Next Article in Journal
Kinetics of Luteolin Extraction from Peanut Shells and Reseda luteola for Potential Applications as a Biofunctional Ingredient
Previous Article in Journal
Cross-Institution Reweighting of National Green Data Center Indicators: An AHP-Based Multi-Criteria Decision Analysis with Consensus–Divergence Diagnostics
 
 
Font Type:
Arial Georgia Verdana
Font Size:
Aa Aa Aa
Line Spacing:
Column Width:
Background:
Article

Hydrate Formation and Mitigation Methods Under Multiple Operational Conditions in Deepwater Drilling

1
College of Safety and Ocean Engineering, China University of Petroleum—Beijing, Beijing 102249, China
2
CNOOC (China) Co., Ltd. Hainan Branch, Haikou 570229, China
3
College of Petroleum Engineering, China University of Petroleum—Beijing, Beijing 102249, China
4
China-Brazil Institute of Outstanding Engineers, China University of Petroleum—Beijing, Beijing 102249, China
5
CNOOC South China Sea Oil & Gas Energy Academician Workstation, Haikou 570312, China
6
School of Marine Science and Engineering, Hainan University, Haikou 570228, China
7
Postdoctoral Research Station in Materials Science and Engineering, Hainan University, Haikou 570200, China
*
Author to whom correspondence should be addressed.
Processes 2025, 13(9), 3008; https://doi.org/10.3390/pr13093008
Submission received: 18 August 2025 / Revised: 15 September 2025 / Accepted: 19 September 2025 / Published: 21 September 2025
(This article belongs to the Section Chemical Processes and Systems)

Abstract

During deepwater drilling operations, when influx gas invades the wellbore, gas hydrates may form through the combination of the gas with free water in the drilling fluid under favorable temperature and pressure conditions. This process can alter the physical properties and flow behavior of the wellbore fluid, potentially leading to safety incidents. To prevent natural gas hydrate formation, mitigate wellbore blockages caused by hydrates, and address the associated safety hazards, this study conducted laboratory experiments to investigate hydrate formation and remediation under multiple deepwater drilling conditions. The hydrate formation boundaries for four different drilling fluid systems—seawater-based bentonite mud, seawater polymer mud, Plus/KCl mud, and HEM mud—were determined for varying well depths and pressure–temperature conditions, and corresponding trend lines were fitted. Key results reveal that a higher carbon content promotes hydrate formation, and the phase equilibrium curves also reveal significant differences among the four drilling fluids. The hydrate aggregation states and blockage processes were clarified for three typical drilling scenarios: drilling, well killing, and drilling suspension. Hydrate formation risk is negligible during normal circulation but increases dramatically during well-killing operations, significantly shrinking the safe operational window. A comparative analysis identified that adding 1% P(M-VCL), a kinetic hydrate inhibitor, to the drilling fluid was the most effective solution, demonstrating superior performance in delaying hydrate nucleation and preventing agglomeration. The study established a complete formation–inhibition–remediation approach for hydrate management in deepwater drilling, thereby enhancing operational safety and efficiency.

1. Introduction

Deepwater drilling operations are often conducted under complex conditions characterized by high pressure, low temperature, and variable wellbore geometry [1]. When formation gas intrudes into the wellbore during drilling, it may combine with free water in the drilling fluid under favorable thermodynamic conditions to form gas hydrates. The formation and accumulation of hydrates can significantly alter the physical properties and flow behavior of wellbore fluids [2]. Moreover, with the circulation of drilling fluids and changes in downhole temperature and pressure, previously formed hydrates may decompose, releasing large volumes of gas that interfere with well control operations, and in severe cases, they may trigger blowouts. Therefore, understanding the formation, transport, and mitigation of gas hydrates is critical to ensuring the safety and efficiency of deepwater drilling [3,4].
Gas hydrates are crystalline, cage-like compounds formed by small gas molecules such as CH4, C2H6, or CO2 encapsulated within water molecules under specific pressure and temperature conditions [5]. Since the discovery of natural gas hydrates, extensive studies have been conducted on hydrate formation mechanisms, prediction models, blockage behavior, and dissociation technologies [6,7,8,9]. The most widely used predictive model is the van der Waals–Platteeuw (vdW-P) model, developed based on classical adsorption theory [10,11,12]. Chen et al. [13] proposed a kinetic model for hydrate formation in pure water systems, which has become a foundational tool in hydrate prediction. Shi and Gong [14] proposed a “dual-shell growth model,” which suggests that hydrates initially form a shell on the droplet surface and then grow both inward and outward, with the permeability of the shell significantly affecting growth rate. Experimentally, Gudmundsson et al. [15,16] demonstrated that hydrates could form in stirred reactors under conditions of 2–6 MPa and 0–20 °C. Zhang et al. [17] investigated the influence of surfactants (SDBS and APG) on induction time and gas storage capacity, finding that increasing surfactant concentrations reduced induction time and improved storage performance. However, most existing studies focus on general hydrate formation in controlled lab environments, with limited applicability to the non-steady-state, multiphase, and heterogeneous conditions encountered during actual deepwater drilling. There remains a pressing need to develop hydrate formation models that account for complex wellbore dynamics.
Once formed, hydrate particles can migrate with the drilling fluid and accumulate under favorable pressure–temperature conditions, leading to blockages [18]. Lingelem et al. [19] were among the first to evaluate hydrate blockage risks and confirmed through experiments the strong influence of subcooling on hydrate formation. They also explored the optimization of corrosion inhibitor dosages. Nicholas et al. [20], using a single-pass loop system, identified two blockage mechanisms: homogeneous deposition due to dissolved water and localized restriction caused by cooling-induced coalescence, each resulting in different pressure drop characteristics. Joshi et al. [21] investigated hydrate blockage in water-dominant systems (100% water, no oil) and proposed a phase-transition model from homogeneous to heterogeneous suspensions, where pressure drop could serve as an early warning indicator. Aman et al. [22] discovered that in gas-dominated systems, droplet entrainment had a significant impact on hydrate growth, with gas velocity being more influential than subcooling. Wang et al. [23] incorporated film atomization effects into a blockage prediction model to identify the spatial and temporal characteristics of nonuniform deposition. Nonetheless, most experimental studies still lack accurate simulation of downhole complexities, and thus, their conclusions may not be directly applicable in field conditions.
To mitigate hydrate blockages, a variety of dissociation methods have been developed, including depressurization, thermal stimulation, mechanical removal, and chemical injection [24,25]. Yu et al. [26] employed a transparent flow visualization system to study the effects of ionic liquids on hydrate dissociation and found that cations and anions destabilized hydrate structures and promoted dissociation via a different pathway compared to conventional heating. Song et al. [27] designed a mobile spherical device capable of tracking flow velocity and acceleration to locate blockage zones and initiate internal heating for rapid remediation. Yang et al. [28] proposed a riser segment structure for deepwater applications, where acoustic transducers induce hydrate resonance, disrupting the molecular equilibrium and achieving complete dissociation. These technologies offer promising solutions for hydrate management in deepwater environments but require further optimization in terms of responsiveness, energy efficiency, and adaptability to diverse wellbore conditions.
To prevent the formation of natural gas hydrates, mitigate wellbore blockages caused by hydrates, and eliminate associated safety hazards, it is essential to accurately determine hydrate formation conditions during deepwater drilling operations. This requires investigating the hydrate formation boundaries of various drilling fluid systems under different well depths and pressure–temperature conditions, clarifying the hydrate aggregation states and blockage processes under different drilling scenarios, and developing effective prevention and remediation measures. By establishing a complete formation–inhibition–remediation strategy for hydrate management during deepwater drilling, the overall safety and operational efficiency of deepwater drilling can be significantly improved.

2. Methodology

This section presents experimental studies on hydrate formation in deepwater drilling under static and circulating conditions, simulating drilling suspension and active drilling fluid circulation, respectively.

2.1. Hydrate Formation Experiment Under Static Conditions

The static condition experiment was designed to simulate the operational state during drilling suspension. The experimental materials included methane gas, seawater, and various drilling fluid systems: seawater/bentonite mud, seawater/formation clay mud, seawater polymer mud, Plus/KCl mud, and HEM mud. The experimental setup employed the SHD-1 Hydrate Kinetics Apparatus (the equipment was manufactured by Nantong Feiyu Petroleum Technology Development Co., Ltd., Nantong, China, Figure 1).
Main Technical Parameters: Operating pressure: 50 MPa; Operating temperature: –10 to 90 °C; Temperature control accuracy: ±0.1 °C; Pressure control accuracy: ±0.10 MPa; Pressure measurement accuracy: 0.25%; Rotational speed measurement accuracy: ±5 rpm.
The experiments were conducted under an isochoric and controlled-temperature system, where the reactor volume was maintained constant while the water bath temperature was adjusted. During the experiments, temperature and pressure data within the reactor were continuously acquired using a data acquisition card. By analyzing the variation trends of temperature and pressure curves, phase equilibrium points were determined and subsequently used to construct phase equilibrium curves, thereby assessing the influence of experimental conditions on hydrate induction time and formation behavior.
At the beginning of each experiment, methane gas or field-simulated gas was introduced into the reactor containing different test fluids at the required experimental pressure. After closing the inlet valve, 4–6 initial pressure points were set, with the starting experimental temperature maintained at room temperature. By varying the water bath temperature, the phase equilibrium points were determined. The overall experimental procedure consisted of two main stages: (1) Hydrate Formation Process: The reactor was first evacuated using a vacuum pump. A metered amount of the test liquid was then injected into the sealed reactor by an injection pump. Methane gas was compressed into a buffer vessel using a constant-pressure pump until stable, after which the pump was closed and high-pressure methane gas was injected into the reactor. The stirrer speed was set at 300 rpm, and the temperature of the thermostatic water bath was gradually decreased. Variations in reactor pressure and temperature were recorded throughout the process. (2) Hydrate Dissociation Process: After hydrate formation and stabilization (i.e., when the pressure no longer decreased), the system was subjected to stepwise heating at a uniform rate. Once the temperature reached a certain threshold, the heating increments were reduced, while continuous monitoring and data acquisition were carried out. The experiment was terminated when the rate of pressure increase approached zero and remained stable.
Using the natural gas hydrate synthesis apparatus, methane hydrate growth and dissociation were observed under different temperature, pressure, and drilling fluid conditions. The effects of temperature and pressure variations on methane hydrate formation were analyzed. Additionally, factors affecting the hydrate formation rate were identified, and the corresponding phase equilibrium points and phase equilibrium curves were determined. Representative experimental phenomena are shown in Figure 2.

2.2. Hydrate Formation Experiment Under Circulating Conditions

Based on the hydrate formation boundaries determined in the static experiments, a dynamic hydrate formation testing system was developed to simulate drilling fluid circulation during deepwater drilling. The objectives of this system were twofold: firstly, to construct a small-scale simulation apparatus capable of reproducing the hydrate formation process within a non-target interval of a deepwater wellbore under atmospheric pressure conditions. Secondly, to utilize the apparatus within a low-temperature laboratory environment to conduct evaluation experiments on hydrate formation during simulated drilling fluid circulation. On this basis, a combined hydrate formation boundary–dynamic drilling circulation simulation system was established. The conceptual design of the system is illustrated in Figure 3.
Meanwhile, a hydrate cyclic formation evaluation system was established (Figure 4) to further facilitate systematic investigations on hydrate formation and blockage.

3. Experimental Investigation of Hydrate Formation Boundary Conditions in Deepwater Drilling

3.1. Hydrate Formation Boundaries Under Static Conditions

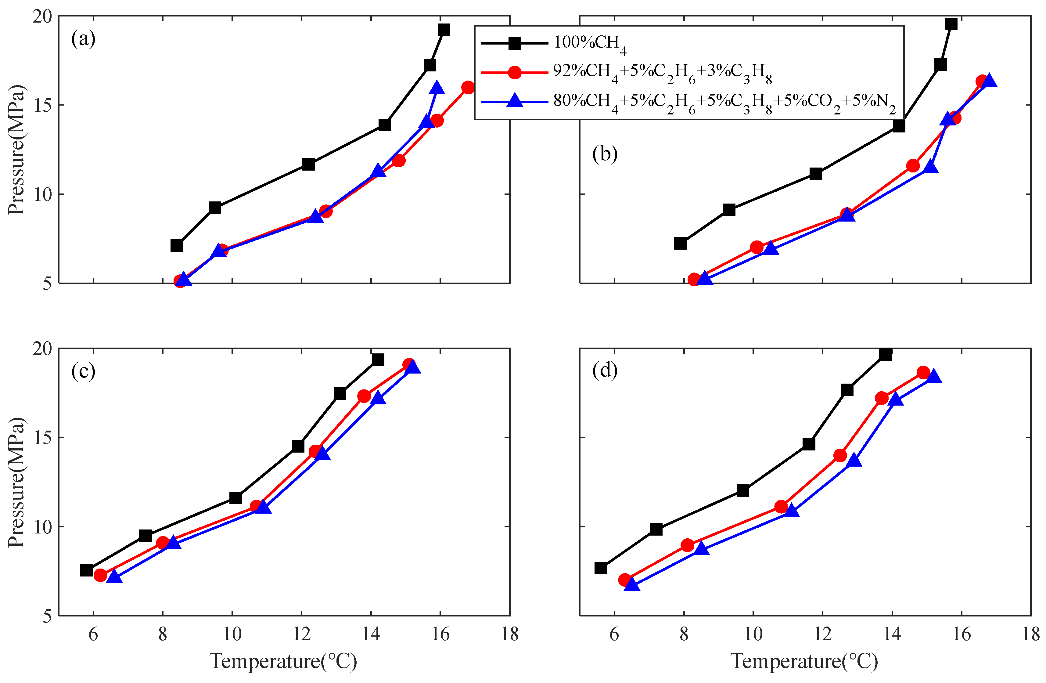
Seawater-based bentonite mud is one of the most commonly used drilling fluids in deepwater drilling operations due to its simplicity and low cost. However, the low-temperature, high-pressure environment near the mudline in deepwater wells makes this fluid highly susceptible to hydrate formation, which limits its applicability. To address this, static-condition experiments were conducted to determine the hydrate formation boundaries of seawater bentonite mud and to assess the influence of different gas compositions on these boundaries.
An 8% seawater bentonite mud was prepared based on field usage in the study area. Six phase equilibrium points were determined under static conditions. Given the significant variations in hydrate formation and plugging tendencies under different gas saturations during deepwater drilling, experiments were performed using various mixed hydrocarbon and CO2 gas compositions, reflecting formation gas characteristics. Two representative gas mixtures were selected based on the stratigraphic analysis of the target area: 92% CH4 + 5% C2H6 + 3% C3H8 and 80% CH4 + 5% C2H6 + 5% C3H8 + 5% CO2 + 5% N2.
The experimental results for the three test conditions are presented in Figure 5a. The hydrate phase equilibrium curves show marked differences across gas compositions. At a given temperature, gas mixtures with higher total carbon content exhibit greater hydrate formation propensity, thereby narrowing the safe drilling window. The fitted hydrate formation boundary conditions for seawater bentonite mud are summarized in Table 1.
Seawater polymer drilling fluid is formulated by adding viscosifiers and fluid-loss control agents to seawater, with a target funnel viscosity of 30–42 s. This composition reduces borehole enlargement and controls filtrate loss, thus ensuring borehole stability. Under the same experimental conditions and with reference to field application in shallow formations of the study area, phase equilibrium measurements were conducted at six temperature–pressure points for three different gas mixtures. The results (Figure 5b) again demonstrate that higher carbon content in the gas mixture promotes hydrate formation and reduces the safe drilling zone. Corresponding hydrate formation boundaries are given in Table 2.
Plus/KCl drilling fluid is a high-performance water-based mud containing polyamine inhibitors, developed as a potential replacement for oil-based muds in high-clay-content and highly water-sensitive formations. Its inhibition mechanisms include reducing or altering pressure transmission, suppressing the activity of swelling clay minerals, maintaining cuttings integrity, improving cuttings and solids removal, reducing cuttings adhesion, and thereby maximizing ROP while minimizing torque and drag. Experiments following the same procedure were performed for Plus/KCl fluid at six phase equilibrium points under three gas compositions. The results (Figure 5c) show the same trend: higher carbon content leads to earlier hydrate formation and a narrower safe drilling margin. The calculated hydrate formation boundaries are presented in Table 3.
HEM drilling fluid is widely applied in the South China Sea. Using the same experimental protocol, phase equilibrium measurements were obtained for HEM under six temperature–pressure conditions with three gas compositions. As shown in Figure 5d, hydrate formation is more favorable with higher carbon content in the gas mixture, again reducing the operational safety margin. Table 4 lists the derived hydrate formation boundaries.

3.2. Hydrate Formation Boundaries Under Circulating Conditions

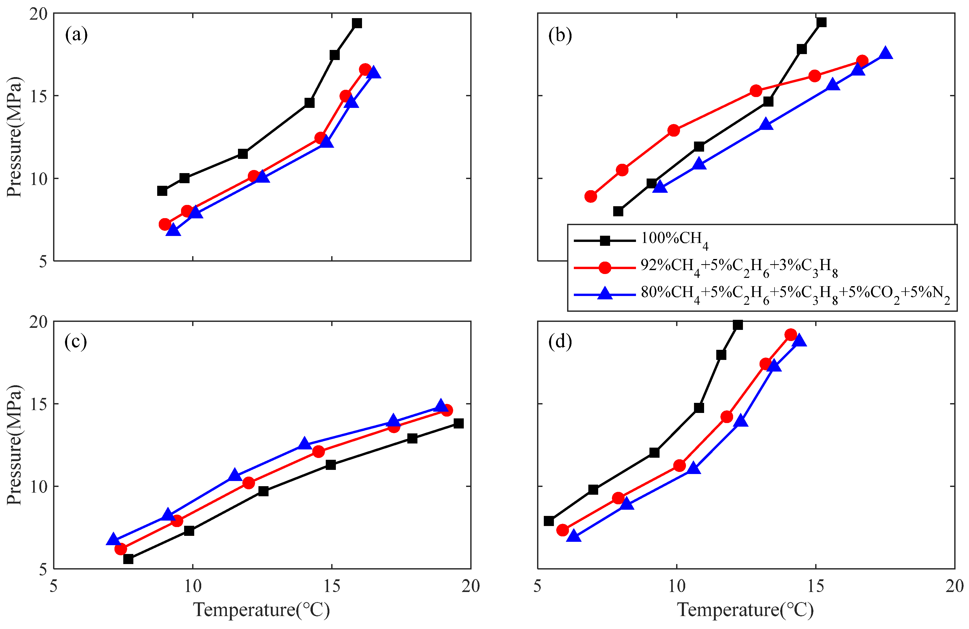
Under circulating conditions, an 8% seawater bentonite mud was tested to determine hydrate formation boundaries using six phase equilibrium points and three gas compositions. Figure 6a shows that the hydrate phase equilibrium curves follow the same trend observed under static conditions: higher carbon content in the gas mixture promotes hydrate formation and decreases the safe drilling zone. The fitted boundary conditions are shown in Table 5.
Seawater polymer fluid was also tested under circulating conditions using the same experimental design. As illustrated in Figure 6b, the hydrate formation trend remains consistent with static conditions, with high-carbon gas mixtures leading to narrower operational safety windows. Table 6 provides the boundary conditions derived from curve fitting.
Similarly, Plus/KCl drilling fluid was evaluated under circulating conditions (Figure 6c). The results again indicate that gas mixtures with higher carbon content result in more favorable hydrate formation conditions, constraining the safe temperature–pressure range. Table 7 summarizes these boundaries.
Finally, HEM drilling fluid was tested under circulating conditions (Figure 6d). The findings confirm the consistent influence of gas composition: increased carbon content shifts the phase equilibrium curves towards higher temperatures, thus increasing hydrate risk and reducing the safe drilling margin. The derived hydrate formation boundaries are provided in Table 8.

3.3. Discussion

In addition to the trend that higher carbon content favors hydrate formation, the phase equilibrium curves also reveal significant differences among the four drilling fluids. Under static conditions, the hydrate phase boundaries indicate that, at the same temperature, seawater–bentonite slurry and seawater–polymer drilling fluid exhibit a higher tendency for hydrate formation compared with Plus/KCl and HEM drilling fluids. This implies that the “safe drilling window” is significantly reduced when using bentonite- or polymer-based systems. In contrast, under circulating conditions, HEM drilling fluid demonstrates the lowest propensity for hydrate formation, thereby providing the widest safety margin for drilling operations. These differences can be explained by the distinct physicochemical interactions of drilling fluid components. Bentonite particles in seawater slurry offer abundant heterogeneous nucleation sites, while polymer molecules enhance system viscosity and hydrogen bonding with water, both facilitating hydrate growth. In contrast, the presence of K+ and Cl ions in Plus/KCl drilling fluid strongly competes with water molecules through hydration, lowering water activity and suppressing hydrate stability. The HEM fluid further combines alcohol and polymer inhibition effects, reducing available free water and altering rheological properties, which explains its superior hydrate suppression performance during circulation.

4. Analysis of Hydrate Agglomeration and Plugging Conditions Under Different Operational Scenarios

4.1. Hydrate Formation, Agglomeration, and Plugging During Drilling Operations

Predicting the temperature profile within the wellbore during deepwater drilling presents greater challenges compared with onshore and shallow-water drilling. This is primarily because the seawater temperature gradient is opposite to that of the surrounding formations, and complex heat exchange occurs between the seawater and the marine riser. The low temperatures at the seabed can influence both the density and rheological properties of the drilling fluid. Moreover, the combined effects of low temperature and high pressure at the seabed can promote hydrate formation. Therefore, accurate prediction of hydrate formation within the wellbore during deepwater drilling first requires a thorough understanding of the wellbore temperature distribution.
As shown in Figure 7, under drilling circulation and low-flow-rate conditions, the hydrate formation region is negligible, indicating that hydrate blockages are unlikely to occur under these conditions. Consequently, these scenarios are not discussed in detail here, and the following analysis primarily focuses on hydrate aggregation and blockage conditions during drilling suspension and ultra-low-flow-rate well-killing operations.
Figure 7 shows the hydrate formation regions under different circulation rates. At 300 L/min (Figure 6a), the operational pressure–temperature trajectory slightly intersects with the hydrate phase boundary, indicating a very narrow hydrate formation zone under extremely low flow conditions. However, as the circulation rate increases to 600 L/min, 1200 L/min, and 4000 L/min (Figure 6b–d), the temperature profiles remain consistently above the hydrate stability zone, and no intersection with the equilibrium boundary is observed. This suggests that during normal drilling circulation, the combination of frictional heating and efficient convective heat transfer prevents the annular temperature from entering the hydrate stability zone, thereby making hydrate formation and plugging highly unlikely.
In contrast, when circulation stops or is reduced to ultralow rates, the absence of frictional heating and decreased convective transport lead to a rapid decline in annular temperature, which can intersect the hydrate phase boundary. This explains why hydrate risks are negligible during normal drilling circulation but become significant in well-killing or prolonged shut-in scenarios.

4.2. Hydrate Formation, Agglomeration, and Plugging During Well-Killing Operations

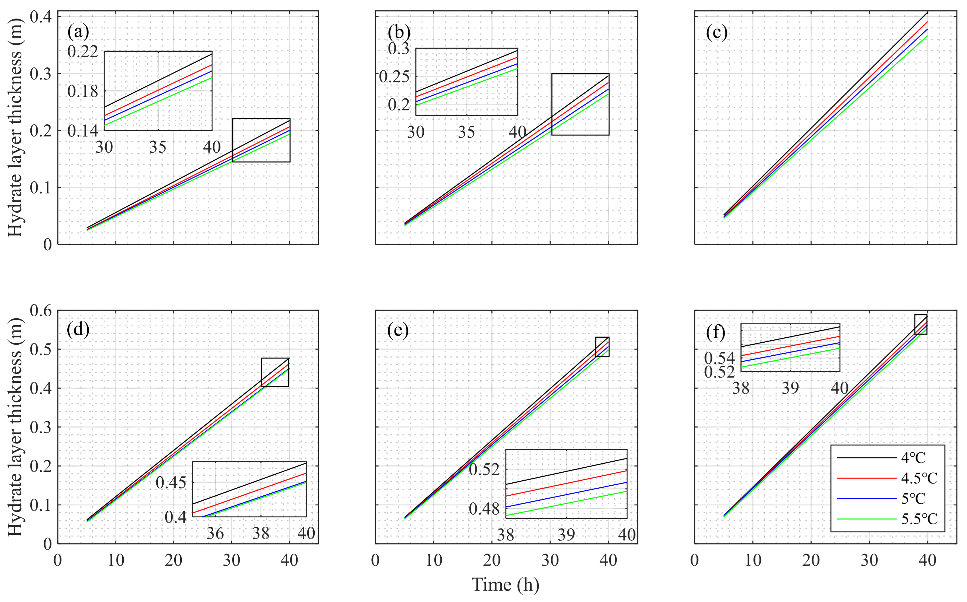
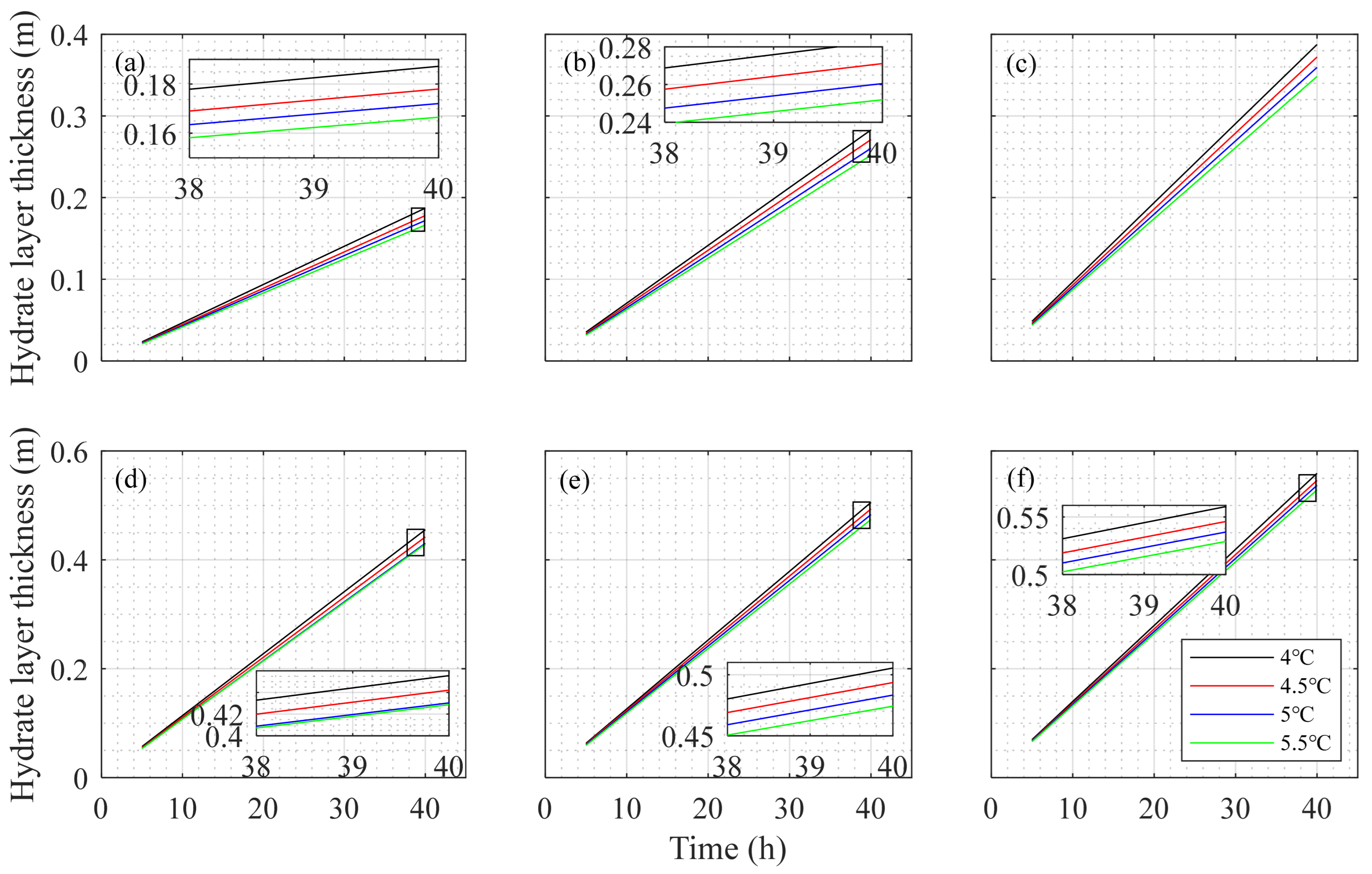
Figure 8 presents the hydrate formation, agglomeration, and plugging conditions for seawater-based drilling fluids under circulating conditions at varying water depths. The results indicate that as the water depth of the wellbore increases, the hydrate formation zone expands. This expansion leads to higher volumetric fractions of hydrates in the drilling fluid per unit time and a greater cumulative deposit thickness within the wellbore, thereby increasing the likelihood of plugging.
Similarly, Figure 9 shows the results for seawater–bentonite mud under the same conditions. The findings demonstrate that with increasing water depth, both the hydrate formation zone and the volumetric fraction of hydrates in the mud increase. Notably, at the same time interval, seawater–bentonite mud exhibits a higher hydrate volumetric fraction than seawater-based drilling fluid. This difference results in a greater cumulative hydrate thickness and consequently a higher plugging risk for the wellbore when using seawater–bentonite mud.

5. Optimization of Drilling Fluid Formulations

During drilling in marine wellbores containing natural gas hydrates, the drilling fluid encounters several critical challenges. Low seabed temperatures combined with shallow reservoir depths subject the fluid to significant cooling from near-surface temperatures at the wellhead to the low temperatures at the seabed. Under such conditions, viscosity increases, making rheological stability control more difficult and adversely affecting drilling in poorly consolidated formations with narrow safe density windows. When the drilling fluid enters the reservoir, it disrupts the original temperature and pressure equilibrium that maintains hydrate stability. This disturbance can cause the decomposition of hydrates that provide structural support to the formation, resulting in wellbore instability. Continued decomposition of near-wellbore hydrates may also induce further dissociation deeper within the reservoir, which in severe cases may lead to failure in well construction. In addition, gas released from hydrate dissociation, along with free gas from deeper formations, may enter the wellbore and re-form hydrates at low-temperature, high-pressure points such as subsea wellheads, pipelines, or valves. Such secondary hydrate formation can cause blockages, valve malfunctions, and other well control hazards, posing significant threats to operational safety. Offshore drilling operations must also meet stringent environmental protection regulations, including limits on heavy metal content in additives and biological toxicity levels of the drilling fluid system.
To address these challenges, drilling fluids for marine gas hydrate reservoirs must exhibit minimal low-temperature thickening effects from polymer additives, ensuring stable rheological properties under cold conditions. This enables efficient cuttings transport in the large-diameter, low-flow-rate riser sections without exerting excessive pressure on shallow, unconsolidated seabed formations. Low fluid loss and strong flocculation and encapsulation capabilities are essential to prevent dispersion of high-moisture, poorly consolidated shallow cuttings, ensuring efficient removal and maintaining a clean wellbore. The solids content of the drilling fluid should be kept as low as possible, as fine solids can act as nucleation sites for secondary hydrate formation, while excessive solids increase friction between the drilling fluid, drill string, and wellbore, accelerating reservoir hydrate decomposition due to temperature rise. Furthermore, the fluid should demonstrate both strong hydrate formation inhibition and effective suppression of hydrate dissociation to ensure drilling safety and reservoir stability, while creating favorable wellbore conditions for subsequent production testing.
In this study, kinetic hydrate inhibitors were incorporated into seawater–bentonite and seawater–polymer drilling fluids to reduce hydrate formation zones, prolong the fine-particle-size stage (particle diameter < 100 μm), and prevent rapid agglomeration and adhesion of particles within the wellbore.
Based on a comprehensive literature survey and preliminary screening tests, three candidate inhibitors were selected: polyvinylpyrrolidone (PVP), poly M-vinylcaprolactam (P(M-VCL)), and polyvinyl-cis-butenediphthalimide (PVBPI). PVP is widely reported as a benchmark KHI due to its strong ability to adsorb at the hydrate–water interface, delaying crystal nucleation. P(M-VCL) has been identified as a promising second-generation KHI because of its cyclic lactam structure, which provides stronger hydrogen-bonding with water molecules. PVBPI, containing bulky hydrophobic groups, was included to evaluate steric hindrance effects on hydrate nucleation and growth.
The average molecular weights of the inhibitors used in this study were 40,000 g/mol (PVP), 35,000 g/mol (P(M-VCL)), and 30,000 g/mol (PVBPI). These values fall within the effective range reported in hydrate inhibition studies, ensuring sufficient chain length for surface adsorption while maintaining solubility in seawater-based drilling fluids.
The inhibition mechanism is primarily attributed to the adsorption of polymer chains onto incipient hydrate crystal surfaces, which disrupts the hydrogen-bond network required for hydrate lattice growth. Hydrophilic segments (e.g., lactam groups in P(M-VCL)) interact strongly with water molecules, while hydrophobic segments provide steric blocking at crystal growth sites. This dual effect retards both nucleation and agglomeration, thereby reducing the risk of plugging in wellbore environments.
Figure 10 shows that the drilling fluid containing 1% P(M-VCL) exhibited the smallest pressure drop in the reactor, only 0.2 MPa after 20 h of reaction, indicating excellent performance in preventing hydrate formation. In addition, Figure 10 presents the time-dependent gas consumption curves for all three inhibitors, clearly showing that P(M-VCL) significantly delayed hydrate nucleation compared to PVP and PVBPI, further validating its superior inhibition capacity.

6. Conclusions

This study systematically elucidates the formation mechanisms and blockage characteristics of natural gas hydrates under various deepwater drilling conditions. The hydrate formation boundaries for four typical drilling fluid systems at different well depths and pressure–temperature conditions were determined. Results show that a higher carbon content in the gas mixture promotes hydrate formation and reduces the safe drilling zone under the same temperature. Meanwhile, corresponding trend relationships were established.
Results indicate that under drilling circulation and low-flow-rate conditions, the hydrate formation region is negligible, indicating that hydrate blockages are unlikely to occur under these conditions. However, during well-killing operations, as the water depth of the wellbore increases, the hydrate formation zone expands.
Comparative evaluation of multiple hydrate inhibitors led to the identification of an optimal drilling fluid formulation and prevention strategy. The drilling fluid containing 1% P(M-VCL) exhibited the smallest pressure drop in the reactor, indicating excellent performance in preventing hydrate formation.
A comprehensive formation–inhibition–remediation control framework for hydrates in deepwater drilling was developed, providing both theoretical support and practical guidance for enhancing operational safety and efficiency.
These findings have significant contributions to engineering practice. The determined hydrate formation boundaries provide drilling engineers with a tool to formulate safe operating windows. By managing the drilling fluid density and temperature based on these boundaries, they can effectively keep the wellbore pressure-temperature profile out of the hydrate stability zone, thus preventing blockages in critical equipment. The risk assessment of different drilling operations allows for the development of targeted contingency plans and heightened monitoring protocols during these specific operations.

Author Contributions

Conceptualization, Y.L., S.L. (Shujie Liu) and D.G.; methodology, Y.L. and Y.Z.; validation, Y.L., S.L. (Shuzhan Li) and L.L.; formal analysis, Y.L. and Y.Z.; writing—original draft preparation, Y.L.; writing—review and editing, Y.L., Y.Z. and L.L.; visualization, S.L. (Shuzhan Li); supervision, S.L. (Shujie Liu) and D.G. All authors have read and agreed to the published version of the manuscript.

Funding

This study was supported by the National Natural Science Foundation of China (NSFC: No. U22B20126), the National Key Research and Development Program (No. 2022YFC2806100), and the National Natural Science Foundation of China (Grant No.52274018).

Data Availability Statement

The data presented in this study are available on request from the corresponding author. (The data are not publicly available due to privacy or ethical restrictions).

Conflicts of Interest

Author Yanjun Li and Shujie Liu was employed by the company Hainan Branch of China National Offshore Oil Corporation (China) Limited. The remaining authors declare that the research was conducted in the absence of any commercial or financial relationships that could be construed as a potential conflict of interest.

References

  1. Yang, J.; Zhang, M.; Zhang, W.; Chen, B.; De, Y.; Li, L.; Tong, G. ‘Three-in-one’ Efficient Drilling Operation Mode in Deepwater Shallow Formations. Acta Pet. Sin. 2025, 46, 599–608, 632. [Google Scholar] [CrossRef]
  2. Yang, J.; Liu, S.; Zhou, J.; Yan, D.; Tian, R.; Li, C. The development of the simulation experimental device for deep-water petroleum drilling and production engineering. China Pet. Mach. 2011, 39, 1–3. Available online: https://xueshu.baidu.com/ndscholar/browse/detail?paperid=675980cbd342ec6e3a82e25bd8f2b28f&site=xueshu_se (accessed on 18 August 2025).
  3. Yang, J.; Cao, S. Current Situation and Developing Trend of Petroleum Drilling Technologies in Deep Water. Oil Drill. Prod. Technol. 2008, 30, 10–13. [Google Scholar] [CrossRef]
  4. Pratama, M.A.; Khan, H.J.; Daigle, H. A review of formation damage processes encountered during gas hydrate production. Geoenergy Sci. Eng. 2023, 228, 211958. [Google Scholar] [CrossRef]
  5. Manakov, A.Y.; Duchkov, A.D. Laboratory Modeling of Hydrate Formation in Rock Specimens (A Review). Russ. Geol. Geophys. 2017, 58, 240–252. [Google Scholar] [CrossRef]
  6. Rao, S.; Li, Z.; Lu, H.; Deng, Y. A review of gas hydrate formation characteristics at interfaces. Fuel 2025, 392, 134863. [Google Scholar] [CrossRef]
  7. Medhi, N.; Borthakur, P.P. An Extensive Review on Gas Hydrates: Recent Patents, Properties, Formation, Detection, Production, Importance, and Challenges. Recent Pat. Eng. 2025, 19, e080524229746. [Google Scholar] [CrossRef]
  8. Liu, Z.; Liu, X.; Yang, M.; Pang, W.; Dou, B.; Song, Y. Thermodynamic and kinetic properties of gas hydrate phase transition from formation to decomposition with applications: A review. J. Environ. Chem. Eng. 2024, 12, 114614. [Google Scholar] [CrossRef]
  9. Hu, G.; Zhang, Z.; Zhao, Y.; Bu, Q.; Li, A.; Zhao, W.; Wang, Z.; Qiu, X.; Liu, T.; Liu, S.; et al. Formation mechanism and geophysical properties of fracture-filling gas hydrate in the host sediments: A comprehensive review. Earth-Sci. Rev. 2024, 258, 104917. [Google Scholar] [CrossRef]
  10. Saito, S.; Marshall, D.R.; Kobayashi, R. Hydrates at High Pressures: Part II. Application of Statistical Mechanics to the Study of the Hydrates of Methane, Argon, and Nitrogen. AIChE J. 1964, 10, 734–740. [Google Scholar] [CrossRef]
  11. John, V.T.; Papadopoulos, K.D.; Holder, G.D. A Generalized Model for Predicting Equilibrium Conditions for Gas Hydrates. AIChE J. 1985, 31, 252–259. [Google Scholar] [CrossRef]
  12. McKoy, V.; Sinanoğlu, O. Theory of Dissociation Pressures of Some Gas Hydrates. J. Chem. Phys. 1963, 38, 2946–2956. [Google Scholar] [CrossRef]
  13. Chen, G.-J.; Guo, T.-M. Thermodynamic Modeling of Hydrate Formation Based on New Concepts. Fluid Phase Equilibria 1996, 122, 43–65. [Google Scholar] [CrossRef]
  14. Shi, B.; Gong, J. A group of empirical correlations to predict the hydrate growth parameters in hydrate slurry flow. In Proceedings of the 7th International Conference on Gas Hydrate, Edinburgh, Scotland, 17–21 July 2011; Available online: https://api.semanticscholar.org/CorpusID:201819297 (accessed on 18 August 2025).
  15. Gudmundsson, J.S. Transport of Natural Gas as Frozen Hydrate. In Proceedings of the Fifth International Offshore and Polar Engineering Conference, The Hague, The Netherlands, 11–16 June 1995; 6. pp. 11–16. Available online: https://www.osti.gov/biblio/256950 (accessed on 18 August 2025).
  16. Gudmundsson, J.S.; Andersson, V.; Levik, O.I.; Parlaktuna, M. Natural Gas Hydrates: A New Gas Transportation Form. J. Pet. Technol. 1999, 51, 66–67. [Google Scholar] [CrossRef]
  17. Zhang, C.S.; Fan, S.S.; Liang, D.Q.; Guo, K.H. Effect of Additives on Formation of Natural Gas Hydrate. Fuel 2004, 83, 2115–2121. [Google Scholar] [CrossRef]
  18. Zhang, S.; Gao, Y.; Yin, F.; Yuan, H. Investigation on hydrate formation and plugging under shut-in and restart of gas-dominated system: Experiment and mechanism. Ocean. Eng. 2025, 334, 121635. [Google Scholar] [CrossRef]
  19. Lingelem, M.N.; Majeed, A.I.; Stange, E. Industrial Experience in Evaluation of Hydrate Formation, Inhibition, and Dissociation in Pipeline Design and Operation. Ann. N. Y. Acad. Sci. 1994, 715, 75–93. [Google Scholar] [CrossRef]
  20. Nicholas, J.W.; Koh, C.A.; Sloan, E.D.; Nuebling, L.; He, H.; Horn, B. Measuring Hydrate/Ice Deposition in a Flow Loop from Dissolved Water in Live Liquid Condensate. AIChE J. 2009, 55, 1882–1888. [Google Scholar] [CrossRef]
  21. Joshi, S.V.; Grasso, G.A.; Lafond, P.G.; Rao, I.; Webb, E.; Zerpa, L.E.; Sloan, E.D.; Koh, C.A.; Sum, A.K. Experimental Flowloop Investigations of Gas Hydrate Formation in High Water Cut Systems. Chem. Eng. Sci. 2013, 97, 198–209. [Google Scholar] [CrossRef]
  22. Aman, Z.M.; Di Lorenzo, M.; Kozielski, K.; Koh, C.A.; Warrier, P.; Johns, M.L.; May, E.F. Hydrate Formation and Deposition in a Gas-Dominant Flowloop: Initial Studies of the Effect of Velocity and Subcooling. J. Nat. Gas Sci. Eng. 2016, 35, 1490–1498. [Google Scholar] [CrossRef]
  23. Wang, Z.; Zhang, J.; Sun, B.; Chen, L.; Zhao, Y.; Fu, W. A New Hydrate Deposition Prediction Model for Gas-Dominated Systems with Free Water. Chem. Eng. Sci. 2017, 163, 145–154. [Google Scholar] [CrossRef]
  24. Nasir, Q.; Suleman, H.; Elsheikh, Y.A. A review on the role and impact of various additives as promoters/ inhibitors for gas hydrate formation. J. Nat. Gas Sci. Eng. 2020, 76, 103211. [Google Scholar] [CrossRef]
  25. Yang, J.; Wang, Y.; Wang, P.; Zhu, J.; Chen, Y.J. Unveiling gas hydrate dynamics: A microfluidic investigation of formation, decomposition pathways, and kinetic impacts. Gas Sci. Eng. 2025, 142, 205709. [Google Scholar] [CrossRef]
  26. Yu, D.; Wang, M.; Wang, S.; Zhao, S.; Lv, X.; Chen, S. Experimental Study on the Dissociation of Hydrate by Using Lonic Liquid as Plugging Removal Agent in Pipelines. Ind. Saf. Environ. Prot. 2018, 44, 27–30. Available online: https://xueshu.baidu.com/ndscholar/browse/detail?paperid=9aa632bffd37899b31db0c904819adea&sc_from=pingtai4&cmd=paper_forward&wise=0 (accessed on 10 September 2025).
  27. Song, Y.; Zhou, H.; Yang, M.; Gao, Y.; Zhao, J.; Liu, W.; Zhao, Y. A Subsea Pipeline Hydrate Blockage Detection and Remediation Device. Available online: https://xueshu.baidu.com/ndscholar/browse/detail?paperid=193p0pm03x3x04c0695w0et03w523917&site=xueshu_se (accessed on 18 August 2025).
  28. Yang, J.; Shi, S.; Yin, Q.; Gu, C.; Chen, H.; Liu, H.; Feng, P.; Hu, N.; Yang, Y.; Wang, J.; et al. A Riser Subsection for Acoustic Resonance-Induced Hydrate Dissociation in Deepwater Drilling. Available online: https://xueshu.baidu.com/ndscholar/browse/detail?paperid=185x00r0q65m0re0ca4m00707g516651&site=xueshu_se (accessed on 10 September 2025).
Figure 1. SHD-1 hydrate kinetics experimental apparatus.
Figure 1. SHD-1 hydrate kinetics experimental apparatus.
Processes 13 03008 g001
Figure 2. Disassembled reactor with hydrate deposits.
Figure 2. Disassembled reactor with hydrate deposits.
Processes 13 03008 g002
Figure 3. Conceptual diagram of the circulating drilling hydrate formation simulation device.
Figure 3. Conceptual diagram of the circulating drilling hydrate formation simulation device.
Processes 13 03008 g003
Figure 4. Experimental setup for integrated evaluation of hydrate formation and plugging behavior under varying formation conditions in circulation.
Figure 4. Experimental setup for integrated evaluation of hydrate formation and plugging behavior under varying formation conditions in circulation.
Processes 13 03008 g004
Figure 5. Hydrate phase equilibrium curves for (a) seawater–bentonite slurry, (b) seawater–polymer drilling fluid, (c) Plus/KCl drilling fluid, and (d) HEM drilling fluid under different gas compositions in a static state.
Figure 5. Hydrate phase equilibrium curves for (a) seawater–bentonite slurry, (b) seawater–polymer drilling fluid, (c) Plus/KCl drilling fluid, and (d) HEM drilling fluid under different gas compositions in a static state.
Processes 13 03008 g005
Figure 6. Hydrate phase equilibrium curves for (a) seawater–bentonite slurry, (b) seawater–polymer drilling fluid, (c) Plus/KCl drilling fluid, and (d) HEM drilling fluid under different gas compositions in a circulating state.
Figure 6. Hydrate phase equilibrium curves for (a) seawater–bentonite slurry, (b) seawater–polymer drilling fluid, (c) Plus/KCl drilling fluid, and (d) HEM drilling fluid under different gas compositions in a circulating state.
Processes 13 03008 g006
Figure 7. Hydrate formation regions at circulation rates of (a) 300 L/min, (b) 600 L/min, (c) 1200 L/min, and (d) 4000 L/min. The black region represents the hydrate formation region.
Figure 7. Hydrate formation regions at circulation rates of (a) 300 L/min, (b) 600 L/min, (c) 1200 L/min, and (d) 4000 L/min. The black region represents the hydrate formation region.
Processes 13 03008 g007
Figure 8. Hydrate formation thickness for seawater drilling fluid at water depths of (a) 1000 m, (b) 1200 m, (c) 1400 m, (d) 1600 m, (e) 1800 m, and (f) 2000 m under different temperature gradients.
Figure 8. Hydrate formation thickness for seawater drilling fluid at water depths of (a) 1000 m, (b) 1200 m, (c) 1400 m, (d) 1600 m, (e) 1800 m, and (f) 2000 m under different temperature gradients.
Processes 13 03008 g008
Figure 9. Hydrate formation thickness for seawater–bentonite slurry at water depths of (a) 1000 m, (b) 1200 m, (c) 1400 m, (d) 1600 m, (e) 1800 m, and (f) 2000 m under different temperature gradients.
Figure 9. Hydrate formation thickness for seawater–bentonite slurry at water depths of (a) 1000 m, (b) 1200 m, (c) 1400 m, (d) 1600 m, (e) 1800 m, and (f) 2000 m under different temperature gradients.
Processes 13 03008 g009
Figure 10. Effect of kinetic inhibitor dosage on the hydrate phase behavior of (top) seawater–bentonite slurry and (bottom) seawater–polymer drilling fluid.
Figure 10. Effect of kinetic inhibitor dosage on the hydrate phase behavior of (top) seawater–bentonite slurry and (bottom) seawater–polymer drilling fluid.
Processes 13 03008 g010
Table 1. Fitted trend lines for hydrate formation boundary conditions of seawater–bentonite slurry under different gas compositions in a static state.
Table 1. Fitted trend lines for hydrate formation boundary conditions of seawater–bentonite slurry under different gas compositions in a static state.
Gas CompositionFitted Trend Line of Hydrate Formation Boundary Conditions
100% CH4y = 0.0035x4 − 0.1213x3 + 1.4791x2 − 6.0871x + 9.495
92% CH4 + 5% C2H6 + 3% C3H8y = −0.0042x4 + 0.2292x3 − 4.448x2 + 37.918x − 114.09
80% CH4 + 5% C2H6 + 5% C3H8 + 5% CO2 + 5% N2y = −0.0061x4 + 0.3281x3 − 6.3534x2 + 54.049x − 165.14
Table 2. Fitted trend lines for hydrate formation boundary conditions of seawater–polymer drilling fluid under different gas compositions in a static state.
Table 2. Fitted trend lines for hydrate formation boundary conditions of seawater–polymer drilling fluid under different gas compositions in a static state.
Gas CompositionFitted Trend Line of Hydrate Formation Boundary Conditions
100% CH4y = 0.0035x4 − 0.1213x3 + 1.4791x2 − 6.0871x + 9.495
92% CH4 + 5% C2H6 + 3% C3H8y = −0.0042x4 +0.2292x3 − 4.448x2 +37.918x − 114.09
80% CH4 + 5% C2H6 + 5% C3H8 + 5% CO2 + 5% N2y = −0.0061x4 +0.3281x3 −6.3534x2 +54.049x − 165.14
Table 3. Fitted trend lines for hydrate formation boundary conditions of Plus/KCl drilling fluid under different gas compositions in a static state.
Table 3. Fitted trend lines for hydrate formation boundary conditions of Plus/KCl drilling fluid under different gas compositions in a static state.
Gas CompositionFitted Trend Line of Hydrate Formation Boundary Conditions
100% CH4y = −0.0088x4 + 0.3621x3 − 5.3125x2 + 34.035x − 71.846
92% CH4 + 5% C2H6 + 3% C3H8y = −0.0098x4 + 0.4145x3 − 6.2921x2 + 41.554x − 92.849
80% CH4 + 5% C2H6 + 5% C3H8 + 5% CO2 + 5% N2y = −0.0077x4 + 0.3389x3 − 5.3771x2 + 37.376x − 88.248
Table 4. Fitted trend lines for hydrate formation boundary conditions of HEM drilling fluid under different gas compositions in a static state.
Table 4. Fitted trend lines for hydrate formation boundary conditions of HEM drilling fluid under different gas compositions in a static state.
Gas CompositionFitted Trend Line of Hydrate Formation Boundary Conditions
100% CH4y = 0.0019x4 − 0.1038x3 + 2.039x2 − 16.082x + 49.317
92% CH4 + 5% C2H6 + 3% C3H8y = 0.0022x4 − 0.1078x3 + 1.8826x2 − 12.862x + 35.789
80% CH4 + 5% C2H6 + 5% C3H8 + 5% CO2 + 5% N2y = 0.0021x4 − 0.102x3 + 1.7263x2 − 11.228x + 30.665
Table 5. Fitted trend lines for hydrate formation boundary conditions of seawater–bentonite slurry under different gas compositions in a circulating state.
Table 5. Fitted trend lines for hydrate formation boundary conditions of seawater–bentonite slurry under different gas compositions in a circulating state.
Gas CompositionFitted Trend Line of Hydrate Formation Boundary Conditions
100% CH4y = 0.0035x4 − 0.1213x3 + 1.4791x2 − 6.0871x + 9.495
92% CH4 + 5% C2H6 + 3% C3H8y = −0.0042x4 + 0.2292x3 − 4.448x2 + 37.918x − 114.09
80% CH4 + 5% C2H6 + 5% C3H8 + 5% CO2 + 5% N2y = −0.0061x4 + 0.3281x3 − 6.3534x2 + 54.049x − 165.14
Table 6. Fitted trend lines for hydrate formation boundary conditions of seawater–polymer drilling fluid under different gas compositions in a circulating state.
Table 6. Fitted trend lines for hydrate formation boundary conditions of seawater–polymer drilling fluid under different gas compositions in a circulating state.
Gas CompositionFitted Trend Line of Hydrate Formation Boundary Conditions
100% CH4y = 0.0009x4 − 0.051x4 + 0.935x4 − 5.8323x + 15.38
92% CH4 + 5% C2H6 + 3% C3H8y = 0.0015x4 − 0.0643x3 + 0.9427x2 − 4.3444x + 11.759
80% CH4 + 5% C2H6 + 5% C3H8 + 5% CO2 + 5% N2y = 0.0015x4 − 0.0626x3 + 0.8298x2 − 2.8802x + 6.9744
Table 7. Fitted trend lines for hydrate formation boundary conditions of Plus/KCl drilling fluid under different gas compositions in a circulating state.
Table 7. Fitted trend lines for hydrate formation boundary conditions of Plus/KCl drilling fluid under different gas compositions in a circulating state.
Gas CompositionFitted Trend Line of Hydrate Formation Boundary Conditions
100% CH4y = 0.0006x4 − 0.036x3 + 0.7047x2 − 4.9926x + 16.434
92% CH4 + 5% C2H6 + 3% C3H8y = 0.0005x4 − 0.028x3 + 0.5347x2 − 3.4233x + 12.05
80% CH4 + 5% C2H6 + 5% C3H8 + 5% CO2 + 5% N2y = 0.0012x4 − 0.0657x3 + 1.234x2 − 8.8945x + 28.004
Table 8. Fitted trend lines for hydrate formation boundary conditions of HEM drilling fluid under different gas compositions in a circulating state.
Table 8. Fitted trend lines for hydrate formation boundary conditions of HEM drilling fluid under different gas compositions in a circulating state.
Gas CompositionFitted Trend Line of Hydrate Formation Boundary Conditions
100% CH4y = 0.0012x4 − 0.0644x3 + 1.2349x2 − 9.0942x + 27.355
92% CH4 + 5% C2H6 + 3% C3H8y = 0.0007x4 − 0.0365x3 + 0.5963x2 − 2.9538x + 7.6869
80% CH4 + 5% C2H6 + 5% C3H8 + 5% CO2 + 5% N2y = 0.0013x4 − 0.0635x3 + 1.0789x2 − 6.6565x + 18.775
Disclaimer/Publisher’s Note: The statements, opinions and data contained in all publications are solely those of the individual author(s) and contributor(s) and not of MDPI and/or the editor(s). MDPI and/or the editor(s) disclaim responsibility for any injury to people or property resulting from any ideas, methods, instructions or products referred to in the content.

Share and Cite

MDPI and ACS Style

Li, Y.; Gao, D.; Liu, S.; Zhao, Y.; Li, L.; Li, S. Hydrate Formation and Mitigation Methods Under Multiple Operational Conditions in Deepwater Drilling. Processes 2025, 13, 3008. https://doi.org/10.3390/pr13093008

AMA Style

Li Y, Gao D, Liu S, Zhao Y, Li L, Li S. Hydrate Formation and Mitigation Methods Under Multiple Operational Conditions in Deepwater Drilling. Processes. 2025; 13(9):3008. https://doi.org/10.3390/pr13093008

Chicago/Turabian Style

Li, Yanjun, Deli Gao, Shujie Liu, Ying Zhao, Lei Li, and Shuzhan Li. 2025. "Hydrate Formation and Mitigation Methods Under Multiple Operational Conditions in Deepwater Drilling" Processes 13, no. 9: 3008. https://doi.org/10.3390/pr13093008

APA Style

Li, Y., Gao, D., Liu, S., Zhao, Y., Li, L., & Li, S. (2025). Hydrate Formation and Mitigation Methods Under Multiple Operational Conditions in Deepwater Drilling. Processes, 13(9), 3008. https://doi.org/10.3390/pr13093008

Note that from the first issue of 2016, this journal uses article numbers instead of page numbers. See further details here.

Article Metrics

Back to TopTop