Water-In-Oil Emulsions through Porous Media and the Effect of Surfactants: Theoretical Approaches
Abstract
1. Introduction
1.1. Mathematical Analysis of the Emulsion Flow through Porous Beds
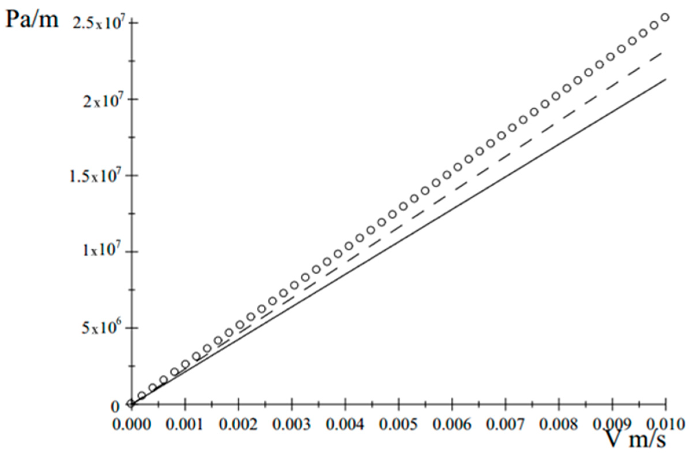
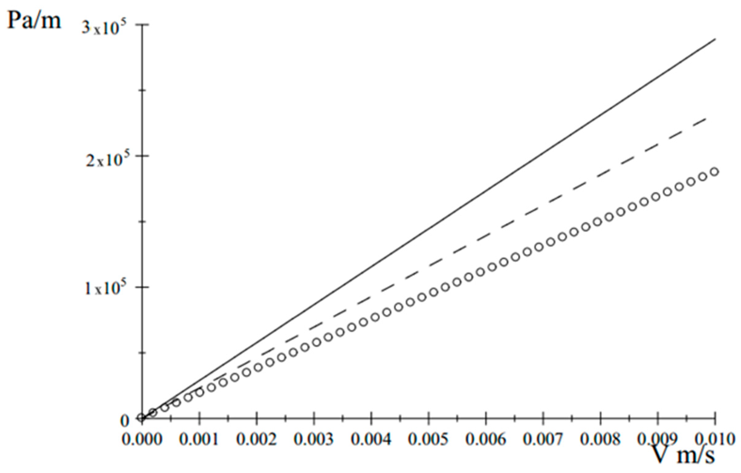
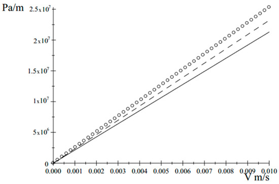
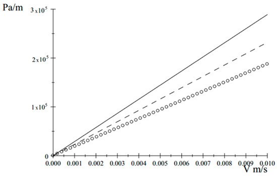
1.2. Effect of Emulsion Destruction on the Pressure Gradient
1.3. Influence of the Surfactant on Global Viscosity
2. Materials and Methods
Study of Molecular Interactions Using the MMH Methodology
- α-Asphaltene
- α-Paraffin
- α-3H2O
- α-Asphaltene–Paraffin
- α-Asphaltene–Paraffin–3H2O
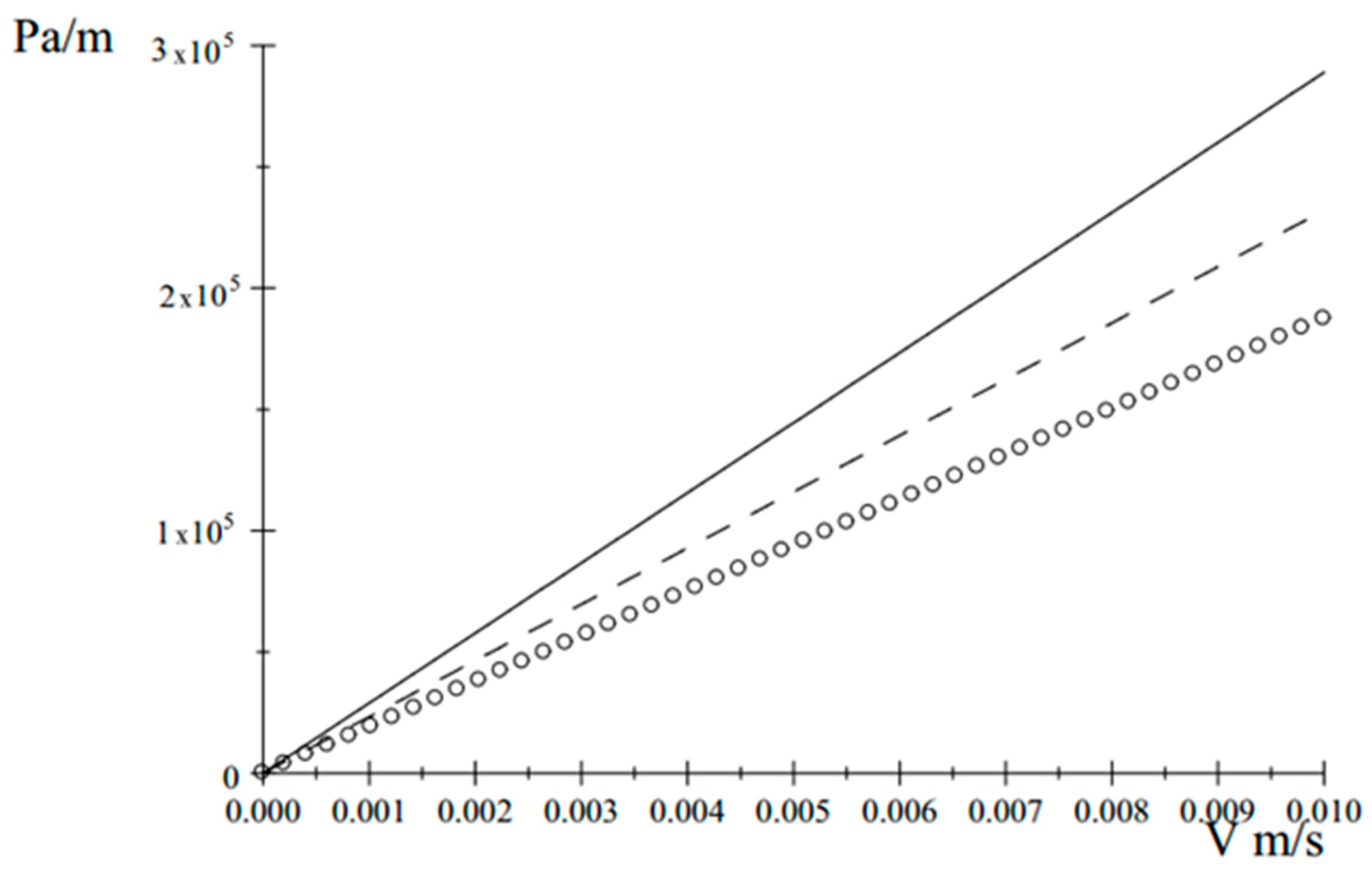
3. Results: Theoretical Predictions
4. Conclusions
- The model predicts that for an emulsion flowing through a porous bed, the pressure gradient increases with the volume fraction of the dispersed phase, even when the dispersed phase corresponds to a less viscous fluid (which is the expected behavior for these kinds of systems).
- The pressure gradient increases when the bed porosity increases, and the particle size decreases.
- If the dispersed phase is less viscous, the destruction of the dispersed system by injecting a demulsifier causes a stratification of the flow that decreases the cut tension in the solid surface, significantly reducing the pressure gradient.
- The results of the study of the molecular interactions applied to the Eyring viscosity model determined that surfactant molecules B and C are suitable for the application of the destabilization of W/O emulsions.
Author Contributions
Funding
Acknowledgments
Conflicts of Interest
Correction Statement
References
- Padula, L.; Balestrin, L.B.D.S.; Rocha, N.D.O.; de Carvalho, C.H.M.; Westfahl, H., Jr.; Cardoso, M.B.; Loh, W. Role of Asphaltenes and Additives on the Viscosity and Microscopic Structure of Heavy Crude Oils. Energy Fuels 2016, 30, 3644–3651. [Google Scholar] [CrossRef]
- Lin, Y.-J.; Cao, T.; Chacón-Patiño, M.L.; Rowland, S.M.; Rodgers, R.P.; Yen, A.; Biswal, S.L. Microfluidic Study of the Deposition Dynamics of Asphaltene Subfractions Enriched with Island and Archipelago Motifs. Energy Fuels 2019, 33, 1882–1891. [Google Scholar] [CrossRef]
- Giraldo-Dávila, D.; Chacón-Patiño, M.L.; McKenna, A.M.; Blanco-Tirado, C.; Combariza, M.Y. Correlations between Molecular Composition and Adsorption, Aggregation, and Emulsifying Behaviors of PetroPhase 2017 Asphaltenes and Their Thin-Layer Chromatography Fractions. Energy Fuels 2017, 32, 2769–2780. [Google Scholar] [CrossRef]
- Moreno-Arciniegas, L.; Babadagli, T. Optimal Application Conditions of Solvent Injection into Oil Sands to Minimize the Effect of Asphaltene Deposition: An Experimental Investigation. SPE Reserv. Evaluation Eng. 2014, 17, 530–546. [Google Scholar] [CrossRef]
- Taborda, E.A.; Franco, C.A.; Ruiz, M.A.; Alvarado, V.; Cortés, F.B.; Alvaradov, V. Experimental and Theoretical Study of Viscosity Reduction in Heavy Crude Oils by Addition of Nanoparticles. Energy Fuels 2017, 31, 1329–1338. [Google Scholar] [CrossRef]
- Subramanian, D.; Firoozabadi, A. Effect of Surfactants and Water on Inhibition of Asphaltene Precipitation and Deposition. In Abu Dhabi International Petroleum Exhibition and Conference. Soc. Pet. Eng. 2015. [Google Scholar] [CrossRef]
- Marcano, F.; Moura, L.G.M.; Cardoso, F.M.R.; Rosa, P.T.V. Evaluation of the Chemical Additive Effect on Asphaltene Aggregation in Dead Oils: A Comparative Study between Ultraviolet–Visible and Near-Infrared-Laser Light Scattering Techniques. Energy Fuels 2015, 29, 2813–2822. [Google Scholar] [CrossRef]
- Subramanian, D.; Wu, K.; Firoozabadi, A. Ionic liquids as viscosity modifiers for heavy and extra-heavy crude oils. Fuel 2015, 143, 519–526. [Google Scholar] [CrossRef]
- Hashemi, R.; Nassar, N.N.; Almao, P.P. Nanoparticle technology for heavy oil in-situ upgrading and recovery enhancement: Opportunities and challenges. Appl. Energy 2014, 133, 374–387. [Google Scholar] [CrossRef]
- Yu, L.; Dong, M.; Ding, B.; Yuan, Y. Emulsification of heavy crude oil in brine and its plugging performance in porous media. Chem. Eng. Sci. 2018, 178, 335–347. [Google Scholar] [CrossRef]
- Mandal, A.; Bera, A. Modeling of the flow of oil-in-water emulsions through porous media. Pet. Sci. 2015, 12, 273–281. [Google Scholar] [CrossRef]
- Cheng, S.; Fu, M.; Kulacki, F. Characterization of a porous transducer using a capillary bundle model: Permeability and streaming potential prediction. Int. J. Heat Mass Transf. 2018, 118, 349–354. [Google Scholar] [CrossRef]
- Suarez-Dominguez, E.J.; Perez-Sanchez, J.F.; Palacio-Perez, A.; Izquierdo-Kulich, E. New mixing rule for the analysis of the influence of a formulation on extra-heavy crude oil viscosity. Rev. Mex. Ing. Quim. 2018, 17, 99–106. [Google Scholar]
- Hemmati-Sarapardeh, A.; Aminshahidy, B.; Pajouhandeh, A.; Yousefi, S.H.; Hosseini-Kaldozakh, S.A. A soft computing approach for the determination of crude oil viscosity: Light and intermediate crude oil systems. J. Taiwan Inst. Chem. Eng. 2016, 59, 1–10. [Google Scholar] [CrossRef]
- Vesovic, V.; Wakeham, W.A. Transport properties of supercritical fluids and fluids mixtures. In Supercritical Fluid Technology: Reviews in Modern Theory and Applications; Bruno, T.J., Ely, J.F., Eds.; CRC Press: Boca Raton, FL, USA, 2017. [Google Scholar]
- Kistemaker, J.C.M.; Lubbe, A.S.; Bloemsma, E.A.; Feringa, B.L. On the Role of Viscosity in the Eyring Equation. ChemPhysChem 2016, 17, 1819–1822. [Google Scholar] [CrossRef]
- Langevin, D.; Argillier, J.-F. Interfacial behavior of asphaltenes. Adv. Colloid Interface Sci. 2016, 233, 83–93. [Google Scholar] [CrossRef] [PubMed]
- Montero, L.A.; Molina, J.; Fabian, J. Multiple minima hypersurfaces of water clusters for calculations of association energy. Int. J. Quantum Chem. 2000, 79, 8–16. [Google Scholar] [CrossRef][Green Version]
- Ardèvol, A. Métodos de simulación QM/MM y de mecánica estadística: Una aproximación teórica a la biología molecular. Anales de Química 2013, 109, 4. [Google Scholar][Green Version]
- Suarez-Dominguez, E.J.; Xu, B.; Perez-Sanchez, J.F.; Palacio-Perez, A.; Izquierdo-Kulich, E. Stochastic modeling of asphaltenes deposition and prediction of its influence on friction pressure drop. Pet. Sci. Technol. 2018, 36, 1812–1819. [Google Scholar] [CrossRef]
- Suárez-Domínguez, E.J.; Pérez-Sánchez, J.F.; Palacio-Pérez, A.; Rodríguez-Valdes, A.; Izquierdo-Kulich, E.; González-Santana, S. A viscosity bio-reducer for extra-heavy crude oil. Pet. Sci. Technol. 2018, 36, 166–172. [Google Scholar] [CrossRef]
- Lim, J.S.; Wong, S.F.; Law, M.C.; Samyudia, Y.; Dol, S.S. A review of the effects of emulsions on flow behaviors and common factors affecting the stability of emulsions. J. Appl. Sci. 2015, 15, 167–172. [Google Scholar]
- Kolotova, D.S.; Kuchina, Y.A.; Petrova, L.A.; Voron’Ko, N.G.; Derkach, S.R. Rheology of Water-in-Crude Oil Emulsions: Influence of Concentration and Temperature. Colloids Interfaces 2018, 2, 64. [Google Scholar] [CrossRef]
- Wong, S.; Lim, J.; Dol, S. Crude oil emulsion: A review on formation, classification and stability of water-in-oil emulsions. J. Pet. Sci. Eng. 2015, 135, 498–504. [Google Scholar] [CrossRef]
- Pérez-Sánchez, J.F.; Alarcón-Montelongo, I.S.; Díaz-Zavala, N.P.; Palacio-Pérez, A.; Uárez-Domínguez, E.J. Effect of a viscosity bio-reducer in crude oil performance by Nuclear Magnetic Resonance spectroscopy. Glob. J. Eng. Sci. Res. Manag. 2017, 4, 74–81. [Google Scholar]
- Perez-Sanchez, J.F.; Gallegos-Villella, R.R.; Gomez-Espinoza, J.; Suarez-Dominguez, E.J. Determining the effect of a viscosity reducer on water-heavy crude oil emulsions. Int. J. Eng. Adv. Technol. 2019, 8, 844–848. [Google Scholar]
- Sosa-Sevilla, J.E.; Perez-Sanchez, J.F.; Melo-Banda, J.A.; Lozano-Navarro, J.I.; Rivera-Armenta, J.L.; Vazquez-Almaguer, A.M.; Diaz-Zavala, N.P. Alcoxybenzoate derivatives and its gelation effect. Pet. Sci. Technol. 2019. [Google Scholar] [CrossRef]
- Shi, S.; Wang, Y.; Liu, Y.; Wang, L. A new method for calculating the viscosity of W/O and O/W emulsion. J. Pet. Sci. Eng. 2018, 171, 928–937. [Google Scholar] [CrossRef]








| Interaction | Energy (eV) in a Water-Free System | Energy (eV) with 3H2O |
|---|---|---|
| Total internal energy values obtained for optimal conformation cell (minima) | ||
| Asphaltene–Paraffin–Molecule A | −23,496.4 | −24,464.6 |
| Asphaltene–Paraffin–Molecule B | −23,367.3 | −24,335.3 |
| Asphaltene–Paraffin–Molecule C | −20,669.3 | −21,637.4 |
| Asphaltene–Paraffin–Molecule D | −24,685.4 | −25,653.5 |
| Internal energy (Easoc) | ||
| Asphaltene–Paraffin–Molecule A | −202.6 | −108.2 |
| Asphaltene–Paraffin–Molecule B | −136.8 | −75.9 |
| Asphaltene–Paraffin–Molecule C | −146.1 | −76.2 |
| Asphaltene–Paraffin–Molecule D | −181.4 | −98.9 |
| Entropy (Sasoc) | ||
| Asphaltene–Paraffin–Molecule A | 7.6 | 12.7 |
| Asphaltene–Paraffin–Molecule B | 9.5 | 19.7 |
| Asphaltene–Paraffin–Molecule C | 14.6 | 26.1 |
| Asphaltene–Paraffin–Molecule D | 12.7 | 17.0 |
| Helmholtz free energy (Aasoc) | ||
| Asphaltene–Paraffin–Molecule A | −204.8 | −112.0 |
| Asphaltene–Paraffin–Molecule B | −139.7 | −81.8 |
| Asphaltene–Paraffin–Molecule C | −150.5 | −84.0 |
| Asphaltene–Paraffin–Molecule D | −185.2 | −103.9 |
| Phase | Density (kg/m3) | Viscosity (Pa·s) |
|---|---|---|
| Crude oil (dispersion medium) | 980 | 8 |
| Water (dispersed phase) | 1000 | 0.001 |
© 2019 by the authors. Licensee MDPI, Basel, Switzerland. This article is an open access article distributed under the terms and conditions of the Creative Commons Attribution (CC BY) license (http://creativecommons.org/licenses/by/4.0/).
Share and Cite
Perez-Sanchez, J.F.; Diaz-Zavala, N.P.; Gonzalez-Santana, S.; Izquierdo-Kulich, E.F.; Suarez-Dominguez, E.J. Water-In-Oil Emulsions through Porous Media and the Effect of Surfactants: Theoretical Approaches. Processes 2019, 7, 620. https://doi.org/10.3390/pr7090620
Perez-Sanchez JF, Diaz-Zavala NP, Gonzalez-Santana S, Izquierdo-Kulich EF, Suarez-Dominguez EJ. Water-In-Oil Emulsions through Porous Media and the Effect of Surfactants: Theoretical Approaches. Processes. 2019; 7(9):620. https://doi.org/10.3390/pr7090620
Chicago/Turabian StylePerez-Sanchez, Josue F., Nancy P. Diaz-Zavala, Susana Gonzalez-Santana, Elena F. Izquierdo-Kulich, and Edgardo J. Suarez-Dominguez. 2019. "Water-In-Oil Emulsions through Porous Media and the Effect of Surfactants: Theoretical Approaches" Processes 7, no. 9: 620. https://doi.org/10.3390/pr7090620
APA StylePerez-Sanchez, J. F., Diaz-Zavala, N. P., Gonzalez-Santana, S., Izquierdo-Kulich, E. F., & Suarez-Dominguez, E. J. (2019). Water-In-Oil Emulsions through Porous Media and the Effect of Surfactants: Theoretical Approaches. Processes, 7(9), 620. https://doi.org/10.3390/pr7090620

