initial valve openings and a significant rise with the greater openings and is widely found in pressure control and heat transfer processes.
3. Results and Discussion
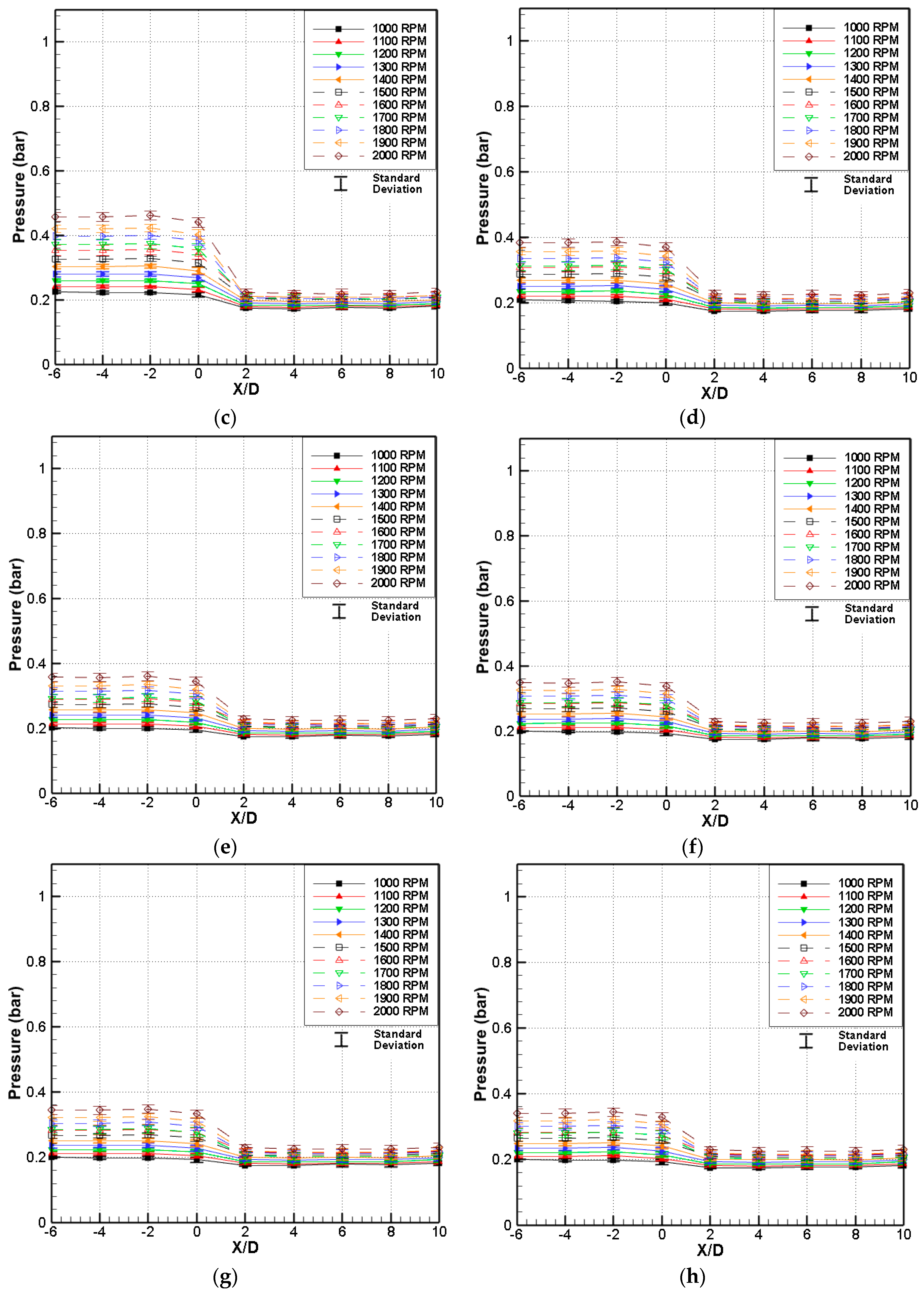
3.1. Pressure Distribution
3.2. Flow Characteristics and Flow Coefficient
4. Conclusions
- The flow coefficients increase linearly in low Reynolds number region and level off at the transient points having Re between and ;
- When Re is below , the flow coefficient grows faster with large valve openings, for the same increase in Reynolds number;
- The flow coefficient increases significantly with the low valve openings with a nearly linear relationship. Meanwhile, additional increases in valve opening give considerable decreases in flow coefficient.
Author Contributions
Funding
Acknowledgments
Conflicts of Interest
References
- Rennels, D.C.; Hudson, H.M. Valve. In Pipe Flow: A Practical and Comprehensive Guide, 1st ed.; Wiley: Hoboken, NJ, USA, 2012; pp. 205–212. [Google Scholar]
- Cho, T.D.; Yang, S.M.; Lee, H.Y.; Ko, S.H. A Study on the Force Balance of an Unbalanced Globe Valve. JMSE 2007, 21, 814–820. [Google Scholar] [CrossRef]
- Yang, Q.; Zhang, Z.; Hu, J. Numerical Simulation of Fluid Flow inside the Valve. Procedia Eng. 2011, 23, 543–550. [Google Scholar] [CrossRef]
- Chern, M.J.; Wang, C.C.; Ma, C.H. Numerical Study on Cavitation Occurrence in Globe Valve. J. Energy Eng. 2013, 139, 25–34. [Google Scholar] [CrossRef]
- Monsen, J. Control Valve Application Technology: Techniques and Considerations for Properly Selecting the Right Control Valve, 1st ed.; Valin Corporation: San Jose, CA, USA, 2013; pp. 17–32. [Google Scholar]
- Instrument Society of America. Control Valve Sizing Equations for Incompressible Flow; ISA-S39.1 Standard; Research Triangle Park: Durham, NC, USA, 1972. [Google Scholar]
- Instrument Society of America. Control Valve Sizing Equations; ASNI/ISA-S75.01 Standard; Research Triangle Park: Durham, NC, USA, 1981. [Google Scholar]
- The American Petroleum Institute (API). Sizing, Selection, and Installation of Pressure-relieving Devices, 9th ed.; API Standard 520; API Publication: Washington, DC, USA, 2013. [Google Scholar]
- Rahmeyer, W.; Driskell, L. Control Valve Flow Coefficients. J. Transp. Eng. 1985, 111, 358–364. [Google Scholar] [CrossRef]
- Davis, J.A.; Stewart, M. Predicting Globe Control Valve Performance—Part I: CFD Modeling. J. Fluids Eng. 2002, 124, 772–777. [Google Scholar] [CrossRef]
- Davis, J.A.; Stewart, M. Predicting Globe Control Valve Performance—Part II: Experimental Verification. J. Fluids Eng. 2002, 124, 778–783. [Google Scholar] [CrossRef]
- Valdes, J.R.; Rodriguez, J.M.; Saumell, J.; Putz, T. A methodology for the parametric modelling of the flow coefficients and flow rate in hydraulic valves. Energy Conver. Manag. 2014, 88, 598–611. [Google Scholar] [CrossRef]
- Hollinghead, C.D.; Johnson, M.C.; Barfuss, S.L.; Spall, R.E. Discharge coefficient performance of Venturi, standard concentric orifice plate, V-cone and wedge flow meters at low Reynolds numbers. J. Pet. Sci. Eng. 2011, 78, 559–566. [Google Scholar] [CrossRef]
- Mu, Y.; Liu, M.; Ma, Z. Research on the measuring characteristics of a new design butterfly valve flowmeter. Flow Meas. Instrum. 2019, 70, 101651. [Google Scholar] [CrossRef]
- Ferreira, J.P.B.C.C.; Martins, N.M.C.; Covas, D.I.D. Ball Valve Behavior under Steady and Unsteady Conditions. J. Hydraul. Eng. 2018, 144, 04018005. [Google Scholar] [CrossRef]
- Wu, H.; Li, J.Y.; Gao, Z.X. Flow Characteristics and Stress Analysis of a Parallel Gate Valve. Processes 2019, 7, 803. [Google Scholar] [CrossRef]
- International Society of Automation. Flow Capacity—Sizing Equations for Fluid Flow under Installed Conditions; ANSI/ISA-75.01.01-2012 Standard; Research Triangle Park: Durham, NC, USA, 2012. [Google Scholar]
- Control Valve Characteristics. Available online: https://www.spiraxsarco.com/learn-about-steam/control-hardware-electric-pneumatic-actuation/control-valve-characteristics#article-top (accessed on 1 June 2020).
- Bauman, H.D. Control Valve Primer: A User’s Guide, 4th ed.; ISA Research Triangle Park: Durham, NC, USA, 2009; pp. 53–61. [Google Scholar]
- Moody, L.F. Friction factors for pipe flow. Trans. Am. Soc. Mech. Eng. 1944, 66, 671–684. [Google Scholar]
- Cengel, Y.A.; Cimbala, J.M. Internal Flow. In Flow mechanics: Fundamentals and Applications, 3rd ed.; McGraw-Hill: New York, NY, USA, 2014; pp. 374–381. [Google Scholar]

















| Reservoir Tank | Net Volume of |
| Pump | 5.5 kWh, Motor speed: 0–3500 RPM |
| Total length | 18 m, stainless steel pipe |
| Test section | 4 m, acrylic plastic pipe |
| Pipe diameter | 3″ |
| Pressure Sensor | Flow Meter | |
|---|---|---|
| Sensor | KISTLER 4043A2 | KTV-700 |
| Type | Piezo-resistive | Vortex |
| Range | 0–2 bar (abs) | 10–100 () |
| Sampling rate | 1000 Hz | 50 Hz |
| Valve Opening | Inherent Characteristic | Installed Characteristic |
|---|---|---|
| Pump Speed | ||
| 10–100% (every 10%) | Constant pressure drop | 1000–2000 rpm |
| 0.069 bar (1 psi); 0.1 bar; 0.13 bar | (every 100 rpm) |
| Valve Opening | Linear Trendline | Constant Trendline | |||
|---|---|---|---|---|---|
| Slope | NRMSE(%) | ||||
| 10 | 0.98 | ||||
| 20 | 0.99 | 41.8 | 2.43 | ||
| 30 | 0.99 | 61.3 | 1.14 | ||
| 40 | 0.98 | 77.3 | 0.68 | ||
| 50 | 0.95 | 86.1 | 0.34 | ||
| 60 | 0.98 | 89.1 | 0.49 | ||
| 70 | 0.97 | 91.0 | 0.33 | ||
| 80 | 0.97 | 92.8 | 0.75 | ||
| 90 | 0.98 | 93.4 | 0.63 | ||
| 100 | 0.98 | 94.0 | 0.74 | ||
© 2020 by the authors. Licensee MDPI, Basel, Switzerland. This article is an open access article distributed under the terms and conditions of the Creative Commons Attribution (CC BY) license (http://creativecommons.org/licenses/by/4.0/).
Share and Cite
Nguyen, Q.K.; Jung, K.H.; Lee, G.N.; Suh, S.B.; To, P. Experimental Study on Pressure Distribution and Flow Coefficient of Globe Valve. Processes 2020, 8, 875. https://doi.org/10.3390/pr8070875
Nguyen QK, Jung KH, Lee GN, Suh SB, To P. Experimental Study on Pressure Distribution and Flow Coefficient of Globe Valve. Processes. 2020; 8(7):875. https://doi.org/10.3390/pr8070875
Chicago/Turabian StyleNguyen, Quang Khai, Kwang Hyo Jung, Gang Nam Lee, Sung Bu Suh, and Peter To. 2020. "Experimental Study on Pressure Distribution and Flow Coefficient of Globe Valve" Processes 8, no. 7: 875. https://doi.org/10.3390/pr8070875
APA StyleNguyen, Q. K., Jung, K. H., Lee, G. N., Suh, S. B., & To, P. (2020). Experimental Study on Pressure Distribution and Flow Coefficient of Globe Valve. Processes, 8(7), 875. https://doi.org/10.3390/pr8070875

