Next Article in Journal
Characteristics and Hydrocarbon Generation Potential of Permian Source Rocks in the Yining Sag, Ili Basin, Western China
Next Article in Special Issue
Study on the Characteristics and Mechanisms of Drilling Fluid Loss in Kuqa, Tarim Oilfield
Previous Article in Journal
Mechanical Stability Evaluation Method and Application for Subsea Christmas Tree-Wellhead Systems Considering Seismic and Corrosion Effects
Previous Article in Special Issue
Data-Driven Prediction of Carbonate Formation Pressure Using LSTM-Based Machine Learning
 
 
Font Type:
Arial Georgia Verdana
Font Size:
Aa Aa Aa
Line Spacing:
Column Width:
Background:
Article

Research on the Evaluation of 10,000-Meter Ultra-Deep Well Lost Circulation Material Properties Resistant to 240 °C High Temperatures

1
China National Petroleum Corporation (CNPC) Tarim Oilfield Branch, Korla 841000, China
2
CNPC Ultra-Deep Complex Oil and Gas Reservoir Exploration and Development Technology Research and Development Center, Korla 841000, China
3
Xinjiang Uyghur Autonomous Region Ultra-Deep Complex Oil and Gas Reservoir Exploration and Development Engineering Research Center, Korla 841000, China
4
Xinjiang Ultra-Deep Oil and Gas Key Laboratory, Korla 841000, China
5
College of Chemistry and Chemical Engineering, Chongqing University of Science and Technology, Huxi Campus, Chongqing 401331, China
*
Author to whom correspondence should be addressed.
Processes 2026, 14(3), 433; https://doi.org/10.3390/pr14030433
Submission received: 17 October 2025 / Revised: 23 December 2025 / Accepted: 29 December 2025 / Published: 26 January 2026

Abstract

During the drilling process of 10,000 m deep wells, loss zones face complex environments with ultra-high temperatures and pressures. Traditional bridging plugging materials exhibit insufficient temperature resistance and tend to carbonize under downhole high-temperature conditions, leading to recurrent loss. To address the technical challenges of drilling fluid loss in ultra-high-temperature formations of 10,000 m deep wells, experimental research was conducted to evaluate the properties of plugging materials resistant to 240 °C. Rigid particles, elastic particles, flaky materials, and fiber materials resistant to 240 °C were optimized. An experimental evaluation method for ultra-high-temperature dense pressure-bearing loss prevention and plugging formulations was established. The ultra-high-temperature while-drilling leak prevention formulation was optimized through sand disk plugging experiments. Millimeter-scale fracture plugging simulation experiments optimized ultra-high-temperature stop-drilling plugging formulations for different fracture apertures, achieving a bearing capacity of 15 MPa within 1–5 mm fracture apertures. Through the synergistic effects of various loss prevention materials, a reinforced force chain network structure forming a dense pressure-bearing plugging layer was achieved under 240 °C high-temperature conditions. This research provides material and system support for the solving drilling fluid loss challenges in high-temperature formations of 10,000 m ultra-deep wells.

1. Introduction

With the continuous expansion of oil and gas resource exploration and development, the industry is gradually advancing into complex high-temperature formations such as onshore ultra-deep layers, deepwater subsea formations, geothermal reservoirs, and hot dry rocks [1]. Formations with temperatures exceeding 150 °C are defined as high-temperature formations, while those exceeding 205 °C are classified as ultra-high-temperature formations [2]. The successful completion of China’s first 10,000 m ultra-deep well, Well XX1, has inaugurated a new chapter in China’s 10,000 m oil and gas drilling. Furthermore, in areas like the Tarim Basin, where formation temperatures reach 200 °C, over 90% of operational complexities involve fluid influx and lost circulation. Conventional lost circulation materials struggle to meet the demands of ultra-high-temperature environments [3,4,5]. The high-temperature conditions in complex formations pose severe challenges for bridge plugging, requiring enhanced performances in temperature resistance, compressive strength, settlement stability, and retention capability within loss zones.
Kang Yili et al. [6] conducted high-temperature aging evaluation experiments using walnut shells and millimeter-sized calcium carbonate—common drilling materials—as research subjects. Their analysis emphasized the necessity of including high-temperature aging performance as a critical evaluation metric for lost circulation materials. Bao Dan et al. [7] revealed the degradation mechanisms of high-temperature aging through technical indicators such as mass loss rate, particle size downgrading rate, compressive crushing rate, elastic deformation rate, friction coefficient variation rate, and fiber tensile strength retention rate. Based on the fundamental principles of dense pressure-bearing plugging via robust chain network structures, they optimized formulations for high-temperature-resistant, dense pressure-bearing plugging fluids tailored to different fracture apertures through the synergistic combination of various high-temperature-resistant materials. Current research highlights the need to establish evaluation methods for lost circulation material properties under ultra-high-temperature conditions to guide the development and selection of ultra-high-temperature lost circulation control materials.
Wang Jianli et al. [8] synthesized a polymer particle resistant to 180 °C using styrene, acrylamide, and N, N′-methylenebisacrylamide via emulsion polymerization, with an average particle size of 21.36 μm, for application in drilling fluid loss prevention. Zhang Wei et al. [9] developed a high-temperature-resistant (200 °C) pressure-bearing enhancer for drilling fluids using rigid particles, flexible particles, and water-absorbing polymer particles. Xiong Zhengqiang et al. [10] formulated a 200 °C-resistant drilling fluid loss control agent composed of rigid particles, mineral fibers, deformable particles, fluid loss reducers, and high-temperature protective agents. Elastic graphite, formed by the high-temperature treatment of graphite into fine carbon particles, exhibits high-temperature resistance, elasticity, deformability, and chemical stability [11,12]. Mineral materials such as calcium carbonate, mica, vermiculite, and shell powder demonstrate excellent high-temperature resistance [13]. Luo Ming et al. [14] selected elastic plugging agent FLEX and composite plugging agent VANGUARD for high-temperature (200 °C) and high-pressure lost circulation scenarios in the Yinggehai Basin of the South China Sea. Duan Yongxian et al. [15] employed rigid bridging particles with low density, high mechanical strength, and high-temperature resistance (>160 °C). Ai Zhengqing et al. [16] introduced multi-faceted serrated aluminum alloy particles with oil-phase dispersibility, high rigidity, and acid solubility (density: 1.60 g/cm3), demonstrating superior temperature resistance. Experts and scholars have conducted thermal resistance evaluations of fine packing particles, elastic particles, and flaky materials. Simultaneously, high-temperature-resistant inorganic and polymer composite materials were prepared. Under conditions of 220 °C and an acidic environment, a high-temperature- and high-pressure-resistant plugging agent can be formed through formulation optimization and particle gradation. The experiments simulated the plugging capability of the materials under different fracture widths, demonstrating the feasibility of an inorganic + thermally stable particle composite system for lost circulation control in high-temperature deep wells [17,18,19].
As China advances toward drilling depths of 10,000 m, downhole temperatures are expected to commonly exceed 200 °C, though they have not yet reached 240 °C or above. Therefore, selecting 240 °C as the experimental threshold aims to simulate and address the extreme high-temperature environments that may be encountered in current and future ultra-deep drilling operations, demonstrating clear on-site relevance and representativeness. This paper investigates the high-temperature failure mechanisms of conventional bridge plugging materials through analyses of physico-chemical properties, mechanical performance, and structural degradation. A systematic selection of high-temperature-resistant (240 °C) rigid particles, elastic particles, and fibrous materials has been conducted, along with an optimization of drilling fluid loss prevention and static lost circulation system formulations. These advancements provide critical technical support for safe and efficient drilling in 10,000 m ultra-deep wells.

2. Materials, Apparatus, and Experimental Methods

2.1. Materials

Nut shells, calcium carbonate particles, elastic graphite, and mica were sourced from drilling sites in the Tarim Oilfield. The particle size of the lost circulation materials was adjusted according to experimental requirements. Polyimide and basalt fiber were obtained from Macklin Inc., Shanghai, China.
The water-based drilling fluid was a potassium-based polysulfonate system, and the oil-based drilling fluid was a water-in-oil emulsion system, both sourced from drilling sites in the Tarim Oilfield.

2.2. Experimental Apparatus

A high-temperature and high-pressure fracture-plugging experimental apparatus was independently developed by Chongqing University of Science and Technology. The PPA (Permeability Plugging Apparatus) was provided by Shandong Haitongda Instrument Co., Ltd., Qingdao, China. Scanning electron microscopy was performed using an instrument from Guoyi Company, Xiamen, China. A universal testing machine was supplied by Jinan Quanli Testing Instrument Co., Ltd., Jinan, China. High-temperature roller ovens, aging cells, and balances were provided by Shandong Haitongda Instrument Co., Ltd., Zibo, China.

2.3. Experimental Methods

Mass Loss Rate: Using the field drilling fluid system, a 500 mL test slurry was prepared with a mass fraction of 4% lost circulation material (6–40 mesh) uniformly mixed. The slurry was placed in a high-temperature roller oven and aged at 240 °C for 16 h or 48 h. After cooling to room temperature, the lost circulation material was sieved out, washed, dried, and weighed before and after aging. The mass loss rate was calculated as (m1 − m2)/m1, where m1 is the mass before aging and m2 is the mass after aging.
Compressive Strength Retention Rate: Following the rolling aging procedure described above, the compressive D90 size degradation rate was measured to evaluate the compressive strength of the lost circulation material. The D90 value of the material before compression was determined by sieving. After high-temperature aging, a pressure of 60 MPa was applied for 10 min, and the D90 value after compression was again determined by sieving. The particle size degradation rate SC was used as an evaluation index to characterize the compressive strength retention rate.
Plugging Performance Evaluation of the While-Drilling Leak Prevention System: A PPA (Permeability Plugging Apparatus) was used to measure the filtration loss under conditions of 240 °C and 7 MPa. The plugging condition of the sand disk was observed using scanning electron microscopy.
Plugging Performance Evaluation of the Pressure-Bearing Lost Circulation System: A high-temperature and high-pressure fracture-plugging experimental apparatus was employed to test the pressure-bearing capacity and leakage volume of the lost circulation formulations for different fracture widths, and to optimize the formulations. The prepared lost circulation working fluid was injected into an autoclave equipped with a fracture module of a specific width. At the set temperature (240 °C), a piston was driven at a constant rate to squeeze the lost circulation system into the fracture until the plugging layer failed and fluid breakthrough occurred. The maximum pressure before failure (i.e., the pressure-bearing capacity) and the leakage volume before breakthrough were recorded.

3. Causes of Ultra-High-Temperature Sealing Instability and Failure in Traditional Bridging and Plugging Materials

3.1. Structural Performance Weakening Due to Persistent Ultra-High-Temperature Aging

Shell and walnut shell particles are abundant and cost-effective. As a result, they remain commonly used bridging and plugging materials for field lost circulation control. Figure 1 shows scanning electron microscopy images of fruit shells before and after 240 °C high-temperature aging. Fruit shells before aging exhibit relatively compact micro structures, while after high-temperature aging, structural weakening occurs with significant pore formation. The primary chemical components of plant-based materials consist of a hemicellulose–cellulose–lignin composite system. During thermal aging, internal moisture (including physically adsorbed water and chemically bound water) undergoes desorption, while cellulose—the least thermally stable component—initiates pyrolysis first, causing overall mass loss. As the critical interfacial phase between cellulose and lignin, cellulose degradation disrupts the material’s three-dimensional network structure, induces inter cellular layer fractures, and creates porous structures, leading to a substantial reduction in compressive strength. With prolonged heating, hydrogen and oxygen elements gradually dissociate from lignin molecules, transforming into mechanically inferior carbonaceous products through pyrolysis. This process, accompanied by material darkening, causes the continuous weakening of mechanical properties. The mechanical degradation of plant-based materials after thermal aging makes sealing layers prone to plastic deformation and fragmentation instability under stress, ultimately resulting in downhole plugging operation failures and recurrent leakage in high-temperature formations.
The Figure 2 shows the thermogravimetric analysis (TGA) curve of walnut shell. At temperatures < 150 °C, moisture evaporates, resulting in a mass loss of about 6%. In the temperature range of 200–400 °C, the primary pyrolysis zone of cellulose/hemicellulose leads to a mass loss of approximately 65%. At temperatures > 400 °C, lignin undergoes slow carbonization, with a final residual char yield of about 20%. The walnut shell has already entered the initial stage of pyrolysis at 240 °C, where its structural strength decreases significantly. This verifies that it is unsuitable for ultra-high-temperature lost circulation applications.

3.2. Erosion in Ultra-High-Temperature Environments Alters Material Physical Properties

Traditional bridging materials such as nut shells and calcium carbonate undergo significant particle size reduction during pumping operations or fracture contact in ultra-high-temperature environments, with the particle size progressively decreasing as aging time extends. Particularly, nut shells experience a D50 value reduction from 1.50 mm to 0.70 mm after 48 h of aging at 240 °C. Structural degradation occurs in nut shell-type plugging materials during thermal aging, triggering particle size diminution effects. When the median particle size deviates from the optimal matching range with formation fracture apertures, it substantially compromises the construction efficiency of sealing layers. Even if effective plugging is initially achieved, the continuous particle degradation of bridging materials leads to sealing structure disintegration over time, ultimately inducing secondary leakage. The experimental results demonstrate significant morphological parameter changes in calcium carbonate and nut shell materials after 240 °C thermal aging: sphericity increases by 42–65%, surface roughness decreases by 78–92%, and interface friction coefficient drops to 32–45% of initial values. During this process, traditional bridging particles exhibit distinct morphological evolution under combined thermal degradation and mechanical erosion, transitioning from irregular polyhedrons to quasi-spherical shapes with reduced surface energy levels. From tribological mechanisms, interface friction originates from the mechanical interlocking of surface asperities. The loss of surface roughness characteristics weakens both adhesive and deformation components at contact interfaces, leading to significant friction reduction. This interface property degradation triggers dual destabilization mechanisms: macroscopically increasing susceptibility to frictional slippage in sealing layers and microscopically reducing the topological configuration stability of inter particle force chain networks under shear stress, making lattice dislocations more likely. These synergistic effects ultimately exacerbate repetitive leakage risks in ultra-high-temperature formations.

3.3. Ultra-High-Temperature Aging Alters Material Chemical Properties

Elastic polymer plugging materials such as rubber and thermoplastic materials undergo molecular chain fracture and recombination under thermal degradation, generating tar-like viscous phases that induce particle agglomeration. This morphological change significantly weakens the material’s adaptability to original fracture apertures, reducing sealing compatibility. In downhole high-temperature environments, the activation of viscous components on material surfaces increases risks of tool adhesion and pipeline blockage, with elastic recovery performance decreased by 62–78%, rendering them incapable of maintaining high-temperature elastic sealing functions, particularly for induced variable fractures. Synthetic fiber materials like polyester and polypropylene-based fibers generally have thermal softening thresholds below 200 °C. When exposed to 240 °C ultra-high-temperature environments, intensified molecular chain movement causes thermal phase transitions, resulting in fiber melting and reconstruction into massive agglomerates that completely lose the high aspect ratio and high surface area advantages characteristic of fiber reinforcement phases. This failure to provide the necessary shear-bearing capacity leads to the premature failure of high-temperature formation plugging structures.

3.4. High-Temperature Aging-Induced Destabilization of Sealing Layers

Using a high-temperature high-pressure fracture sealing simulation experimental device, we evaluated the fracture sealing pressure-bearing capacity of walnut shells and limestone at equivalent volume concentrations under high-temperature conditions in 2 mm-aperture wedge-shaped fractures. As shown in Table 1,walnut shells without aging demonstrated a high pressure-bearing capacity in fracture sealing experiments. After high-temperature aging, walnut shells showed a sealing pressure-bearing capacity of only 0.5 MPa. Limestone maintained a high pressure-bearing capacity (10 MPa) after high-temperature aging with minimal leakage. The pressure-bearing capacity of sealing layers primarily depends on the bridging effect between particles and fracture walls, along with the structural strength within the sealing layer. The high-temperature aging degradation of plant-based particles like walnut shells causes particle size reduction, preventing the effective bridging sealing of original fracture apertures. Reduced compressive strength after thermal aging leads to crushing and downgrading under external forces, easily causing sealing layer destabilization. Decreased surface friction coefficients after aging make sealing layers prone to frictional sliding instability under stress, while reduced inter particle friction within the sealing layer facilitates shear displacement failure, resulting in a low pressure-bearing capacity.
To investigate the impact of high-temperature aging duration on plugging effectiveness, pre-aged walnut shells and limestone were used for plugging experiments under both ambient and high-temperature conditions. Based on the plugging breakthrough pressures shown in the above table, pressurization was stopped at 1 MPa before breakthrough. Subsequent breakthrough pressures were measured after maintaining the pressure for a designated period, with the experimental results detailed in the following table.
As shown in Table 2, walnut shell particles were subjected to plugging experiments at 240 °C. The pressure inside the autoclave was maintained at 6 MPa, and after 3.0 h of static placement, the plugging layer experienced breakthrough. This proves that even when an initial plugging layer is formed, with prolonged exposure to high temperatures, walnut shells undergo aging reactions, resulting in reduced internal strength, easily leading to the destabilization and failure of the plugging layer. Therefore, organic plant-based plugging materials are not suitable for ultra-high-temperature(≥240 °C) formation plugging operations.

4. Optimization of Ultra-High-Temperature Leak Prevention and Plugging Materials

Bridging plugging materials are the most commonly used materials for field leak treatment, generally categorized as granular, flaky, and fibrous. Granular materials are further divided into bridging particles and filling particles. Bridging particles require a high compressive strength to the ensure successful formation of a plugging layer framework in fractures. Ultra-high-temperature bridging plugging materials for 10,000 m ultra-deep wells must maintain unchanged physical and mechanical properties after high-temperature aging, with aging temperature ≥200 °C. Organic plant-based materials such as walnut shells and fruit shells mainly consist of hemicellulose, cellulose, and lignin. High-temperature aging causes the removal of physical water and chemically adsorbed water [20,21], damaging the overall structure and causing inter cellular layer fractures with numerous pores, resulting in reduced compressive strength. These materials are prone to crushing instability in plugging layers and should not be used for ultra-high-temperature formation plugging operations [22]. Organic materials like rubber particles and polypropylene fibers experience molecular chain scission at temperatures ≥200 °C, leading to melting or pyrolysis, making them unsuitable for ultra-high-temperature formation plugging operations.
Inorganic materials such as calcium carbonate, mica, resilient graphite, limestone, and quartz sand exhibit excellent high-temperature resistance. Several common ultra-high-temperature inorganic materials were preferentially selected for high-temperature aging performance evaluation. The above inorganic rigid materials with 6–40 mesh sizes underwent 240 °C/16 h rolling aging, followed by the observation of morphology and testing of mass loss rate and compressive strength retention rate. TLM-SCC, TLM-RGC, and TLM-MIC represent calcium carbonate particles, resilient graphite granules, and mica flakes, respectively. As shown in Figure 3 and Figure 4, all three materials demonstrated minimal mass loss rates, with almost no mass loss occurring under high-temperature aging. The compressive strength retention rates all exceeded 95%, proving that they maintain a high compressive strength after 240 °C aging, with no changes observed in surface morphology. Elastic graphite is a form of carbon with an extremely high melting point and excellent thermal stability, while mica is a layered silicate mineral that also demonstrates superior temperature resistance.
Inorganic materials (e.g., TLM-SCC, TLM-RGC, TLM-MIC, TLM-HTF) possess strong chemical bonds (ionic and covalent bonds) and high melting points, ensuring stable chemical structures without thermal decomposition at 240 °C. Consequently, mechanical properties such as hardness and strength are retained after aging. In contrast, organic materials like nut shells and polymer fibers, which are based on carbon chains and weaker bonds, are prone to chemical degradation, such as oxidation, chain scission, and carbonization under high-temperature conditions. This leads to poor mechanical and chemical stability, manifested as embrittlement, softening, and a loss of strength.
When handling fracture-induced lost circulation, high-strength bridging particles serve as one of the key factors in forming pressure-bearing sealing layers. Through the synergistic effects of filler particles, elastic particles, fibers, and flaky materials, dense pressure-bearing sealing layers can be formed. Small-sized calcium carbonate particles TLM-SCC, resilient graphite TLM-RGC, and mica flakes TLM-MIC maintain nearly unchanged mechanical properties after 240 °C aging, making them suitable for ultra-high-temperature formation lost circulation operations. However, when addressing large-aperture fracture losses in high-temperature formations, larger limestone particles exhibit strong brittleness, low compressive strength, high density (2.7 g/cm3), and poor suspension stability under high temperatures, making them unsuitable as bridging particles [23]. Additionally, plant-based fibers and organic fiber materials lack sufficient temperature resistance. Therefore, there is an urgent need to develop high-temperature-resistant rigid bridging particles and high-temperature-resistant fiber materials for lost circulation.
To meet the requirements of high-temperature formation lost circulation operations, sealing materials must maintain stable physical and mechanical properties during prolonged use at high temperatures (≥240 °C). Heat-resistant polymers are macro molecular materials capable of long-term service within 150–300 °C [24]. Selection criteria for heat-resistant polymers include: (1) resistance to chemical changes under thermal or thermo-oxidative conditions, typically choosing elemental polymers (e.g., fluoro polymers, silicone polymers) and hetero cyclic polymers; (2) retention of certain physical and mechanical properties at service temperatures (excluding ablative materials), generally selecting materials with high molecular chain rigidity, high glass transition temperatures, or moderately cross-linked materials [25,26]. Recent advancements in heat-resistant polymer research provide technical references for developing new high-temperature lost circulation materials.
Polyimide is an aromatic hetero cyclic polymer compound whose molecular structure contains imide group chain segments. It can withstand high temperatures of 290 °C for extended periods and 490 °C for short durations. Additionally, it exhibits excellent mechanical properties, fatigue resistance, flame retardancy, dimensional stability, and wear resistance [27,28]. When crushed into particles of different sizes, polyimide becomes an ultra-high-temperature leak prevention and bridging material TLM-HTP, which demonstrates better suspension in drilling fluids compared to high-density mineral particles. Inorganic leak plugging materials outperform plant fibers and polymer fibers in high-temperature resistance. Based on this, basalt fiber is selected as the ultra-high-temperature fiber leak plugging agent TLM-HTF, which can be processed into 3 mm, 6 mm, and 12 mm lengths for leak prevention. The mass loss rate and strength retention of TLM-HTP and TLM-HTF after 48 h of aging at 240 °C were tested. As shown in Figure 5 and Figure 6, these materials show almost no mass loss after ultra-high-temperature aging while maintaining high strength retention, proving their effectiveness in leak plugging under 240 °C ultra-high-temperature conditions. Polyimide is a stable high-molecular-weight polymer with excellent chemical stability and low susceptibility to decomposition, generally regarded as a low-toxicity or non-toxic material. As an inert lost circulation material, polyimide poses minimal risk of potential formation contamination. Furthermore, its applications in medical devices and the food industry demonstrate its biocompatibility and safety.
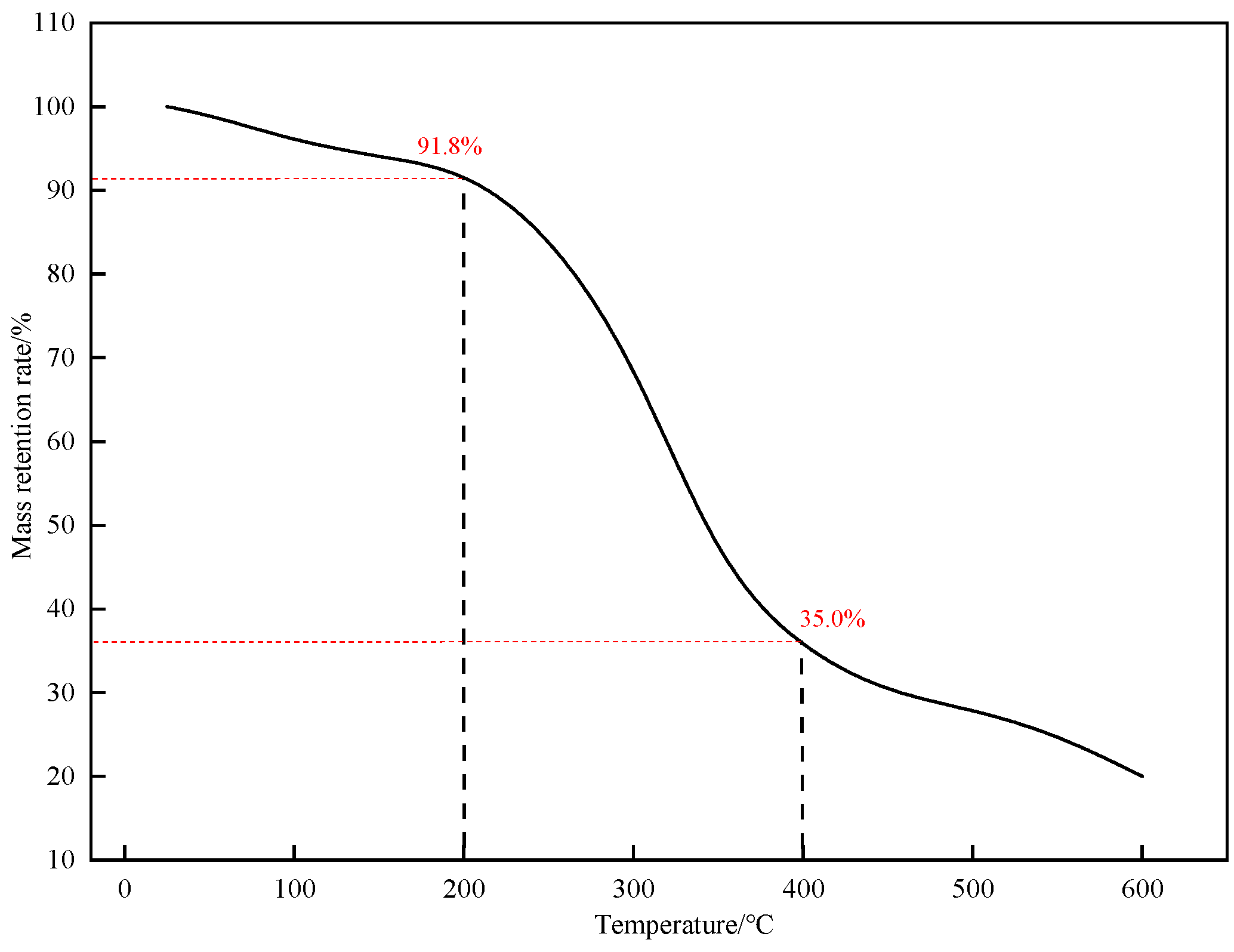
The thermal resistance of polyimide originates from its highly aromatic, rigid, and fully conjugated molecular chain structure. The molecular backbone of polyimide consists of alternating benzene rings (aromatic rings) and five- or six-membered imide rings (composed of carbonyl groups C=O and nitrogen atoms N). This structure is classified as an aromatic heterocyclic polymer. The π-electrons in the benzene and imide rings form an extensively delocalized conjugated system. The electron cloud is distributed across the entire molecular framework, lowering the molecular energy and conferring exceptional structural stability. Disrupting this structure requires extremely high energy (i.e., high temperatures). The benzene rings are planar and rigid, significantly restricting the rotation and flexibility of the molecular chains, thereby requiring very high temperatures for segmental motion to occur. As shown in Figure 7, the thermogravimetric analysis data of polyimide particles (TLM-HTP) show that at 240 °C, the mass retention rate is as high as 99.8%, with a cumulative mass loss of only 0.2%. Its initial thermal decomposition temperature exceeds 550 °C, and the mass retention rate remains as high as 92.3% at 600 °C, far exceeding the temperature requirements of ultra-deep well drilling environments.
The high-temperature resistance of basalt fiber, on the other hand, stems from the network structure of its inorganic silicate glass. Basalt fiber is formed by melting basalt rock at high temperatures and drawing it into filaments, with silicon dioxide (SiO2) as its primary component. The fundamental structural unit of SiO2 is the [SiO4] tetrahedron, where each silicon atom is covalently bonded to four oxygen atoms. Covalent bonds are highly stable and resistant to high temperatures. In the molten state, these [SiO4] tetrahedra connect by sharing oxygen atoms, forming a continuous, disordered, yet dense three-dimensional network structure. Other metal oxides in basalt, such as Al2O3, CaO, MgO, and Fe2O3, integrate into this network. The Si-O bond is one of the most stable chemical bonds in nature, with a bond energy as high as 460 kJ/mol. The dense three-dimensional network formed by Si-O bonds exhibits an extremely high activation energy, making it highly stable in oxidative, acidic, or alkaline environments and exceptionally difficult to break under thermal excitation.

5. Experimental Study on Optimization of Ultra-High-Temperature Dense Pressure-Bearing Leak Prevention and Plugging Formulations

Field leak incidents are typically addressed through while-drilling leak prevention and pressure-bearing plugging. For cases with low leak rates, while-drilling leak prevention technology is employed. This uses smaller-sized plugging materials to achieve simultaneous drilling and plugging, effectively preventing drilling fluid loss while enhancing formation pressure-bearing capacity. For scenarios involving high leak rates or weak formations, pressure-bearing plugging technology is adopted. This generally utilizes larger-sized plugging materials that are compacted into the formation to improve pressure-bearing capacity. Ultra-high-temperature dense pressure-bearing means that under high-temperature formation conditions, a plugging layer can be formed. This layer exhibits a high pressure-bearing capacity, possesses an internally dense structure, and effectively prevents drilling fluid loss.
While-drilling leak prevention technology primarily targets micro-pore formations encountered during drilling. Sand disk permeability plugging experiments have become a crucial method for evaluating the sealing performance of drilling fluids in porous formations [29]. By simulating downhole high-temperature (up to 260 °C) and high-pressure (up to 27 MPa) environments, and using sand disks with different permeability values (e.g., 20 μm2, 10 μm2, 2 μm2, etc.) as filtration media to simulate formation pores, the fluid loss volume of drilling fluids is tested to assess their leak prevention and plugging capabilities in porous formations.
Based on the leakage-induced permeability and fracture apertures in porous and micro-fractured formations, sand disks with permeability of 10–20 μm2 are selected as filtration media to simulate pore formations with 35–60 μm apertures. Fine limestone particles and elastic graphite particles are sieved into four size grades: 10–30 μm, 30–60 μm, 100–250 μm, and 300–500 μm. The particle size distribution of while-drilling leak control materials is shown in Table 3.
Pressure-bearing plugging technology primarily targets formations with large-aperture fractures encountered during drilling. Using a high-temperature high-pressure fracture plugging simulation experimental apparatus, the sealing performance of ultra-high-temperature compact pressure-bearing plugging formulations on fractures with different apertures (1–5 mm, etc.) is evaluated (Figure 8), with the aim of optimizing high pressure-bearing compact plugging formulations.

5.1. Evaluation of Sealing Performance for Ultra-High-Temperature While-Drilling Loss Prevention Formulations

Using high-temperature water-based drilling fluid from the high-temperature oil-based drilling fluid from the Tarim Basin as experimental base slurries, the formula for ultra-high-temperature while-drilling tight pressure-bearing leak prevention and plugging working fluid system was optimized. The optimized permeable while-drilling leak prevention formula is as follows: base slurry + 2% TLM-SCC60 + 1% TLM-SCC30 + 2% TLM-RGC30 + 0.5% TLM-HTF.
Sand disks with permeability of 20 μm2 were selected as filtration media. The sealing performance of experimental base slurries and while-drilling leak prevention working fluid formulas was evaluated using a permeable sealing experimental device. Figure 9 shows the sand disk sealing performance evaluation results of different drilling fluid systems. The total filtration loss of water-based drilling fluid was 24 mL, with instantaneous filtration loss and static filtration rate being 5.33 mL and 3.41 mL/min1/2, respectively. After adding the while-drilling leak prevention formula, the total filtration loss decreased to 11 mL, with instantaneous filtration loss and static filtration rate reducing to 3.50 mL and 1.39 mL/min1/2, respectively. The total filtration loss, instantaneous filtration loss, and static filtration rate of oil-based drilling fluid also significantly decreased after adding the while-drilling leak prevention agent. Since the selected LCMs are all inert and compatible with both oil and water phases, the filtration loss of oil-based drilling fluids is lower than that of water-based drilling fluids. The primary differences may manifest in the dispersion stability of the materials, but this can be resolved by adjusting the wetting agents and emulsifiers in the oil-based drilling fluid.
Figure 10 shows SEM images of the water-based drilling fluid before and after sealing the sand disk. The unsealed sand disk exhibited numerous micropores, while the sealed structure became dense with effective plugging performance.

5.2. Evaluation of Sealing Performance of Ultra-High-Temperature Pressure-Bearing Loss-Off Sealing Formulations

Through the synergistic effect of optimized high-temperature-resistant and high-strength bridging particles TLM-HTP, high-temperature-resistant and high-strength leak-blocking fibers TLM-HTF, small-sized limestone filler particles, elastic graphite particles, mica flakes, and other different types of high-temperature-resistant leak-blocking materials, we experimentally optimized the high-temperature-resistant compact pressure-bearing leak-blocking working fluid formulas for different fracture widths by utilizing reasonable particle size gradation and concentration control. The experimental results are shown in Table 4 and Figure 11.
As shown in Table 5, the optimized high-temperature-resistant dense pressure-bearing plugging work fluid formulation demonstrates a sealing layer pressure-bearing capacity up to 15 MPa. It can rapidly form a sealing layer with low leakage loss, meeting the special requirements for plugging operations in ultra-high-temperature (240 °C) formations or reservoirs. The pressure variation in the plugging zone was monitored via computer, as shown in Figure 11. The pressure remained stable at 15 MPa for 10 min without breakthrough, indicating a pressure-bearing capacity of 15 MPa. Moreover, as the fracture aperture increased, the plugging time extended, requiring more materials to enter the fracture to achieve the high pressure-bearing performance. Table 1 shows that the pressure-bearing capacity of walnut shell decreases to 0.5 MPa under high-temperature conditions at 240 °C, while limestone particles maintain a pressure-bearing capacity of 10 MPa. The optimized lost circulation formulation developed in this study achieves a pressure-bearing capacity of 15 MPa at 240 °C, clearly demonstrating a significant improvement in both the temperature resistance and plugging efficiency of the materials presented in this work.
Figure 12 shows that after ultra-high-temperature aging, the high-temperature sealing layer maintains an intact structure with excellent thermal resistance. Before aging, the plugging layer exhibits a dense structure, with different materials (particles, fibers, and flaky materials) tightly integrated and minimal porosity. After aging, the overall structure of the plugging layer remains intact, without large cracks or voids caused by material degradation. This demonstrates that the selected materials can maintain a stable microstructure even after aging at 240 °C, thereby ensuring their plugging performance.
The high-temperature-resistant lost circulation materials in this paper can maintain their original physical structure and mechanical properties under ultra-high-temperature conditions (240 °C). Through the synergistic effect of different types of lost circulation materials, they can form a dense pressure-bearing sealing layer with a reinforced force chain network structure in high-temperature environments. The novel high-temperature-resistant high-strength bridging particles TLM-HTP possess a high compressive strength, which helps establish the framework of the sealing layer. Fine limestone particles fill between the frameworks, increasing the average coordination number of particles and enhancing the number of strong force chains in the sealing layer. Elastic graphite, with its elastic deformation characteristics, fills between micro-pores to reduce the permeability of the sealing layer and increase the average coordination number of particles, thereby improving the probability of forming strong force chains through particle connections. The lost circulation fiber TLM-HTF can enhance the shear strength of the sealing layer, facilitate the formation of a strong force chain network structure, and improve the internal structural strength of the sealing layer [30,31,32]. The experiment further optimized the particle size distribution of different types of granular materials, increased the average coordination number of particles, and reduced the permeability of the sealing layer [33,34].
As shown in Table 5, based on the formula optimization results of the ultra-high-temperature dense pressure-bearing leak prevention and lost circulation working fluid system specifically designed for both drilling and non-drilling operations, the pilot-scale products of the high-temperature-resistant pressure-bearing lost circulation agent TLM-HTD series have been developed. These products exhibit a temperature resistance ≥ 240 °C and demonstrate high sealing and pressure-bearing capabilities. This new series of high-temperature leak prevention and lost circulation agents consists of inert materials, capable of treating lost circulation in both high-temperature water-based and oil-based drilling fluids. They can effectively implement leak prevention during drilling or prepare lost circulation working fluids for plugging operations through slug treatment, addressing different leakage scenarios (leakage rates).
This study systematically evaluated and revealed the failure mechanisms of traditional materials under ultra-high temperatures of 240 °C. It also selected and developed a novel high-temperature-resistant lost circulation material system capable of withstanding 240 °C, including polyimide rigid particles and basalt fibers. Furthermore, optimized formulations suitable for both while-drilling leak prevention and stop-drilling pressure-bearing plugging were developed, achieving a high pressure-bearing capacity of 15 MPa under ultra-high-temperature conditions. It provides critical material systems and formulation technical support for addressing drilling fluid loss challenges in high-temperature formations of 10,000 m ultra-deep wells, holding significant practical application value for ensuring the safe and efficient drilling of ultra-deep wells. In the future, we will identify suitable wells experiencing lost circulation and conduct on-site experiments for lost circulation prevention and control in high-temperature formations.

6. Conclusions

(1) Analyzed the causes and mechanisms of plugging instability and failure in traditional bridging plugging materials under ultra-high-temperature conditions. Organic plant-based plugging materials undergo dehydration and coking after high-temperature aging, resulting in reduced compressive strengths, making them unsuitable for ultra-high-temperature (≥240 °C) formation plugging operations. Inorganic plugging materials exhibit high decomposition temperatures and maintain good mechanical properties after high-temperature aging, making them suitable for ultra-high-temperature formation plugging operations in 10,000 m deep wells.
(2) Selected polyimide TLM-HTP as bridging particles, calcium carbonate particles TLM-SCC as filling and plugging particles, elastic graphite TLM-RGC as elastic particles, mica flakes TLM-MIC as flaky packing material, and basalt fiber TLM-HTF as fiber reinforcement material for the subsequent optimization of while-drilling leak prevention and pressure-bearing plugging formulations and systems. After high-temperature aging at 240 °C, the mass loss rate of the aforementioned materials is less than 1%, and the strength retention rate exceeds 95%.
(3) Experimentally optimized an ultra-high-temperature compact pressure-bearing leak prevention and plugging working fluid system formulation. Developed the high-temperature-resistant pressure-bearing plugging agent TLM-HTD series products, with temperature resistance reaching 240 °C, pressure-bearing capacity up to 15 MPa, loss volume of only 10–25 mL, excellent suspension stability, and is capable of treating high-temperature water-based and oil-based drilling fluid losses and suitable for solving ultra-high-temperature (240 °C) formation drilling plugging technical challenges.

Author Contributions

Conceptualization, G.-C.Q., S.-J.Z., D.-D.S. and Z.-T.Z.; Methodology, G.-C.Q., S.-J.Z., D.-D.S. and Z.-T.Z.; Validation, J.-Z.Z.; Formal analysis, J.-Z.Z., H.-J.L. and D.B.; Investigation, J.-Z.Z., H.-J.L. and C.-L.L.; Writing—original draft, J.-Z.Z.; Writing—review and editing, J.-Z.Z. and H.-J.L.; Visualization, C.-L.L.; Supervision, H.-J.L. and D.B.; Funding acquisition, H.-J.L. All authors have read and agreed to the published version of the manuscript.

Funding

Supported by the Shareholding Major Science and Technology Project-2023ZZ14-Research on Large-scale Reserve Increase, Production Enhancement and Exploration and Development Technology of Ultra-Deep Clastic Rock Oil and Gas, 2023ZZ14. Supported by National Natural Science Foundation of China (Grant No. 52304006), and supported by the Science and Technology Research Program of Chongqing Municipal Education Commission (Grant No. KJZD-K202501508).

Data Availability Statement

The original contributions presented in this study are included in the article. Further inquiries can be directed to the corresponding author.

Conflicts of Interest

Authors Jin-Zhi Zhu, Hong-Jun Liang, Cheng-Li Li, Guo-Chuan Qin, Shao-Jun Zhang, Dong-Dong Song, Zong-Tan Zhang were employed by the company China National Petroleum Corporation (CNPC) Tarim Oilfield Branch. The remaining authors declare that the research was conducted in the absence of any commercial or financial relationships that could be construed as a potential conflict of interest.

References

  1. He, D.; Jia, C.; Zhao, W.; Xu, F.; Luo, X.; Liu, W.; Tang, Y.; Gao, S.; Zheng, X.; Li, D.; et al. Research progress and key issues of ultra-deep oil and gas exploration in China. Pet. Explor. Dev. 2023, 50, 1162–1172. [Google Scholar] [CrossRef]
  2. Ahmad, I.; Akimov, O.; Bond, P.; Cairns, P.; Gregg, T.; Heimes, T.; Russell, G.; Wiese, F. Drilling Operations in HP/HT Environment. In Proceedings of the Offshore Technology Conference-Asia, Kuala Lumpur, Malaysia, 25–28 March 2014; p. OTC24829-MS. [Google Scholar] [CrossRef]
  3. Wu, X.; Shou, J.; Zhang, H.; Pan, W. Characteristics of source-reservoir-caprock assemblages and their exploration significance in Cambrian-Ordovician sequence framework, Tarim Basin. Acta Pet. Sin. 2012, 33, 225–231. [Google Scholar]
  4. Han, C.; Luo, M.; Yang, Y.; Liu, X.; Li, W. Key drilling technologies for HTHP wells with narrow safety density window in the Yingqiong Basin. Oil Drill. Prod. Technol. 2019, 41, 568–572. [Google Scholar] [CrossRef]
  5. Huang, Y. Current status and prospects of high-temperature high-pressure exploration drilling technologies in South China Sea. Oil Drill. Prod. Technol. 2016, 38, 737–745. [Google Scholar] [CrossRef]
  6. Kang, Y.; Wang, K.; Xu, C.; You, L.; Wang, L.; Li, N.; Li, J. High-temperature aging property evaluation of lost circulation materials in deep and ultra-deep well drilling. Acta Pet. Sin. 2019, 40, 215–223. [Google Scholar] [CrossRef]
  7. Bao, D.; Qiu, Z.; Qiu, W.; Wang, B.; Guo, B.; Wang, X.; Liu, J.; Chen, J. Experimental on properties of lost circulation materials in high temperature formation. Acta Pet. Sin. 2019, 40, 846–857. [Google Scholar] [CrossRef]
  8. Wang, J.; Zhang, L.; Zheng, Z.; Guo, J.; Wang, Z. Preparation and Performance Evaluation of Amphiphilic Particles Polymer Plugging Agent. Oilfield Chem. 2012, 29, 6–9. [Google Scholar] [CrossRef]
  9. Zhang, W.; Miao, H.; Deng, Y.; Xue, K. Preparation and Evaluation of New Borehole Wall Strenthening Agent. Drill. Fluid Complet. Fluid 2016, 33, 45–49. [Google Scholar] [CrossRef]
  10. Xiong, Z.; Tao, S.; Jiang, R.; Zhu, W. Research Progress of High Temperature Resistant Loss Circulation Material while Drilling. Explor. Eng. (Geotech. Drill. Tunneling Eng.) 2016, 43, 33–36. [Google Scholar] [CrossRef]
  11. Zhang, Y.; Liu, Y. Research on Application of Elastic Graphite in Drilling Fluids. Nat. Gas Ind. 2003, 23 42–44. [Google Scholar] [CrossRef]
  12. Zhang, X.; Li, S.; Zhang, J.; Sun, J.; Yang, Z. Research Progress on Drilling Fluid Leak Plugging Materials and Leak Prevention and Plugging Technologies. Drill. Fluid Complet. Fluid 2009, 26, 74–76. [Google Scholar] [CrossRef]
  13. Wang, J.; Zhang, S. Experimental Study and Application of High-Temperature Drilling Leak Plugging Materials. Drill. Prod. Technol. 1995, 86–89. [Google Scholar]
  14. Luo, M.; Han, C.; Chen, H.; Lin, S.; Yang, Y. Plugging technology for HTHP wells in Western South China Sea. Oil Drill. Prod. Technol. 2016, 38, 801–804. [Google Scholar] [CrossRef]
  15. Duan, Y.; Shu, X.; Li, Y.; Liu, X.; Liu, F.; Ou, X. Experimental Evaluation Research on a Kind of Ultra-deepHorizontal Well Plugging Material. Chem. Ind. 2017, 46, 246–249. [Google Scholar] [CrossRef]
  16. Ai, Z.; Ye, Y.; Liu, J.; Zhou, F.; Yi, D.; Zhang, X. A new plugging-while-drilling fluid of high bearing strength and acid solubility with multifaceted zigzag metal particles as a skeleton material. Nat. Gas Ind. 2017, 37, 74–79. [Google Scholar] [CrossRef]
  17. Pu, L.; Xu, P.; Xu, M.; Song, J.; He, M. Lost circulation materials for deep and ultra-deep wells: A review. J. Pet. Sci. Eng. 2022, 214, 110404. [Google Scholar] [CrossRef]
  18. Bai, Y.; Liu, C.; Sun, J.; Shang, X.; Lv, K.; Zhu, Y.; Wang, F. High temperature resistant polymer gel as lost circulation material for fractured formation during drilling. Colloids Surf. A Physicochem. Eng. Asp. 2022, 637, 128244. [Google Scholar] [CrossRef]
  19. Sun, J.; Bai, Y.; Cheng, R.; Lyu, K.; Liu, F.; Feng, J.; Lei, S.; Zhang, J.; Hao, H. Research progress and prospect of plugging technologies for fractured formation with severe lost circulation. Pet. Explor. Dev. 2021, 48, 732–743. [Google Scholar] [CrossRef]
  20. Zhang, X.; Liang, X.; Chen, C.; Hu, Q.; Cao, L.; Zhao, S. Research progress of the chemical constituents and functional activity from walnut shell. Food Res. Dev. 2015, 36, 143–147. [Google Scholar] [CrossRef]
  21. Al-saba, M.; Nygaard, R.; Saasen, A.; Nes, O.M. Laboratory evaluation of sealing wide fractures using conventional lost circulation materials. In Proceedings of the SPE Annual Technical Conference and Exhibition, Amsterdam, The Netherlands, 27–29 October 2014; p. SPE170576. [Google Scholar] [CrossRef]
  22. Xu, C.; Yan, X.; Kang, Y.; You, L.; Zhang, J. Structural failure mechanism and strengthening method of plugging zone in deep naturally fractured reservoirs. Pet. Explor. Dev. 2020, 47, 399–408. [Google Scholar] [CrossRef]
  23. Kulkarni, S.D.; Savari, S.; Gupta, N.; Whitfill, D. Designing lost circulation material LCM pills for high temperature applications. In Proceedings of the SPE Deepwater Drilling and Completions Conference, Galveston, TX, USA, 14–15 September 2016; p. SPE180309-MS. [Google Scholar] [CrossRef]
  24. Qian, B. Current situation and progress of special engineering plastics. New Chem. Mater. 2005, 33, 1–5. [Google Scholar] [CrossRef]
  25. Li, S. The Synthesis Technology & rheology Study of heat-resistantmacromolecule modified by N-phenyl maleimide. Ph.D. Thesis, Northwest Normal University, Lanzhou, China, 2009. [Google Scholar]
  26. Tian, Z.; Zhang, D.; Shi, D. New Research Progress of Strengthened Materials With Carbon Fiber. High Technol. Fibers Appl. 2011, 36, 42–46. [Google Scholar] [CrossRef]
  27. Cui, H. Study on the Tribological Properties of Polyimidematerials of Bea. Master’s Thesis, North China University of Technology, Beijing, China, 2024. [Google Scholar] [CrossRef]
  28. Huo, M. Research on Precise Regulationand Mechanism Ofordered Porous Polyimide. Master’s Thesis, Harbin Institute of Technology, Harbin, China, 2024. [Google Scholar] [CrossRef]
  29. Xu, C.; Yan, X.; Kang, Y.; You, L.; You, Z.; Zhang, H.; Zhang, J. Friction coefficient: A significant parameter for lost circulation control and material selection in naturally fractured reservoir. Energy 2019, 174, 1012–1025. [Google Scholar] [CrossRef]
  30. Qiu, Z.; Bao, D.; Liu, J.; Chen, J.; Zhong, H.; Zhao, X.; Chen, X. Microscopic mechanisms of fracture plugging instability and experimental study on compact pressure-bearing plugging. Acta Pet. Sin. 2018, 39, 587–596. [Google Scholar] [CrossRef]
  31. Yan, X.; Xu, C.; Kang, Y.; Shang, X.; Jing, H.; Lin, C.; Zhang, J. mechanical mechanism of meso-structure instability of fracture plugging zone based on the characterization of force chain network. Acta Pet. Sin. 2021, 42, 765–775. [Google Scholar] [CrossRef]
  32. Lei, S.; Sun, J.; Bai, Y.; Kaihe, L.Y.U.; Xu, C.; Cheng, R.; Liu, F. Formation mechanism of fracture plugging zone and optimization rules for lost circulation particles. Pet. Explor. Dev. 2022, 49, 597–604. [Google Scholar] [CrossRef]
  33. Cao, L.; Lv, M.; Li, C.; Sun, Q.; Wu, M.; Xu, C.; Dou, J. Effects of Crosslinking Agents and Reservoir Conditions on the Propagation of Fractures in Coal Reservoirs During Hydraulic Fracturing. Reserv. Sci. 2025, 1, 36–51. [Google Scholar] [CrossRef]
  34. Li, M.; Liu, J.; Xia, Y. Risk Prediction of Gas Hydrate Formation in the Wellbore and Subsea Gathering System of Deep-Water Turbidite Reservoirs: Case Analysis from the South China Sea. Reserv. Sci. 2025, 1, 52–72. [Google Scholar] [CrossRef]
Figure 1. Ultra-high-temperature (240 °C) aging comparison of nut shell using scanning electron microscope images.
Figure 1. Ultra-high-temperature (240 °C) aging comparison of nut shell using scanning electron microscope images.
Processes 14 00433 g001
Figure 2. Thermogravimetric analysis (TGA) curve of walnut shell.
Figure 2. Thermogravimetric analysis (TGA) curve of walnut shell.
Processes 14 00433 g002
Figure 3. High-temperature mass loss rate of inorganic materials.
Figure 3. High-temperature mass loss rate of inorganic materials.
Processes 14 00433 g003
Figure 4. High-temperature compressive strength retention rate of inorganic materials.
Figure 4. High-temperature compressive strength retention rate of inorganic materials.
Processes 14 00433 g004
Figure 5. Mass loss rate of new ultra-high-temperature plugging materials.
Figure 5. Mass loss rate of new ultra-high-temperature plugging materials.
Processes 14 00433 g005
Figure 6. Strength retention rate of new ultra-high-temperature plugging materials.
Figure 6. Strength retention rate of new ultra-high-temperature plugging materials.
Processes 14 00433 g006
Figure 7. Thermogravimetric analysis (TGA) curve of polyimide.
Figure 7. Thermogravimetric analysis (TGA) curve of polyimide.
Processes 14 00433 g007
Figure 8. Schematic diagram of experimental device for pressure-bearing leak plugging formula optimization.
Figure 8. Schematic diagram of experimental device for pressure-bearing leak plugging formula optimization.
Processes 14 00433 g008
Figure 9. Plugging performance evaluation results of sand disks with different drilling fluid system formulations.
Figure 9. Plugging performance evaluation results of sand disks with different drilling fluid system formulations.
Processes 14 00433 g009
Figure 10. SEM images of sand disks before and after sealing.
Figure 10. SEM images of sand disks before and after sealing.
Processes 14 00433 g010
Figure 11. Pressure-Bearing Capacity Curves of Lost Circulation Control Formulations Under Different Fracture Widths.
Figure 11. Pressure-Bearing Capacity Curves of Lost Circulation Control Formulations Under Different Fracture Widths.
Processes 14 00433 g011
Figure 12. Photo of the sealing layer after ultra-high-temperature aging.
Figure 12. Photo of the sealing layer after ultra-high-temperature aging.
Processes 14 00433 g012
Table 1. Experimental results of fracture sealing pressure-bearing capacity for traditional plugging materials under high-temperature conditions.
Table 1. Experimental results of fracture sealing pressure-bearing capacity for traditional plugging materials under high-temperature conditions.
Plugging FormulaPlugging Breakthrough Pressure (MPa)
5% walnut shell (10–20 mesh) + 8% walnut shell (20–160 mesh)
Note: walnut shell not subjected to high-temperature aging
5.0
5% walnut shell (10–20 mesh) + 8% walnut shell (20–160 mesh)
Note: walnut shells subjected to high-temperature aging at 240 °C/16 h
0.5
5% limestone (10–20 mesh) + 8% limestone (20–160 mesh)
Note: limestone not subjected to high-temperature aging
10.0
5% limestone (10–20 mesh) + 8% limestone (20–160 mesh)
Note: limestone subjected to 240 °C/16 h high-temperature aging
10.0
Table 2. Experiment on the effect of high-temperature aging time on fracture sealing pressure-bearing capacity results.
Table 2. Experiment on the effect of high-temperature aging time on fracture sealing pressure-bearing capacity results.
Plugging FormulaTemperatureSealing Status
5% walnut shell (10–20 mesh) + 8% walnut shell (20–160 mesh)Room temperatureAfter pressurization to 6 MPa and static placement for 12 h, the sealing state was still maintained.
240 °CAfter pressurization to 6 MPa and static placement for 3.0 h, the sealing layer experienced a breakthrough.
5% limestone (10–20 mesh) + 8% limestone (20–160 mesh)Room temperatureAfter pressurization to 10 MPa and static placement for 12 h, the plugging state was still maintained.
240 °CAfter pressurization to 10 MPa and static placement for 12 h, the plugging state was still maintained.
Table 3. Particle size distribution of while-drilling leak control materials.
Table 3. Particle size distribution of while-drilling leak control materials.
TypeNameCodeParticle Size/μm
Rigid ParticlesFine Limestone ParticlesTLM-SCC3010–30
TLM-SCC6030–60
TLM-SCC250100–250
TLM-SCC500300–500
Elastic ParticlesElastic Graphite ParticlesTLM-RGC3010–30
TLM-RGC6030–60
TLM-RGC250100–250
Table 4. Experimental evaluation results of high-temperature-resistant compact pressure-bearing leak-blocking working fluid formulas for different fracture widths.
Table 4. Experimental evaluation results of high-temperature-resistant compact pressure-bearing leak-blocking working fluid formulas for different fracture widths.
Fracture WidthPlugging FormulaPressure-Bearing Capacity
/MPa
Leakage Volume
/mL
1 × 0.5
mm
5%TLM-SCC (20–80 mesh) + 3% TLM-SCC (80–160 mesh) + 2%TLM-RGC (40–160 mesh) +0.1%TLM-HTF (3 mm)15.010.0
2 × 1
mm
4%TLM-SCC (10–20 mesh) + 4% TLM-SCC (20–80 mesh) + 5% TLM-SCC (80–160 mesh) + 5%TLM-RGC (20–120 mesh) + 0.2%TLM-HT F (3 mm)15.015.0
3 × 2
mm
4%TLM-HTP (8–10 mesh) + 4% TLM-SCC (10–20 mesh) + 4% TLM-SCC (20–80 mesh) + 5% TLM-SCC (80–160 mesh) + 4%TLM-RGC (10–160 mesh) + 2%TLM-MIC (20–80 mesh) + 0.4%TLM-HT F (6 mm)15.010.0
4 × 3
mm
5%TLM-HTP (5–10 mesh) + 5%TLM-SCC (10–20 mesh) + 4%TLM-SCC (20–80 mesh) + 5%TLM-SCC (80–160 mesh) + 5%TLM-RGC (10–120 mesh) + 3%TLM-MIC (20–80 mesh) + 0.3%TLM-HTF (12 mm)15.020.0
5 × 4
mm
6%TLM-HTP (4–10 mesh) +5%TLM-SCC (10–20 mesh) + 4%TLM-SCC (20–80 mesh) + 4%TLM-SCC (80–160 mesh) + 6%TLM-RGC (10–160 mesh) + 4%TLM-MIC (8–120 mesh) + 0.4%TLM-HTF (12 mm)15.025.0
Table 5. High-temperature-resistant pressure-bearing lost circulation materials TLM-HTD series products.
Table 5. High-temperature-resistant pressure-bearing lost circulation materials TLM-HTD series products.
CodeApplicability RecommendationsDosage Increase
TLM-HTD-1Can perform while-drilling leakage prevention and plugging (≤0.5 mm fracture or micro-pores)5–10% or determined by testing
TLM-HTD-2Handling minor leaks < 10 m3/h (≤1 mm fracture)5–20% or determined by testing
TLM-HTD-3Leakage during processing 10–30 m3/h (2–3 mm fracture)10–30% or determined by testing
TLM-HTD-4Handling large leaks > 30 m3/h (4–5 mm fracture)20–40% or determined by testing
Disclaimer/Publisher’s Note: The statements, opinions and data contained in all publications are solely those of the individual author(s) and contributor(s) and not of MDPI and/or the editor(s). MDPI and/or the editor(s) disclaim responsibility for any injury to people or property resulting from any ideas, methods, instructions or products referred to in the content.

Share and Cite

MDPI and ACS Style

Zhu, J.-Z.; Liang, H.-J.; Li, C.-L.; Qin, G.-C.; Zhang, S.-J.; Song, D.-D.; Zhang, Z.-T.; Bao, D. Research on the Evaluation of 10,000-Meter Ultra-Deep Well Lost Circulation Material Properties Resistant to 240 °C High Temperatures. Processes 2026, 14, 433. https://doi.org/10.3390/pr14030433

AMA Style

Zhu J-Z, Liang H-J, Li C-L, Qin G-C, Zhang S-J, Song D-D, Zhang Z-T, Bao D. Research on the Evaluation of 10,000-Meter Ultra-Deep Well Lost Circulation Material Properties Resistant to 240 °C High Temperatures. Processes. 2026; 14(3):433. https://doi.org/10.3390/pr14030433

Chicago/Turabian Style

Zhu, Jin-Zhi, Hong-Jun Liang, Cheng-Li Li, Guo-Chuan Qin, Shao-Jun Zhang, Dong-Dong Song, Zong-Tan Zhang, and Dan Bao. 2026. "Research on the Evaluation of 10,000-Meter Ultra-Deep Well Lost Circulation Material Properties Resistant to 240 °C High Temperatures" Processes 14, no. 3: 433. https://doi.org/10.3390/pr14030433

APA Style

Zhu, J.-Z., Liang, H.-J., Li, C.-L., Qin, G.-C., Zhang, S.-J., Song, D.-D., Zhang, Z.-T., & Bao, D. (2026). Research on the Evaluation of 10,000-Meter Ultra-Deep Well Lost Circulation Material Properties Resistant to 240 °C High Temperatures. Processes, 14(3), 433. https://doi.org/10.3390/pr14030433

Note that from the first issue of 2016, this journal uses article numbers instead of page numbers. See further details here.

Article Metrics

Back to TopTop