Towards Efficient Waste Handling: Structural Group Reduction in Lifting Mechanism Design
Abstract
1. Introduction
- Front-loading systems: used primarily for emptying large containers servicing commercial and industrial enterprises;
- Rear-loading systems: featuring a rear chute for waste collection, where waste is deposited manually by an operator (e.g., garbage bags or bins) or mechanically using a lifting device capable of handling containers up to 1100 L;
- Side-loading systems: similar to rear loaders, either manual or mechanized, where waste is loaded into the truck’s side-mounted storage hopper, typically accommodating containers up to 240 L.
- Mechanical elements actuated by hydraulic systems;
- Rotating shafts transmitting motion through transmission systems such as worm gears or chain drives, etc.
2. Materials and Methodology
3. Theoretical Considerations
- Group 1—consists of the hydraulic piston AD (binary elements with a sliding element);
- Group 2—consists of the elements ADE (binary elements);
- Group 3—consists of the elements DEF (ternary element);
- Group 4—consists of the elements GHF (binary elements);
- Group 5—consists of the elements HFI (binary elements).
- Group 1—used to determine the value of the distance between joints A and D;
- Group 2—used to determine the value of the coordinates of joint D and the value of the angle formed by element ED with the horizontal;
- Group 3—used to determine the value of the coordinates of joint F and the value of the angle formed by element EF with the horizontal;
- Group 4—used to determine the value of the coordinates of joint H and the value of the angle formed by element HF with the horizontal;
- Group 5—used to determine the value of the coordinates of joint I.
- Group 1—consists of the hydraulic piston AD (binary elements with a sliding element);
- Group 2—consists of the elements ADEF (binary element with ternary element);
- Group 3—consists of the elements EFGHI (quadrilateral mechanism).
- Group 1—Figure 4 presents the dimensional elements of the components that make up this group. Specifically, this figure represents the element generating linear motion (namely the piston with its two components: the cylindrical element with dimension a and the piston with dimension b. Since the two components presented earlier (the cylinder and the piston) interpenetrate, this overlap of components is characterized by the dimensional value c.
- To determine the movement of points D and F of the mechanism, it is necessary to analyze the movements performed by the group consisting of binary and ternary elements presented in Figure 5. Within this group of components, the coordinates of points A and E are known, and the distances between points E and D, E and F, and D and F are fixed. By analyzing the group of elements in Figure 5, a triangle ADE is identified, but since side AD (whose length l1 varies) changes, the shape of the triangle varies. In this case, the coordinates describing the movement of point D are given by Equations (2) and (3).
4. Results
- Coordinates of fixed points:
- ○
- For the joint/point A—x0 = 0; y0 = 0;
- ○
- For the joint/point E—x1 = 15 cm; y1 = 52 cm;
- ○
- For the joint/point G—x2 = 62 cm; y2 = 71 cm;
- Dimensional values of the elements:
- ○
- Element AB, denoted as a, has a value of 80 cm;
- ○
- Element CD, denoted as b, has a value of 70 cm;
- ○
- Element CB, denoted as x, has a value of 40 cm;
- ○
- Element DE, denoted as c, has a value of 86 cm;
- ○
- Element EF, denoted as d, has a value of 74 cm;
- ○
- Element FD, denoted as e, has a value of 45 cm;
- ○
- Element GH, denoted as f, has a value of 27 cm;
- ○
- Element HI, denoted as h, has a value of 98 cm;
- ○
- The distance between joint H and joint F, denoted as g, has a value of 22 cm.
- The movement of lifting the container to unload household waste from it;
- The movement of lowering the container to remove it from the lifting system.
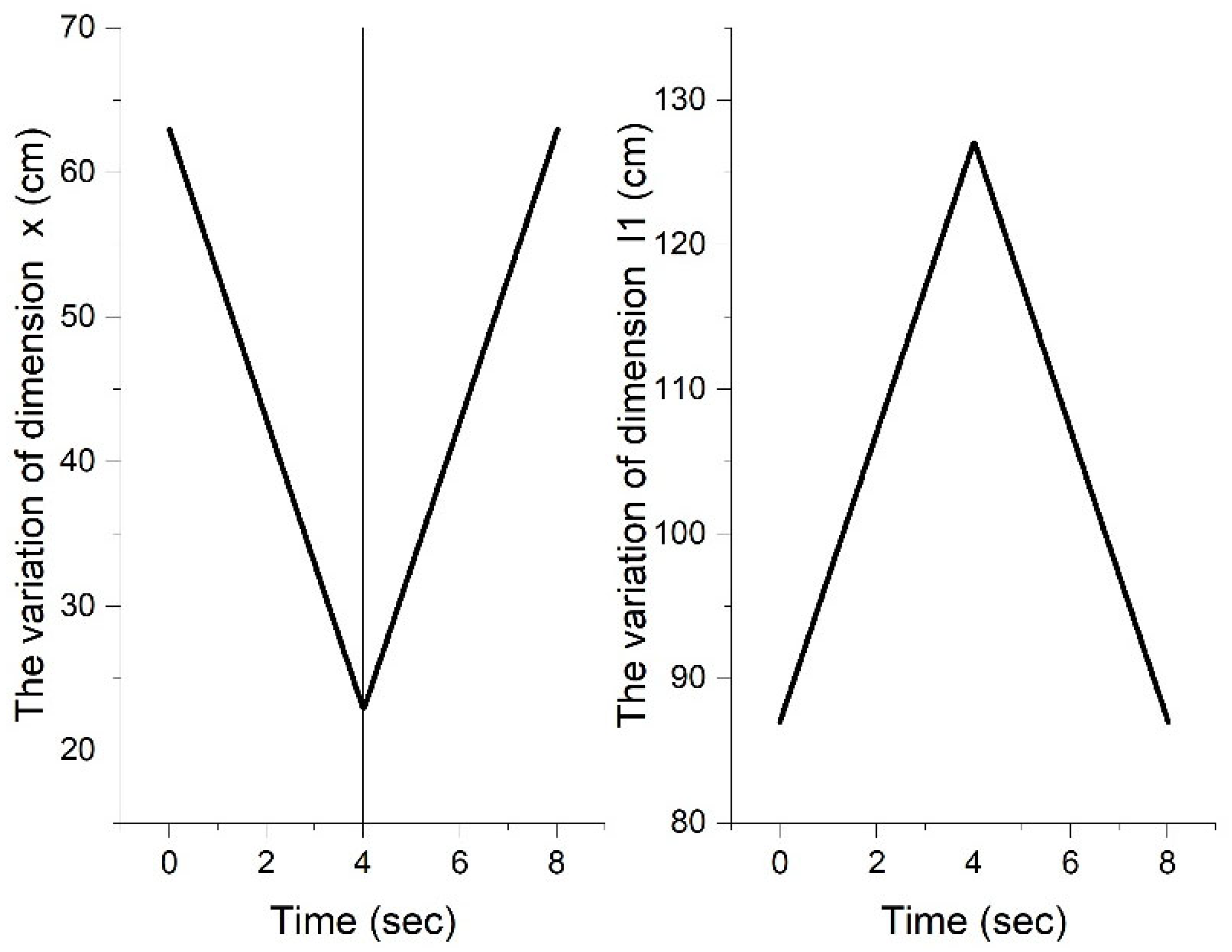
- It is observed that the studied mechanism has the role of converting the linear motion generated by the hydraulic piston (according to Figure 1) into partial rotational motion. At the same time, the entire mechanism assembly serves to amplify the motion, specifically from the linear variation of 40 cm produced by the hydraulic piston (which is found in the variation of the dimensional element l1) to a motion performed by the motion coupling I, which is 283 cm.
- Distribution of fixed couplings: Fixed couplings A, E, and G are positioned at different points on the graph (corresponding to the initially imposed coordinates), indicating their specific locations within the mechanical system. These fixed points are essential for the stability and operation of the mechanism.
- Trajectories of mobile couplings: Couplings D, F, H, and I are represented by curves, indicating their trajectories during the operation of the mechanism. These trajectories show how the mobile components move in relation to the fixed points. These curved trajectories are influenced by:
- ○
- The position of the couplings in relation to the driving element;
- ○
- The position of the couplings in relation to the fixed couplings of the mechanism;
- ○
- The size of the elements they are part of.
- As a general characteristic of variation, it is observed that all three angles vary according to a roughly similar pattern, namely increasing until the time of 4 s, followed by a decrease in value. This interdependence results from the existence of a mechanical system in which all three angles are dependent on each other;
- Both angles α and β exhibit the same linear growth trend. This is because the two angles are generated by the components of the ternary element EFD presented in Figure 5, thus highlighting the direct relationship between the structure of the EFD element and the variation of the angles.
- Regarding the variation of angle γ, it can be said that it exhibits a parabolic variation, starting from a value of approximately 90 degrees and reaching 130.1 degrees when we have the value of 2 s. After 2 s, the value of the analyzed angle increases linearly, reaching 237.79 degrees at 4 s. The initial parabolic shape suggests an accelerated increase in angle γ, while the subsequent linear increase indicates a stabilization of the rate of change.
5. Discussion
- For the values obtained mathematically, the method of determining the distance between two consecutive points (based on the coordinates on the OX and OY axes of the point) was applied relative to the time interval. In this method, the travel time between points is 0.08 s.
- The Linkage v.3.16.14 simulation program not only provides the values of the coordinates of the studied points but also allows the determination and export of the linear velocity values of these points, all in a single file.
- Since couplings D and F are parts of the same mechanical component (the ternary element DEF), they exhibit the same variation in linear velocity relative to the trajectory of the analyzed couplings, specifically in an arc shape.
- The variation in coupling H shows a rapid increase in velocity in the initial part of the stroke, followed by a slow decrease.
- The velocity variation in coupling I is presented in the form of a half-spiral.
- Regardless of the figure referred to, the pattern of the parameter variation is the same for both the mathematical calculation method and the simulation method.
- It is also observed that regardless of which coupling is analyzed, the variation in linear velocity is mirrored. The reference element is specific to the time value of 4 s. This value corresponds to the time when the mechanism reaches the end of its stroke, specifically when the hydraulic piston (specific to element AD) completes its maximum stroke.
- Regarding the variation pattern of the studied parameter, it is observed that:
- ○
- Both coupling D and coupling F exhibit the same pattern of linear velocity variation. Starting from a low value, the velocity increases exponentially until the completion of the load lifting stroke, followed by a decrease that follows the same trend. This similarity in the variation of the studied parameter is because both couplings are part of the same ternary element DFE;
- ○
- Regarding the variation in the velocity of coupling H, it is observed that after a period of 2 s during which the velocity increases exponentially, it then decreases to almost 0 cm/s (0.655 cm/s) when it reaches the end of the stroke;
- ○
- For coupling I, which is specific to the movement of the end of the mechanism used for lifting the load, it is observed that although the velocity varies exponentially, at the midpoint of the stroke (both during lifting and lowering the load), a decrease in velocity was obtained.
- Analyzing the difference between the values obtained mathematically and those obtained through the Linkage v.3.16.14 simulation program, it is observed that:
- ○
- For coupling D, the largest difference was 0.66 cm/s, and this difference appears at the end of the load lifting operation. The smallest difference between the two methods occurs at the start of the load and at the end of the lowering operation (at times 0.132 s and 7.953 s) and is 0.23 cm/s.
- ○
- The largest difference for coupling F is also observed at the end of the load lifting operation (specifically 0.57 cm/s at 3.96 s). Like coupling D, the smallest difference is obtained under the same conditions, specifically 0.19 cm/s at times 0.066 s and 0.792 s.
- ○
- For coupling H, the smallest difference between values is observed at 4.62 s (specifically 0.0026 cm/s), while the largest difference is observed at 3.927 s (specifically 0.45 cm/s).
- ○
- Compared to the other couplings, the maximum difference between the values obtained by the two different methods for coupling I is 3.18 cm/s, while the minimum is 0.17 cm/s.
6. Conclusions
- New types of equations were identified to describe the motion of the primary couplings specific to the analyzed mechanism.
- To derive these new calculation relationships, the mechanism was decomposed into structural groups. In this study, only three structural groups were used, compared to five required by the classical method. This reduced number simplifies the analysis while maintaining its effectiveness in determining the motion of each component.
- Due to the way the structural groups were defined, the resulting equations are more complex than those typically found in the existing literature.
- The kinematic analysis was conducted without assigning numerical values, resulting in equations of a general character. These equations can be applied to this type of lifting mechanism for any set of dimensional parameters, provided the basic functional conditions of the mechanism are preserved.
- The developed calculation relationships are not limited to specific construction cases, making them applicable to a wide range of industrial mechanisms.
- The use of the Linkage v.3.16.14 simulation program enabled verification of the mathematical results and provided a clear visualization of the mechanism’s operation.
- The variations in the studied parameters, including the coordinates of kinematic couplings, the angles formed by the elements relative to the OX axis, and the linear velocities at the couplings, are consistent, displaying periodic and symmetrical behavior over the analyzed time interval (corresponding to the movement of the mechanism’s actuating element, the hydraulic piston).
Author Contributions
Funding
Data Availability Statement
Conflicts of Interest
Abbreviations
a, b, c, d, e, f, g, h | the dimensional values of the binary elements AB, CD, DE, EF, DF, GH, HF and FI are noted |
x | the dimensional values of the binary elements BC are noted |
l1 | the dimensional values of elements AD are noted |
x0, y0 | coordinates of coupling A |
x1, y1 | coordinates of coupling E |
x2, y2 | coordinates of coupling G |
dAE | distance between fixed couplings A and D |
d1, d2, d3, d4, aa, bb | are notations, made with the aim of reducing the dimensionality of the equations presented |
α, β and γ | are the angles generated by the binary elements ED, EF and HI in relation to the horizontal axis |
References
- Oliskevych, M.; Danchuk, V. An algorithm for garbage truck routing in cities with a fixation on container filling level. Transp. Probl. 2023, 18, 75–87. [Google Scholar] [CrossRef]
- Ando, R.; Mimura, Y. On relations of the consciousness of garbage truck drivers and their experiences of unsafe driving behaviors. Int. Rev. Spat. Plan. Sustain. Dev. 2015, 3, 25–35. [Google Scholar] [CrossRef][Green Version]
- Ceballos, D.; Zhou, M.; Herrick, R. Metals and particulates exposure from a mobile e-waste shredding truck: A pilot study. Ann. Work Expo. Health 2020, 64, 890–896. [Google Scholar] [CrossRef] [PubMed]
- Vu, H.L.; Ng, K.T.W.; Fallah, B.; Richter, A.; Kabir, G. Interactions of residential waste composition and collection truck compartment design on GIS route optimization. Waste Manag. 2020, 102, 613–623. [Google Scholar] [CrossRef] [PubMed]
- Vecchi, T.P.B.; Surco, D.F.; Constantino, A.A.; Steiner, M.T.A.; Jorge, L.M.M.; Ravagnani, M.A.S.S.; Paraíso, P.R. A sequential approach for the optimization of truck routes for solid waste collection. Process Saf. Environ. 2016, 102, 238–250. [Google Scholar] [CrossRef]
- Sulemana, A.; Donkor, E.A.; Forkuo, E.K.; Oduro-Kwarteng, S. Optimal routing of solid waste collection trucks: A review of methods. J. Eng. 2018, 2018, 4586376. [Google Scholar] [CrossRef]
- Sulemana, A.; Donkor, E.A.; Forkuo, E.K.; Asantewaa, J.; Ankrah, I.N.A.; Musah, A.M.O. Optimized routing of trucks for institutional solid waste collection in kumasi, Ghana. Detritus 2020, 9, 50–58. [Google Scholar] [CrossRef]
- De Santis, M.; Silvestri, L.; Forcina, A.; Di Bona, G.; Di Fazio, A.R. Preliminary realization of an electric-powered hydraulic pump system for a waste compactor truck and a techno-economic analysis. Appl. Sci. 2021, 11, 3033. [Google Scholar] [CrossRef]
- Zubov, V.V.; Domnitskiy, A.A.; Kargin, R.V. Calculation and choice of grip parameters for garbage truck manipulator. Procedia Eng. 2015, 129, 896–902. [Google Scholar] [CrossRef][Green Version]
- Olszowiec, P.J.T. Garbage truck operation in an urban area. Int. J. Mar. Navig. Saf. Sea Transp. 2021, 15, 911–914. [Google Scholar] [CrossRef]
- Lu, W.; Yuan, L.; Lee, W.M.J.E.S.; Research, P. Understanding loading patterns of construction waste hauling trucks: Triangulation between big quantitative and informative qualitative data. Environ. Sci. Pollut. Res. 2022, 29, 50867–50880. [Google Scholar] [CrossRef] [PubMed]
- Holenko, K.; Dykha, O.; Koda, E.; Kernytskyy, I.; Horbay, O.; Royko, Y.; Fornalchyk, Y.; Berezovetska, O.; Rys, V.; Humenuyk, R.J.A.S. Structure and strength optimization of the Bogdan ERCV27 electric garbage truck spatial frame under static loading. Appl. Sci. 2024, 14, 11012. [Google Scholar] [CrossRef]
- Wang, Z.C.; Liu, D.W.; Jiang, R.C.; Ge, X.K. Optimum design of kitchen garbage truck lifting mechanism based on virtual prototype. Adv. Mater. Res. 2012, 479–481, 837–840. [Google Scholar] [CrossRef]
- Glazunov, V.; Albagachiev, A.Y.; Erofeev, M.; Romanov, A.A. Development and investigation of a parallel-structure mechanism with toothed gears taking into account friction. J. Mach. Manuf. Reliab. 2022, 51, 143–152. [Google Scholar] [CrossRef]
- Wen, Y.; Lu, Y. A comparative study of garbage classification practice in different countries. In ICMSEM 2020, Proceedings of the International Conference on Management Science and Engineering Management, Chișinău, Moldova, 30 July–2 August 2020; Xu, J., Duca, G., Ahmed, S., García Márquez, F., Hajiyev, A., Eds.; Springer: Cham, Switzerland, 2021; Volume 1191, pp. 603–612. [Google Scholar]
- Wu, T.H.; Chen, P.Y. Battery management system for electric garbage compactor trucks. IEEE Access 2024, 12, 88596–88607. [Google Scholar] [CrossRef]
- Souza, R.V.D.; Pinto, J.M.A.; Cimini, C.A.; Pereira, S.L.D. Evaluation of pitch up of two-axle solid waste collection compactor trucks in the static condition. Waste Manag. Res. 2011, 29, 340–348. [Google Scholar] [CrossRef] [PubMed]
- Wang, B.; Tao, J.; Wu, H.P. The Application of knowledge representation on the design of loading device of garbage truck. Appl. Mech. Mater. 2012, 121–126, 3568–3572. [Google Scholar] [CrossRef]
- Dang, T.D.; Do, T.C.; Ahn, K.K. Experimental assessment of the power conversion of a wave energy converter using hydraulic power take-off mechanism. Int. J. Precis. Eng. Manuf.-Green Technol. 2021, 8, 1515–1527. [Google Scholar] [CrossRef]
- Wójcik, W.; Bereziuk, O.V.; Lemeshev, M.S.; Bohachuk, V.V.; Polishchuk, L.K.; Bezsmertna, O.; Smailova, S.; Kurmagazhanova, S. Metrological aspects of controlling the rotational movement parameters of the auger for dewatering solid waste in a garbage truck. Int. J. Electron. Telecommun. 2023, 69, 233–238. [Google Scholar] [CrossRef]
- Parczewski, K.; Wnek, H. Influence of clearance on the rocker arm pin on the steerability and stability of the vehicle motion. Energies 2021, 14, 7827. [Google Scholar] [CrossRef]
- Zhou, Z.G.; Zhao, J.Y.; Zhang, L.C.; Han, E.; Yan, G.F. Test method for energy consumption of hybrid compression garbage truck. In Proceedings of the 2014 IEEE Conference and Expo Transportation Electrification Asia-Pacific (ITEC Asia-Pacific), Beijing, China, 31 August–3 September 2014. [Google Scholar]
- Zheng, S.P.; Yang, Z.J.; Xu, L. Research on the Topology Optimization of the rocker arm of compression garbage truck based on Rigid-Flexible coupling. IOP Conf. Ser. Mater. Sci. Eng. 2018, 423, 012107. [Google Scholar] [CrossRef]
- Sun, Q.; Li, G.X.; Bai, S.Z.; Ma, C.C. The simulation study of hybrid compression garbage trucks. Adv. Mater. Res. 2013, 608–609, 1220–1224. [Google Scholar] [CrossRef]
- Emilian, M.; Valentin, N.; Narcis, B.; Alexandra-Dana, C.; Dragoş, R. Influence of screening block supporting way on the behaviour of a solid particle on an oscillating surface. J. Eng. Stud. Res. 2016, 21, 51–58. [Google Scholar] [CrossRef]
- Iqbal, A.; Veer, S.; Gu, Y. Analytical solution to a time-varying LIP model for quadrupedal walking on a vertically oscillating surface. Mechatronics 2023, 96, 103073. [Google Scholar] [CrossRef]
- Mosnegutu, E.; Nedeff, V.; Bontas, O.; Barsan, N.; Chitimus, D.; Rusu, D. Determination of kinematic indices corresponding to a solid particle on a flat oscillating surface. IOP Conf. Ser. Mater. Sci. 2016, 147, 012151. [Google Scholar] [CrossRef]
- Liu, C.; Wang, J.; Zhang, W.; Yang, X.-D.; Guo, X.; Liu, T.; Su, X. Synchronization of broadband energy harvesting and vibration mitigation via 1:2 internal resonance. Int. J. Mech. Sci. 2025, 301, 110503. [Google Scholar] [CrossRef]
- Escobar, L.; Bolanos, E.; Bravo, X.; Comina, M.; Hidalgo, J.L.; Ibarra, A. Kinematic resolution of delta robot using four bar mechanism theory. In Proceedings of the 2017 IEEE International Conference on Mechatronics and Automation (ICMA), Takamatsu, Japan, 6–9 August 2017; pp. 881–887. [Google Scholar] [CrossRef]
- Sabzali, H.; Koochakzadeh, E.; Moradi, A.; Akbarzadeh, A. Kinematics and dynamics optimization of a novel non-circular gear-attached four-bar mechanism for knee exoskeleton robot. In Proceedings of the 2022 10th RSI International Conference on Robotics and Mechatronics (ICRoM), Tehran, Iran, 22–24 November 2022; pp. 190–195. [Google Scholar] [CrossRef]
- El-Shakery, S.; Ramadan, R.; Khader, K. Analytical and graphical optimal synthesis of crank-rocker four bar mechanisms for achieving targeted transmission angle deviations. Jordan J. Mech. Ind. Eng. 2020, 14, 303–313. [Google Scholar]
- Jia, G.; Li, B.; Dai, J.S. Oriblock: The origami-blocks based on hinged dissection. Mech. Mach. Theory 2024, 203, 105826. [Google Scholar] [CrossRef]
- Ding, X.; Yang, Y.; Dai, J.S.J.M.; Theory, M. Topology and kinematic analysis of color-changing ball. Mech. Mach. Theory 2011, 46, 67–81. [Google Scholar] [CrossRef]
- Boskovic, M.; Bulatovic, R.R.; Salinic, S.; Miodragovic, G.R.; Bogdanovic, G.M. Optimization of dynamic quantities of a four-bar mechanism using the Hybrid Cuckoo Search and Firefly Algorithm (H-CS-FA). Arch. Appl. Mech. 2018, 88, 2317–2338. [Google Scholar] [CrossRef]
- Flores-Pulido, L.; Portilla-Flores, E.A.; Santiago-Valentin, E.; Vega-Alvarado, E.; Yanez, M.B.C.; Nino-Suarez, P.A. A Comparative study of improved harmony search algorithm in four bar mechanisms. IEEE Access 2020, 8, 148757–148778. [Google Scholar] [CrossRef]
- Qaiyum, A.; Mohammad, A. A novel approach for optimal synthesis of path generator four-bar planar mechanism using improved harmony search algorithm. Aust. J. Mech. Eng. 2024, 22, 95–108. [Google Scholar] [CrossRef]
- Wang, B.; Du, X.C.; Ding, J.Z.; Dong, Y.; Wang, C.J.; Liu, X.A. The synthesis of planar four-bar linkage for mixed motion and function generation. Sensors 2021, 21, 3504. [Google Scholar] [CrossRef]
- Bandopadhya, D.; Njuguna, J. Modelling and analysis of an ionic polymer-metal composite (IPMC)-rocker-based four-bar for variable path generation using the Euler-Bernoulli approach. Proc. Inst. Mech. Eng. Part C J. Mech. Eng. Sci. 2009, 223, 2405–2411. [Google Scholar] [CrossRef]
- Cakar, O.; Tanyildizi, A.K. Application of moving sliding mode control for a DC motor driven four-bar mechanism. Adv. Mech. Eng. 2018, 10, 1687814018762184. [Google Scholar] [CrossRef]
- Ge, Q.J.; Purwar, A.; Zhao, P.; Deshpande, S. A Task-driven approach to unified synthesis of planar four-bar linkages using algebraic fitting of a pencil of g-manifolds. J. Comput. Inf. Sci. Eng. 2017, 17, 031011. [Google Scholar] [CrossRef]
- Arman, R.; Mahyuddin, A.I.; Marthiana, W.; Satria, I. Experimental investigation of vibration response of a flexible coupler in a four bar mechanism due to varying crank length and crank speed. MATEC Web Conf. 2018, 248, 01008. [Google Scholar] [CrossRef][Green Version]
- Diab, N. A new graphical technique for acceleration analysis of four bar mechanisms using the instantaneous center of zero acceleration. SN Appl. Sci. 2021, 3, 327. [Google Scholar] [CrossRef]
- Meijaard, J.P.; van der Wijk, V. Principal vectors and equivalent mass descriptions for the equations of motion of planar four-bar mechanisms. Multibody Syst. Dyn. 2020, 48, 259–282. [Google Scholar] [CrossRef]
- Zhang, K.; Yang, M.W.; Zhang, Y.M.; Huang, Q.J. Error feedback method (EFM) based dimension synthesis optimisation for four-bar linkage mechanism. Appl. Soft Comput. 2023, 144, 110424. [Google Scholar] [CrossRef]
- Bustamante, M.; Vega-Centeno, R.; Sánchez, M.; Mio, R. A parametric 3D-printed body-powered hand prosthesis based on the four-bar linkage mechanism. In Proceedings of the 2018 IEEE 18th International Conference on Bioinformatics and Bioengineering (BIBE), Taichung, Taiwan, 29–31 October 2018; pp. 79–85. [Google Scholar] [CrossRef]
- Liu, Y.; Yang, S. Kinematic solution of spherical Stephenson-III six-bar mechanism. Chin. J. Mech. Eng. 2013, 26, 851–860. [Google Scholar] [CrossRef]
- Zuczek, R.; Pysz, S.; Maj, M.; Pieklo, J. Shaping the strength of cast rocker arm for special purpose vehicle. Arch. Foundry Eng. 2015, 15, 95–98. [Google Scholar] [CrossRef]
- Wei, W.H.; Shen, J.C.; Yu, H.P.; Chen, B.R.; Wei, Y. optimization design of the lower rocker arm of a vertical roller mill based on ANSYS Workbench. Appl. Sci. 2021, 11, 10408. [Google Scholar] [CrossRef]
- Xu, W.H.; Zhang, C.S.; Wang, S.Y. Design and simulating analysis of compressed garbage transport truck lifting mechanism based on ADAMS. Appl. Mech. Mater. 2012, 215–216, 1224–1227. [Google Scholar] [CrossRef]
- Shi, G.L.; Chen, S.X.; Liang, G.M.; Shi, G.L. Analysis with ADAMS/ANSYS on dynamic properties of rotating hook-lift garbage truck. In Proceedings of the 2009 International Conference on Measuring Technology and Mechatronics Automation, Zhangjiajie, China, 11–12 April 2009; pp. 746–749. [Google Scholar] [CrossRef]
- Attia, E.M.; Abd El-Naeem, M.A.; El-Gamal, H.A.; Awad, T.H.; Mohamed, K.T. Simulation of the motion of a four bar prosthetic knee mechanism fitted with a magneto-rheological damper. J. Vibroeng. 2016, 18, 4051–4068. [Google Scholar] [CrossRef]
- Mo, X.J.; Ge, W.J.; Wang, S.C.; Zhao, D.L. Mechanical design and dynamics simulation of locust-inspired straight line four-bar jumping mechanism. In Mechanism and Machine Science. ASIAN MMS CCMMS 2016; Lecture Notes in Electrical Engineering; Springer: Singapore, 2017; Volume 408, pp. 429–442. [Google Scholar] [CrossRef]
- Rector, D. Linkage Mechanism Designer and Simulator. Available online: https://blog.rectorsquid.com/linkage-mechanism-designer-and-simulator/ (accessed on 12 June 2024).
- Mathcad. Available online: https://www.mathcad.com/en (accessed on 27 July 2022).
- Hazem, Z.B.; Fotuhi, M.J.; Bingül, Z. A comparative study of the joint Neuro-Fuzzy friction models for a triple link rotary inverted pendulum. IEEE Access 2020, 8, 49066–49078. [Google Scholar] [CrossRef]
Mobile Coupling | Minimum Difference (%) | Maximum Difference (%) |
---|---|---|
D | 0.03 | 1.99 |
F | 0.03 | 1.89 |
H | 0.06 | 1.23 |
I | 0.01 | 7.09 |
Disclaimer/Publisher’s Note: The statements, opinions and data contained in all publications are solely those of the individual author(s) and contributor(s) and not of MDPI and/or the editor(s). MDPI and/or the editor(s) disclaim responsibility for any injury to people or property resulting from any ideas, methods, instructions or products referred to in the content. |
© 2025 by the authors. Licensee MDPI, Basel, Switzerland. This article is an open access article distributed under the terms and conditions of the Creative Commons Attribution (CC BY) license (https://creativecommons.org/licenses/by/4.0/).
Share and Cite
Mosnegutu, E.; Tomozei, C.; Nedeff, F.; Chitimus, D.; Mirila, D.; Wiewiórska, I.; Jasiński, M.; Sporea, N. Towards Efficient Waste Handling: Structural Group Reduction in Lifting Mechanism Design. Processes 2025, 13, 2744. https://doi.org/10.3390/pr13092744
Mosnegutu E, Tomozei C, Nedeff F, Chitimus D, Mirila D, Wiewiórska I, Jasiński M, Sporea N. Towards Efficient Waste Handling: Structural Group Reduction in Lifting Mechanism Design. Processes. 2025; 13(9):2744. https://doi.org/10.3390/pr13092744
Chicago/Turabian StyleMosnegutu, Emilian, Claudia Tomozei, Florin Nedeff, Dana Chitimus, Diana Mirila, Iwona Wiewiórska, Marcin Jasiński, and Nicoleta Sporea. 2025. "Towards Efficient Waste Handling: Structural Group Reduction in Lifting Mechanism Design" Processes 13, no. 9: 2744. https://doi.org/10.3390/pr13092744
APA StyleMosnegutu, E., Tomozei, C., Nedeff, F., Chitimus, D., Mirila, D., Wiewiórska, I., Jasiński, M., & Sporea, N. (2025). Towards Efficient Waste Handling: Structural Group Reduction in Lifting Mechanism Design. Processes, 13(9), 2744. https://doi.org/10.3390/pr13092744