Terrestrial Heat Flow and Crustal Thermal Structure of the Tazhong Uplift, Tarim Basin, Northwest China
Abstract
1. Introduction
2. Geological Setting
3. Data and Methodology
3.1. Borehole Temperature Data
3.2. Rock Thermal Conductivity and Heat Production Data
3.3. Methodology
3.3.1. Geothermal Gradient and Terrestrial Heat Flow
3.3.2. Deep Formation Temperature Prediction
3.3.3. Calculation Method for Lithosphere Thickness and Thermal Structure
4. Results and Discussion
4.1. Geothermal Field Distribution Characteristics in the Tazhong Area
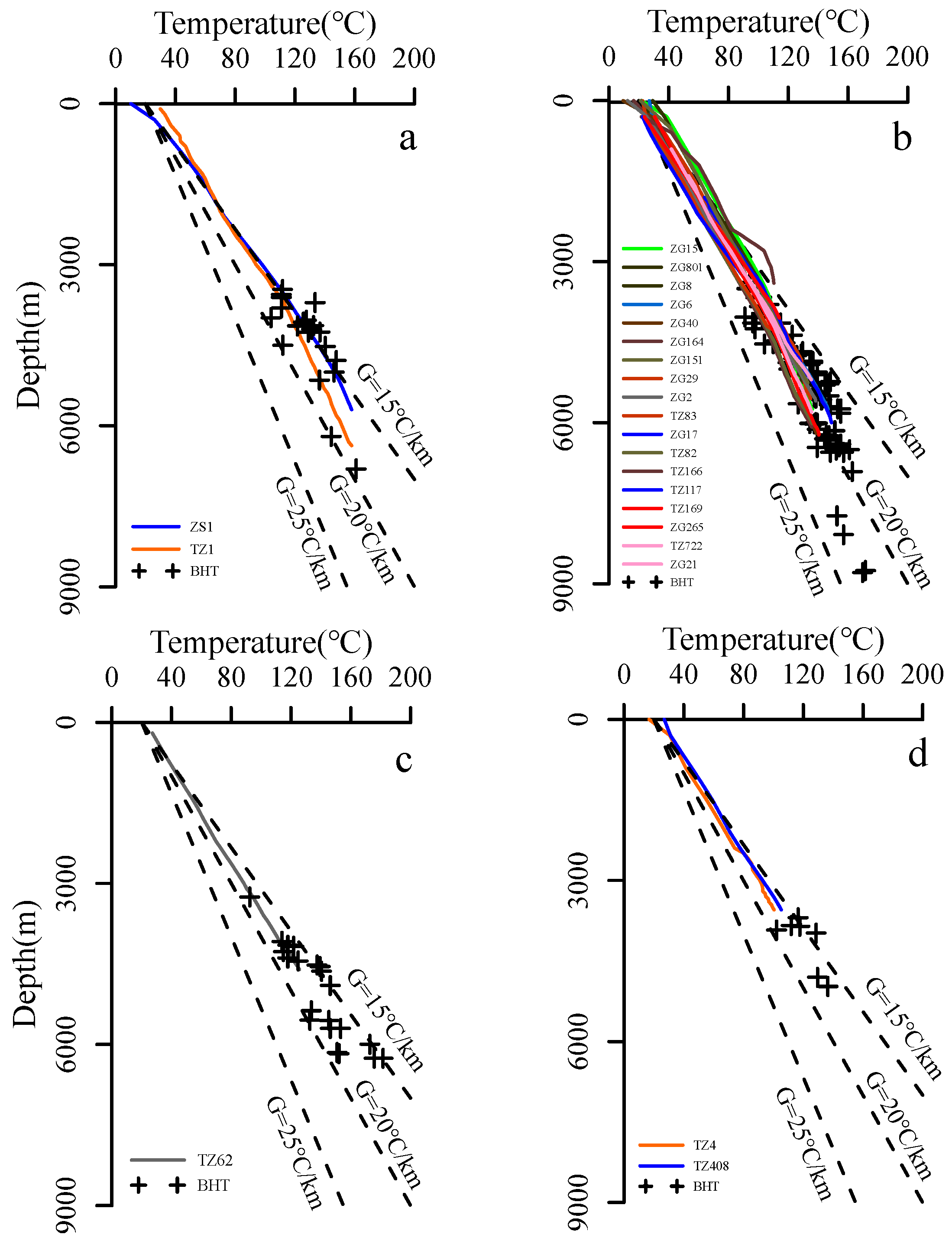
4.1.1. Borehole Temperature and Geothermal Gradient Distribution Characteristics
4.1.2. Results of Rock Thermal Conductivity and Heat Production
4.1.3. Terrestrial Heat Flow Distribution Characteristics
4.1.4. The Influence of Thermal Convection on the Planar Distribution of the Geothermal Field
4.2. Deep Formation Temperature Distribution Characteristics
4.2.1. Temperature Distribution Characteristics at 6000–10,000 m Burial Depth
4.2.2. Temperature Distribution Characteristics at Lower Paleozoic Stratigraphic Interfaces
4.3. Thermal Lithosphere Thickness and Crustal Thermal Structure in the Tazhong Area
4.4. Controlling Factors of the Geothermal Field in Deep to Ultra-Deep Formations of Tazhong
5. Conclusions
Supplementary Materials
Author Contributions
Funding
Data Availability Statement
Conflicts of Interest
References
- Zhu, S.; Liu, F.K.; Tan, Q.W.; Zhu, G.Y. Genesis of Low Geothermal Field in Tarim Basin and Differential Mechanisms Across Various Zones. Bull. Geol. Sci. Technol. 2025. online. [Google Scholar] [CrossRef]
- Qiu, N.; Chang, J.; Zhu, C.; Liu, W.; Zuo, Y.; Xu, W.; Li, D. Thermal Regime of Sedimentary Basins in the Tarim, Upper Yangtze and North China Cratons, China. Earth Sci. Rev. 2022, 224, 103884. [Google Scholar] [CrossRef]
- Liu, S.W.; Yang, X.Q.; Qiu, N.S.; Yang, S.; Li, X. Geothermal Effects of Salt Structures on Marine Sedimentary Basins and Implications for Hydrocarbon Thermal Evolution. Chin. Sci. Bull. 2017, 62, 1631–1644. [Google Scholar] [CrossRef]
- Liu, S.W.; Li, X.L.; Hao, C.Y.; Wu, X.; Wang, X.; Han, J.; Li, H.L. Heat Flow, Deep Formation Temperature and Thermal Structure of the Tarim Basin, Northwest China. Earth Sci. Front. 2017, 24, 41–55. [Google Scholar]
- Li, D.; Chang, J.; Qiu, N.S.; Wu, X.; Wang, X.; Han, J.; Li, H.L. Present-Day Superdeep Thermal Regime of the Tabei—Northern Aman Area in the Tarim Basin, Northwest China. Chin. J. Geophys. 2023, 66, 3353–3373. [Google Scholar] [CrossRef]
- Liu, Y.; Qiu, N.; Li, H.; Ma, A.; Chang, J.; Jia, J. Terrestrial Heat Flow and Crustal Thermal Structure in the Northern Slope of Tazhong Uplift in Tarim Basin. Geothermics 2020, 83, 101709. [Google Scholar] [CrossRef]
- Liu, Y.; Liu, B.; Fu, J.; Kang, L.; Li, S. Surface Heat Flow, Deep Formation Temperature, and Lithospheric Thickness of the Different Tectonic Units in Tarim Basin, Western China. Lithosphere 2022, 2022, 3873682. [Google Scholar] [CrossRef]
- Wang, Q.H.; Zhu, Y.F.; Tang, Y.G.; Yang, G.; Sun, C.H.; Chen, C. Oil and Gas Geological Conditions and Exploration Potential in Ultra-Deep Formations Below Ten Thousand Meters in Tarim Basin. Deep Earth Energy Sci. Technol. 2025, 1, 36–48. [Google Scholar]
- Yang, H.J.; Wang, C.S.; Yang, X.Z.; Zhang, Z.; Guo, X.G.; Sun, C.H.; Lv, X.G.; Liu, J.L. Technological Progress and Scientific Significance of the Drilling of the Ten-Thousand-Meter Ultra-Deep Well TK1, Tarim Basin, NW China. Pet. Explor. Dev. 2025, 52, 1180–1188. [Google Scholar] [CrossRef]
- Jiang, T.W.; Tian, W.Z. Main Enrichment Controlling Factors and Exploration Directions of Strike-Slip Fault-Controlled Oil and Gas Reservoirs in the Tarim Basin. Nat. Gas Ind. 2025, 45, 14–29. [Google Scholar] [CrossRef]
- Su, J.; Wang, X.M.; Zhang, C.D.; Yang, X.Z.; Li, J.; Yang, Y.P.; Zhang, H.Z.; Fang, Y.; Yang, C.L.; Fang, C.C. Source and Exploration Potential of the Ultra-Deep Cambrian Petroleum in Well XT-1, Tarim Basin, NW China. Pet. Explor. Dev. 2025, 52, 347–361. [Google Scholar] [CrossRef]
- Wu, X.; Li, D.; Zhu, X.X.; Wang, J.F. Influence of Geothermal Field on Ultra-Deep Ordovician Oil and Gas in Shunbei Field, Tarim Basin: A Case Study of Shunbei No. 5 Strike-Slip Fault. Pet. Geol. Exp. 2022, 44, 402–412. [Google Scholar] [CrossRef]
- Zhang, Z.; Zhu, G.; Han, J.; Jiang, S.; Li, J.; Chi, L. Tectono-Thermal Impacts on the Formation of a Heavy Oil in the Eastern Tarim Basin (China): Implications for Oil and Gas Potential. J. Pet. Sci. Eng. 2022, 208, 109353. [Google Scholar] [CrossRef]
- Ngia, N.R.; Hu, M.; Gao, D. Tectonic and Geothermal Controls on Dolomitization and Dolomitizing Fluid Flows in the Cambrian-Lower Ordovician Carbonate Successions in the Western and Central Tarim Basin, NW China. J. Asian Earth Sci. 2019, 172, 359–382. [Google Scholar] [CrossRef]
- Tissot, B.P.; Pelet, R.; Ungerer, P.H. Thermal History of Sedimentary Basins, Maturation Indices, and Kinetics of Oil and Gas Generation. AAPG Bull. 1987, 71, 1445–1466. [Google Scholar] [CrossRef]
- Barker, C. Thermal Modeling of Petroleum Generation: Theory and Applications; Geosciences Department, University of Tulsa: Tulsa, OK, USA, 1996. [Google Scholar]
- Förster, A.; Merriam, D.F. Geothermics in Basin Analysis. In Computer Applications in the Earth Sciences; Springer: Boston, MA, USA, 1999. [Google Scholar] [CrossRef]
- Jia, C.Z. Structural Characteristics and Oil/Gas Accumulative Regularity in Tarim Basin. Xinjiang Pet. Geol. 1999, 20, 177–183. [Google Scholar]
- Li, C.; Wang, X.; Li, B.; He, D. Paleozoic Fault Systems of the Tazhong Uplift, Tarim Basin, China. Mar. Pet. Geol. 2013, 39, 48–58. [Google Scholar] [CrossRef]
- Pang, X.; Zhou, X.; Yan, S.; Wang, Z.; Yang, H.; Jiang, F.; Shen, W.; Gao, S. Research Advances and Direction of Hydrocarbon Accumulation in the Superimposed Basins, China: Take the Tarim Basin as an Example. Pet. Explor. Dev. 2012, 39, 692–699. [Google Scholar] [CrossRef]
- Lan, X.; Lü, X.; Zhu, Y.; Yu, H. The Geometry and Origin of Strike-Slip Faults Cutting the Tazhong Low Rise Megaanticline (Central Uplift, Tarim Basin, China) and Their Control on Hydrocarbon Distribution in Carbonate Reservoirs. J. Nat. Gas Sci. Eng. 2015, 22, 633–645. [Google Scholar] [CrossRef]
- Han, J.F.; Mei, L.F.; Yang, H.J.; Wu, G.H.; Xu, Z.M.; Zhu, G.Y. The Study of Hydrocarbon Origin, Transport and Accumulation in Tazhong Area, Tarim Basin. Nat. Gas Geosci. 2007, 18, 426–435. [Google Scholar]
- Li, B.L.; Guan, S.W.; Li, C.X.; Wu, G.H.; Yang, H.J.; Han, J.F.; Luo, C.S.; Miao, J.J. Paleo-Tectonic Evolution and Deformation Features of the Lower Uplift in the Central Tarim Basin. Geol. Rev. 2009, 55, 521–530. [Google Scholar] [CrossRef]
- Zhai, G.M.; Wang, J.J. Analysis of Petroleum Geology in Tazhong Region. Acta Geol. Sin. 1999, 20, 1–6. [Google Scholar]
- Ding, C.H.; Zhou, H.B.; Lu, P.C.; Lü, D.; Xian, Q.; Wang, X.F. The Paleozoic structural features and its evolution in the Tazhong Low Uplift, Xinjiang. Geotecton. Metallog. 2009, 33, 148–153. [Google Scholar] [CrossRef]
- Ding, Z.; Wang, R.; Chen, F.; Yang, J.; Zhu, Z.; Yang, Z.; Sun, X.; Xian, B.; Li, E.; Shi, T.; et al. Origin, Hydrocarbon Accumulation and Oil-Gas Enrichment of Fault-Karst Carbonate Reservoirs: A Case Study of Ordovician Carbonate Reservoirs in South Tahe Area of Halahatang Oilfield, Tarim Basin. Pet. Explor. Dev. 2020, 47, 306–317. [Google Scholar] [CrossRef]
- Sun, Q.; Fan, T.; Gao, Z.; Wu, J.; Zhang, H.; Jiang, Q.; Liu, N.; Yuan, Y. New Insights on the Geometry and Kinematics of the Shunbei 5 Strike-Slip Fault in the Central Tarim Basin, China. J. Struct. Geol. 2021, 150, 104400. [Google Scholar] [CrossRef]
- Jia, L.; Cai, C.; Wang, Z.; Li, H.; Liu, L.; Luo, Q.; Jiang, L. Calcite Vein System and Its Importance in Tracing Paleowater Flow and Hydrocarbon Migration in the Ordovician Carbonates of the Tazhong Area, Tarim Basin, China. Bulletin 2020, 104, 2401–2428. [Google Scholar] [CrossRef]
- Li, S.; Zhao, S.; Liu, X.; Cao, H.; Yu, S.; Li, X.; Somerville, I.; Yu, S.; Suo, Y. Closure of the Proto-Tethys Ocean and Early Paleozoic Amalgamation of Microcontinental Blocks in East Asia. Earth-Sci. Rev. 2018, 186, 37–75. [Google Scholar] [CrossRef]
- Wu, H.; Zhao, M.; Zhuo, Q.; Lu, X.; Gui, L.; Li, W.; Xu, Z. Quantitative Analysis of the Effect of Salt on Geothermal Temperature and Source Rock Evolution: A Case Study of Kuqa Foreland Basin, Western China. Pet. Explor. Dev. 2016, 43, 602–610. [Google Scholar] [CrossRef]
- Wu, L.; Guan, S.; Ren, R.; Wang, X.; Yang, H.; Jin, J.; Zhu, G. The Characteristics of Precambrian Sedimentary Basin and the Distribution of Deep Source Rock: A Case Study of Tarim Basin in Neoproterozoic and Source Rocks in Early Cambrian, Western China. Pet. Explor. Dev. 2016, 43, 988–999. [Google Scholar] [CrossRef]
- Chen, D.Z. Structure-Controlled Hydrothermal Dolomitization and Hydrothermal Dolomite Reservoirs. Oil Gas Geol. 2008, 29, 614–622. [Google Scholar]
- Wu, G.H.; Li, Q.M.; Zhang, B.S.; Dong, L.S.; Zhang, Y.G.; Zhang, H.Q. Structural Characteristics and Exploration Fields of Faulted Slope Break Zone 1 in Tazhong Area. Acta Pet. Sin. 2005, 37, 27–30. [Google Scholar] [CrossRef]
- Lin, B.; Zhang, X.; Xu, X.; Yuan, J.; Neng, Y.; Zhu, J. Features and Effects of Basement Faults on Deposition in the Tarim Basin. Earth Sci. Rev. 2015, 145, 43–55. [Google Scholar] [CrossRef]
- Zhang, J.; Wang, Z.; Yang, H.; Xu, Z.; Xiao, Z.; Li, Z. Origin and Differential Accumulation of Hydrocarbons in Cambrian Sub-Salt Dolomite Reservoirs in Zhongshen Area, Tarim Basin, NW China. Pet. Explor. Dev. 2017, 44, 40–47. [Google Scholar] [CrossRef]
- Zhang, J.; Zhang, Y.; Gao, Y. Silurian Hydrocarbon Exploration Breakthrough and Its Implications in the Shajingzi Structural Belt of Tarim Basin, NW China. Pet. Explor. Dev. 2022, 49, 233–246. [Google Scholar] [CrossRef]
- Zhang, S.; Gao, Z.; Li, J.; Zhang, B.; Gu, Q.; Lu, Y. Identification and Distribution of Marine Hydrocarbon Source Rocks in the Ordovician and Cambrian of the Tarim Basin. Pet. Explor. Dev. 2012, 39, 305–314. [Google Scholar] [CrossRef]
- Zhang, S.; He, K.; Hu, G.; Mi, J.; Ma, Q.; Liu, K.; Tang, Y. Unique Chemical and Isotopic Characteristics and Origins of Natural Gases in the Paleozoic Marine Formations in the Sichuan Basin, SW China: Isotope Fractionation of Deep and High Mature Carbonate Reservoir Gases. Mar. Pet. Geol. 2018, 89, 68–82. [Google Scholar] [CrossRef]
- Zhang, Y.; Zwingmann, H.; Liu, K.; Todd, A.; Luo, X. Hydrocarbon Charge History of the Silurian Bituminous Sandstone Reservoirs in the Tazhong Uplift, Tarim Basin, China. Bulletin 2011, 95, 395–412. [Google Scholar] [CrossRef]
- Zhu, C.; Xiao, Z.; Zhang, B.; Jin, Y.; Sang, H.; Liu, Y.; Dang, Q. Upper Cambrian-Ordovician Reservoir Characteristics in Well Gucheng-4 Area, Tarim Basin. Pet. Explor. Dev. 2008, 35, 175–181. [Google Scholar] [CrossRef]
- Zhu, G.; Zhang, Z.; Milkov, A.V.; Zhou, X.; Yang, H.; Han, J. Diamondoids as Tracers of Late Gas Charge in Oil Reservoirs: Example from the Tazhong Area, Tarim Basin, China. Fuel 2019, 253, 998–1017. [Google Scholar] [CrossRef]
- Shen, W.; Chen, J.; Wang, Y.; Zhang, K.; Chen, Z.; Luo, G.; Fu, X. The Origin, Migration and Accumulation of the Ordovician Gas in the Tazhong III Region, Tarim Basin, NW China. Mar. Pet. Geol. 2019, 101, 55–77. [Google Scholar] [CrossRef]
- Wang, T.; Jin, Z.; Shi, Z.; Dai, X.; Cheng, R. Phanerozoic Plate History and Structural Evolution of the Tarim Basin, Northwestern China. Int. Geol. Rev. 2020, 62, 1555–1569. [Google Scholar] [CrossRef]
- Zhao, W.; Shen, A.; Zhou, J.; Wang, X.; Lu, J. Types, Characteristics, Origin and Exploration Significance of Reef-Shoal Reservoirs: A Case Study of Tarim Basin, NW China and Sichuan Basin, SW China. Pet. Explor. Dev. 2014, 41, 283–293. [Google Scholar] [CrossRef]
- Du, J.; Pan, W. Accumulation Conditions and Play Targets of Oil and Gas in the Cambrian Subsalt Dolomite, Tarim Basin, NW China. Pet. Explor. Dev. 2016, 43, 360–374. [Google Scholar] [CrossRef]
- Zhang, Z.; Zhang, Y.; Zhu, G.; Han, J.; Chi, L. Multiphase Pools Caused by Gas Invasion in Deep Ordovician Carbonates from the Tazhong Area, Tarim Basin, China. Bulletin 2024, 108, 817–848. [Google Scholar] [CrossRef]
- Ma, Q.Y.; Sha, X.G.; Li, Y.L.; Zhu, X.X.; Yang, S.J.; Li, H.L. Characteristics of Strike-Slip Fault and Its Controlling on Oil in Shuntuoguole Region, Middle Tarim Basin. Pet. Geol. Exp. 2012, 34, 120–124. [Google Scholar] [CrossRef]
- Liang, X.X. Study on the Strike-Slip Faults System and Its Formation Mechanism in the Tazhong Uplift, Tarim Basin. Master’s Thesis, China University of Petroleum-Beijing, Beijing, China, 2022. [Google Scholar]
- Wu, G.H.; Chen, Z.Y.; Qu, T.L.; Wang, C.H.; Li, H.W.; Zhu, H.Y. Characteristics of the Strike-Slip Fault Facies in Ordovician Carbonate in the Tarim Basin, and Its Relations to Hydrocarbon. Acta Geol. Sin. 2012, 86, 219–227. [Google Scholar]
- Wu, G.H.; Ma, B.S.; Han, J.F.; Guan, B.Z.; Chen, X.; Yang, P.; Xie, Z. Origin and Growth Mechanisms of Strike-Slip Faults in the Central Tarim Cratonic Basin, NW China. Pet. Explor. Dev. 2021, 48, 510–520. [Google Scholar] [CrossRef]
- Wu, G.H.; Li, H.H.; Zhang, L.P.; Wang, C.L.; Zhou, B. Reservoir-Forming Conditions of the Ordovician Weathering Crust in the Maigaiti Slope, Tarim Basin, NW China. Pet. Explor. Dev. 2012, 39, 144–153. [Google Scholar] [CrossRef]
- Wang, R.; Liu, K.; Shi, W.; Qin, S.; Zhang, W.; Qi, R.; Xu, L. Reservoir Densification, Pressure Evolution, and Natural Gas Accumulation in the Upper Paleozoic Tight Sandstones in the North Ordos Basin, China. Energies 2022, 15, 1990. [Google Scholar] [CrossRef]
- Zhou, X.; Pang, X.; Li, Q.; Pang, H.; Xiang, C.; Jiang, Z.; Li, S.; Liu, L. Advances and Problems in Hydrocarbon Exploration in the Tazhong Area, Tarim Basin. Pet. Sci. 2010, 7, 164–178. [Google Scholar] [CrossRef]
- Feng, C.G.; Liu, S.W.; Wang, L.S.; Li, C. Present-Day Geotemperature Field Characteristics in the Central Uplift Area of the Tarim Basin and Implications for Hydrocarbon Generation and Preservation. Earth Sci.—J. China Univ. Geosci. 2010, 35, 645–656. [Google Scholar]
- Qiu, N.S.; Wang, X.L.; Yang, H.B.; Xiang, Y. The Characteristics of Temperature Distribution in the Junggar Basin. Chin. J. Geol. 2001, 36, 350–358. [Google Scholar]
- Li, X.; Liu, S.; Feng, C. Thermal Properties of Sedimentary Rocks in the Tarim Basin, Northwestern China. AAPG Bull. 2019, 103, 1605–1624. [Google Scholar] [CrossRef]
- Wang, L.S.; Li, C.; Liu, S.W.; Li, H.; Xu, M.J.; Yu, D.Y.; Jia, C.Z. Terrestrial Heat Flow Distribution in Kuqa Foreland Basin, Tarim, NW China. Pet. Explor. Dev. 2005, 32, 79–83. [Google Scholar]
- Qiu, N.S. Characters of Thermal Conductivity and Radiogenic Heat Production Rate in Basins of Northwest China. Chin. J. Geol. 2002, 37, 196–206. [Google Scholar]
- Wei, D.W. Terrestrial Heat Flow on the Northern Side of Tarim Basin. Sci. Geol. Sin. 1992, 27, 93–96. [Google Scholar]
- Bücker, C.; Rybach, L. A Simple Method to Determine Heat Production from Gamma-Ray Logs. Mar. Pet. Geol. 1996, 13, 373–375. [Google Scholar] [CrossRef]
- Liao, K.Y.; Qiu, N.S.; Chang, J.; Li, D.; Li, H.L.; Ma, A.L.; Li, J.Y. Characteristics of Deep Geothermal Field in Shuntuoguole Area of Tarim Basin. Xinjiang Pet. Geol. 2025, 46, 163–171. [Google Scholar]
- Luo, X.; Zhu, C.Q.; Zhang, B.S.; Tang, B.N.; Chen, T.G. Heat production rate calculation using gamma ray logging of the sedimentary formation in the Tarim Basin, Northwest China. Acta Geol. Sin. 2020, 94, 2078–2088. [Google Scholar] [CrossRef]
- Xiong, J.; Lin, H.; Ding, H.; Pei, H.; Rong, C.; Liao, W. Investigation on Thermal Property Parameters Characteristics of Rocks and Its Influence Factors. Nat. Gas Ind. B 2020, 7, 298–308. [Google Scholar] [CrossRef]
- Hasterock, D.; Chapman, D.S. Heat production and geotherms for the continental lithosphere. Earth Planet. Sci. Lett. 2011, 307, 59–70. [Google Scholar] [CrossRef]
- Tian, H.; Xiao, X.; Wilkins, R.W.T.; Tang, Y. New Insights into the Volume and Pressure Changes during the Thermal Cracking of Oil to Gas in Reservoirs: Implications for the in-Situ Accumulation of Gas Cracked from Oils. AAPG Bull. 2008, 92, 181–200. [Google Scholar] [CrossRef]
- Schenk, H.J.; Di Primio, R.; Horsfield, B. The Conversion of Oil into Gas in Petroleum Reservoirs. Part 1: Comparative Kinetic Investigation of Gas Generation from Crude Oils of Lacustrine, Marine and Fluviodeltaic Origin by Programmed-Temperature Closed-System Pyrolysis. Org. Geochem. 1997, 26, 467–481. [Google Scholar] [CrossRef]
- Li, D. Thermal Evolution of Ultra-Deep Carbonates in the Platform of the Tarim Basin, Northwest China. Doctoral Dissertation, China University of Petroleum-Beijing, Beijing, China, 2024. [Google Scholar]
- Morgan, P. The Thermal Structure and Thermal Evolution of the Continental Lithosphere. Phys. Chem. Earth 1984, 15, 107–193. [Google Scholar] [CrossRef]
- Artemieva, I.M.; Mooney, W.D. Thermal Thickness and Evolution of Precambrian Lithosphere: A Global Study. J. Geophys. Res. Solid Earth 2001, 106, 16387–16414. [Google Scholar] [CrossRef]
- Zang, S.; Liu, Y.; Ning, J. Thermal Structure of Lithosphere in North China. Chin. J. Geophys. 2002, 45, 51–62. [Google Scholar] [CrossRef]
- Jaupart, C.; Mareschal, J.C.; Guillou-Frottier, L.; Davaille, A. Heat Flow and Thickness of the Lithosphere in the Canadian Shield. J. Geophys. Res. Solid Earth 1998, 103, 15269–15286. [Google Scholar] [CrossRef]
- Yang, M.; Yu, P.; Zhu, G.Y.; Zhang, L.L.; Yan, L.; Zhao, C.J.; Chen, Z.Y. Gravity-magnetic-magnetotelluric joint inversion method coupled with seismic constraint information and its application: Case study of the analysis of deep geological structure in Tarim Basin. Nat. Gas Geosci. 2022, 33, 168–179. [Google Scholar]
- Chang, J.; Qiu, N.; Xu, W. Thermal Regime of the Tarim Basin, Northwest China: A Review. Int. Geol. Rev. 2017, 59, 45–61. [Google Scholar] [CrossRef]
- Feng, C.G.; Liu, S.W.; Wang, L.S.; Li, C. Present-Day Geothermal Regime in Tarim Basin, Northwest China. Chin. J. Geophys. 2009, 52, 2752–2762. [Google Scholar] [CrossRef]
- Chen, C.; Zhu, C.; Zhang, B.; Tang, B.; Li, K.; Li, W.; Fu, X. Effect of Temperature on the Thermal Conductivity of Rocks and Its Implication for in Situ Correction. Geofluids 2021, 2021, 6630236. [Google Scholar] [CrossRef]
- Lin, T.; Wang, T.S.; Li, Z.S.; Yuan, W.F.; Ma, W.; Xu, Z.H.; Li, Q.F. Hydrocarbon filling evolution and exploration direction of the Middle-lower-Cambrian interval in Tazhong area, Tarim Basin. J. China Univ. Pet. (Ed. Nat. Sci.) 2021, 45, 42–54. [Google Scholar] [CrossRef]
- Trumpy, E.; Donato, A.; Gianelli, G.; Gola, G.; Minissale, A.; Montanari, D.; Santilano, A.; Manzella, A. Data integration and favourability maps for exploring geothermal systems in Sicily, southern Italy. Geothermics 2015, 56, 1–16. [Google Scholar] [CrossRef]











| Strata | Lithology | Thermal Conductivity (W/(m·K)) | Radiogenic Heat Production | |
|---|---|---|---|---|
| Sample Number | Average ± δ | μW/m2 | ||
| Q + N | Mudstone | 8 | 1.99 ± 0.10 | 0.98 |
| Sandstone | 4 | 1.79 ± 0.77 | ||
| E | Mudstone | 2 | 1.79 ± 0.11 | 1.15 |
| Sandstone | 2 | 1.88 ± 0.20 | ||
| K | Mudstone | 5 | 1.7 ± 0.28 | 1.18 |
| Sandstone | 13 | 2.15 ± 0.57 | ||
| J | Mudstone | 3 | 1.91 ± 0.22 | 1.18 |
| Sandstone | 4 | 1.78 ± 0.67 | ||
| T | Mudstone | 3 | 1.62 ± 0.10 | 1.29 |
| Sandstone | 6 | 1.42 ± 0.26 | ||
| P | Mudstone | 1 | 2.33 | 1.15 |
| Sandstone | 3 | 1.7 ± 0.46 | ||
| C | Mudstone | 6 | 1.93 ± 0.57 | 0.99 |
| Sandstone | 6 | 2.54 ± 0.78 | ||
| D | Mudstone | 2 | 2.64 ± 0.09 | 1.18 |
| Sandstone | 4 | 2.33 ± 0.85 | ||
| S | Sandstone | 18 | 2.48 ± 1.08 | 1.22 |
| Mudstone | 15 | 2.28 ± 0.96 | ||
| O | Mudstone | 3 | 2.08 ± 0.76 | 1.22 for Clastic rock |
| Sandstone | 11 | 3.01 ± 1.28 | ||
| Limestone | 56 | 2.82 ± 1.12 | 0.51 for Carbonate | |
| Dolomite | 6 | 3.52 ± 1.10 | ||
| ∈ | Dolomite | 7 | 4.12 ± 0.77 | 0.64 |
| Limestone | 2 | 3.72 ± 0.77 | ||
| Gypsum | 8 | 4.52 ± 1.1 | ||
| Z | Granite | 3 | 2.23 ± 0.29 | / |
Disclaimer/Publisher’s Note: The statements, opinions and data contained in all publications are solely those of the individual author(s) and contributor(s) and not of MDPI and/or the editor(s). MDPI and/or the editor(s) disclaim responsibility for any injury to people or property resulting from any ideas, methods, instructions or products referred to in the content. |
© 2026 by the authors. Licensee MDPI, Basel, Switzerland. This article is an open access article distributed under the terms and conditions of the Creative Commons Attribution (CC BY) license.
Share and Cite
Yang, C.; Cheng, M.; Rui, Y.; Su, J.; Zhang, K.; Zhao, Q.; Chen, B.; Li, Y.; Liu, Y. Terrestrial Heat Flow and Crustal Thermal Structure of the Tazhong Uplift, Tarim Basin, Northwest China. Processes 2026, 14, 980. https://doi.org/10.3390/pr14060980
Yang C, Cheng M, Rui Y, Su J, Zhang K, Zhao Q, Chen B, Li Y, Liu Y. Terrestrial Heat Flow and Crustal Thermal Structure of the Tazhong Uplift, Tarim Basin, Northwest China. Processes. 2026; 14(6):980. https://doi.org/10.3390/pr14060980
Chicago/Turabian StyleYang, Chunlong, Ming Cheng, Yurun Rui, Jin Su, Ke Zhang, Qing Zhao, Baoyi Chen, Yunzhan Li, and Yuyang Liu. 2026. "Terrestrial Heat Flow and Crustal Thermal Structure of the Tazhong Uplift, Tarim Basin, Northwest China" Processes 14, no. 6: 980. https://doi.org/10.3390/pr14060980
APA StyleYang, C., Cheng, M., Rui, Y., Su, J., Zhang, K., Zhao, Q., Chen, B., Li, Y., & Liu, Y. (2026). Terrestrial Heat Flow and Crustal Thermal Structure of the Tazhong Uplift, Tarim Basin, Northwest China. Processes, 14(6), 980. https://doi.org/10.3390/pr14060980

