Next Article in Journal
CFD Simulation on Jet Flow Field Characteristics of CO2 Perforation Fracturing
Previous Article in Journal
High-Performance Iontronic Pressure Sensor with a Multi-Level Conoid-like Structure Fabricated via Direct Laser Writing
 
 
Font Type:
Arial Georgia Verdana
Font Size:
Aa Aa Aa
Line Spacing:
Column Width:
Background:
Article

Material Model Test Study on Multi-Layer Superimposed Coalbed Methane Production Layer Fracturing

1
School of Petroleum Engineering, Xi’an Shiyou University, Xi’an 710065, China
2
China United Coalbed Methane Co., Ltd., Beijing 100011, China
*
Authors to whom correspondence should be addressed.
Processes 2026, 14(8), 1235; https://doi.org/10.3390/pr14081235
Submission received: 2 March 2026 / Revised: 30 March 2026 / Accepted: 3 April 2026 / Published: 13 April 2026
(This article belongs to the Section Petroleum and Low-Carbon Energy Process Engineering)

Abstract

The lithology of multilayer superposed coal-measure reservoirs is highly interbedded, and the mechanical contrast between adjacent layers is significant, resulting in strong uncertainty in the initiation and propagation behavior of hydraulic fractures. To address the problem that the fracture-propagation mechanism under multi-lithology assemblages remains insufficiently understood, typical layered composite specimens were constructed, and large-scale true triaxial hydraulic fracturing physical simulation tests were performed to systematically investigate the effects of coal seam thickness, interlayer thickness, injection rate, and fracturing-fluid viscosity on fracturing pressure, fracture propagation path, and propagation capacity. The results show that when the coal seam thickness does not exceed 90 mm, cross-layer connectivity at the fracture breakthrough interface is more likely to occur. Interlayer thickness directly controls fracture-height growth. When the mudstone interlayer thickness is 40 mm, the fracture still retains the ability to propagate across layers, whereas this ability decreases significantly as the interlayer becomes thicker. When the injection rate is increased from 20 mL min−1 to 30 mL min−1, the overall pump-pressure platform rises, accompanied by a simultaneous increase in fracture extension scale and connectivity. As the fracturing-fluid viscosity increases from 3 mPa·s to 24 mPa·s, both the fracturing pressure and platform pressure increase significantly, and the fracture morphology gradually changes from dispersed propagation to more concentrated extension. The results further indicate that structural constraint factors (coal seam thickness and interlayer thickness) and dynamic driving factors (injection rate and fracturing-fluid viscosity) jointly control the spatial structure and pressure-response characteristics of fractures. Among these factors, interlayer thickness determines the conditions for cross-layer fracture propagation, injection rate and fluid viscosity control the ability to maintain net pressure within the fracture, and coal seam thickness constitutes an important geometric constraint. These findings provide an experimental basis for fracturing-parameter optimization and cross-layer stimulation design in multilayer superposed reservoirs.

1. Introduction

The Ordos Basin is characterized by a coal-measure sedimentary system in which coal, sandstone, and shale are interbedded and co-developed, forming typical multilayer superposed coal-measure strata. These strata are rich in coalbed methane, tight sandstone gas, and shale gas, and therefore represent an important target for increasing unconventional natural gas reserves and production. However, such multilayer coal-measure strata commonly exhibit rapid lithologic variations, strong mechanical contrasts between layers, complex interlayer stress conditions, and well-developed natural fractures. These geological characteristics lead to substantial uncertainty in fracture initiation, propagation path, and cross-layer propagation behavior during hydraulic fracturing, making it difficult to accurately control fracture height and stimulated reservoir volume. As a result, this issue has become a major constraint on the efficient development of coal-measure gas resources.
With the transition of unconventional oil and gas development from single-lithology reservoirs to multi-lithology, highly heterogeneous composite reservoirs, the vertical propagation capacity of hydraulic fractures has become a critical factor controlling stimulation effectiveness, production contribution, and operational safety. Field observations indicate that, during the fracturing of coal-measure multilayer superposed formations, fractures tend to remain confined within relatively brittle coal seams and are often unable to effectively penetrate the adjacent upper and lower interlayers, resulting in an insufficient stimulated reservoir volume. Conversely, fractures may also propagate excessively into non-target layers or water-bearing formations, which can lead to a rapid increase in water production, intensified fracturing-fluid leak-off, and a marked reduction in both stimulation efficiency and production controllability.
To investigate the mechanism of vertical fracture propagation, extensive true triaxial physical simulation studies have been conducted worldwide. Previous studies have shown that in situ stress difference, interface strength, lithologic contrast, and the development degree of natural fractures all play important roles in controlling fracture-propagation paths. The differences in mechanical properties among coal seams, sandstone, and mudstone, together with interlayer spacing, govern fracture deflection and the conditions required for cross-layer propagation. However, most existing studies have focused on single lithologic systems or individual controlling factors, and systematic investigation of fracture initiation, deflection, propagation, and network evolution in multilayer superposed coal-measure formations remains limited. In particular, a unified understanding of the combined influence of structural and dynamic factors has not yet been established.
In this study, representative coal, sandstone, and mudstone samples from typical blocks were collected to construct a multilayer lithologic composite model, and large-scale true triaxial hydraulic fracturing physical simulation experiments were carried out. The effects of coal seam thickness, interlayer thickness, fracturing-fluid viscosity, and injection rate on the vertical propagation capacity of hydraulic fractures were systematically investigated. By analyzing the relationship between fracture spatial morphology and pump-pressure response, this work further clarifies how structural constraints and dynamic driving factors jointly influence fracture-propagation modes. The results provide an experimental basis for fracturing-parameter optimization and cross-layer stimulation design in multilayer coal-measure reservoirs.
Jiang et al. [1] combined experiments and numerical simulations to demonstrate that weakened interfacial bonding and increased stress difference both promote fracture penetration across layers. Shaohua G. et al. [2] established a multiple-fracture initiation and propagation model to investigate the effects of horizontal stress difference, perforation spacing, and net pressure on fracture interference. Mou et al. [3] studied permeability changes in coal before and after hydraulic fracturing under different horizontal in situ stress conditions, and showed that hydraulic fracturing can significantly enhance coal permeability. They further found that a smaller horizontal stress difference leads to more uniform microfracture propagation and is more favorable for microfracture connectivity. Schwartzkopff et al. [4] conducted pseudo-triaxial hydraulic fracturing experiments on concrete specimens containing pre-cut notches with different orientations, and revealed the relationship between notch orientation and fracture initiation stress. Their results also indicated that fractures initiated in arbitrary directions eventually reoriented perpendicular to the minimum principal stress. Yang et al. [5] developed a vertical propagation model for multilayer coal seams and demonstrated that mudstone interlayers exert a significant barrier effect on fracture height growth. Shi et al. [6] reviewed the main factors affecting fracture propagation in shale reservoirs, including injection rate, pumping rate, and rock structure. Fu et al. [7,8,9] experimentally showed that interlayer stress difference and interface strength jointly control the cross-layer propagation capacity of hydraulic fractures. They further proposed a prediction model for cross-layer fracture propagation considering multiple factors, and verified various complex propagation modes through integrated physical simulation. Wang et al. [10] used true triaxial physical simulation to investigate the inhibitory effect of lithologic interfaces on vertical fracture propagation. Yang et al. [11] analyzed the fabric and distribution of mineral particles in natural sandstone, established a three-dimensional digital model of heterogeneous sandstone, and investigated fracture propagation behavior under different conditions, demonstrating that mineral-particle properties strongly affect fracture paths. Yushi Z. et al. [12] observed limited fracture height growth and non-uniform fracture initiation in thin interbedded tight sandstone. Fuchun T. et al. [13] reported that stress interference among multiple fracture clusters results in significant non-uniformity in fracture height propagation. Zhichao L. et al. [14] investigated the interference mechanisms among multiple hydraulic fractures in layered reservoirs under vertical-well conditions. Yu S. et al. [15] found that weak mud-shale interlayers suppress cross-layer fracture propagation by absorbing fracturing energy. Lei Y. et al. [16] reported that rigid sandstone interlayers can induce fracture deflection and branching, thereby increasing fracture-network complexity. Zhang et al. [17] evaluated the differences in fracture propagation and conductivity among multilayer fractured intervals from a well-testing perspective. Li et al. [18] confirmed that foam fracturing fluids are more favorable than conventional liquids for promoting fracture penetration across coal–rock interfaces. Kong et al. [19] revealed, through a multilayer tight sandstone model, that interlayers significantly hinder fracture height growth. Wei et al. [20] investigated the strength degradation characteristics and fracture mechanisms of sandstone under different pulsed water pressures through laboratory experiments and numerical simulations, and obtained corresponding tensile-strength degradation curves. Zhao H. et al. [21] showed experimentally that fracture length, width, and deformation morphology are significantly affected by injection rate, fracturing-fluid viscosity, in situ stress difference, and rock heterogeneity. Chen et al. [22] concluded that in situ stress difference, layer thickness, and interfacial bonding are the primary controlling factors for fracture propagation in deep multilayer coal-measure reservoirs. Ma et al. [23] further confirmed through true triaxial experiments that multilithologic interfaces generally inhibit fracture height growth, and that full penetration occurs only at locally weak positions.
Although substantial progress has been made, existing studies mainly focus on single-factor effects or simplified geological models. Systematic experimental investigations on fracture propagation behavior in multilayer coal-measure reservoirs under true triaxial conditions remain limited. In particular, comparative studies simultaneously considering coal seam thickness, interlayer thickness, injection rate, and fracturing-fluid viscosity are still insufficient. As a result, the coupled influence of structural constraints and fluid-driven conditions on fracture initiation, vertical propagation, interlayer penetration, and spatial connectivity has not yet been fully clarified.
To address these limitations, the present study focuses on multilayer coal-measure reservoirs and constructs composite specimens with a typical coal–mudstone–sandstone assemblage, which better represents the stratified structural characteristics of actual coal-measure formations than single-lithology models. Large-scale true triaxial physical simulation tests were performed on 200 × 200 × 200 mm specimens to systematically evaluate the effects of four key parameters, namely coal seam thickness, interlayer thickness, injection rate, and fracturing-fluid viscosity, on fracture propagation behavior under consistent stress boundary conditions. In addition, pump-pressure response, fracture distribution mapping, and three-dimensional reconstruction were integrated to analyze fracture initiation, vertical propagation, interlayer penetration, and spatial connectivity. The results provide an experimental basis for understanding fracture propagation characteristics in multilayer coal-measure reservoirs and offer useful support for field hydraulic-fracturing parameter optimization.

2. Experimental Preparation and Scheme Design

2.1. Test Objectives

This study considers four key parameters, namely coal seam thickness, interlayer thickness, injection rate, and fracturing-fluid viscosity, and systematically examines their influences on fracture propagation behavior in multilayer superposed coal-measure reservoirs. The experimental design was primarily intended to identify the individual effects of these factors, as well as their influences on pump pressure response and fracture geometry. By comparing the cross-layer fracture propagation characteristics and spatial evolution patterns under different parameter conditions, this study clarifies how structural constraints and dynamic driving factors govern pump-pressure response and fracture geometry, thereby providing an experimental basis for field fracturing-parameter optimization and efficient reservoir stimulation.
In this work, a stress-structure similarity criterion was first used to characterize the experimental boundary conditions, expressed by the principal stress ratios
λ H = σ H σ υ
λ h = σ h σ υ
and the stress-difference coefficient
k Δ σ = ( σ υ σ H ) ( σ υ σ h )
Under the fixed true triaxial stress condition of 30/26/21 MPa,
λ H = 0.867 , λ h = 0.700 , k Δ σ = 0.43
These formulas indicate that all tests were conducted under a stable and comparable representative stress framework with σ υ > σ H > σ h . In addition, to describe the effects of injection rate and fluid viscosity, a simplified dimensionless injection–geometry parameter and a fluid-driving parameter were introduced, as follows:
I Q = Q L 3
I μ = μ σ υ
where Q is the injection rate, L is the characteristic specimen size (200 mm in this study), and μ is the fracturing-fluid viscosity. This parameter system provides a dimensionless basis for comparing the relative variations in fracture propagation behavior under different injection-rate and viscosity conditions while maintaining the same geometric scale and stress boundary.
Accordingly, the present similarity and dimensionless analysis is intended to demonstrate the relative applicability of the laboratory results under a representative stress structure and consistent boundary conditions. The main purpose of this work remains mechanism identification and trend comparison of fracture propagation behavior in multilayer coal-measure reservoirs.
In this study, the term “coupling” mainly refers to the quantitative correspondence between pressure response and fracture geometry. A control-variable approach was adopted to separately investigate the effects of coal seam thickness, interlayer thickness, injection rate, and fracturing-fluid viscosity on fracture propagation behavior. Therefore, the experimental design does not constitute a full-factorial interaction test, and no strict statistical separation of the interaction terms between structural factors and dynamic factors was performed. The quantitative evaluation of the so-called coupling mechanism is primarily based on the correspondence analysis between pump-pressure response parameters and fracture-geometry response parameters. The former include fracturing pressure and platform pressure, whereas the latter include interlayer penetration behavior, fracture height growth characteristics, extension scale, and spatial connectivity. By comparing the coordinated variations of these indicators under different parameter conditions, the integrated control effects of structural constraints and dynamic driving factors on fracture propagation behavior can be identified.

2.2. Test Equipment

A large-scale true triaxial hydraulic fracturing physical simulation system was used in this study, with the coal seam selected as the target layer. The system consists of a fluid-injection module, a triaxial stress-loading module, a data-monitoring module, and a fracture-observation module. It can accurately apply true triaxial stresses (σvHh) to simulate reservoir stress conditions, precisely control the injection rate and fracturing-fluid properties, and record pump-pressure curves and stress variations in real time. After the experiment, the geometric characteristics of the fractures were analyzed based on fracture distribution mapping and three-dimensional reconstruction. The system is characterized by stable loading performance, high data-acquisition precision, and the ability to effectively reproduce reservoir stress conditions and hydraulic-fracturing processes. Figure 1 shows a schematic diagram of the lithologic composition of the experimental specimen.

2.3. Sample Preparation

Representative rock samples from the coal-measure strata, including coal, mudstone, and sandstone, were selected for laboratory testing. Conventional rock mechanical tests and Brazilian splitting tests were first conducted to determine the basic mechanical properties of each lithology. Under unconfined conditions, three parallel tests were performed for each rock type to improve the reliability of the results and reduce experimental error, and the average values were taken to represent the corresponding mechanical properties. The results are shown in Table 1.
Typical rock samples were processed into standard cubic samples measuring 200 × 200 × 200 mm. Multi-layer superimposed composite samples were created by bonding these materials with rebar planting adhesive. The lithological combinations encompassed three core types: (1) mudstone–coal–mudstone (three-layer combination); (2) sandstone–mudstone–coal–mudstone (four-layer combination); and (3) mudstone–coal–mudstone–sandstone (four-layer combination). The sample preparation and processing flow is illustrated in Figure 2. To facilitate accurate analysis of the target parameters, the control variable method was employed in the sample design, resulting in four groups: coal seam thickness group, interlayer thickness group, injection rate group, and fracturing fluid viscosity group. It should be noted that each parameter group contained three parallel specimens. Although the sample size is limited by the difficulty of field sampling, the complexity of multilayer composite-specimen preparation, and the cost of large-scale true triaxial hydraulic fracturing tests, the control-variable design and consistent testing conditions ensure the basic comparability of the results. Basic parameters, such as the three-directional stress (30/26/21 MPa) and the vertical stress difference coefficient (0.43), were fixed, while only the single target parameters were varied. The coal seam thickness was set at 60 mm, 90 mm, and 130 mm; the interlayer thickness was established at 40 mm, 50 mm, and 60 mm; the injection rate was adjusted to 20 mL·min−1, 25 mL·min−1, and 30 mL·min−1; and the viscosity of the fracturing fluid was set at 3 mPa·s, 9 mPa·s, and 24 mPa·s. The type of fracturing fluid consistently employed was the slickwater system. The main focus of this study was to maintain a consistent fracturing-fluid system while adjusting the fluid viscosity to 3, 9, and 24 mPa·s, in order to compare the effects of different viscosity conditions on fracture initiation, propagation path, and spatial morphology evolution. Therefore, the key parameter used to characterize the fracturing-fluid properties in this work was viscosity, while all other experimental conditions were kept unchanged to ensure comparability among different test conditions.
For the interfacial strength test, rock samples were collected from the field interlayer interfaces, and the corresponding mechanical parameters were measured. The results of the triaxial compression tests are shown in Table 2. In the Linxing block, the compressive strengths of the unbonded and anchoring-adhesive-bonded specimens were 155.856 MPa and 159.761 MPa, respectively, with a difference of approximately 2.5%. These results indicate that, under the same confining pressure (30 MPa), the use of anchoring adhesive did not significantly alter the peak strength level.
The tensile strength test results for the interlayer interface are shown in Table 3. The average tensile strength of the unbonded specimens was 2.28 MPa, indicating that, under natural interfacial conditions, the tensile-bearing capacity was strongly affected by structural heterogeneity. The average tensile strength of the anchoring-adhesive-bonded specimens was 2.20 MPa, which is essentially consistent with that of the unbonded specimens (2.28 MPa), with a difference of only 0.08 MPa (approximately 3.5%). From a numerical perspective, the anchoring adhesive did not significantly increase or decrease the overall tensile strength level, although some dispersion still existed, suggesting that local interfacial regions may have been strengthened after bonding.
In terms of tensile performance, the average tensile strength after bonding with anchoring adhesive remained basically consistent with that under the natural condition, and the overall strength level was maintained without systematic enhancement or weakening. Therefore, from the perspective of tensile strength, the use of anchoring adhesive for interfacial bonding is considered mechanically feasible.
The shear strength test results for the interlayer interface are shown in Table 4. The average failure load of the unbonded specimens was 32.38 kN, whereas that of the anchoring-adhesive-bonded specimens was 29.49 kN. The difference between the two average values was approximately 2.89 kN (about 9%), indicating that both groups remained within the same order of magnitude overall, although the bonded group showed a slightly lower average value. At the same time, a certain degree of dispersion was observed in both groups, suggesting that local bonding may enhance the interfacial load-bearing capacity.
After bonding with anchoring adhesive, the shear-bearing capacity remained close to that under the natural condition, without significant increase or obvious reduction, and the overall mechanical strength level was essentially maintained. Therefore, from the perspective of shear-bearing capacity, the use of anchoring adhesive for interfacial bonding is considered mechanically feasible.

2.4. Test Procedure

The composite specimen was placed into the true triaxial testing system, where the preset three-dimensional stresses were applied and maintained for 30 min. The injection system and data acquisition devices were then connected, and after sealing integrity was confirmed, fracturing fluid with the specified viscosity was injected at the designed flow rate. During the test, the pump pressure curve and stress variations were recorded in real time. After the experiment, the specimen was disassembled, and the fracture morphologies on all exposed surfaces were observed and mapped to obtain fracture distribution patterns. Based on the spatial correspondence of fractures on different observation surfaces, the propagation paths of hydraulic fractures and natural fractures were identified, and the three-dimensional fracture structure was reconstructed to characterize fracture height, extension scale, and spatial connectivity. The three-dimensional reconstruction in this study was based on post-fracturing specimen disassembly and macroscopic fracture identification, and thus belongs to a geometric reconstruction method based on spatial positional relationships. Since no digital volumetric imaging technique, such as CT scanning, was employed, no separate instrumental resolution parameter was provided. The uncertainty of the reconstruction mainly arises from fracture trace identification, discrimination between fracture types, and spatial matching errors during the reconstruction process. Therefore, the reconstructed results were mainly used for comparative analysis of fracture morphology, interlayer propagation ability, and connectivity characteristics under different conditions, rather than for high-precision absolute geometric measurements. The entire test procedure is illustrated in Figure 3.
Pressure and flow-rate data were recorded and controlled in real time by the true triaxial hydraulic fracturing simulation system. Pump pressure was monitored using a CY206 high-precision pulsating pressure sensor with an accuracy of 0.1%FS. With the full-scale range set to 80 MPa, the corresponding pressure measurement error was ±0.08 MPa, while the constant-pressure control error was 0.1 MPa. The flow rate was set and controlled by a UPUMP-100D dual-cylinder constant-speed/constant-pressure plunger pump. The pump had a flow-control range of 0.01–30 mL/min and a constant-flow accuracy of ±0.3%F.S. Based on the full-scale range of 30 mL/min, the corresponding flow-rate control error was ±0.09 mL/min. In addition, the system flow-display precision was 0.01 mL.
To characterize the dispersion and reliability of the test results, error statistical analysis was performed on the parallel experimental data in this study. The results for the parallel specimens involved in the rock mechanical tests, interfacial mechanical tests, and true triaxial hydraulic fracturing tests are expressed as mean values, and the corresponding data dispersion is represented by the standard deviation. Since the main purpose of this study is to analyze the relative differences in fracture propagation behavior under different conditions, all experiments were conducted using the same apparatus, the same monitoring procedure, and consistent boundary conditions, thereby ensuring the comparability of the results among different groups. The pressure and flow-rate data were recorded in real time by the true triaxial hydraulic fracturing simulation system.
In this study, fracturing pressure is defined as the peak pressure corresponding to the first obvious abrupt change in the pump-pressure curve during the fracture-initiation stage, usually appearing as the initial sharp peak or turning point after the rapid pressure rise. Its physical meaning is the critical pressure required for the rock mass to overcome the local minimum principal stress constraint and material strength, thereby forming the initial hydraulic fracture. Platform pressure is defined as the pressure level corresponding to the relatively stable stage of the pump-pressure curve after the initial fracture has formed and fluid injection continues. It is generally manifested as the stable segment or slowly fluctuating stage of the curve, and its physical meaning is the relatively stable driving pressure required to maintain continued fracture propagation. The characteristics of the pump-pressure curve are described by the fracturing pressure and platform pressure, which are further used to characterize the propagation behavior of hydraulic fractures.

3. Experimental Results and Analysis

3.1. The Influence of Coal Seam Thickness on Fracture Propagation

True triaxial hydraulic fracturing physical simulation tests were carried out under constant three-directional stress, injection rate, and fracturing-fluid viscosity to investigate the effect of coal seam thickness on pump-pressure response and fracture spatial propagation behavior. Three coal seam thicknesses, namely 60, 90, and 130 mm, were tested in Table 5. The corresponding pump-pressure curves are shown in Figure 4, and the key pressure parameters are summarized in Table 6.
As shown in Figure 4, when the coal seam thickness is 60 mm (1–4), the fracturing pressure reaches 15–16 MPa, and the platform pressure remains within 8–10 MPa during the propagation stage. The more pronounced oscillations in the pump-pressure curve indicate frequent communication between hydraulic fractures and natural fractures, resulting in the redistribution of fracturing fluid among multiple fracture paths. When the coal seam thickness increases to 90 mm (1–8), the fracturing pressure decreases to approximately 12 MPa, whereas the platform pressure increases to 10–12 MPa. At the same time, the overall curve becomes more stable, and the amplitude of pressure fluctuations is reduced, indicating that fracture propagation becomes more concentrated and that the net pressure at the fracture tip can be maintained more steadily.
When the coal seam thickness further increases to 130 mm (1–10), the fracturing pressure decreases to 4.5–4.8 MPa, and the platform pressure drops to only 4–5 MPa. In addition, the pressure decays rapidly after pump shut-down. This behavior can be attributed to the fact that the thicker coal seam provides a larger in-seam propagation space for hydraulic fractures. As a result, the fracturing fluid is distributed along a longer fracture-flow path and diffuses more easily into the natural fracture system, which enhances pressure attenuation along the flow path. Consequently, it becomes difficult to maintain and concentrate the net pressure at the fracture tip, leading to a significant reduction in the overall pump-pressure level. Overall, the pump-pressure curve indicates that the platform pressure first increases and then decreases with increasing coal seam thickness, and the curve pattern changes from a relatively stable response under the medium-thickness condition to a low-platform characteristic under the thick coal seam condition.
The fracture distribution results are shown in Figure 5, where red represents hydraulic fractures and blue represents natural fractures. When the coal seam thickness is 60 mm (Figure 5a), multiple hydraulic-fracture branches develop within the coal seam and frequently intersect with natural fractures, resulting in a complex spatial structure. At the same time, a certain degree of vertical propagation can also be observed, indicating that under the relatively thin coal-seam condition, the fractures have the ability to extend into the upper and lower mudstone layers. When the coal seam thickness increases to 90 mm (Figure 5b), the fracture propagation pattern becomes more concentrated. The hydraulic fractures continue to extend along the main propagation direction, while the interaction with natural fractures becomes weaker, and the overall propagation range increases. When the coal seam thickness further increases to 130 mm (Figure 5c), the fractures are mainly confined within the coal seam, and their ability to extend into the upper and lower mudstone layers is reduced. Overall, with increasing coal seam thickness, the fracture morphology gradually evolves from a complex structure characterized by multiple interwoven branches and a certain degree of vertical propagation into an in-seam confined propagation mode.
The relationship between the pump-pressure curve and fracture spatial structure can be clarified by combining the pump-pressure response with the fracture distribution maps and three-dimensional reconstruction results. When the coal seam thickness is 60 mm (1–4), the pressure oscillations during the propagation stage correspond to the frequent intersections between hydraulic fractures and natural fractures. Once new natural fractures are activated, the fracturing fluid immediately enters the newly formed fracture space, increasing the equivalent volume of the fracture system and causing a temporary drop in pump pressure. As fluid injection continues and the fractures are gradually refilled, pressure is re-accumulated, thereby producing periodic fluctuations in the curve.
When the coal seam thickness increases to 90 mm (1–8), the fracture propagation paths become more concentrated, resulting in a gentler increase in fracture volume and a more stable maintenance of net pressure at the fracture tip. Accordingly, the platform pressure increases, and the pump-pressure curve during the propagation stage becomes more stable. When the coal seam thickness further increases to 130 mm (1–10), fracture propagation becomes increasingly confined within the coal seam. The fracturing fluid is then distributed along a longer fracture-flow path and diffuses more easily into the natural fracture system, which enhances pressure attenuation along the flow path. Under this condition, it becomes difficult to maintain a continuous and concentrated net pressure at the fracture tip, leading to a significant reduction in platform pressure. As the coal seam thickness increases from 60 mm to 130 mm, both the fracture-volume growth pattern and the fracturing-fluid distribution path change accordingly, which in turn alters the interaction between hydraulic fractures and natural fractures. This process is ultimately reflected in the synchronous evolution of pump-pressure response and fracture spatial morphology.

3.2. The Influence of Interlayer Thickness on Crack Propagation

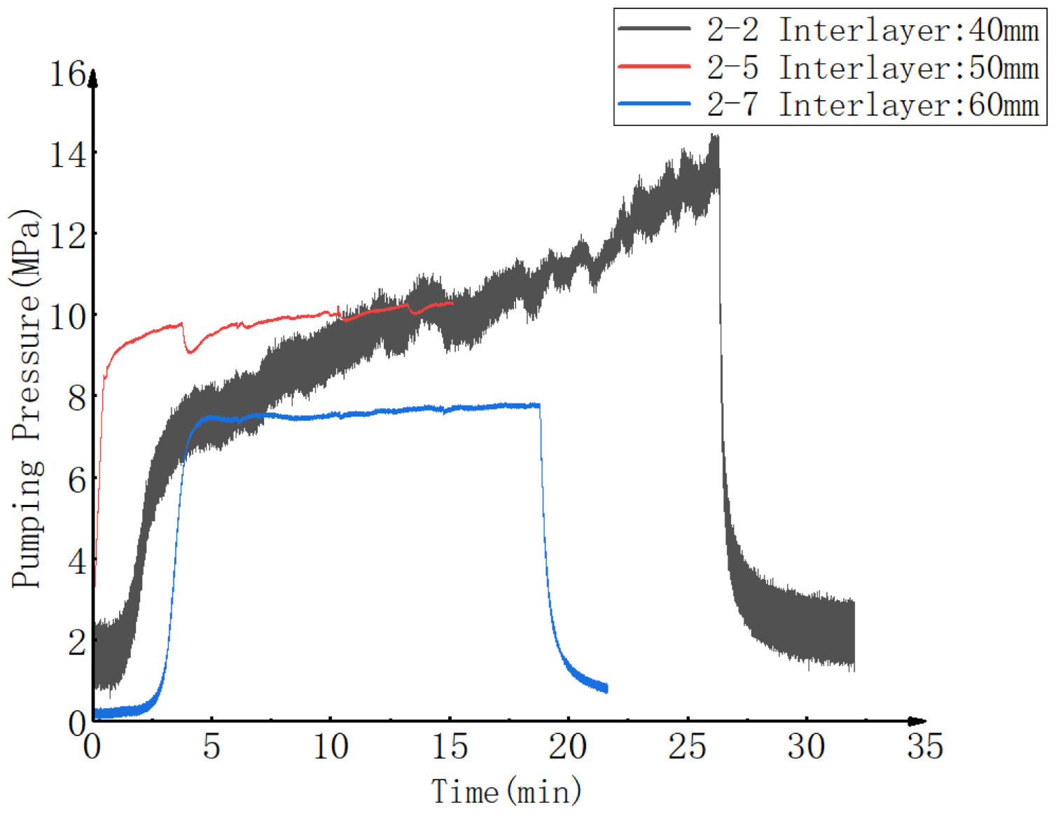
True triaxial hydraulic fracturing physical simulation tests were carried out by varying the thickness of the mudstone interlayer between the sandstone layer and the coal seam (40, 50, and 60 mm), while keeping the three-directional stress, injection rate, and fracturing-fluid viscosity constant. The specimen-parameter settings are listed in Table 7, the corresponding pump-pressure curves are shown in Figure 6, and the key pressure parameters are summarized in Table 8.
As shown in Figure 6, when the interlayer thickness increases from 40 to 60 mm, the platform pressure exhibits a non-monotonic variation with interlayer thickness. When the interlayer thickness is 40 mm (2-2), the fracturing pressure is approximately 8 MPa, and no stable pressure plateau is formed during the propagation stage. Instead, the pressure continues to rise with time and reaches about 14–15 MPa before pump shut-down. Under this condition, the hydraulic fractures are able to penetrate the interlayer and increase fracture height, while the newly created fracture volume is continuously filled with fracturing fluid. Under a constant injection rate, the driving pressure required to sustain fracture propagation increases as the fracture surface area expands, resulting in a continuous rise in pump pressure.
When the interlayer thickness increases to 50 mm (2–5), the fracturing pressure is approximately 9–10 MPa, and the platform pressure remains within 9–10 MPa, with pump shut-down occurring at about 15–16 min. Under this condition, the interlayer imposes a stronger constraint on fracture penetration, fracture-height growth becomes slower, and the net pressure at the fracture tip can be maintained at a relatively stable level. Accordingly, the pump-pressure curve exhibits a plateau-type response.
When the interlayer thickness further increases to 60 mm (2–7), the fracturing pressure decreases to about 7–8 MPa, and the platform pressure also declines to 7–8 MPa. Under the thicker interlayer condition, fracture propagation is mainly confined within the coal seam, and fracture-height growth is effectively restricted. At the same time, the fracturing fluid is distributed along a longer fracture-flow path, which enhances pressure attenuation along the flow path and reduces the net pressure at the fracture tip. As a result, the overall pump-pressure level decreases accordingly.
The fracture distribution maps and three-dimensional reconstruction results are shown in Figure 7, where red represents hydraulic fractures and blue represents natural fractures. Under the 40 mm interlayer condition (Figure 7a), hydraulic fractures are more likely to penetrate the interlayer and form a relatively clear cross-layer propagation structure. When the interlayer thickness increases to 50 mm (Figure 7b), the vertical growth of hydraulic fractures is restricted, and fracture propagation mainly occurs within the coal seam, with only limited local extension into the interlayer. Under the 60 mm condition (Figure 7c), fracture propagation is mainly confined within the coal seam, and the cross-layer connectivity is significantly weakened. Overall, as the interlayer thickness increases, the fracture morphology gradually changes from cross-layer propagation to an in-seam confined propagation structure, accompanied by a simultaneous reduction in fracture height and connectivity.
As indicated by the pump-pressure curves, fracture distribution maps, and three-dimensional reconstruction models, interlayer thickness exerts significant control over the fracture propagation path and spatial distribution. With increasing interlayer thickness, the fracture propagation mode gradually changes from interlayer penetration with vertical growth to in-seam propagation confined within the coal seam. When the interlayer is relatively thin (40 mm), the fractures are able to penetrate the interlayer and form a cross-layer connected structure. The continuous increase in fracture volume during propagation leads to a progressive rise in pump pressure during the extension stage. In contrast, when the interlayer thickness increases to 60 mm, vertical fracture growth is restrained, and the fractures mainly propagate along the coal seam. As a result, the spatial distribution becomes more limited, and the pump pressure gradually shows a stable or even decreasing trend. These results indicate that interlayer thickness mainly affects the pump-pressure response by controlling the fracture height growth capacity and interlayer penetration behavior.

3.3. The Influence of Injection Rate on Crack Propagation

True triaxial hydraulic fracturing physical simulation tests were carried out under constant conditions of lithologic composition (sandstone layer–mudstone interlayer–coal seam–mudstone layer), layer thickness (60–40–40–60 mm), three-directional stress, and fracturing-fluid viscosity. The only variable was the injection rate (20, 25, and 30 mL min−1). The experimental parameter settings are listed in Table 9, the corresponding pump-pressure curves are shown in Figure 8, and the key pressure parameters under different injection-rate conditions are summarized in Table 10.
As shown in Figure 8, when the injection rate is 20 mL min−1 (2–2), the fracturing pressure is approximately 7–8 MPa. During the propagation stage, the pressure then gradually rises to about 14–15 MPa before pump shut-down, without forming a distinct high-pressure plateau. Under the low-rate condition, the amount of fracturing fluid entering the fracture system per unit time is limited. As a result, the increase in fracture volume and the fluid-filling process restrict each other, and the net pressure is established relatively slowly. Accordingly, the pump-pressure curve exhibits a progressive rising trend.
When the injection rate increases to 25 mL min−1 (2–3), the fracturing pressure rises significantly to 18–20 MPa, and the platform pressure remains within 16–18 MPa during the propagation stage. The higher fluid-supply rate facilitates the rapid establishment of a relatively high net pressure at the fracture tip, resulting in a stable high-pressure plateau in the curve.
When the injection rate is further increased to 30 mL min−1 (2–4), the fracturing pressure reaches approximately 18–19 MPa, while the platform pressure increases to 20–22 MPa. The higher injection rate enhances pressure concentration at the fracture tip and generates a relatively high driving pressure before the fracture volume expands significantly, thereby maintaining a higher platform-pressure level. Overall, as the injection rate increases from 20 to 30 mL min−1, the platform pressure increases correspondingly, and the pump-pressure curve gradually changes from a progressive rising response to a high-platform response.
The fracture distribution maps and three-dimensional reconstruction results are shown in Figure 9, where hydraulic fractures are marked in red and natural fractures are marked in blue. Clear differences in fracture number, branching characteristics, and spatial complexity can be observed under different injection-rate conditions. When the injection rate is 20 mL min−1 (Figure 9a), the fractures mainly initiate and propagate within the coal seam, with limited fracture height and propagation capacity, resulting in a relatively simple spatial morphology. When the injection rate increases to 25 mL min−1 (Figure 9b), the fracture propagation range expands, and localized cross-layer propagation occurs. At the same time, the interaction between hydraulic fractures and natural fractures becomes stronger, and the complexity of the fracture network increases significantly. When the injection rate is further increased to 30 mL min−1 (Figure 9c), fracture propagation becomes more extensive, with distinct multidirectional propagation characteristics, and the spatial complexity of the fracture network is further enhanced. Overall, as the injection rate increases, the fracture morphology gradually evolves from a relatively simple propagation pattern to a multichannel, multidirectional propagation structure, accompanied by a simultaneous increase in fracture spatial extent and connectivity.
A consistent relationship can be observed between the platform pressure and fracture propagation behavior. The injection rate determines the supply rate of fracturing fluid per unit time and therefore directly affects the establishment and maintenance of net pressure at the fracture tip. As the injection rate increases, the driving energy available for fracture propagation also increases, thereby enhancing both the fracture propagation capacity and the spatial complexity of the fracture system. In this sense, the pump-pressure response and fracture spatial structure show a synchronous strengthening trend.
At the low injection rate of 20 mL min−1, it is difficult to maintain a high net pressure at the fracture tip, and the pump-pressure curve therefore exhibits a progressive rising pattern, corresponding to a relatively simple fracture morphology with limited propagation capacity. When the injection rate increases to 25 mL min−1, the net pressure at the fracture tip can be accumulated more effectively, which promotes fracture branching and re-propagation, thereby increasing fracture height and propagation range. When the injection rate is further increased to 30 mL min−1, the fracture system receives a stronger and more continuous hydraulic drive, resulting in more extensive multidirectional fracture propagation. The maximum platform pressure corresponds to this enhanced multidirectional fracture propagation and improved fracture connectivity.

3.4. The Influence of Fracturing Fluid Viscosity on Fracture Propagation

True triaxial hydraulic fracturing physical simulation tests were carried out by varying only the fracturing-fluid viscosity, while keeping the lithologic combination (mudstone layer–coal seam–mudstone interlayer–sandstone layer, 60–40–40–60 mm), three-directional stress, and injection rate constant. The experimental parameter settings are listed in Table 11, the corresponding pump-pressure curves are shown in Figure 10, and the key pressure parameters under different viscosity conditions are summarized in Table 12.
As shown in Figure 10, when the fracturing-fluid viscosity is 3 mPa·s (3–1), the fracturing pressure is approximately 4 MPa, and the pressure remains at 3–4 MPa during the propagation stage, resulting in the lowest overall pump-pressure level, with no obvious pressure plateau. Under the low-viscosity condition, the fracturing fluid can more easily penetrate into the coal seam and interfacial fracture system and diffuse along natural fractures and bedding planes. As a result, the net pressure within the fracture decays significantly, making it difficult to maintain a stable driving pressure at the fracture tip and thereby limiting the platform-pressure level.
When the fracturing-fluid viscosity increases to 9 mPa·s (3–2), the fracturing pressure rises to 6–7 MPa, and the pressure during the propagation stage stabilizes at 7–7.5 MPa. The increased viscosity reduces fluid seepage and leak-off into the natural fracture system, allowing more fracturing fluid to be retained within the fracture channels and slowing pressure attenuation along the fracture-flow path. Under this condition, the net pressure can be maintained more effectively at the fracture tip, resulting in a significant increase in platform pressure.
When the fracturing-fluid viscosity is further increased to 24 mPa·s (3–3), the fracturing pressure is approximately 8 MPa, and the platform pressure rises to 9–11 MPa. Under the high-viscosity condition, the pressure-decay rate within the fracture is reduced, enabling the fracture tip to maintain a higher effective net pressure. At the same time, the diffusion of fracturing fluid into natural fractures is suppressed, so pressure is more concentrated at the fracture tip, which further promotes fracture propagation. Consequently, the platform-pressure level is significantly higher than that under the low-viscosity condition. Overall, as the fracturing-fluid viscosity increases from 3 to 24 mPa·s, the pump-pressure curve shifts upward as a whole, the fracturing pressure increases, and the pressure response gradually changes from a low-level, weak-maintenance state to a high-level, stable-maintenance state.
The fracture distribution maps and three-dimensional reconstruction results are shown in Figure 11, where the red fractures represent hydraulic fractures and the blue fractures represent natural fractures. When the fracturing-fluid viscosity is 3 mPa·s (Figure 11a), the fracture spatial structure exhibits a dispersed propagation pattern with relatively limited fracture extension. When the viscosity increases to 9 mPa·s (Figure 11b), the fracture propagation range expands, fracture-surface continuity improves, and the spatial morphology becomes more concentrated. When the viscosity further increases to 24 mPa·s (Figure 11c), both the fracture height and fracture length increase further, and the propagation path becomes more distinct. Under this condition, natural fractures mainly act as local communication channels. Overall, as the fracturing-fluid viscosity increases, the fracture morphology gradually changes from a dispersed and branched pattern to a more concentrated and extended propagation structure.
The fracture spatial structure and pump-pressure response show clear differences with changes in fracturing-fluid viscosity. As the viscosity increases, the fluid leak-off capacity decreases and the pressure-transmission efficiency within the fracture improves, which is favorable for maintaining an effective driving pressure at the fracture tip. As a result, fractures are more likely to propagate forward in a stable manner, and the fracture morphology becomes more concentrated. In contrast, under low-viscosity conditions, the fracturing fluid is more prone to leak-off, leading to stronger pressure attenuation along the flow path. Under such conditions, it is difficult to maintain a stable net pressure during fracture propagation, and the fracture morphology tends to become more dispersed. These results indicate that fracturing-fluid viscosity mainly controls fracture propagation stability and pump-pressure level by influencing fluid leak-off behavior and pressure-transmission efficiency.

4. Conclusions

(1)
Coal seam thickness significantly affects the fracture propagation path. When the coal seam thickness does not exceed 90 mm, the available in-seam propagation space is relatively limited, which facilitates the accumulation of net pressure at the fracture tip. Under this condition, hydraulic fractures are more likely to extend into the upper and lower mudstone layers. In contrast, when the coal seam thickness exceeds 90 mm, the increase in fracture volume mainly occurs within the coal seam, resulting in a more confined propagation path and a marked reduction in cross-layer propagation capacity.
(2)
Interlayer thickness directly controls the formation of effective cross-layer fracture connectivity. When the mudstone interlayer thickness is 40 mm, hydraulic fractures are still able to penetrate the interlayer. However, as the interlayer thickness increases, fracture-height growth becomes increasingly restricted, and fracture propagation gradually becomes confined within the coal seam. As a result, the possibility of cross-layer connectivity is significantly reduced. Therefore, interlayer thickness regulates the cross-layer propagation behavior of hydraulic fractures by controlling fracture-height growth.
(3)
Injection rate mainly controls the intensity of fracture propagation and the extent of fracture spatial development. When the injection rate increases from 20 mL min−1 to 30 mL min−1, the overall platform pressure rises correspondingly, accompanied by an increase in both fracture propagation scale and connectivity. Under medium- to high-rate conditions, the net pressure at the fracture tip can be maintained more effectively, which promotes the development of a relatively complete fracture network. In contrast, when the injection rate is too low, the available driving energy becomes insufficient, thereby limiting fracture propagation.
(4)
Fracturing-fluid viscosity affects both the fluid-distribution pattern and the pressure-maintenance capacity within the fracture system. As the fracturing-fluid viscosity increases from 3 mPa·s to 24 mPa·s, both the fracturing pressure and the platform pressure increase correspondingly, and the fracture morphology gradually changes from a dispersed propagation pattern to a more concentrated and extended structure. The high-viscosity fluid system reduces fluid leak-off and facilitates the maintenance of net pressure at the fracture tip, thereby enhancing fracture propagation efficiency and stimulation effectiveness.

Author Contributions

Supervision, B.W., B.Z., L.L., P.W. and H.H.; project administration, B.W., B.Z., L.L., P.W. and H.H.; validation, J.W. and D.L.; data curation, J.W. and D.L.; writing—original draft, J.W. and D.L.; writing—review and editing, P.W. and H.H.; funding acquisition, P.W. and H.H. All authors have read and agreed to the published version of the manuscript.

Funding

(1) In 2023: National Natural Science Foundation of China, research on prediction method using multi-scale fusion of damage and instability for wellbore rock based on machine learning (No. 52274007); (2) in 2020, National Natural Science Foundation of China, comprehensive analysis and calculation simulation of wellbore instability based on disturbance state theory, (No. 51974255); (3) in 2022, supported by the scientific research program of Shaanxi Provincial Education Department, the research on crack propagation mechanism of surrounding rock of shaft lining based on near-field dynamics, (No. 22JS028); (4) in 2022, the Science Fund for Distinguished Young Scholars, based on the CFD-EDM coupling method, study of the migration mechanism of shale oil reservoir volume fracturing proppant (No. 022JC-37).

Data Availability Statement

The original contributions presented in this study are included in the article. Further inquiries can be directed to the corresponding author.

Acknowledgments

The experiments in this research program were supported by the Key Laboratory of Well Stability and Fluid and Rock Mechanics in Oil and Gas Reservoirs of Shaanxi Province. The original contributions presented in this study are included in the article; further inquiries can be directed to the corresponding author.

Conflicts of Interest

Authors Bo Wang, Bing Zhang and Liming Lin were employed by the China United Coalbed Methane Co., Ltd. The remaining authors declare that the research was conducted in the absence of any commercial or financial relationships that could be construed as potential conflicts of interest.

References

  1. Jiang, Y. Study on Hydraulic Fracture Propagation Law in Coal-Measure Strata and the Influence Mechanism of Interfaces. Ph.D. Thesis, Taiyuan University of Technology, Taiyuan, China, 2020. [Google Scholar] [CrossRef]
  2. Gai, S.; Nie, Z.; Yi, X.; Zou, Y.; Zhang, Z. Study on the interference law of staged fracturing crack propagation in horizontal wells of tight reservoirs. ACS Omega 2020, 5, 10327–10338. [Google Scholar] [CrossRef] [PubMed]
  3. Mou, P.; Pan, J.; Wang, K.; Wei, J.; Yang, Y.; Wang, X. Influences of hydraulic fracturing on microfractures of high-rank coal under different in-situ stress conditions. Fuel 2020, 287, 119566. [Google Scholar] [CrossRef]
  4. Schwartzkopff, A.K.; Melkoumian, N.S.; Xu, C. Breakdown pressure and propagation surface of a hydraulically pressurized circular notch within a rock material. Rock Mech. Rock Eng. 2021, 54, 191–218. [Google Scholar] [CrossRef]
  5. Yang, Z.; Zhang, D.; Yi, L.; Li, X.; Liu, Y. Vertical propagation model and numerical simulation of hydraulic fractures in multilayer superposed coal seams. J. China Coal Soc. 2021, 46, 3268–3277. [Google Scholar] [CrossRef]
  6. Shi, C.; Lin, B. Study on fracture propagation laws and influencing factors in shale reservoirs. Pet. Sci. Bull. 2021, 6, 92–113. [Google Scholar]
  7. Fu, S.; Chen, M.; Xia, Y.; Tang, P.; Zhang, Y.; Li, Y. Cross-layer propagation law of hydraulic fractures in coal-measure shale reservoirs. Fault-Block Oil Gas Field 2021, 28, 555–560. [Google Scholar]
  8. Fu, S. Study on Cross-Layer Propagation Model and Application of Hydraulic Fractures in Coal-Measure Shale Reservoirs. Master’s Thesis, China University of Petroleum (Beijing), Beijing, China, 2021. [Google Scholar] [CrossRef]
  9. Fu, S.; Hou, B.; Xia, Y.; Chen, M.; Tang, P.; Luo, R. Experimental study on fracture propagation in integrated fracturing of multilithologic layered reservoirs. J. China Coal Soc. 2021, 46, 377–384. [Google Scholar] [CrossRef]
  10. Wang, S.; Jin, Y.; Tan, P.; Xia, Y. Experimental study on hydraulic fracture propagation in coal-measure shale reservoirs for multi-gas co-production. Chin. J. Geotech. Eng. 2022, 44, 2290–2296. [Google Scholar]
  11. Yang, Y.; Li, X.; Wang, Z.; Ju, Y. Influence of perforation parameters on hydraulic fracture propagation in heterogeneous sandstone. China Civ. Eng. J. 2022, 55, 1–9. [Google Scholar]
  12. Zou, Y.; Gao, B.; Zhang, S.; Ma, X.; Sun, Z.; Wang, F.; Liu, C. Multi-fracture nonuniform initiation and vertical propagation behavior in thin interbedded tight sandstone: An experimental study. J. Pet. Sci. Eng. 2022, 213, 110417. [Google Scholar] [CrossRef]
  13. Tian, F.; Jin, Y.; Jin, F.; Ma, X.; Shi, L.; Zhang, J.; Qiu, D.; Zhang, Z. Multi-fracture synchronous propagation mechanism of multi-clustered fracturing in interlayered tight sandstone reservoir. Sustainability 2022, 14, 8768. [Google Scholar] [CrossRef]
  14. Li, Z.; Wang, S.; Li, L.; Zhang, J. Numerical investigation on interference of multiple hydraulic fractures in layered formation. Front. Earth Sci. 2022, 10, 865155. [Google Scholar] [CrossRef]
  15. Suo, Y.; Su, X.; Wang, Z.; He, W.; Fu, X.; Feng, F.; Pan, Z.; Xie, K.; Wang, G. A study of inter-stratum propagation of hydraulic fracture of sandstone-shale interbedded shale oil. Eng. Fract. Mech. 2022, 275, 108858. [Google Scholar] [CrossRef]
  16. Yang, L.; Sheng, X.; Zhang, B.; Yu, H.; Wang, X.; Wang, P.; Mei, J. Propagation behavior of hydraulic fractures in shale under triaxial compression considering the influence of sandstone layers. Gas Sci. Eng. 2023, 110, 204895. [Google Scholar] [CrossRef]
  17. Zhang, J.; Wu, L.; Shi, W.; Zhang, C.; Son, J.; Wang, Y. Well-test analysis method for non-uniform fracture conductivity in staged fractured wells of multilayer tight oil and gas reservoirs. China Pet. Explor. 2023, 28, 145–157. [Google Scholar]
  18. Li, W.; Xiao, H.; Liang, W.; Liao, T.; Wang, Z.; Chen, Y.; Zhu, D. Experimental study on N2 foam cross-layer fracturing in coal-rock composites. J. China Coal Soc. 2023, 48, 4499–4511. [Google Scholar] [CrossRef]
  19. Kong, X.; Yan, R.; Zhang, S.; Yuan, Q.; Chen, Q.; Xu, H. Large-scale true triaxial physical simulation experiment on hydraulic fracture initiation and propagation. Chem. Eng. Oil Gas 2023, 52, 97–102. [Google Scholar]
  20. Wei, C.; Li, S.; Yu, L.; Zhang, B.; Liu, R.; Pan, D.; Zhang, F. Study on mechanism of strength deterioration of rock-like specimen and fracture damage deterioration model under pulse hydraulic fracturing. Rock Mech. Rock Eng. 2023, 56, 4959–4973. [Google Scholar] [CrossRef]
  21. Zhao, H.; Li, W.; Cai, M.; Ma, B.; Xie, X.; Zou, L.; Liu, Y. Study on rock fracture mechanism and hydraulic fracturing propagation law of heterogeneous tight sandstone reservoir. PLoS ONE 2024, 19, e0303251. [Google Scholar] [CrossRef]
  22. Chen, H.; Li, G.; Qin, Y.; Wang, G.; Shen, J.; Sun, Y.; Yuan, E.; Li, D. Fracture propagation law and main controlling factors of fracturing in deep coal-measure gas co-production reservoirs. Coal Geol. Explor. 2024, 52, 84–94. [Google Scholar]
  23. Ma, J.; Li, X.; Zhang, J.; Yao, Q.; Chong, Z.; Yang, S.; Yuan, Y. Study on hydraulic fracture propagation law of coal-measure rock strata under true triaxial conditions. J. Min. Strata Control Eng. 2025, 7, 32–57. [Google Scholar]
Figure 1. Lithology combination diagram. (a) Mudstone-coal-mudstone (3 layers); (b) Sandstone–mudstone–coal–mudstone (4 layers); (c) Mudstone–coal–mudstone–sandstone (4 layers).
Figure 1. Lithology combination diagram. (a) Mudstone-coal-mudstone (3 layers); (b) Sandstone–mudstone–coal–mudstone (4 layers); (c) Mudstone–coal–mudstone–sandstone (4 layers).
Processes 14 01235 g001
Figure 2. Sample preparation and processing flow. (a) Slab cutting; (b) Apply planting glue; (c) Secondary cutting; (d) Core hole; (e) Rock sample cementing.
Figure 2. Sample preparation and processing flow. (a) Slab cutting; (b) Apply planting glue; (c) Secondary cutting; (d) Core hole; (e) Rock sample cementing.
Processes 14 01235 g002
Figure 3. Test flow chart.
Figure 3. Test flow chart.
Processes 14 01235 g003
Figure 4. Pump pressure curve.
Figure 4. Pump pressure curve.
Processes 14 01235 g004
Figure 5. Fracture propagation diagrams and 3D reconstruction models under different coal seam thicknesses. (a) 1–4 (70–60–70); (b) 1–8 (50–90–60); (c) 1–10 (40–130–30).
Figure 5. Fracture propagation diagrams and 3D reconstruction models under different coal seam thicknesses. (a) 1–4 (70–60–70); (b) 1–8 (50–90–60); (c) 1–10 (40–130–30).
Processes 14 01235 g005
Figure 6. Pump pressure curve.
Figure 6. Pump pressure curve.
Processes 14 01235 g006
Figure 7. Crack distribution maps and three-dimensional reconstruction models under different interlayer thicknesses. (a) 2–2 (60–40–40–60); (b) 2–5 (50–50–40–60); (c) 2–7 (40–60–40–60).
Figure 7. Crack distribution maps and three-dimensional reconstruction models under different interlayer thicknesses. (a) 2–2 (60–40–40–60); (b) 2–5 (50–50–40–60); (c) 2–7 (40–60–40–60).
Processes 14 01235 g007
Figure 8. Pump pressure curve.
Figure 8. Pump pressure curve.
Processes 14 01235 g008
Figure 9. Fracture distribution maps and three-dimensional reconstruction models under different injection rates. (a) 2–2 (20 mL·min−1); (b) 2–3 (25 mL·min−1); (c) 2–4 (30 mL·min−1).
Figure 9. Fracture distribution maps and three-dimensional reconstruction models under different injection rates. (a) 2–2 (20 mL·min−1); (b) 2–3 (25 mL·min−1); (c) 2–4 (30 mL·min−1).
Processes 14 01235 g009
Figure 10. Pump pressure curve.
Figure 10. Pump pressure curve.
Processes 14 01235 g010
Figure 11. Fracture propagation diagrams and three-dimensional reconstruction models under different fracturing fluid viscosities. (a) 3–1 (3 mPa·s); (b) 3–2 (9 mPa·s); (c) 3–3 (24 mPa·s).
Figure 11. Fracture propagation diagrams and three-dimensional reconstruction models under different fracturing fluid viscosities. (a) 3–1 (3 mPa·s); (b) 3–2 (9 mPa·s); (c) 3–3 (24 mPa·s).
Processes 14 01235 g011
Table 1. Mechanical properties of various rock specimens.
Table 1. Mechanical properties of various rock specimens.
Rock TypeDiameter
(mm)
Thickness
(mm)
Weight (g)Elastic Modulus
(GPa)
Poisson’s RatioCompressive Strength
(MPa)
Failure Load
(N)
Tensile Strength
(MPa)
Coal49.5220.1252.125.9310.424116.3665520.35
Sandstone48.7820.2386.147.8310.218147.7158510.55
Mudstone49.1420.04103.2945.3650.216285.06382035.29
Table 2. Results of triaxial compression tests on interlayer interface specimens.
Table 2. Results of triaxial compression tests on interlayer interface specimens.
With Bonding/Without BondingConfining Pressure
(MPa)
Elastic Modulus
(GPa)
Poisson’s RatioCompressive Strength
(MPa)
Without bonding3031.178 0.203 155.856
With bonding3028.444 0.226 159.761
Table 3. Tensile strength results for interlayer interface specimens.
Table 3. Tensile strength results for interlayer interface specimens.
With Bonding/Without BondingDiameter
(mm)
Thickness
(mm)
Weight
(g)
Failure Load
(N)
Tensile Strength
(MPa)
Without bonding24.6614.1815.3113042.28
With bonding25.1710.8413.0410352.20
Table 4. Shear strength test results for interlayer interface specimens.
Table 4. Shear strength test results for interlayer interface specimens.
With Bonding/Without BondingHeight
(mm)
Diameter
(mm)
Weight
(g)
Density
(g/cm3)
Failure Load
(KN)
Without bonding49.7225.0764.332.6232.38
With bonding49.4625.1359.292.4229.49
Table 5. Parameter settings of rock samples.
Table 5. Parameter settings of rock samples.
Group NumberDimensions (mm)
(Mud–Coal–Mud)
Three-Dimensional Stress
υHh)
Vertical Stress Difference CoefficientInjection Rate (mL·min−1)Fracturing Fluid Viscosity
(mPa·s)
1–470–60–7030/26/210.43203
1–850–90–6030/26/210.43203
1–1040–130–3030/26/210.43203
Table 6. Key pressure parameters under different coal seam thicknesses.
Table 6. Key pressure parameters under different coal seam thicknesses.
Group NumberCoal Seam Thicknesses
(mm)
Fracturing Pressure
(MPa)
Platform Pressure
(MPa)
1–46015–168–10
1–890about 1210–12
1–101304.5–4.84–5
Table 7. Parameter settings of rock samples.
Table 7. Parameter settings of rock samples.
Group NumberDimensions (mm)
(Mud–Coal–Mud)
Three-Dimensional Stress
υHh)
Vertical Stress Difference CoefficientInjection Rate (mL·min−1)Fracturing Fluid Viscosity
(mPa·s)
2–260-40-40-6030/26/210.43203
2–550-50-40-6030/26/210.43203
2–740-60-40-6030/26/210.43203
Table 8. Key pressure parameters under different interlayer thicknesses.
Table 8. Key pressure parameters under different interlayer thicknesses.
Group NumberInterlayer Thicknesses
(mm)
Fracturing Pressure
(MPa)
Platform Pressure
(MPa)
2–240about 8keep rising, reaching a peak of approximately 14 to 15
2–5509–109–10
2–7607–87–8
Table 9. Parameter settings of rock samples.
Table 9. Parameter settings of rock samples.
Group NumberDimensions (mm)
(Mud–Coal–Mud)
Three-Dimensional Stress
υHh)
Vertical Stress Difference CoefficientInjection Rate (mL·min−1)Fracturing Fluid Viscosity
(mPa·s)
2–260–40–40–6030/26/210.43203
2–360–40–40–6030/26/210.43253
2–460–40–40–6030/26/210.43303
Table 10. Key pressure parameters under different injection rate conditions.
Table 10. Key pressure parameters under different injection rate conditions.
Group NumberInjection Rate
(mL·min−1)
Fracturing Pressure
(MPa)
Platform Pressure
(MPa)
2–2207–8The maximum before the pump stops is approximately 14 to 15
2–32518–2016–18
2–43018–1920–22
Table 11. Parameter settings of rock samples.
Table 11. Parameter settings of rock samples.
Group NumberDimensions (mm)
(Mud–Coal–Mud)
Three-Dimensional Stress
υHh)
Vertical Stress Difference CoefficientInjection Rate (mL·min−1)Fracturing Fluid Viscosity
(mPa·s)
3–160-40-40-6030/26/210.43203
3–260-40-40-6030/26/210.43209
3–360-40-40-6030/26/210.432024
Table 12. Key pressure parameters under different viscosities of fracturing fluids.
Table 12. Key pressure parameters under different viscosities of fracturing fluids.
Group NumberFracturing Fluid Viscosity
(mPa·s)
Fracturing Pressure
(MPa)
Platform Pressure
(MPa)
3–13about 43–4
3–296–77–7.5
3–324about 89–11
Disclaimer/Publisher’s Note: The statements, opinions and data contained in all publications are solely those of the individual author(s) and contributor(s) and not of MDPI and/or the editor(s). MDPI and/or the editor(s) disclaim responsibility for any injury to people or property resulting from any ideas, methods, instructions or products referred to in the content.

Share and Cite

MDPI and ACS Style

Wang, B.; Zhang, B.; Wang, J.; Liu, D.; Huang, H.; Wang, P.; Lin, L. Material Model Test Study on Multi-Layer Superimposed Coalbed Methane Production Layer Fracturing. Processes 2026, 14, 1235. https://doi.org/10.3390/pr14081235

AMA Style

Wang B, Zhang B, Wang J, Liu D, Huang H, Wang P, Lin L. Material Model Test Study on Multi-Layer Superimposed Coalbed Methane Production Layer Fracturing. Processes. 2026; 14(8):1235. https://doi.org/10.3390/pr14081235

Chicago/Turabian Style

Wang, Bo, Bing Zhang, Jiahao Wang, Dawei Liu, Hai Huang, Ping Wang, and Liming Lin. 2026. "Material Model Test Study on Multi-Layer Superimposed Coalbed Methane Production Layer Fracturing" Processes 14, no. 8: 1235. https://doi.org/10.3390/pr14081235

APA Style

Wang, B., Zhang, B., Wang, J., Liu, D., Huang, H., Wang, P., & Lin, L. (2026). Material Model Test Study on Multi-Layer Superimposed Coalbed Methane Production Layer Fracturing. Processes, 14(8), 1235. https://doi.org/10.3390/pr14081235

Note that from the first issue of 2016, this journal uses article numbers instead of page numbers. See further details here.

Article Metrics

Back to TopTop