Numerical Research on Flow Heat Transfer and Fouling Deposition Characteristics of Shark-Skin Bionic Structure Tube
Abstract
1. Introduction
2. Geometric Structure and Simulation Models
2.1. Physical Models
2.2. Mathematical Equations
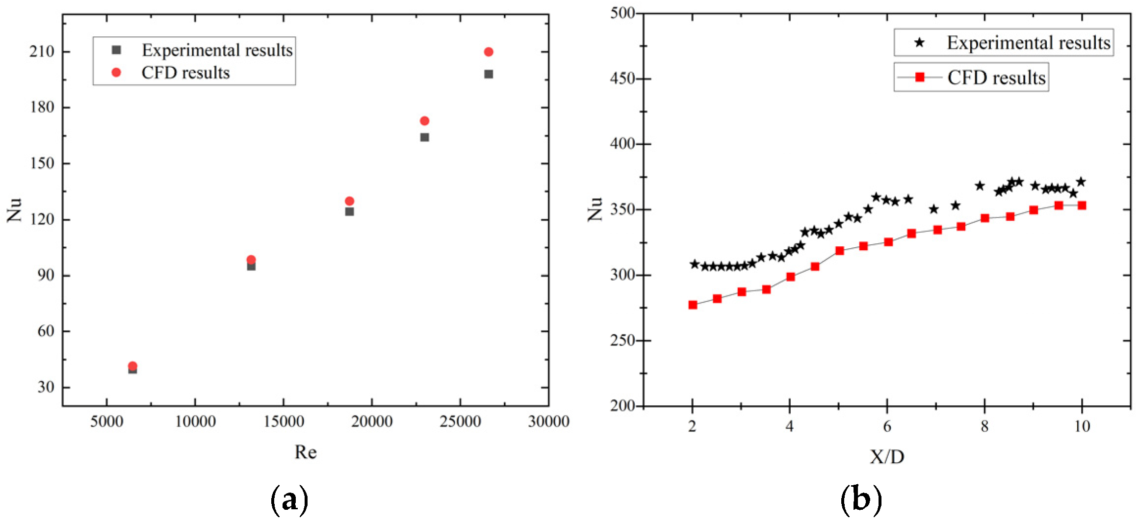
2.3. Numerical Validation
3. Analysis of Flow Heat Transfer Characteristics
3.1. Velocity Field
3.2. Temperature Field
3.3. Heat Transfer Coefficient and Pressure Drop
3.4. Heat Transfer Power
4. Analysis of Fouling Deposition Characteristics
4.1. Deposition Layer Thickness
4.2. Inlet Temperature
4.3. Inlet Flow Rate
5. Conclusions
- (1)
- The shark-skin microstructure substantially disrupts the thermal boundary layer by generating secondary vortices and helical flows, which in turn heighten near-wall disturbances. This leads to a maximum improvement of 56.7% in the heat transfer coefficient. Meanwhile, the enlarged effective heat transfer area contributes to an increase in the heat transfer rate, varying from 33.1% to 58.3%. Within the investigated parameter scope, the tube showcases favorable overall thermohydraulic performance (PEC = 1.25–1.30), which validates the engineering viability of the bionic structure for large-scale heat exchange apparatuses.
- (2)
- Fouling deposition weakens the heat transfer enhancement capacity of the bionic structure through a triple-effect mechanism. Thermal resistance plays a dominant role, temperature coupling exacerbates the situation, and the compensatory effect from the increased flow velocity is limited. Under-rated operating conditions, when the fouling layer thickness reaches 0.20 mm, the heat transfer capacity of the shark-skin-inspired heat exchange tube becomes essentially equivalent to that of the smooth tube, and its heat transfer enhancement effect is largely negated.
- (3)
- By quantifying the coupled interaction mechanism between heat transfer enhancement and fouling deposition, the shark-skin-inspired bionic structure provides substantial support for the macro-scale application of shell-and-tube heat exchangers, and the fabrication of the prototype has been preliminarily completed (as shown in Figure 15), establishing both a theoretical and a design foundation for the development of next-generation marine heat exchange equipment with high-efficiency anti-fouling performance.
5.1. Limitations
5.2. Future Work
Author Contributions
Funding
Data Availability Statement
Conflicts of Interest
Nomenclature
| Cp | specific heat capacity, kJ/(kg·K) |
| D | diameter of the tube, mm |
| f | friction factor |
| h | convective heat transfer coefficient, W/(m2·K) |
| L | test section length, m |
| Nu | Nusselt number |
| ΔP | pressure drop, Pa |
| PEC | performance evaluation criterion |
| Re | Reynolds number |
| T | temperature, K |
| u | velocity, m/s |
| δ | fouling thickness, mm |
| Λ | heat conductivity, W/(m·K) |
| υ | kinetic viscosity, Pa·s |
| μ | dynamic viscosity, m2/s |
| ρ | density, kg/m3 |
| Subscripts | |
| c | for the average |
| f | for the fluid |
| s | for the solid |
| in | for the inlet |
| x, y, z | coordinates |
| w | for the wall |
| 0 | for the smooth tube |
References
- Yang, W.; Zhou, F.; Chen, X.; Zhang, Y. Performance analysis of axial air cooling system with shark-skin bionic structure containing phase change material. Energy Convers. Manag. 2021, 250, 114921. [Google Scholar] [CrossRef]
- Zhao, Q.; Lu, M.; Zhou, J.; Zhang, Y.; Li, Q.; Chen, X. A high-fidelity sharkskin inspired placoid-scales structured microchannel (SPMC) for advancement of heat transfer performance. Int. J. Heat Mass Transf. 2024, 224, 125301. [Google Scholar] [CrossRef]
- Li, P.; Guo, D.; Huang, X. Heat transfer enhancement, entropy generation and temperature uniformity analyses of shark-skin bionic modified microchannel heat sink. Int. J. Heat Mass Transf. 2020, 146, 118846. [Google Scholar] [CrossRef]
- Wang, K.; Shi, Y.; Chen, J.; Dai, Y. A Biomimetic Microchannel Heat Sink for Enhanced Thermal Performance in Chip Cooling. Biomimetics 2025, 10, 459. [Google Scholar] [CrossRef] [PubMed]
- Awais, M.; Bhuiyan, A.A. Recent advancements in impedance of fouling resistance and particulate depositions in heat exchangers. Int. J. Heat Mass Transf. 2019, 141, 580–603. [Google Scholar] [CrossRef]
- Lu, H.; Quan, Y. A CFD study of particle deposition in three-dimensional heat exchange channel based on an improved deposition model. Int. J. Heat Mass Transf. 2021, 178, 121633. [Google Scholar] [CrossRef]
- Li, J.; Han, Z.; Liu, W.; Xu, Z. The local particulate fouling characteristics of curved rectangular vortex generators in a pulsating flow channel. Int. Commun. Heat Mass Transf. 2024, 158, 107860. [Google Scholar] [CrossRef]
- Li, J.; Han, Z.; Liu, W.; Wang, T.; Chang, H. Study on the effect of the porous media equivalent particulate fouling model on heat transfer performance in heat exchanger channels. Appl. Therm. Eng. 2025, 266, 125709. [Google Scholar] [CrossRef]
- Zhang, N.; Wei, X.; Yang, Q.; Li, N.; Yao, E. Numerical simulation and experimental study of the growth characteristics of particulate fouling on pipe heat transfer surface. Heat Mass Transf. 2019, 55, 687–698. [Google Scholar] [CrossRef]
- Darand, J.; Jafarian, A. Long-term simulation of crystallization fouling in a forced circulation crystallizer. Int. J. Heat Mass Transf. 2024, 231, 125845. [Google Scholar] [CrossRef]
- Oon, C.S.; Kazi, S.N.; Hakimin, M.A.; Abdelrazek, A.H.; Mallah, A.R.; Low, F.W.; Tiong, S.K.; Badruddin, I.A.; Kamanger, S. Heat transfer and fouling deposition investigation on the titanium coated heat exchanger surface. Powder Technol. 2020, 373, 671–680. [Google Scholar] [CrossRef]
- Han, Z.; Xu, Z.; Yu, X. CFD modeling for prediction of particulate fouling of heat transfer surface in turbulent flow. Int. J. Heat Mass Transf. 2019, 144, 118428. [Google Scholar] [CrossRef]
- Han, Z.; Xu, Z. Experimental and numerical investigation on particulate fouling characteristics of vortex generators with a hole. Int. J. Heat Mass Transf. 2020, 148, 119130. [Google Scholar] [CrossRef]
- Xu, Z.; Fan, H.; Han, Z. The comparison between integral and local calculation methods on the simulation of crystallization fouling. Int. J. Therm. Sci. 2022, 171, 107252. [Google Scholar] [CrossRef]
- Han, Z.; Zhang, H.; Wang, C.; Zhou, X. Local deposition characteristics of calcium carbonate fouling in different enhanced tubes. Case Stud. Therm. Eng. 2024, 54, 104048. [Google Scholar] [CrossRef]
- Han, Z.; Li, J.; Chen, Z.; Liu, W. An improved CFD particulate fouling simulation method: The local fouling method. Int. Commun. Heat Mass Transf. 2024, 154, 107439. [Google Scholar] [CrossRef]
- Han, Z.; Zhou, X.; Zhang, H.; Xu, Z. Characteristics of local deposition of CaCO3 fouling on rough wall surfaces of heat exchanger channels. Int. Commun. Heat Mass Transf. 2025, 163, 108718. [Google Scholar] [CrossRef]
- Menter, F. Zonal Two Equation Kw Turbulence Models for Aerodynamic Flows; American Institute of Aeronautics and Astronautics: Reston, VI, USA, 1993; p. 2906. [Google Scholar]
- Kumar, P.; Kumar, A.; Chamoli, S.; Kumar, M. Experimental investigation of heat transfer enhancement and fluid flow characteristics in a protruded surface heat exchanger tube. Exp. Therm. Fluid Sci. 2016, 71, 42–51. [Google Scholar] [CrossRef]
- Liu, X.; Zhao, X.; Ran, L.; Xiao, H.; Zhang, Y.; Zhang, Y.; Liu, Y.; Zhang, N.; Ding, M. Analysis of enhanced heat transfer characteristics in a bionic fish scale tube for turbulent flow. Nucl. Eng. Technol. 2025, 57, 103715. [Google Scholar] [CrossRef]
- Goh, A.L.; Ooi, K.T. Scale-inspired enhanced microscale heat transfer in macro geometry. Int. J. Heat Mass Transf. 2017, 113, 141–152. [Google Scholar] [CrossRef]
- Liu, J.; Gao, J.; Gao, T. Forced convection heat transfer of steam in a square ribbed channel. J. Mech. Sci. Technol. 2012, 26, 1291–1298. [Google Scholar] [CrossRef]















| Name | Kinematic Viscosity (Pa·s) | Thermal Conductivity (W/m·K) | Specific Heat (J/kg·K) | Density (Kg/m3) |
|---|---|---|---|---|
| Tube side | 8.894 × 10−4 | 0.6203 | 4181.7 | 999 |
| shell side | 4.666 × 10−4 | 0.6363 | 4181.7 | 983 |
| Tube | 17.0 | 528 | 4510 | |
| Fouling | 2.9 | 920 | 2700 |
| Number | Base Dimensions/mm | Number of Grids | Heat Transfer Capacity/W |
|---|---|---|---|
| 1 | 1.5 | 20,003,864 | 1950 |
| 2 | 1.2 | 22,314,532 | 2010 |
| 3 | 1.0 | 24,718,654 | 2042 |
| 4 | 0.8 | 30,002,573 | 2055 |
| 5 | 0.7 | 35,178,423 | 2075 |
Disclaimer/Publisher’s Note: The statements, opinions and data contained in all publications are solely those of the individual author(s) and contributor(s) and not of MDPI and/or the editor(s). MDPI and/or the editor(s) disclaim responsibility for any injury to people or property resulting from any ideas, methods, instructions or products referred to in the content. |
© 2025 by the authors. Licensee MDPI, Basel, Switzerland. This article is an open access article distributed under the terms and conditions of the Creative Commons Attribution (CC BY) license.
Share and Cite
Li, M.; Zhao, X.; Xiao, H.; Sun, J.; Yuan, S.; Liu, X. Numerical Research on Flow Heat Transfer and Fouling Deposition Characteristics of Shark-Skin Bionic Structure Tube. Processes 2026, 14, 79. https://doi.org/10.3390/pr14010079
Li M, Zhao X, Xiao H, Sun J, Yuan S, Liu X. Numerical Research on Flow Heat Transfer and Fouling Deposition Characteristics of Shark-Skin Bionic Structure Tube. Processes. 2026; 14(1):79. https://doi.org/10.3390/pr14010079
Chicago/Turabian StyleLi, Muzhen, Xinwen Zhao, Hongguang Xiao, Jichen Sun, Shuhai Yuan, and Xiaoya Liu. 2026. "Numerical Research on Flow Heat Transfer and Fouling Deposition Characteristics of Shark-Skin Bionic Structure Tube" Processes 14, no. 1: 79. https://doi.org/10.3390/pr14010079
APA StyleLi, M., Zhao, X., Xiao, H., Sun, J., Yuan, S., & Liu, X. (2026). Numerical Research on Flow Heat Transfer and Fouling Deposition Characteristics of Shark-Skin Bionic Structure Tube. Processes, 14(1), 79. https://doi.org/10.3390/pr14010079
