Optimization of Installation Position of Choke Valve for Severe Slugging Control on FPSO Units in Offshore Oilfield
Abstract
1. Introduction
2. Methodology
2.1. Experimental Loop
2.2. Valve Flow Coefficient
2.3. Setup of Extended Pipe Sections in the Simulation
2.4. Parameters Used to Indicate Slugging and Examine Effect of Three Positions
3. Results and Discussion
3.1. Extended Experimental Pipeline
3.2. Case Study
4. Conclusions
- (1)
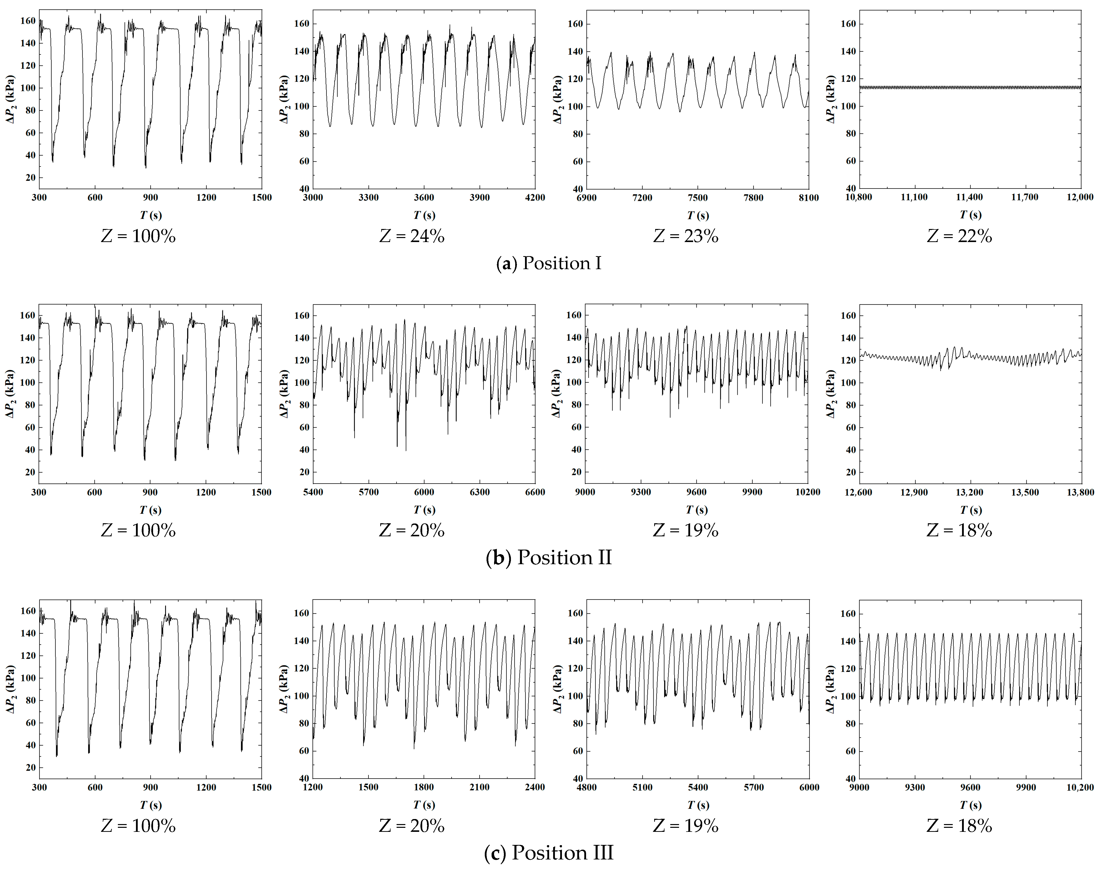
- The installation position of the choke valve has a significant influence on the critical valve opening required to eliminate severe slugging. The preferred position is Position I (i.e., near the riser top), which can effectively eliminate severe slugging at a relatively larger valve opening, thereby reducing the difficulty of valve sizing.
- (2)
- When the valve is located at Position I, the pressure at the riser base is lower compared to when the valve is at Position II or Position III. This indicates that installing the valve near the top of the vertical riser can effectively reduce the system operating pressure, which is beneficial for flow control and production maintenance.
- (3)
- A comparison of the choking control effectiveness across the three positions suggests that the principle for selecting the optimal valve position is to suppress liquid accumulation and slug formation within the platform pipeline and to facilitate the outflow of the gas phase.
- (4)
- Simulations of an actual subsea pipeline reveal that, with sufficiently high gas production, an increase in liquid production mitigates the adverse effects of installing the valve at Positions II and III. The difference in Zc among the three positions vanished under a specific case. However, if installation at a less favorable position is unavoidable due to other constraints, measures must be taken to improve the stability of the control system when applying automatic control.
Author Contributions
Funding
Data Availability Statement
Conflicts of Interest
References
- Bai, Y.; Bai, Q. Subsea Pipelines and Risers, 1st ed.; Elsevier Ltd.: Oxford, UK, 2005; pp. 277–316. [Google Scholar] [CrossRef]
- Pedersen, S.; Durdevic, P.; Yang, Z. Challenges in slug modeling and control for offshore oil and gas productions: A review study. Int. J. Multiph. Flow 2017, 88, 270–284. [Google Scholar] [CrossRef]
- Banjara, V.; Pereyra, E.; Avila, C.; Sarica, C. Critical review & comparison of severe slugging mitigation techniques. Geoenergy Sci. Eng. 2023, 228, 212082. [Google Scholar] [CrossRef]
- Banjara, V.; Pereyra, E.; Avila, C.; Murugavel, D.; Sarica, C. Improved severe slugging modeling and mapping. Geoenergy Sci. Eng. 2025, 244, 213446. [Google Scholar] [CrossRef]
- Nnabuife, S.G.; Tandoh, H.; Whidbore, J.F. Slug flow control using topside measurements: A review. Chem. Eng. J. Adv. 2022, 9, 100204. [Google Scholar] [CrossRef]
- Ogazi, A.I. Multiphase Severe Slugging Flow Control. Ph.D. Thesis, Cranfield University, Bedford, UK, 2011. [Google Scholar]
- Pots, B.F.M.; Bromilow, I.G.; Konijn, M.J.W.F. Severe Slug Flow in Offshore Flowline/Riser Systems. SPE Prod. Eng. 1987, 2, 319–324. [Google Scholar] [CrossRef]
- Tengesdal, J.Ø. Investigation of Self-Lifting Concept for Severe Slugging Elimination in Deep-Water Pipeline/Riser Systems. Ph.D. Thesis, University of Tulsa, Tulsa, OK, USA, 2002. [Google Scholar]
- Hill, T. Gas injection at riser base solves slugging flow problems. Oil Gas J. 1990, 88, 88–92. [Google Scholar]
- Yao, T. Investigation on the Fast Recognition Theory and Control Method of Undesirable Flow Regimes in Pipeline-Riser System. Ph.D. Thesis, Xi’an Jiaotong University, Xi’an, China, 2019. (In Chinese) [Google Scholar]
- Xing, L.; Yeung, H.; Shen, J.; Cao, Y. A new flow conditioner for mitigating severe slugging in pipeline/riser system. Int. J. Multiph. Flow 2013, 51, 65–72. [Google Scholar] [CrossRef]
- Makogan, T.Y.; Brook, G.J. Device for Controlling Slugging. Patent No. EP1945902B1, 15 July 2009. [Google Scholar]
- Soomro, N.A.; Ansari, U.; Shams, B.; Memom, M.K.; Bhutto, B.K.; Rui, Z.; Pan, Y. Optimizing gas well deliquification: Experimental analysis of surfactant-based strategies for liquid unloading in gas wells for enhanced recovery. Unconv. Resour. 2025, 7, 100200. [Google Scholar] [CrossRef]
- Fu, J.; Zhan, Y. Research and practice of severe slugging control in gas field A in the South China Sea. Nat. Gas Oil 2022, 40, 32–37. (In Chinese) [Google Scholar] [CrossRef]
- Liu, P.; Liu, F. Research on flow assurance of double pipeline transportation in subsea production system of deepwater oil and gas field: A case study of LH21-1 oilfield. China Offshore Oil Gas 2021, 33, 156–163. (In Chinese) [Google Scholar]
- Wang, C.; Chen, G.; Shi, Y.; Ping, C. Engineering plans study on the development of Liuhua deep water oilfields in the South China Sea. China Offshore Oil Gas 2020, 32, 143–151. (In Chinese) [Google Scholar]
- Zhang, X.; Li, N.; Chen, B. Analysis and treatment on the severe slug flow in pipeline S-shaped riser of Wenchang Oilfield. Oil Gas Storage Transp. 2019, 38, 472–480. (In Chinese) [Google Scholar] [CrossRef]
- Havre, K.; Stornes, K.O.; Stray, H. Taming slug flow in pipelines. ABB Rev. 2000, 46, 55–63. [Google Scholar]
- Jansen, F.E.; Shoham, O.; Taitel, Y. The elimination of severe slugging: Experiment and modeling. Int. J. Multiph. Flow. 1996, 22, 1055–1072. [Google Scholar] [CrossRef]
- Pedersen, S.; Bram, M.V. The Impact of Riser-Induced Slugs on the Downstream Deoiling Efficiency. J. Mar. Sci. Eng. 2021, 9, 391. [Google Scholar] [CrossRef]
- Li, N.; Chen, B. Investigation on gas-liquid two-phase frictional pressure drop in pipeline riser. Geoenergy Sci. Eng. 2024, 234, 212627. [Google Scholar] [CrossRef]
- Jahanshahi, E.; De Oliveira, V.; Grimholt, C.; Skogestad, S. A comparison between Internal Model Control, optimal PIDF and robust controllers for unstable flow in risers. IFAC Proc. 2014, 47, 5752–5759. [Google Scholar] [CrossRef]
- Schmidt, Z. Experimental Study of Two-Phase Slug Flow in a Pipeline-Riser Pipe System; The University of Tulsa: Tulsa, OK, USA, 1977. [Google Scholar]
- Zou, S.; Guo, L.; Yao, T. Upstream-flow-based mechanisms for global flow regime transition of gas/liquid two-phase flow in pipeline-riser systems. Chem. Eng. Sci. 2021, 240, 116542. [Google Scholar] [CrossRef]
- Zou, S.; Yao, T.; Guo, L.; Li, W.; Wu, Q.; Zhou, H.; Xie, C.; Liu, W.; Kuang, S. Non-uniformity of gas/liquid flow in a riser and impact of operation and pipe configuration on slugging characteristics. Exp. Therm. Fluid Sci. 2018, 96, 329–346. [Google Scholar] [CrossRef]
- Zhao, X.; Xu, Q.; Fu, J.; Chang, Y.; Wu, Q.; Guo, L. Study on eliminating severe slugging by manual and automatic choking in long pipeline-riser system. Chem. Eng. Sci. 2024, 292, 119978. [Google Scholar] [CrossRef]
- Al-Ammari, W.A.; Sleiti, A.K.; Hamilton, M.; Ferroudji, H.; Gomari, S.R.; Hassan, I.; Hasan, R.; Hussein, I.A.; Rahman, M.A. Development of Machine Learning Models for Multiple Leak Detection in Offshore Gas Pipelines under Single- and Multiphase Flow Conditions. J. Pipeline Syst. Eng. 2025, 17, 04025092. [Google Scholar] [CrossRef]
- Mercante, R.; Netto, T.A. Virtual Multiphase Flowmeter Using Deep Convolutional Neural Networks. SPE J. 2023, 28, 2448–2461. [Google Scholar] [CrossRef]
- Ju, S.; Liu, J. Analysis of Fluid Flow and Optimization of Tubing Depth in Deep Shale Gas Wells. Fluid Dyn Mater Proc. 2025, 21, 529–542. [Google Scholar] [CrossRef]
- IEC 60534-2-4: 2009; Industrial-Process Control Valves―Part 2–4: Flow Capacity―Inherent Flow Characteristics and Rangeability. IEC Central Office: Geneva, Switzerland, 2009.
- Yu, H.; Xu, Q.; Cao, Y.; Huang, B.; Guo, L. Effects of riser height and pipeline length on the transition boundary and frequency of severe slugging in offshore pipelines. Ocean Eng. 2024, 298, 117253. [Google Scholar] [CrossRef]
- Wang, H.; Zou, S.; Liu, T.; Xu, L.; Du, Y.; Yan, Y.; Guo, L. Experimental investigation of online solving for critical valve opening for eliminating severe slugging in pipeline-riser systems. Int. J. Heat Fluid Flow 2024, 110, 109584. [Google Scholar] [CrossRef]
- Du, Y.; Wang, H.; Wu, Q.; Xu, L.; Yan, W.; Zou, S. Potential variables for automatic slugging control by topside choking in pipeline–riser systems. Int. J. Fluid Eng. 2025, 2, 033501. [Google Scholar] [CrossRef]


















| uSL (m/s) | uSG0 (m/s) | Valve Opening Experimental Data (%) | Valve Opening OLGA Simulation (%) | Absolute Deviation (%) |
|---|---|---|---|---|
| 0.10 | 0.10 | 16.67 | 18.00 | 1.33 |
| 0.10 | 0.25 | 17.83 | 18.00 | 0.17 |
| 0.10 | 0.45 | 17.78 | 16.00 | −1.78 |
| 0.10 | 0.60 | 16.54 | 17.00 | 0.46 |
| 0.10 | 1.00 | 16.98 | 17.00 | 0.02 |
| 0.25 | 0.10 | 21.87 | 22.00 | 0.13 |
| 0.25 | 0.25 | 21.99 | 23.00 | 1.01 |
| 0.25 | 0.45 | 22.69 | 23.00 | 0.31 |
| 0.25 | 0.60 | 22.76 | 23.00 | 0.24 |
| 0.25 | 1.00 | 21.86 | 23.00 | 1.14 |
| 0.45 | 0.10 | 26.79 | 25.00 | −1.79 |
| 0.45 | 0.25 | 25.66 | 26.00 | 0.34 |
| 0.45 | 0.45 | 25.87 | 26.00 | 0.13 |
| 0.45 | 0.60 | 26.52 | 26.00 | −0.52 |
| 0.45 | 1.00 | 26.77 | 27.00 | 0.23 |
| 0.60 | 0.45 | 27.76 | 28.00 | 0.24 |
| 0.60 | 0.60 | 28.68 | 28.00 | −0.68 |
| 0.60 | 1.00 | 28.51 | 29.00 | 0.49 |
| (m/s) | (m/s) | (kPa) | (kPa) | ||||
|---|---|---|---|---|---|---|---|
| I | II | III | I | II | III | ||
| 0.1 | 0.25 | 299.45 | 433.79 | 513.51 | 67.68 | 189.63 | 263.60 |
| 0.25 | 0.25 | 268.21 | 350.37 | 373.14 | 25.92 | 98.56 | 119.46 |
| 0.45 | 0.45 | 260.88 | 363.41 | 382.73 | 27.44 | 126.05 | 119.23 |
| (m/s) | (m/s) | (kPa) | (kPa) | (kPa) | (kPa) |
|---|---|---|---|---|---|
| 0.1 | 0.25 | 134.34 | 121.95 | 214.06 | 195.92 |
| 0.25 | 0.25 | 82.16 | 72.64 | 104.93 | 93.54 |
| 0.45 | 0.45 | 102.53 | 98.61 | 121.85 | 91.79 |
| (m/s) | (m/s) | Gas Fraction in Concave Section | ||
|---|---|---|---|---|
| I | II | III | ||
| 0.1 | 0.25 | 0.67169 | 0.82472 | 0.69179 |
| 0.25 | 0.25 | 0.63397 | 0.78854 | 0.69994 |
| 0.45 | 0.45 | 0.67804 | 0.85138 | 0.81834 |
| (m/s) | (m/s) | (%) | Reduction Rate of Flow Coefficient | |||
|---|---|---|---|---|---|---|
| Pos. I | Pos. II | Pos. III | II vs. I | III vs. I | ||
| 0.10 | 0.10 | 16 | 11 | 13 | −44.7% | −32.5% |
| 0.10 | 0.25 | 15 | 12 | 12 | −31.3% | −31.3% |
| 0.10 | 0.45 | 15 | 12 | 15 | −31.3% | 0.0% |
| 0.10 | 0.60 | 15 | 11 | 15 | −37.0% | 0.0% |
| 0.10 | 1.00 | 15 | 13 | 15 | −23.6% | 0.0% |
| 0.25 | 0.10 | 21 | 19 | 21 | −15.8% | 0.0% |
| 0.25 | 0.25 | 22 | 18 | 18 | −39.5% | −39.5% |
| 0.25 | 0.45 | 21 | 16 | 16 | −48.8% | −48.8% |
| 0.25 | 0.60 | 21 | 16 | 17 | −48.8% | −39.5% |
| 0.25 | 1.00 | 21 | 17 | 16 | −39.5% | −48.8% |
| 0.45 | 0.10 | 25 | 22 | 23 | −26.6% | −13.2% |
| 0.45 | 0.25 | 25 | 22 | 23 | −26.6% | −13.2% |
| 0.45 | 0.45 | 26 | 21 | 21 | −43.8% | −43.8% |
| 0.45 | 0.60 | 26 | 20 | 21 | −53.3% | −43.8% |
| 0.45 | 1.00 | 27 | 21 | 21 | −49.4% | −49.4% |
| 0.60 | 0.45 | 30 | 26 | 25 | −26.1% | −33.5% |
| 0.60 | 0.60 | 29 | 23 | 24 | −43.7% | −35.2% |
| 0.60 | 1.00 | 29 | 23 | 23 | −43.7% | −43.7% |
| Year | (m/s) | (m/s) | (%) | |||||
|---|---|---|---|---|---|---|---|---|
| Pos. I | Pos. II | Pos. III | Pos. I | Pos. II | Pos. III | |||
| First exporting year | 0.074 | 30.37 | 27 | 17 | 21 | 11.50 | 7.78 | 9.10 |
| Maximum production year | 0.487 | 36.42 | 85 | 85 | 85 | 111.2 | 111.2 | 111.2 |
Disclaimer/Publisher’s Note: The statements, opinions and data contained in all publications are solely those of the individual author(s) and contributor(s) and not of MDPI and/or the editor(s). MDPI and/or the editor(s) disclaim responsibility for any injury to people or property resulting from any ideas, methods, instructions or products referred to in the content. |
© 2026 by the authors. Licensee MDPI, Basel, Switzerland. This article is an open access article distributed under the terms and conditions of the Creative Commons Attribution (CC BY) license.
Share and Cite
Chen, J.; Dai, L.; Xu, L.; Zhou, L.; Li, P.; Zou, S. Optimization of Installation Position of Choke Valve for Severe Slugging Control on FPSO Units in Offshore Oilfield. Processes 2026, 14, 1164. https://doi.org/10.3390/pr14071164
Chen J, Dai L, Xu L, Zhou L, Li P, Zou S. Optimization of Installation Position of Choke Valve for Severe Slugging Control on FPSO Units in Offshore Oilfield. Processes. 2026; 14(7):1164. https://doi.org/10.3390/pr14071164
Chicago/Turabian StyleChen, Jinghua, Lingfei Dai, Luhan Xu, Liangsheng Zhou, Pengcheng Li, and Suifeng Zou. 2026. "Optimization of Installation Position of Choke Valve for Severe Slugging Control on FPSO Units in Offshore Oilfield" Processes 14, no. 7: 1164. https://doi.org/10.3390/pr14071164
APA StyleChen, J., Dai, L., Xu, L., Zhou, L., Li, P., & Zou, S. (2026). Optimization of Installation Position of Choke Valve for Severe Slugging Control on FPSO Units in Offshore Oilfield. Processes, 14(7), 1164. https://doi.org/10.3390/pr14071164

