Fluorescence and Molecular Simulation Studies on the Interaction between Imidazolium-Based Ionic Liquids and Calf Thymus DNA
Abstract
1. Introduction
2. Materials and Methods
2.1. Materials
2.2. Steady-State Fluorescence
2.3. Molecular Docking Studies
2.4. COSMO-RS Modelling
3. Results and Discussion
3.1. Steady State Fluorescence
3.2. Docking Studies
3.3. COSMO-RS Studies
3.3.1. Sigma Profiles of the Individual Compounds (Nucleic Acid Bases and ILs Molecules)
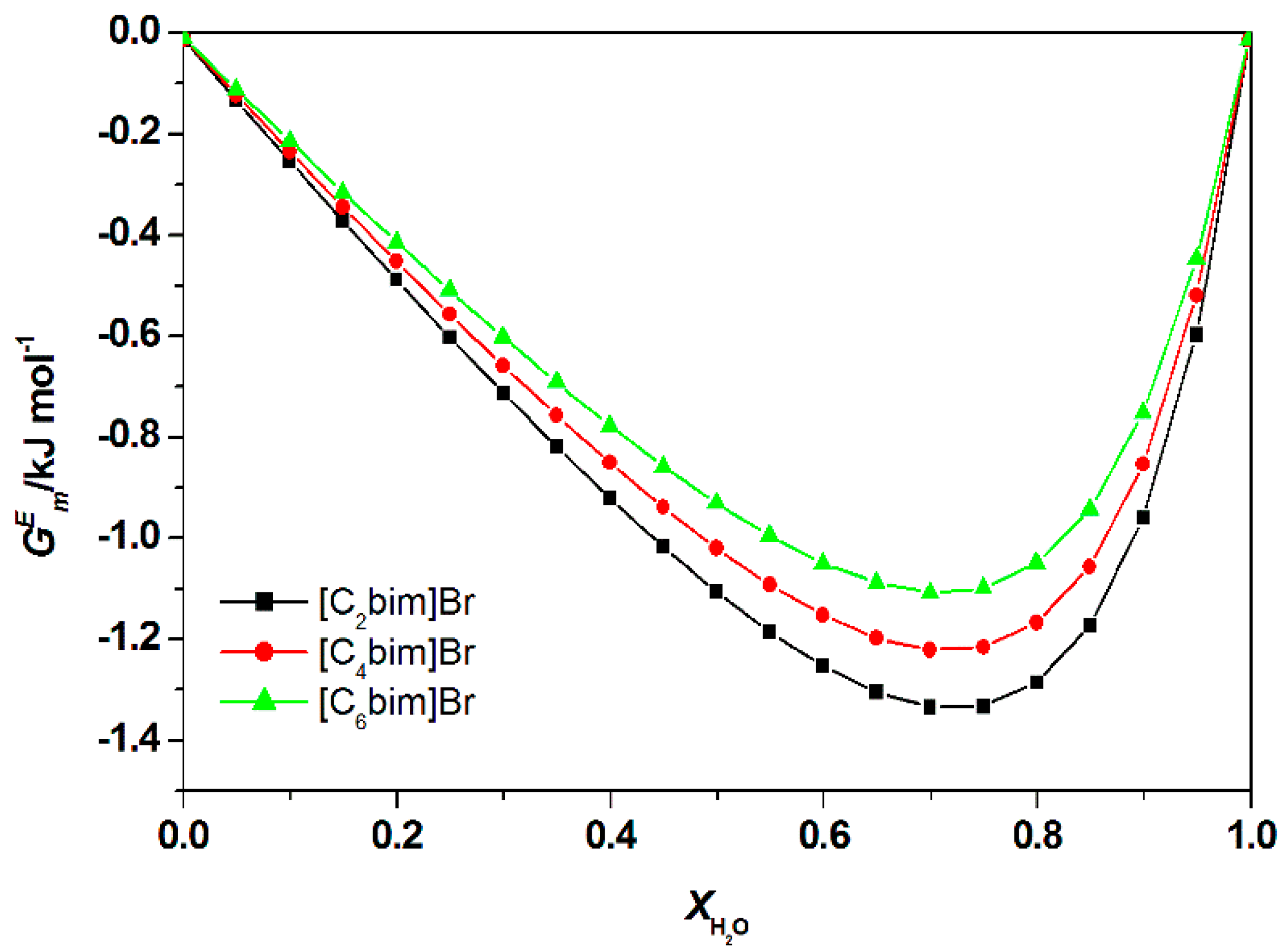
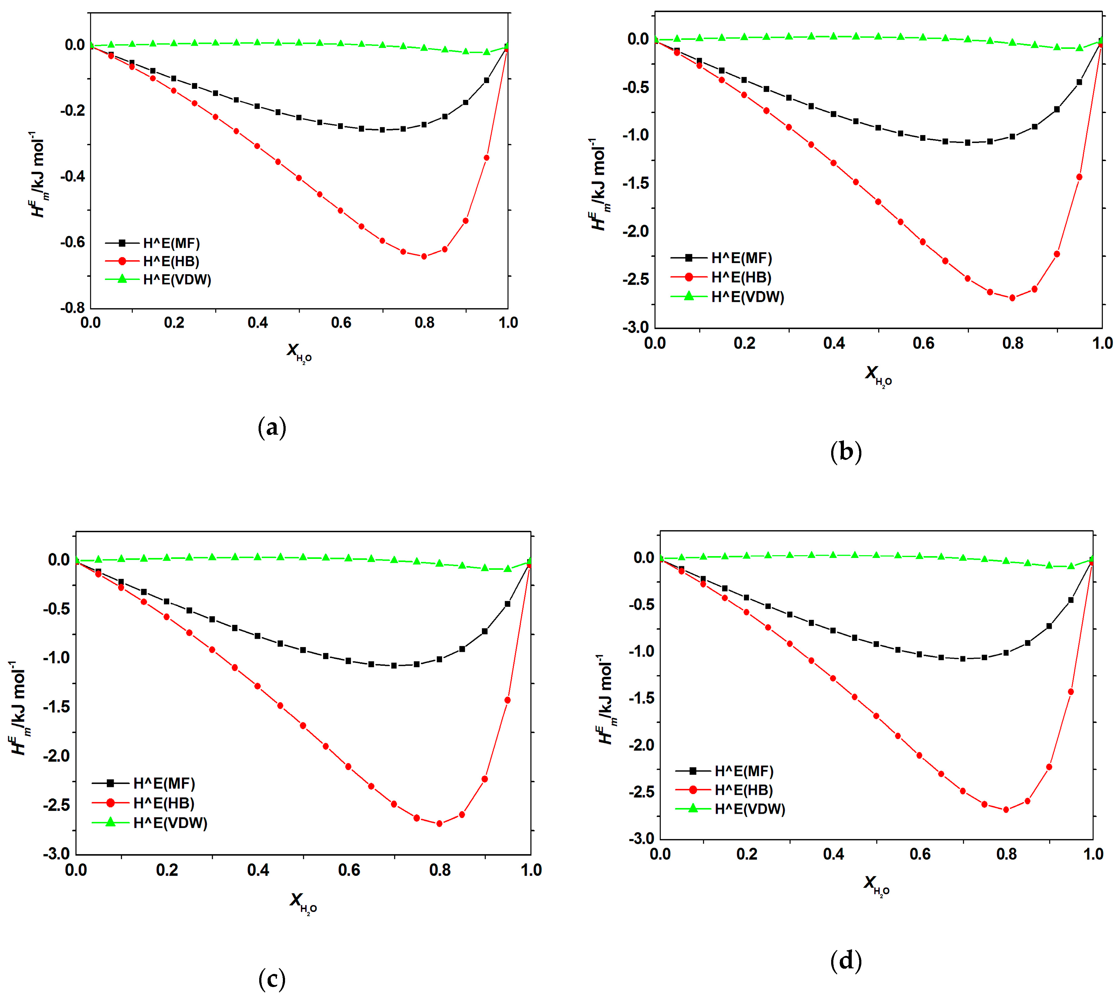
3.3.2. Prediction of Excess Enthalpies and Evaluation of Molecular Interactions in Ternary Mixture of Water + ILs with DNA Bases Systems Using COSMO-RS
4. Conclusions
Author Contributions
Funding
Acknowledgments
Conflicts of Interest
Appendix A






References
- Hallett, J.P.; Welton, T. Room-temperature ionic liquids: Solvents for synthesis and catalysis. Chem. Rev. 2011, 111, 3508–3576. [Google Scholar] [CrossRef] [PubMed]
- van Rantwijk, F.; Sheldon, R.A. Biocatalysis in ionic liquids. Chem. Rev. 2007, 107, 2757–2785. [Google Scholar] [CrossRef] [PubMed]
- Greaves, T.L.; Drummond, C.J. Protic ionic liquids: Properties and applications. Chem. Rev. 2008, 108, 20–237. [Google Scholar] [CrossRef]
- Macfarlane, D.R.; Forsyth, M.; Howlett, P.C.; Pringle, J.M.; Sun, J.; Annat, G.; Neil, W.; Izgorodina, E.I. Ionic liquids in electrochemical devices and processes: Managing interfacial electrochemistry. Acc. Chem. Res. 2007, 40, 1165–1173. [Google Scholar] [CrossRef]
- Barthel, J.; Gores, H.; Mamantov, G.; Papov, A. Chemistry of Nonaqueous Solutions: Current Progress, 1st ed.; Wiley: New York, NY, USA, 1994. [Google Scholar]
- Plechkova, N.V.; Seddon, K.R. Applications of ionic liquids in the chemical industry. Chem. Soc. Rev. 2008, 37, 123–150. [Google Scholar] [CrossRef]
- Egorova, K.S.; Gordeev, E.G.; Ananikov, V.P. Biological activity of ionic liquids and their application in pharmaceutics and medicine. Chem. Rev. 2017, 117, 7132–7189. [Google Scholar] [CrossRef]
- Giernoth, R. Task-specific ionic liquids. Angew. Chem. Int. Ed. 2010, 49, 2834–2839. [Google Scholar] [CrossRef]
- Vijayaraghavan, R.; Izgorodin, A.; Ganesh, V.; Surianarayanan, M.; MacFarlane, D.R. Long-term structural and chemical stability of DNA in hydrated ionic liquids. Angew. Chem. Int. Ed. 2010, 49, 1631–1633. [Google Scholar] [CrossRef]
- Figueiredo, A.M.; Sardinha, J.; Moore, G.R.; Cabrita, E.J. Protein destabilisation in ionic liquids: The role of preferential interactions in denaturation. Phys. Chem. Chem. Phys. 2013, 15, 19632–19643. [Google Scholar] [CrossRef]
- Cheng, D.H.; Chen, X.W.; Wang, J.H.; Fang, Z.L. An abnormal resonance light scattering arising from ionic-liquid/DNA/ethidium interactions. Chem. Eur. J. 2007, 13, 4833–4839. [Google Scholar] [CrossRef]
- Ding, Y.; Zhang, L.; Xie, J.; Guo, R. Binding characteristics and molecular mechanism of interaction between ionic liquid and DNA. J. Phys. Chem. B 2010, 114, 2033–2043. [Google Scholar] [CrossRef] [PubMed]
- Satpathi, S.; Sengupta, A.; Hridya, V.M.; Gavvala, K.; Koninti, R.K.; Roy, B.; Hazra, P. A green solvent induced DNA package. Sci. Rep. 2015, 5, 9137. [Google Scholar] [CrossRef]
- Liu, H.; Dong, Y.; Wu, J.; Chen, C.; Liu, D.; Zhang, Q.; Du, S. Evaluation of interaction between imidazolium-based chloride ionic liquids and calf thymus DNA. Sci. Total Environ. 2016, 566, 1–7. [Google Scholar] [CrossRef]
- Wang, H.; Wang, J.; Zhang, S. Binding Gibbs energy of ionic liquids to calf thymus DNA: A fluorescence spectroscopy study. Phys. Chem. Chem. Phys. 2011, 13, 3906–3910. [Google Scholar] [CrossRef]
- Tateishi-Karimata, H.; Sugimoto, N. Structure, stability and behaviour of nucleic acids in ionic liquids. Nucleic Acids Res. 2014, 42, 8831–8844. [Google Scholar] [CrossRef]
- Tateishi-Karimata, H.; Sugimoto, N. A-T base pairs are more stable than G-C base pairs in a hydrated ionic liquid. Angew. Chem. Int. Ed. 2012, 51, 1416–1419. [Google Scholar] [CrossRef]
- Jumbri, K.; Abdul Rahman, M.B.; Abdulmalek, E.; Ahmad, H.; Micaelo, N.M. An insight into structure and stability of DNA in ionic liquids from molecular dynamics simulation and experimental studies. Phys. Chem. Chem. Phys. 2014, 16, 14036–14046. [Google Scholar] [CrossRef]
- Chandran, A.; Ghoshdastidar, D.; Senapati, S. Groove binding mechanism of ionic liquids: A key factor in long-term stability of DNA in hydrated ionic liquids? J. Am. Chem. Soc. 2012, 134, 20330–20339. [Google Scholar] [CrossRef]
- Reichmann, M.E.; Rice, S.A.; Thomas, C.A.; Doty, P. A further examination of the molecular weight and size of desoxypentose nucleic acid. J. Am. Chem. Soc. 1954, 76, 3047–3053. [Google Scholar] [CrossRef]
- Jumbri, K.; Ahmad, H.; Abdulmalek, E.; Abdul Rahman, M.B. Binding energy and biophysical properties of ionic liquid-DNA complex: Understanding the role of hydrophobic interactions. J. Mol. Liq. 2016, 223, 1197–1203. [Google Scholar] [CrossRef]
- Rozenberg, H.; Rabinovich, D.; Frolow, F.; Hegde, R.S.; Shakked, Z. Structural code for DNA recognition revealed in crystal structures of papillomavirus E2-DNA targets. Proc. Natl. Acad. Sci. USA 1998, 95, 15194–15199. [Google Scholar] [CrossRef] [PubMed]
- Micaelo, N.M.; Baptista, A.M.; Soares, C.M. Parametrization of 1-butyl-3-methylimidazolium hexafluorophosphate/nitrate ionic liquid for the GROMOS force field. J. Phys. Chem. B 2006, 110, 14444–14451. [Google Scholar] [CrossRef] [PubMed]
- Gonfa, G.; Muhammad, N.; Bustam, M.A. Probing the interactions between DNA nucleotides and biocompatible liquids: COSMO-RS and molecular simulation study. Sep. Purif. Technol. 2018, 196, 237–243. [Google Scholar] [CrossRef]
- Rashid, Z.; Wilfred, C.D.; Iyyaswami, R.; Arunagiri, A.; Thanabalan, M. Investigating the solubility of Petroleum Asphaltene in ionic liquids and their interaction using COSMO-RS. J. Ind. Eng. Chem. 2019, 79, 194–203. [Google Scholar] [CrossRef]
- Morris, G.M.; Huey, R.; Lindstrom, W.; Sanner, M.F.; Belew, R.K.; Goodsell, D.S.; Olson, A.J. AutoDock4 and AutoDockTools4: Automated docking with selective receptor flexibility. J. Comput. Chem. 2009, 30, 2785–2791. [Google Scholar] [CrossRef]
- Jorgensen, W.L.; Maxwell, D.S.; Tirado-Rives, J. Development and testing of the OPLS all-atom force field on conformational energetics and properties of organic liquids. J. Am. Chem. Soc. 1996, 118, 11225–11236. [Google Scholar] [CrossRef]
- Morris, G.M.; Goodsell, D.S.; Halliday, R.S.; Huey, R.; Hart, W.E.; Belew, R.K.; Olson, A.J. Automated docking using a Lamarckian genetic algorithm and an empirical binding free energy function. J. Comput. Chem. 1998, 19, 1639–1662. [Google Scholar] [CrossRef]
- Schrodinger, L.L.C. The PyMOL Molecular Graphics System, Version 1.8; Schrödinger: New York, NY, USA, 2015. [Google Scholar]
- Kurnia, K.A.; Coutinho, J.A.P. Overview of the excess enthalpies of the binary mixtures composed of molecular solvents and ionic liquids and their modelling using COSMO-RS. Ind. Eng. Chem. Res. 2013, 52, 13862–13874. [Google Scholar] [CrossRef]
- Eckert, F.; Klamt, A. COSMOtherm Version C2. 1 Release 01.08; COSMOlogic GmbH & Co. KG: Leverkusen, Germany, 2006. [Google Scholar]
- Paul, A.; Mandal, P.K.; Samanta, A. On the optical properties of the imidazolium ionic liquids. J. Phys. Chem. B 2005, 109, 9148–9153. [Google Scholar] [CrossRef]
- Nakamoto, K.; Tsuboi, M.; Strahan, G.D. Drug-DNA Interactions: Structures and Spectra; John Wiley & Sons: Hoboken, NJ, USA, 2008. [Google Scholar]
- Indumathy, R.; Kanthimathi, M.; Weyhermuller, T.; Nair, B.U. Cobalt complexes of terpyridine ligands: Crystal structure and nuclease activity. Polyhedron 2008, 27, 3443–3450. [Google Scholar] [CrossRef]
- Pabbathi, A.; Samanta, A. Spectroscopic and molecular docking study of the interaction of DNA with a morpholinium ionic liquid. J. Phys. Chem. B 2015, 119, 11099–11105. [Google Scholar] [CrossRef] [PubMed]
- Haque, A.; Khan, I.; Hassan, S.I.; Khan, M.S. Interaction studies of cholinium-based ionic liquids with calf thymus DNA: Spectrophotometric and computational methods. J. Mol. Liq. 2017, 237, 201–207. [Google Scholar] [CrossRef]
- Jumbri, K.; Micaelo, N.M.; Abdul Rahman, M.B. Solvation free energies of nucleic acid bases in ionic liquids. Mol. Sim. 2017, 43, 19–27. [Google Scholar] [CrossRef]










| Cation | (kcal mol−1) | vDW + Hydrogen Bonding + Desolvation Energy | Electrostatic Energy |
|---|---|---|---|
| [C2bim]+ | 5.19 | 5.09 | 0.10 |
| [C4bim]+ | 6.29 | 6.20 | 0.09 |
| [C6bim]+ | 7.75 | 7.73 | 0.02 |
© 2019 by the authors. Licensee MDPI, Basel, Switzerland. This article is an open access article distributed under the terms and conditions of the Creative Commons Attribution (CC BY) license (http://creativecommons.org/licenses/by/4.0/).
Share and Cite
Jumbri, K.; Kassim, M.A.; M. Yunus, N.; Abdul Rahman, M.B.; Ahmad, H.; Abdul Wahab, R. Fluorescence and Molecular Simulation Studies on the Interaction between Imidazolium-Based Ionic Liquids and Calf Thymus DNA. Processes 2020, 8, 13. https://doi.org/10.3390/pr8010013
Jumbri K, Kassim MA, M. Yunus N, Abdul Rahman MB, Ahmad H, Abdul Wahab R. Fluorescence and Molecular Simulation Studies on the Interaction between Imidazolium-Based Ionic Liquids and Calf Thymus DNA. Processes. 2020; 8(1):13. https://doi.org/10.3390/pr8010013
Chicago/Turabian StyleJumbri, Khairulazhar, Mohd Azlan Kassim, Normawati M. Yunus, Mohd Basyaruddin Abdul Rahman, Haslina Ahmad, and Roswanira Abdul Wahab. 2020. "Fluorescence and Molecular Simulation Studies on the Interaction between Imidazolium-Based Ionic Liquids and Calf Thymus DNA" Processes 8, no. 1: 13. https://doi.org/10.3390/pr8010013
APA StyleJumbri, K., Kassim, M. A., M. Yunus, N., Abdul Rahman, M. B., Ahmad, H., & Abdul Wahab, R. (2020). Fluorescence and Molecular Simulation Studies on the Interaction between Imidazolium-Based Ionic Liquids and Calf Thymus DNA. Processes, 8(1), 13. https://doi.org/10.3390/pr8010013

