Next Article in Journal
Chitosan Composites Functionalized with Green-Synthesized Silver Nanoparticles from Manacá-da-Serra Flowers for the Disinfection of Industrial Wastewater
Previous Article in Journal
Radial Basis Function Kolmogorov–Arnold Network for Coal Calorific Value Prediction Using Portable Near-Infrared Spectroscopy
Previous Article in Special Issue
Hybrid Supervised–Unsupervised Fusion Clustering for Intelligent Classification of Horizontal Gas Wells Leveraging Integrated Dynamic–Static Parameters
 
 
Font Type:
Arial Georgia Verdana
Font Size:
Aa Aa Aa
Line Spacing:
Column Width:
Background:
Article

Development of Rock-Based Geopolymers for Oilwell Cementing Applications—Utilizing Brazilian Rock Precursor

by
Raphael Ribeiro da Silva
1,*,
Julio Cezar de Oliveira Freitas
2,
Mahmoud Khalifeh
3 and
Renata Martins Braga
1
1
Department of Chemical Engineering, Federal University of Rio Grande do Norte, Natal 59078-970, Brazil
2
Department of Chemistry, Federal University of Rio Grande do Norte, Natal 59078-970, Brazil
3
Department of Energy and Petroleum Engineering, Faculty of Science and Technology, University of Stavanger, 4036 Stavanger, Norway
*
Author to whom correspondence should be addressed.
Processes 2025, 13(11), 3624; https://doi.org/10.3390/pr13113624
Submission received: 8 October 2025 / Revised: 29 October 2025 / Accepted: 6 November 2025 / Published: 8 November 2025

Abstract

This article focuses on developing and characterizing one-part rock-based geopolymer slurries using Brazilian rock precursors for well construction and plugging and abandonment (P&A) applications. The study presents the fluid-state and solid-state properties of these geopolymers, as well as X-ray diffraction (XRD) and Scanning Electron Microscopy (SEM), to understand the microstructure of the precursors and the reaction level. The effect of temperature and pressure on the development of compressive strength was investigated. By altering these parameters, the study aimed to examine the impact of various conditions on the strength development of the geopolymer material. Technological tests were conducted following API RP 10B-2. Compressive strength tests were conducted to determine early strength development and thickening time. Post-curing Rietveld refinement by XRD was performed to examine the microstructure and reactivity. Finally, fluid-state properties were also assessed, including thickening time and viscosity. The strength development of geopolymers is observed to be time- and temperature-dependent, as shown by UCS results. The final product has a dense structure, and its long-term performance will require evaluation to determine its sealing capability and volume change as a barrier material. The results highlight the novelty of employing locally available Brazilian rock precursors in one-part geopolymer formulations and provide a scientific basis for their potential application as sustainable alternatives to conventional cements in well construction and abandonment.

1. Introduction

Cement has historically served as the primary material for zonal isolation, ensuring well integrity in oil and gas operations. Traditional oil well cementing formulations, predominantly based on ordinary Portland cement (OPC), have provided essential support for wellbore stability and zonal isolation. In addition to its application in well construction, cement is employed in slot recovery operations to seal off and abandon specific sections of wellbores and permanently plug and abandon wells [1,2]. What makes cement unique is its versatility for different applications in different sections of the wellbores. However, the cement industry faces growing technical limitations related to cement performance, especially in harsh downhole conditions, where elevated temperatures, corrosive fluids, and high pressures can compromise cement integrity and performance over time.
Other concerns related to OPC performance include properties during and after the setting process, such as fluid loss during placement and setting, hydrostatic pressure loss (unloading) after placement, autogenous shrinkage, and the potential for gas influx during gel formation and subsequent setting [3,4,5]. Furthermore, cement is sensitive to cold temperatures, and its hydration process can be significantly affected [6,7]. Moreover, the cement manufacturing sector has come under scrutiny for its substantial contribution to carbon dioxide (CO2) emissions, accounting for approximately 5–8% of global emissions [8,9,10]. Consequently, the pursuit of cementitious materials with a minimal carbon footprint that can effectively mitigate the shortcomings of ordinary Portland cement (OPC) while ensuring zonal isolation is of great significance in the journey toward reduced emissions and, ultimately, achieving net-zero emissions [11,12]. Finally, the candidate material should not have limitations for utilization in different applications.
Geopolymers, a subgroup of alkali-activated materials, have gained substantial recognition across various fields for their exceptional engineering properties and environmentally friendly characteristics [13]. While most studies have focused on industrial by-products or synthetic aluminosilicate sources, natural rock precursors remain comparatively underexplored for oilwell applications. In this context, the present work introduces a Brazilian rock precursor as a novel raw material for geopolymer synthesis, emphasizing its unique mineralogical composition and reactivity as a potential pathway toward regionally sourced, sustainable binder systems. Geopolymers are inorganic polymeric cementitious binders formed by reacting with aluminosilicate materials, alkali hydroxides, and/or soluble silicates [14,15,16]. The essential processes of geopolymerization comprise a sequence of fundamental steps. Initially, this involves the dissolution of amorphous and partially amorphous aluminosilicates (known as precursors) in a solution containing an alkali metal (denoted as MOH, where M represents the alkali metal). Following this dissolution, dissolved aluminium (Al) and silicon (Si) complexes are migrated or moved from the particles’ surface to the inter-particle spaces. Subsequently, the introduction of a silicate solution into the aluminum-silicon complexes triggers polymerization, resulting in the formation of a gel phase. Finally, this gel phase undergoes a solidification or hardening [17,18,19]. The synthesis and chemical composition of geopolymers closely resemble those of zeolites; however, their microstructure is typically amorphous to semi-crystalline [20].
In oil well cementing, geopolymers offer multiple advantages. Their ability to achieve high early strength, exceptional durability, and resistance to harsh downhole conditions makes them a promising alternative or supplementary to traditional cement systems [14,21,22,23,24]. Additionally, geopolymers have demonstrated comparable or superior bonding with wellbore surfaces, reducing the risk of gas migration and ensuring long-term zonal isolation [25]. Several studies have investigated the interfacial behavior between geopolymer repair mortars and existing concrete substrates to better understand the mechanisms governing adhesion and mechanical compatibility [26,27,28]. For instance, ref. [22] examined the failure mechanisms at the bond interface, along with the microscopic and chemical interactions occurring within the interfacial transition zones (ITZs) of various geopolymer–concrete systems. Their results indicated that calcium-rich geopolymer repair mortars—particularly those based on ground granulated blast furnace slag (GGBS)—exhibited enhanced bonding strength and mechanical performance relative to low-calcium counterparts. These findings are consistent with previous reports, which indicate that calcium incorporation into the geopolymer matrix promotes the formation of additional calcium–aluminosilicate–hydrate (C–A–S–H) phases, thereby enhancing interfacial cohesion and load transfer efficiency. Compared to cement plugs, the improved mechanical and chemical properties of geopolymers make them well-suited for challenging well environments, including high-temperature and high-pressure conditions [29,30,31,32]. Moreover, their manufacturing processes are environmentally friendly, as they do not require high energy inputs for the source materials (precursors), as noted by [33].
Ref. [34] investigated the impact of contamination of fly ash-based geopolymers and Portland cement class H with water-based drilling fluid. Such contamination may occur during the downhole placement of the cementitious material. The study revealed that mixing the drilling fluids with geopolymer decreased their viscosity, thereby increasing the workability of the slurries. On the other hand, the viscosity increased when combined with Portland cement. This resilience can be attributed to the high pH of the geopolymer slurries, facilitating the dispersion. However, it is noteworthy that the geopolymerization reaction results in the production of water. When combined with the continuous phase of water-based fluids, the optimal water content required in geopolymers surpasses the desired amount.
To institute geopolymers, one can utilize various precursor materials, including industrial and agricultural waste, such as fly ash [35,36,37,38,39,40], slag [41,42,43,44,45,46,47,48], silica fume [49,50,51,52,53], coconut ash [54,55], and rice husk ash [56,57,58,59,60,61]. However, the final properties of fly ash–kaolinite geopolymers are governed by a delicate balance between composition and thermal regime, where optimized clay content, controlled water dosage, and moderate curing temperatures enhance dissolution and gel development [62]. Natural aluminosilicate materials, such as clays, calcined kaolin, and rock-based minerals, including aplite and granite, have also shown promise in geopolymer formulations [63,64,65,66,67,68,69,70,71]. Ref. [72] reviewed the existing research in this field. They classified the studies into four main categories: the application of geopolymers in acidic and high-saline environments, compatibility with drilling mud and spacers, the impact of temperature on geopolymer systems, and their use in well-plugging and abandonment operations. Ref. [73] reviewed the potential application of geopolymers for CO2 storage and utilization in CCUS wells. They found that not only are aluminosilicate elements essential, but Mg, Fe, and Ca play important roles in geopolymerization mechanisms and the performance of geopolymers. Previous studies have explored the feasibility of using rock-based materials—particularly granite—as alternative aluminosilicate sources for geopolymer production, highlighting their potential as natural, regionally abundant precursors. Some of these works are shown in Table 1.
This study endeavors to elucidate the initial phases of developing geopolymers tailored for well construction and abandonment applications, leveraging a Brazilian rock precursor as the primary aluminosilicate source, inspired by work conducted on the development of rock-based geopolymers by [76]. The source materials underwent comprehensive characterization using techniques such as X-ray diffraction, scanning electron microscopy, and particle-size distribution analysis, enabling an in-depth exploration of their microstructure, morphology, and chemical composition. Subsequently, the rheological behavior of the slurries was examined to assess their flow properties. Additionally, the mechanical properties of the geopolymer samples were carefully evaluated to determine their strength and other relevant mechanical characteristics. Through these analyses and experiments, the pursuit of optimizing the geopolymer formulation for well-abandonment purposes ensued.

2. Materials and Methods

In this study, the primary geopolymeric precursor was derived from a Brazilian rock (BR) known for its high aluminium and silicate content. The formulation also included ground granulated blast furnace slag (GGBFS) obtained from a cement factory (Mossoró, Brazil) and pozzolanic microsilica of grade 955 (Kristiansand, Norway) to enhance early strength development. Table 2 outlines the chemical composition of BR, GGBFS, and microsilica.
The Brazilian rock (BR) used in this study exhibits a high crystalline content, with peaks corresponding to quartz, muscovite, pyrophyllite, and kyanite. The peak with the highest intensity falls between 25° and 30° (2θ), indicating the presence of quartz (Appendix A.1, Figure A1a). Its particle size distribution shows D10 2.22 µm, D50 29.2 µm, and D90 117 µm (Figure 1a). Uneven-shaped particles of different sizes are observed in the SEM images (Figure 2a). The GGBFS and microsilica samples exhibited a significant amorphous content, which is crucial for the geopolymerization reaction (Appendix A.1, Figure A1b,c). Particle size distribution of D10 0.629 µm, D50 3.35 µm, and D90 6.64 µm (Figure 1b) and sharp edges with some visible agglomerates (Figure 2b), which may potentially impact the workability of slurries. The microsilica is also amorphous, with spherical shapes (Figure 2c) and a small particle size, characterized by a distribution with D10 of 0.19 µm, D50 of 0.34 µm, and D90 of 0.60 µm (Figure 1c).
The solid phase comprises precursors and a powder activator responsible for forming the geopolymer matrix. The solid activator plays a crucial role in initiating the geopolymerization reaction; in this case, a potassium silicate powder with a molar ratio of 3.22 and 26.5 wt.% of K2O was provided by a supplier. Two mix designs were studied in this research, differing only in the presence of microsilica. A liquid-to-solid ratio of 0.5 was chosen due to the fine particle size of the precursors, which required a sufficient activator content to ensure adequate workability and homogeneity. This proportion was established based on previous laboratory tests that identified it as optimal for achieving a balance between fluidity and mechanical performance. An in-house synthesized superplasticizer was added to the slurry to enhance mixability and rheology. Table 3 details the mixing proportions. A small portion (85.6 g) of 12 M KOH solution was used as the accelerator, and distilled water (337.0 g) was used as the liquid phase.

2.1. Dissolution Rate of Precursor

Inductively Coupled Plasma Mass Spectrometry (ICP-MS) analyses were conducted using an Agilent 7850 ICP-MS (Agilent Technologies, Santa Clara, CA, USA.) with external calibration to gain a better understanding of how Brazilian rock dissolution occurs in alkaline media. 5 g of dried BR were previously stirred in 100 mL of 12 M KOH solution and in a 16% w/w K2SiO3 solution (85% wt. of K2SiO3), which simulated the mix design used in this work at 50 °C for various times (1, 3, and 5 h). Samples were filtered, then diluted with 5% HNO3 before analysis.

2.2. Slurries Preparation and Characterization

In the laboratory, the geopolymer slurries were prepared according to the recommended API mixing procedures and guidelines outlined in API RP 10B-2 (API and RP, 2019) using a commercial Constant-Speed Blender (Chandler Engineering, Broken Arrow, OK, USA). The standard was used to ensure reproducibility and consistency in measurements.

2.3. Rheology Measurements

Once the slurries were mixed, they underwent a pre-conditioning process in an atmospheric consistometer coupled with a simultaneous reading sensor at 25 °C for 30 min. This pre-conditioning step allowed the slurries to reach a stable state before further analysis. Following pre-conditioning, the rheological profiles of the slurries were measured using a VG-meter, a rotational viscometer (Chandler Engineering, Tulsa, OK, USA). The viscometer measures the viscosity of fluids and their 10-second and 10-minute gel strengths. These data are crucial for evaluating the suitability and performance of the slurries in their intended applications.

2.4. Consistency and Thickening Time

To study the impact of temperature and pressure, the consistency and pumpability of the geopolymers were evaluated under four different conditions. The first scenario involved testing at 25 °C and atmospheric pressure. For this evaluation, an atmospheric consistometer was utilized. The consistometer helped assess the consistency of the geopolymer slurries at ambient temperature and pressure. Subsequently, the same temperature was used, with pressure increased to 13.8 MPa. A second temperature of 50 °C was used as the circulating temperature, and pressures of 0.7 and 13.8 MPa were applied. An HPHT cement consistometer (OFI Testing Equipment, Inc. Model 2025 Automated HTHP Cement Consistometer) was employed to evaluate the consistency and pumpability of the slurries under these elevated temperature and pressure conditions.

2.5. Mechanical Behavior of the Mix Designs

Curing Samples and Uniaxial Compressive Strength Test

In this study, the samples were cured in two different settings. The first setting involved curing at atmospheric pressure and room temperature, while the second involved curing in a preheated oven at 70 °C and 13.8 MPa. To facilitate curing and prevent water evaporation, cylindrical plastic molds equipped with lids were used, ensuring the specimens were adequately protected during the curing process. The samples were then cured for 1, 3, 7, 14, and 28 days. These specific time intervals were selected to evaluate the evolution of geopolymer strength across various curing durations, providing insights into curing behavior and long-term strength development.
After the curing period, both ends of the cured samples were flattened using a cutter machine, and it was confirmed that they had flat, even surfaces, which are crucial for conducting accurate uniaxial compressive strength (UCS) tests. The dimensions of the cured specimens were 51 mm in diameter and 80 mm in height. These standardized dimensions enabled consistent and comparable strength measurements across the various curing periods. The uniaxial compressive strength test was then carried out using a constant loading rate of 7 kN/min.

3. Results

3.1. Dissolution Rate of Precursor

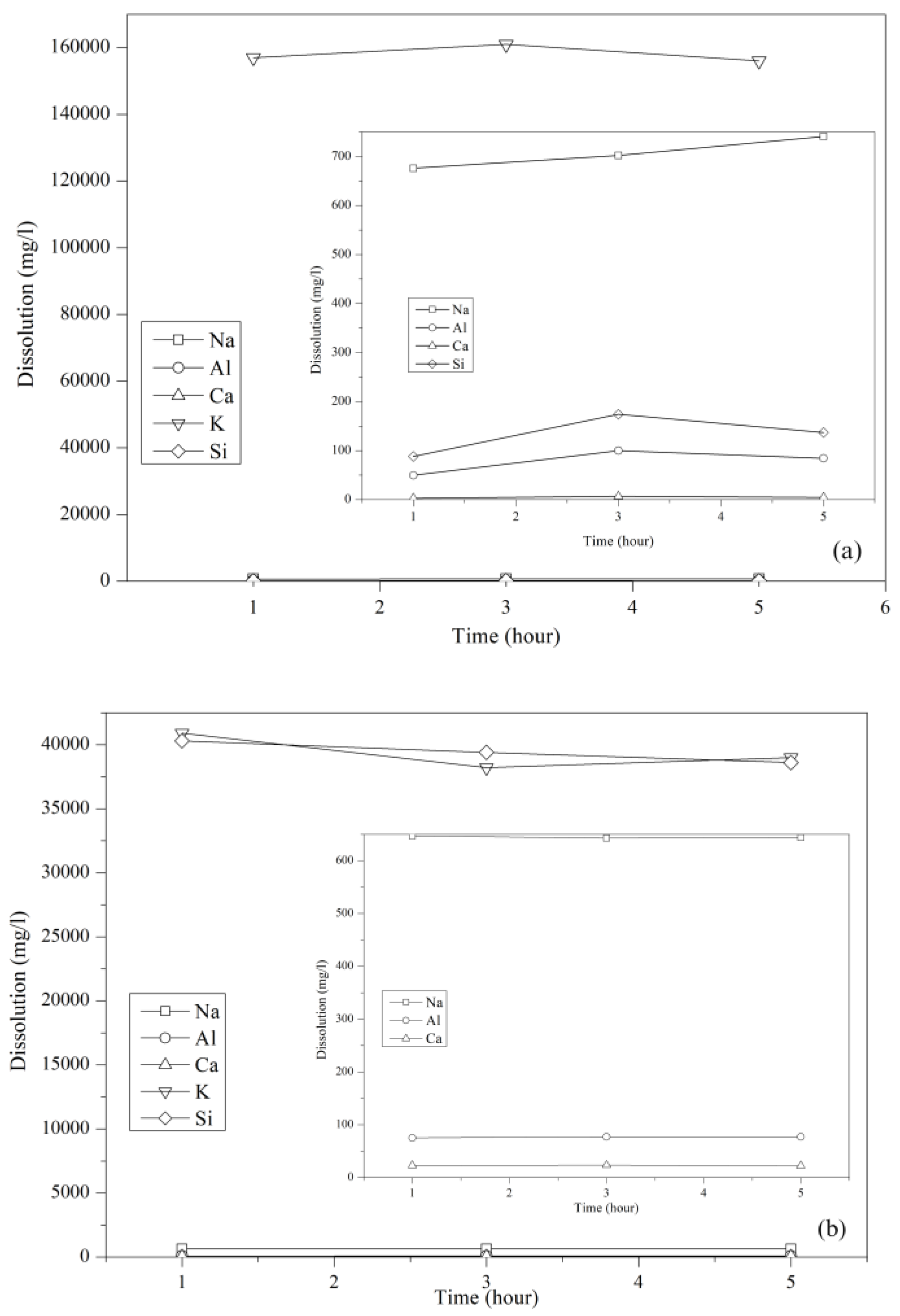
Figure 3 shows the results after 1, 3, and 5 h of dissolution, using potassium hydroxide (KOH) and potassium silicate (K2SiO3) solutions. It is widely acknowledged that the solubility of aluminum (Al) and silicon (Si) plays a crucial role in shaping the microstructure and mechanical properties of the resulting geopolymer [78,79]. In the KOH system, the dissolved aluminum (Al) and silicon (Si) fractions increased gradually until reaching their respective maximum concentration points. Subsequently, their concentrations decreased due to gelation or precipitation processes [80]. Si-O-Si, Al-O-Al, and Si-O-Al bonds are broken in the initial stage of dissolution, and other structures are formed as a consequence.
The result presented in Figure 3a aligns with the observed chemical composition of the precursor, Ca < Al < Si. However, the K concentration increases due to rock dissolution and the release of K. When the BR is exposed to an alkaline solution containing OH-, a more pronounced dissolution occurs at 5 h of stirring, indicating a release of 9.6% of Si. Additionally, as Al is released into a high-pH medium, its concentration in the system increases. One should note that the K concentration is initially high due to the use of an alkaline solution. When K-silicate is used as an activator, both OH- and Si should be expected, in addition to K. In other words, one should expect high numbers of these elements initially. However, the Si concentration is reduced over time. This indicates the precipitation of Si due to the supersaturation and presence of K and Al.
The dissolution of Si and Al species from the precursor initiates geopolymerization, driving the reprecipitation of aluminosilicate species into a binding gel. In potassium-activated systems such as the one studied here, the dominant reaction product is a potassium aluminosilicate hydrate (K–A–S–H) gel formed through polymerization of dissolved silicate and aluminate units. This differs from calcium-rich systems, where calcium aluminosilicate hydrate (C–A–S–H) gels may coexist or prevail depending on the Ca/Si ratio and the availability of reactive calcium [81,82]. For the muscovite-rich precursor used in this work, the low calcium content favors the formation of a cross-linked K–A–S–H network, while the layered structure of muscovite may locally promote Al-rich dissolution sites. Unreacted crystalline phases, including feldspars, can also undergo secondary reactions forming zeolitic or semi-crystalline products during curing [19,83]. These processes contribute to microstructural refinement and influence long-term performance. This reaction pathway aligns with the XRD and SEM results, which indicate a predominantly amorphous aluminosilicate matrix with residual muscovite and feldspar phases. It supports the observed strength development, which is controlled by the integrity of the K–A–S–H gel network.

3.2. Characterization of Mix Designs

3.2.1. Rheological Behavior

The flow properties of a geopolymer, such as its response to stirring or pumping, can be assessed by measuring its viscosity. Several factors, including solid content, carrier fluid or hardener, temperature, pressure, and conditioning time, directly influence the viscous behavior of a slurry.
Figure 4 shows the ramp-up and ramp-down relationship between shear stress and shear rate of the slurries at 25 °C and ambient pressure after pre-conditioning at 25 °C. Curves (a) and (b) of Figure 4 show that the geopolymers exhibit non-Newtonian (pseudo-plastic) behavior at the test conditions, displaying yield stress indicated by their intersection with the y-axis and a shear-thinning behavior (as seen in Figure 4c,d). The ramp-up and ramp-down measurements do not indicate particle sedimentation, so one should not expect a free-fluid appearance. To enhance scientific understanding, the tests were performed three times, and the error bars are shown on the curves.
This rheological behavior can be characterized using the Herschel-Bulkley model, which is mathematically described by Equation (1)
τ = τ y + K γ ˙ n ,
where τ is the shear stress, τ y is the yield stress, K is the consistency factor, γ ˙ is the shear rate, and n is the flow index. The flow curves were analyzed using the Herschel-Bulkley model to determine the parameters K and n, and the yield stress was obtained using Equation (2) proposed by [84]. The obtained values are presented in Table 4.
τ y = 2 τ 3 τ 6 ,
where τ 3 and τ 6 are the shear stresses at 3 and 6 rpm, respectively.
Upon comparing the obtained outcomes, it becomes apparent that incorporating microsilica into the mix design while reducing the Brazilian rock precursor led to a decrease in yield stress and viscosity. This observation may be attributed to the introduction of additional silicon dioxide, despite the microsilica having a larger surface area than the other precursors. Zeta potential measurements of the slurries could be valuable for understanding the role of microsilica in surface charge.
Yield stress is a crucial rheological property that enables the suspension of particles when the slurry is at rest, thereby preventing the free flow of fluid and loss of hydrostatic pressure. On the other hand, yield stress above a certain level can damage the pump and formation when pumping commences. The addition of microsilica also decreased the plastic viscosity (Table 5). However, the 10-minute gel for Mix 2 showed a higher result than Mix 1, with a 66.7% increase. The microsilica promptly reacts with the alkali medium, forming a gel structure. The 10-minute gel-strength data indicate an ongoing reaction and/or strong interparticle forces, which need to be controlled. The ramp-up and ramp-down measurements do not indicate concerns associated with particle settling.

3.2.2. Consistency Profile

Figure 5 shows the behavior of Mix 1 and Mix 2 at 25 °C BHCT and atmospheric pressure (Figure 5a,b) and 13.8 Mpa (Figure 5c,d). One can see that the initial consistency is influenced by the microsilica, with Mix 2 presenting a lower value, as also observed by [85]. However, both mixing designs remain pumpable for several hours. Then, the consistency increased due to the coagulation of monomers, followed by rapid gelation through polycondensation. Increasing the pressure directly affected the initial consistency of both slurries, with the 80 Bc value reached earlier than at ambient pressure. Both geopolymers exhibited a significant increase in the initial minutes of testing, followed by a plateau for 3.5 h for Mix 1 and 4 h for Mix 2. Subsequently, there was a further increase, reaching 80 Bc after 6 h. Ref. [29] observed a similar behavior when the pressure increased from 20.6 MPa to 82.7 MPa, suggesting that the geopolymers may exhibit pressure-dependent behavior. Ref. [86] observed the pressure-dependent behavior of cementitious materials, which is more pronounced in neat class G cement.
Figure 6 shows the consistency profile of the same mixing designs at 50 °C, 0.7 MPa, and 13.8 MPa. Noticeably, temperature and pressure played essential roles in the pumpability of mixing designs. At 50 °C and lower pressure, Mix 1 exhibited greater initial consistency than at the lower temperature. However, the consistency dropped after the initial few minutes, then increased again after 26 minutes, reaching 80 Bc at 65 min. Similarly, Mix 2 displayed a pattern similar to that of Mix 1, albeit with a lower initial consistency. This suggests that microsilica also contributed to the development of consistency in this mixing design. An additional observation made during the study was that increasing the pressure significantly reduced the pumpability of the slurries. Specifically, the pumpability duration was halved when the pressure was raised. It is worth noting that the pressure dependency of geopolymers is strongly influenced by the type and structure of silicates, as well as the activator and surface area of the precursors.

3.3. Mechanical Behavior

3.3.1. Uniaxial Compressive Strength

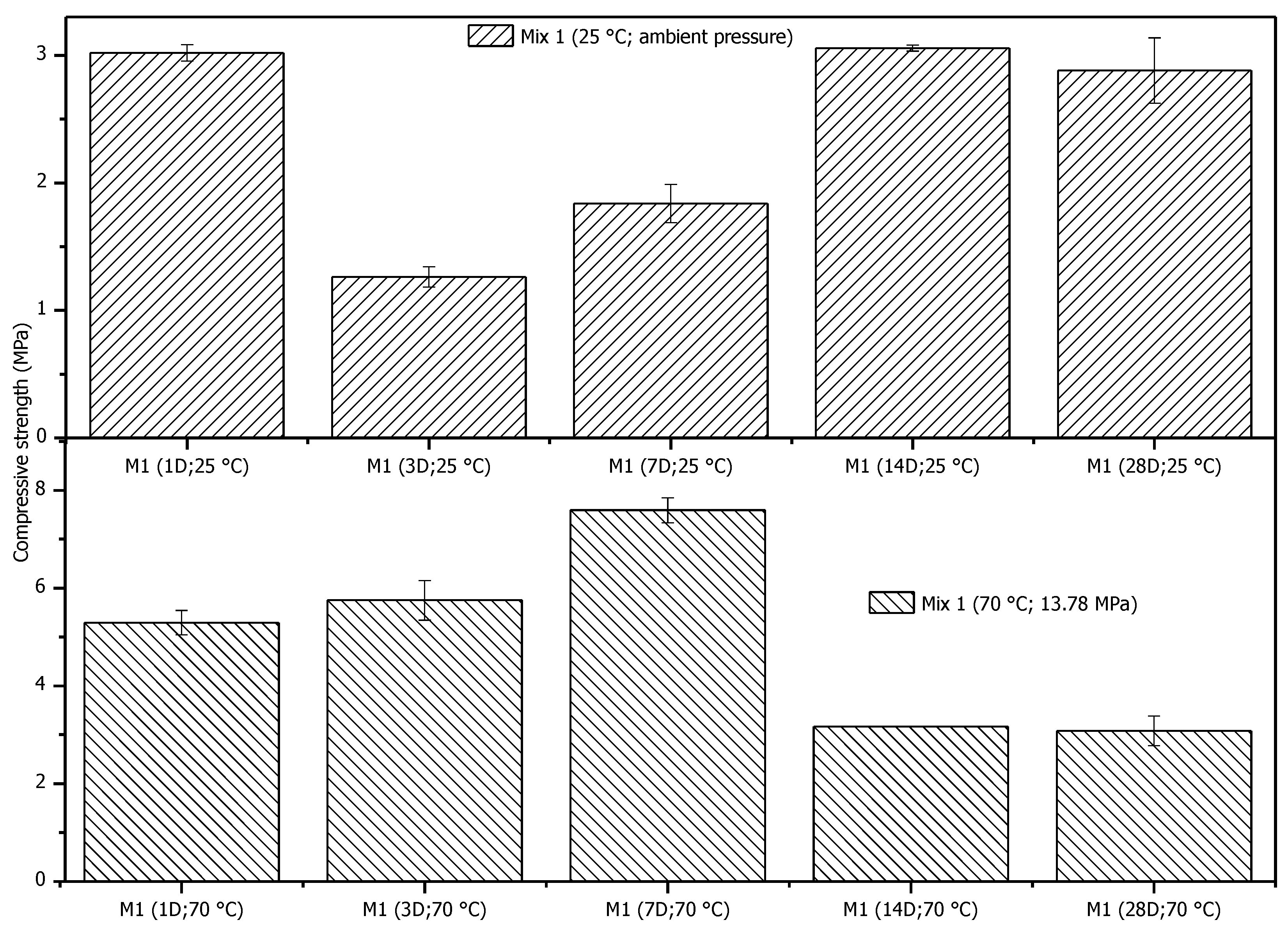
Figure 7 and Figure 8 illustrate the average compressive strength of Mix 1 and Mix 2 under different curing conditions, including 25 °C BHST and ambient pressure, and 70 °C BHST with 13.8 MPa, over various curing periods. The strength development for both mixing designs was significantly influenced by temperature and pressure. When examining Mix 1 under 25 °C BHST and ambient pressure (Figure 7), the geopolymer exhibited initial strength after 1 day of curing. However, at 3 days of curing, there was a substantial 58.23% decrease in strength. Subsequently, the strength increased by 45.8% at 7-day curing, 66.1% at 14-day curing, and remained relatively constant at 28-day curing.
The mechanical properties of geopolymers were affected by temperature and pressure, particularly when comparing the changes from 25 to 70 °C. When examining the compressive strength results for Mix 1 under these two conditions and a 1-day curing time, a 75.3% increase in strength is observed. In contrast to the initial curing regime at 70 °C, strength increases by 8.6% from 1 to 3 days of curing, followed by an additional 43.4% increase after 7 days. However, after 14 days of curing, the compressive strength drops by 58%, remaining relatively unchanged after 28 days.
The compressive strength retrogression observed at 70 °C after 7 days of curing can be attributed to microstructural changes resulting from accelerated geopolymerization under elevated temperatures. In metakaolin-like precursors rich in muscovite, high-temperature curing enhances the dissolution of aluminosilicate phases. It promotes rapid polycondensation, leading to the early formation of a dense yet heterogeneous N–A–S–H gel network. Prolonged exposure at 70 °C may result in structural rearrangement, dehydration, and partial crystallization of secondary aluminosilicate phases, which reduce the gel’s cohesive strength. Additionally, differential thermal stresses and shrinkage during post-curing can induce microcracking, which further contributes to the loss of mechanical strength. Similar retrogression phenomena have been reported in kaolinite- and muscovite-based geopolymers cured at temperatures above 60 °C [83,87,88,89].
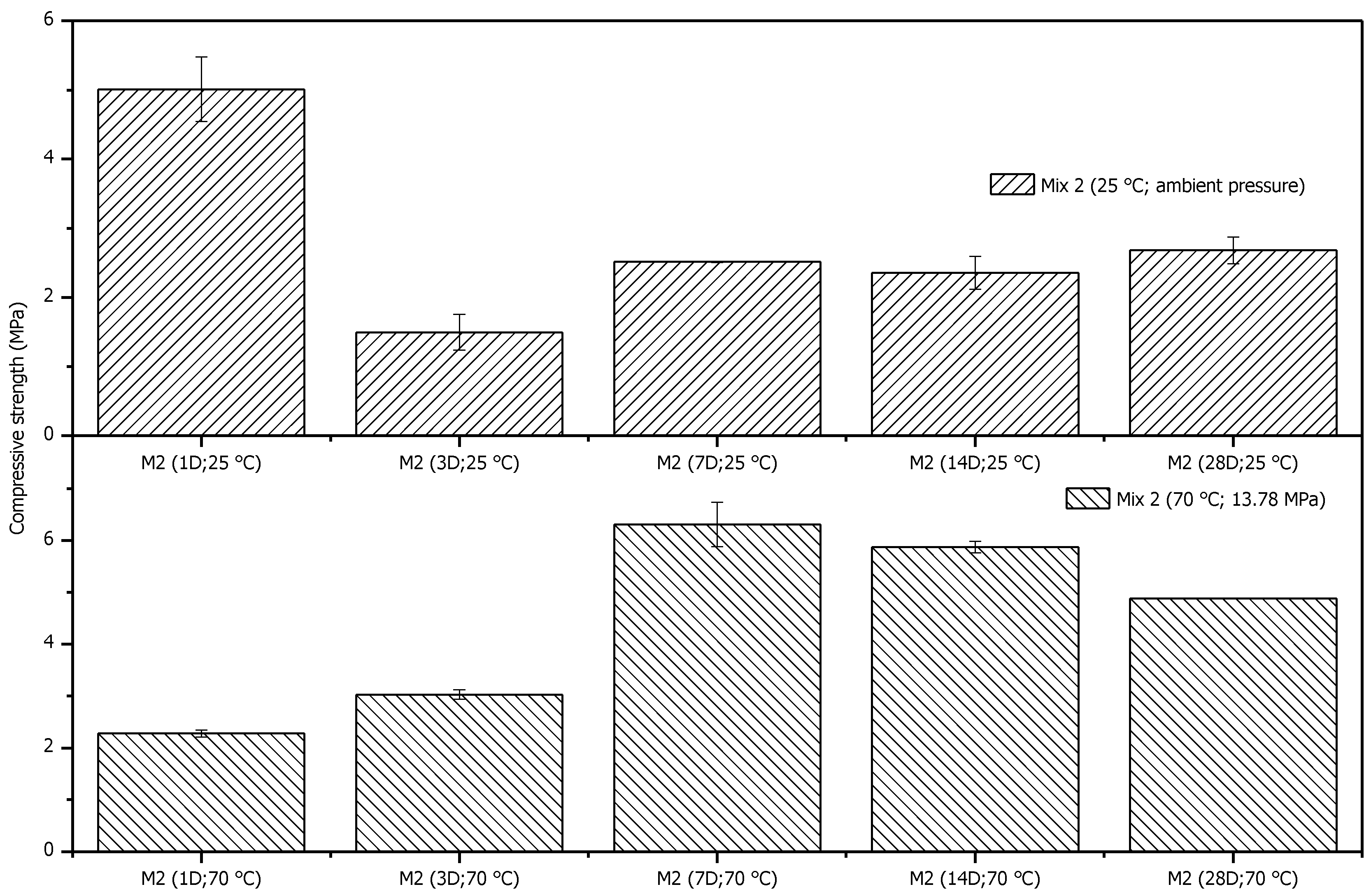
In the case of Mix 2 (Figure 8), the behavior of the geopolymer samples was broadly similar, although some distinctions were observed during the later stages of the curing process. The addition of microsilica increased the initial compressive strength, which was noticeable at 1-day curing time under 25 °C and ambient pressure. This increase was 66% compared to Mix 1. However, there was a more pronounced decrease in compressive strength after 3-day curing (70%), followed by a subsequent increase after 7 days (68%). Limited development in compressive strength was observed during the 14- and 28-day curing periods, with the values remaining relatively constant, given the samples’ standard deviation. The temperature had a more significant influence on the mixing design that included microsilica than on those without it. Notably, the initial compressive strength of Mix 2 at 70 °C was 57% lower than that of Mix 1 under the same curing conditions. However, both designs showed similar trends in strength increase and decrease at 14 and 28 days of curing.
The decline in compressive strength at 14 and 28 days of curing can be attributed to several factors, including the Si/Al ratio, curing temperature and duration, type and concentration of alkaline activator, and water content, as noted by [90]. It is essential to acknowledge that the specific combinations and proportions of these factors may vary depending on the desired properties and intended application of the geopolymer. Comparing the data in Figure 7 and Figure 8, one may conclude that an increase in Si content (microsilica) mitigates strength retrogression at elevated temperatures, suggesting that the Si/Al ratio should be optimized. To delve deeper into this behavior, it is necessary to conduct experimental testing and optimization.
For oilwell plugging and abandonment applications, this behavior highlights the importance of controlling curing conditions to ensure long-term well integrity. These findings suggest that further investigations are necessary to assess the long-term durability of the material, particularly its resistance to thermal cycling, CO2 exposure, and other downhole chemical interactions that may compromise sealing performance over time.
Figure 9 shows the normalized heat flow as a function of geopolymerization time for the two mix designs studied. The responses were monitored for 168 h. By examining the results, dissolution and precipitation kinetics are enhanced by adding microsilica to the system, as indicated by the peak observed after 24 h. Both systems exhibit a peak after 24 h; however, the geopolymer with microsilica shows higher heat flow. The geopolymer with microsilica presented a shorter dormant period and, consequently, a shorter time to reach the reaction peak. This fact may be related to a higher Si concentration in the system, which may favor the nucleation and growth of the (K)-A-S-H gel [91]. In other words, due to the availability of Si from microsilica, supersaturation occurs much earlier, and subsequently, precipitation occurs faster, resulting in a higher heat peak.
The normalized heat-flow curves for Mix 1 and Mix 2 at 25 °C reveal distinct exothermic peaks, providing insight into the geopolymerization kinetics. The initial peak observed within the first few hours is primarily attributed to the rapid dissolution of reactive aluminosilicate species from the muscovite-rich precursor. This dissolution releases soluble Si and Al species into the alkaline solution, which drives early-stage polycondensation. The more pronounced peak in Mix 2 indicates enhanced reactivity, likely due to the incorporation of microsilica, which provides additional highly reactive silica, accelerating gel network formation. Following the initial peak, the gradual decline in heat flow corresponds to the slower formation and structural rearrangement of the amorphous K–A–S–H gel network [92]. Secondary processes, such as the partial crystallization of residual phases or the formation of zeolitic products, may contribute to the extended low-level heat release observed beyond ~40 h [93]. The differences in peak intensity and duration between the two mixes underscore the influence of both precursor dissolution kinetics and supplementary silica availability on the overall geopolymerization mechanism, which is consistent with observed trends in compressive strength and microstructural analyses.

3.3.2. Microstructural Characterization

The Rietveld refinement method involves computational modeling of an XRD pattern to achieve an optimal fit to the experimental data. The software TOPAS 5 was used to refine the crystalline structures that best represent the sample. One can assess the quality of refinement by examining the GOF (Goodness of Fit) and Rwp (Residual Weighted) indexes. For multiphase systems and cementitious materials, GOF values near 2.00 (where 1.00 represents an ideal perfect fit) and Rwp under 10.00 can be considered reasonable adjustments.
Candidate phases were selected using the peak-fitting method and the software Diffrac.EVA v4 and the PDF-4-2022 database. For the refinements, the structure files of the identified phases are required. The Bruker Structure Database and Cement Structure Database were utilized to import the structure files of the selected candidates and other mineral group representatives, thereby further enhancing the refinement. The mineral list, their group filiation, calculated concentrations, and evaluation indices are displayed in Table 6.
Figure 10 shows the consumption trends of the Brazilian precursor’s mineral phases. The Rietveld refinements indicate a trend of increased consumption of Quartz and Pyrophyllite in both mix designs compared to the pure precursor composition. The concentrations of Mica, K-Feldspar, and Chlorite increase relatively; however, this is likely due to overall normalization of the crystalline content. The dissolution of the solid precursor and further precipitation of reaction products reduce the crystalline content and increase the amorphous content, attributed to the binder phase, as evidenced by the deformation of the baseline in the XRD scan patterns for the cured samples (Appendix A.2, Figure A2). It is worth noting that the amorphous phase in the samples ranged from 30.5% to 69.5%, while the crystalline phase ranged from 30.5% to 69.5%. The amorphous phase can be confused with the background formation of the sample, which requires fine-tuned refinement.
XRD analysis, coupled with Rietveld Refinements, has provided critical insights into the behavior of the Brazilian precursor, indicating that quartz and pyrophyllite are the main phases contributing to early strength development. Meanwhile, Mica, K-Feldspar, and Chlorite groups remain available for subsequent reaction stages. Figure 11 illustrates SEM images of the geopolymer samples. The geopolymer matrix reveals quartz grains, along with an inhomogeneous microstructure characterized by unreacted grains loosely embedded in a dense gel. Figure 11a shows that the matrix in Mix 1 contains large residual BR particles, and the pores in the surrounding gel phase are more prominent in this mixture when compared to Mix 2 (c), which is aligned with what was observed in the XRD analysis (more consumption of quartz). However, one can notice in Figure 11b the formation of zeolite-like structures, which may be related to the strength development of the material.
Comparing these microstructural and compositional observations with the measured macroscale differences in mechanical properties highlights the correlation between factors such as crystallinity, microstructure, and chemical bonding within a geopolymer and its performance.
The use of Brazilian rock precursor enables the formation of a predominantly K–A–S–H gel network through the dissolution and reprecipitation of Si and Al species, with minimal C–A–S–H formation due to the low calcium content. This gel network governs the mechanical performance of the geopolymer, as supported by XRD, SEM, and compressive strength results, and demonstrates promising potential for oilwell plugging and abandonment applications where long-term well integrity is critical. The presence of residual crystalline phases and secondary zeolitic products may further influence microstructural stability, underscoring the importance of carefully evaluating long-term durability. Future studies should focus on assessing CO2 resistance, thermal and pressure cycling, permeability evolution, and mechanical stability under downhole conditions to fully validate the suitability of these rock-based geopolymers as sustainable barrier materials for well sealing and abandonment operations.

4. Conclusions

This study aimed to present the initial steps toward developing rock-based geopolymers suitable for well construction and abandonment applications, using a Brazilian rock precursor as the primary aluminosilicate source. Two designs were tested, with and without microsilica as a supplementary source of silica. Based on the results, the following conclusions are drawn.
  • The geopolymers exhibited Herschel-Bulkley rheological behavior, and the addition of microsilica resulted in a reduction in viscosity.
  • Temperature and pressure significantly influence the pumpability of the slurries. The geopolymer’s pumping time is strongly influenced by pressure; increasing it to 13.8 MPa reduces the time by 50%.
  • The geopolymer samples demonstrated initial development in compressive strength. However, after seven days of curing, specific reactions occurred that decreased compressive strength. Further investigation is required to better understand how aging affects the compressive strength of settled materials.

Author Contributions

Conceptualization, M.K. and J.C.d.O.F.; methodology, M.K.; validation, R.R.d.S. and M.K.; formal analysis, R.R.d.S.; investigation, R.R.d.S.; resources, M.K. and R.M.B.; data curation, R.R.d.S.; writing—original draft preparation, R.R.d.S.; writing—review and editing, R.R.d.S. and R.M.B.; visualization, R.R.d.S.; supervision, R.M.B.; project administration, M.K. and J.C.d.O.F.; funding acquisition, R.M.B. and M.K. All authors have read and agreed to the published version of the manuscript.

Funding

This research was funded by CONSELHO NACIONAL DE DESENVOLVIMENTO CIENTÍFICO E TECNOLÓGICO (CNPq), grant numbers 141440/2021-0, 312971/2022-2, 303275/2023-5, and Research Council of Norway (RCN) for financing the Centre for Research-based Innovation “SWIPA—Centre for Subsurface Well Integrity, Plugging and Abandonment” RCN project no 309646.

Data Availability Statement

The data presented in this study are available on request from the corresponding author due to the novelty of the material.

Acknowledgments

The authors acknowledge the Conselho Nacional de Desenvolvimento Científico e Tecnológico (CNPq) for financing part of the research (process 141440/2021-0, 312971/2022-2, 303275/2023-5). The authors acknowledge the Research Council of Norway (RCN) for financing the Center for Research-based Innovation “SWIPA—Centre for Subsurface Well Integrity, Plugging and Abandonment” (RCN project no. 309646), for which the work was carried out. The center is also financed by the operating companies AkerBP, Equinor ASA, and Wintershall Dea Norway and includes, in addition, more than 20 in-kind contributing industry partners. The R&D partners in SWIPA are SINTEF, NORCE, IFE, NTNU, and the University of Stavanger (UiS).

Conflicts of Interest

The authors declare no conflicts of interest.

Appendix A

Appendix A.1

Figure A1. XRD pattern of raw material precursors: (a) Brazilian rock-based material; (b) ground granulated blast furnace slag; (c) microsilica.
Figure A1. XRD pattern of raw material precursors: (a) Brazilian rock-based material; (b) ground granulated blast furnace slag; (c) microsilica.
Processes 13 03624 g0a1

Appendix A.2

Figure A2. Example of computational modeling and Rietveld Refinements (red curve), fitting the experimental data (blue curve), and qualified by the difference curve in grey. The deformation of the baseline by the amorphous content is also evident in the spread, as indicated by the background line.
Figure A2. Example of computational modeling and Rietveld Refinements (red curve), fitting the experimental data (blue curve), and qualified by the difference curve in grey. The deformation of the baseline by the amorphous content is also evident in the spread, as indicated by the background line.
Processes 13 03624 g0a2

References

  1. Chukwuemeka, A.O.; Oluyemi, G.; Mohammed, A.I.; Njuguna, J. Plug and abandonment of oil and gas wells—A comprehensive review of regulations, practices, and related impact of materials selection. Geoenergy Sci. Eng. 2023, 226, 211718. [Google Scholar] [CrossRef]
  2. Nelson, E.B.; Guillot, D. Well Cementing; Schlumberger: Houston, TX, USA, 2006. [Google Scholar]
  3. Johnson, C.R.; Shindgikar, N.D.; Beurel, M.M. Overcoming Environmental and Technical Challenges for Well Cementing: A Global Perspective. SPE Prod. Oper. 2017, 32, 12–27. [Google Scholar] [CrossRef]
  4. Lécolier, E.; Rivereau, A.; Le Saoût, G.; Audibert-Hayet, A. Durability of Hardened Portland Cement Paste used for Oilwell Cementing. Oil Gas Sci. Technol.-Rev. IFP 2007, 62, 335–345. [Google Scholar] [CrossRef]
  5. Haustveit, K.; Haffener, J.; Young, S.; Dwyer, J.; Glaze, G.; Green, B.; Ketter, C.; Williams, T.; Brinkley, K.; Elliott, B. Cementing: The Good, the Bad, and the Isolated—Techniques to Measure Cement Quality and its Impact on Well Performance. In Proceedings of the SPE Hydraulic Fracturing Technology Conference and Exhibition, The Woodlands, TX, USA, 6–8 February 2024. [Google Scholar] [CrossRef]
  6. Joseph, S.; Cizer, Ö. Hydration of Hybrid Cements at Low Temperatures: A Study on Portland Cement-Blast Furnace Slag—Na2SO4. Materials 2022, 15, 1914. [Google Scholar] [CrossRef]
  7. Wolterbeek, T.; Hangx, S. The thermal properties of set Portland cements—A literature review in the context of CO2 injection well integrity. Int. J. Greenh. Gas Control 2023, 126, 103909. [Google Scholar] [CrossRef]
  8. Korczak, K.; Kochański, M.; Skoczkowski, T. Mitigation options for decarbonization of the non-metallic minerals industry and their impacts on costs, energy consumption and GHG emissions in the EU-Systematic literature review. J. Clean. Prod. 2022, 358, 132006. [Google Scholar] [CrossRef]
  9. Cheng, D.; Reiner, D.M.; Yang, F.; Cui, C.; Meng, J.; Shan, Y.; Liu, Y.; Tao, S.; Guan, D. Projecting future carbon emissions from cement production in developing countries. Nat. Commun. 2023, 14, 8213. [Google Scholar] [CrossRef]
  10. Khaiyum, M.Z.; Sarker, S.; Kabir, G. Evaluation of Carbon Emission Factors in the Cement Industry: An Emerging Economy Context. Sustainability 2023, 15, 15407. [Google Scholar] [CrossRef]
  11. Miller, S.A.; Habert, G.; Myers, R.J.; Harvey, J.T. Achieving net zero greenhouse gas emissions in the cement industry via value chain mitigation strategies. One Earth 2021, 4, 1398–1411. [Google Scholar] [CrossRef]
  12. Chaudhury, R.; Sharma, U.; Thapliyal, P.; Singh, L. Low-CO2 emission strategies to achieve net zero target in cement sector. J. Clean. Prod. 2023, 417, 137466. [Google Scholar] [CrossRef]
  13. Imtiaz, L.; Rehman, S.K.; Ali Memon, S.; Khizar Khan, M.; Faisal Javed, M. A Review of Recent Developments and Advances in Eco-Friendly Geopolymer Concrete. Appl. Sci. 2020, 10, 7838. [Google Scholar] [CrossRef]
  14. Provis, J.L. Alkali-activated materials. Cem. Concr. Res. 2018, 114, 40–48. [Google Scholar] [CrossRef]
  15. Jwaida, Z.; Dulaimi, A.; Mashaan, N.; Othuman Mydin, M.A. Geopolymers: The Green Alternative to Traditional Materials for Engineering Applications. Infrastructures 2023, 8, 98. [Google Scholar] [CrossRef]
  16. Salehi, S.; Khattak, M.J.; Ali, N.; Ezeakacha, C.; Saleh, F.K. Study and Use of Geopolymer Mixtures for Oil and Gas Well Cementing Applications. ASME J. Energy Resour. Technol. 2017, 140, 012908. [Google Scholar] [CrossRef]
  17. Ji, Z.; Zhang, G.; Liu, R.; Qu, J.; Liu, H. Potential applications of solid waste-based geopolymer materials: In wastewater treatment and greenhouse gas emission reduction. J. Clean. Prod. 2024, 443, 141144. [Google Scholar] [CrossRef]
  18. Mishra, J.; Nanda, B.; Patro, S.K.; Krishna, R.S. A comprehensive review on compressive strength and microstructure properties of GGBS-based geopolymer binder systems. Constr. Build. Mater. 2024, 417, 135242. [Google Scholar] [CrossRef]
  19. Xu, H.; Van Deventer, J.S.J. The geopolymerisation of alumino-silicate minerals. Int. J. Miner. Process 2000, 59, 247–266. [Google Scholar] [CrossRef]
  20. Panagiotopoulou, C.; Kontori, E.; Perraki, T.; Kakali, G. Dissolution of aluminosilicate minerals and by-products in alkaline media. J. Mater. Sci. 2007, 42, 2967–2973. [Google Scholar] [CrossRef]
  21. Zakira, U.; Zheng, K.; Xie, N.; Birgisson, B. Development of high-strength geopolymers from red mud and blast furnace slag. J. Clean. Prod. 2023, 383, 135439. [Google Scholar] [CrossRef]
  22. Wang, Y.S.; Peng, K.D.; Alrefaei, Y.; Dai, J.G. The bond between geopolymer repair mortars and OPC concrete substrate: Strength and microscopic interactions. Cem. Concr. Compos. 2021, 119, 103991. [Google Scholar] [CrossRef]
  23. Abdellatief, M.; Alanazi, H.; Radwan, M.K.; Tahwia, A.M. Multiscale Characterization at Early Ages of Ultra-High Performance Geopolymer Concrete. Polymers 2022, 14, 5504. [Google Scholar] [CrossRef]
  24. Arunachelam, N.; Maheswaran, J.; Chellapandian, M.; Murali, G.; Vatin, N.I. Development of High-Strength Geopolymer Concrete Incorporating High-Volume Copper Slag and Micro Silica. Sustainability 2022, 14, 7601. [Google Scholar] [CrossRef]
  25. Oliveira, L.B.; Azevedo, A.R.G.; Marvila, M.T.; Pereira, E.C.; Fediuk, R.; Vieira, C.M.F. Durability of geopolymers with industrial waste. Case Stud. Constr. Mater. 2022, 16, e00839. [Google Scholar] [CrossRef]
  26. Long, Q.; Zhao, Y.; Zhang, B.; Yang, H.; Luo, Z.; Li, Z.; Zhang, G.; Liu, K. Interfacial Behavior of Slag, Fly Ash, and Red Mud-Based Geopolymer Mortar with Concrete Substrate: Mechanical Properties and Microstructure. Buildings 2024, 14, 652. [Google Scholar] [CrossRef]
  27. Mohsen, K.; Yousif, I.A.; Sadek, E.F.; Morsy, K.M. Experimental study of interface Behaviour of geopolymer concrete. Sci. Rep. 2025, 15, 32696. [Google Scholar] [CrossRef]
  28. Kasprzhitskii, A.S.; Kruglikov, A.A. Molecular Insights into Adhesion at Interface of Geopolymer Binder and Cement Mortar. Int. J. Mol. Sci. 2024, 25, 8374. [Google Scholar] [CrossRef] [PubMed]
  29. Liu, X.; Aughenbaugh, K.; Lee, H.; Nair, S.; van Oort, E. Geopolymer-Synthetic Based Mud Hybrid Cements for Primary Cementing and Lost Circulation Control. In Proceedings of the SPE International Conference on Oilfield Chemistry, Montgomery, TX, USA, 3–5 April 2017. [Google Scholar] [CrossRef]
  30. Kalyoncu Erguler, G.; Dahi Taleghani, A. Geopolymers for integrity of geothermal and CO2 sequestration wells: A state-of-the-art review. Geoenergy Sci. Eng. 2025, 255, 214081. [Google Scholar] [CrossRef]
  31. Luo, Y.; Klima, K.; Melzer, S.; Brouwers, H.; Yu, Q. Uncover the thermal behavior of geopolymer: Insights from in-situ high temperature exposure. Cem. Concr. Compos. 2025, 164, 106282. [Google Scholar] [CrossRef]
  32. Aslani, F.; Zhang, Y.; Manning, D.; Valdez, L.C.; Manning, N. Additive and alternative materials to cement for well plugging and abandonment: A state-of-the-art review. J. Pet. Sci. Eng. 2022, 215, 110728. [Google Scholar] [CrossRef]
  33. Patel, Y.J.; Shah, N. Enhancement of the properties of Ground Granulated Blast Furnace Slag based Self Compacting Geopolymer Concrete by incorporating Rice Husk Ash. Constr. Build. Mater. 2018, 171, 654–662. [Google Scholar] [CrossRef]
  34. Ahdaya, M.; Imqam, A. Investigating geopolymer cement performance in presence of water based drilling fluid. J. Pet. Sci. Eng. 2019, 176, 934–942. [Google Scholar] [CrossRef]
  35. Mohd Basri, M.S.; Mustapha, F.; Mazlan, N.; Ishak, M.R. Rice Husk Ash-Based Geopolymer Binder: Compressive Strength, Optimize Composition, FTIR Spectroscopy, Microstructural, and Potential as Fire-Retardant Material. Polymers 2021, 13, 4373. [Google Scholar] [CrossRef]
  36. Yousefi Oderji, S.; Chen, B.; Ahmad, M.R.; Shah, S.F.A. Fresh and hardened properties of one-part fly ash-based geopolymer binders cured at room temperature: Effect of slag and alkali activators. J. Clean. Prod. 2019, 225, 1–10. [Google Scholar] [CrossRef]
  37. Wan-En, O.; Yun-Ming, L.; Cheng-Yong, H.; Abdullah, M.M.A.B.; Li, L.Y.; Ho, L.N.; Loong, F.K.; Shee-Ween, O.; Hui-Teng, N.; Yong-Sing, N.; et al. Comparative mechanical and microstructural properties of high calcium fly ash one-part geopolymers activated with Na2SiO3-anhydrous and NaAlO2. J. Mater. Res. Technol. 2021, 15, 3850–3866. [Google Scholar] [CrossRef]
  38. Xiong, G.; Guo, X. Effects and mechanism of superplasticizers and precursor proportions on the fresh properties of fly ash–slag powder based geopolymers. Constr. Build. Mater. 2022, 350, 128734. [Google Scholar] [CrossRef]
  39. Zarębska, K.; Szczurowski, J.; Muszyńska, J.; Baran, P. Geopolymer Materials from Fly Ash—A Sustainable Approach to Hazardous Waste Management. Materials 2024, 17, 3515. [Google Scholar] [CrossRef]
  40. Yazid, M.H.; Faris, M.A.; Abdullah, M.M.; Ibrahim, M.S.; Razak, R.A.; Burduhos Nergis, D.D.; Burduhos Nergis, D.P.; Benjeddou, O.; Nguyen, K. Mechanical Properties of Fly Ash-Based Geopolymer Concrete Incorporation Nylon66 Fiber. Materials 2022, 15, 9050. [Google Scholar] [CrossRef]
  41. Nguyen, Q.D.; Castel, A. Developing Geopolymer Concrete by Using Ferronickel Slag and Ground-Granulated Blast-Furnace Slag. Ceramics 2023, 6, 1861–1878. [Google Scholar] [CrossRef]
  42. Zhang, Z.; Su, T.; Zhang, L.; Zheng, R.; Ma, K.; Zhang, L.; Amaechi, C.V.; Wang, C. The Influence of Fly Ash and Slag on the Mechanical Properties of Geopolymer Concrete. Buildings 2024, 14, 2720. [Google Scholar] [CrossRef]
  43. Arunachelam, N.; Maheswaran, J.; Chellapandian, M.; Ozbakkaloglu, T. Effective Utilization of Copper Slag for the Production of Geopolymer Concrete with Different NaOH Molarity under Ambient Curing Conditions. Sustainability 2022, 14, 16300. [Google Scholar] [CrossRef]
  44. Maniarasan, S.K.; Chandrasekaran, P.; Jayaprakash, S.; Ravindran, G. Influence of Slag-Based Geopolymer Concrete on the Seismic Behavior of Exterior Beam Column Joints. Sustainability 2023, 15, 2327. [Google Scholar] [CrossRef]
  45. Azimi, Z.; Toufigh, V. Influence of Blast Furnace Slag on Pore Structure and Transport Characteristics in Low-Calcium Fly-Ash-Based Geopolymer Concrete. Sustainability 2023, 15, 13348. [Google Scholar] [CrossRef]
  46. Yang, K.H.; Song, J.K.; Lee, J.S. Properties of alkali-activated mortar and concrete using lightweight aggregates. Mater. Struct./Mater. Constr. 2010, 43, 403–416. [Google Scholar] [CrossRef]
  47. Kim, M.S.; Jun, Y.; Lee, C.; Oh, J.E. Use of CaO as an activator for producing a price-competitive non-cement structural binder using ground granulated blast furnace slag. Cem. Concr. Res. 2013, 54, 208–214. [Google Scholar] [CrossRef]
  48. Abdel-Gawwad, H.A.; Abo-El-Enein, S.A. A novel method to produce dry geopolymer cement powder. HBRC J. 2016, 12, 13–24. [Google Scholar] [CrossRef]
  49. Adeleke, B.O.; Kinuthia, J.M.; Oti, J.; Ebailila, M. Physico-Mechanical Evaluation of Geopolymer Concrete Activated by Sodium Hydroxide and Silica Fume-Synthesised Sodium Silicate Solution. Materials 2023, 16, 2400. [Google Scholar] [CrossRef]
  50. Cao, B.; Li, Y.; Li, P. Synergistic Effect of Blended Precursors and Silica Fume on Strength and High Temperature Resistance of Geopolymer. Materials 2024, 17, 2975. [Google Scholar] [CrossRef]
  51. Baltazar, L.G. Performance of Silica Fume-Based Geopolymer Grouts for Heritage Masonry Consolidation. Crystals 2022, 12, 288. [Google Scholar] [CrossRef]
  52. Caldas, P.H.C.H.; De Azevedo, A.R.G.; Marvila, M.T. Silica fume activated by NaOH and KOH in cement mortars: Rheological and mechanical study. Constr. Build. Mater. 2023, 400, 132623. [Google Scholar] [CrossRef]
  53. Sothornchaiwit, K.; Dokduea, W.; Tangchirapat, W.; Keawsawasvong, S.; Thongchom, C.; Jaturapitakkul, C. Influences of Silica Fume on Compressive Strength and Chemical Resistances of High Calcium Fly Ash-Based Alkali-Activated Mortar. Sustainability 2022, 14, 2652. [Google Scholar] [CrossRef]
  54. Ilcan, H.; Sahin, O.; Unsal, Z.; Ozcelikci, E.; Kul, A.; Cağatay Demiral, N.; Ozkan Ekinci, M.; Sahmaran, M. Effect of industrial waste-based precursors on the fresh, hardened and environmental performance of construction and demolition wastes-based geopolymers. Constr. Build. Mater. 2023, 394, 132265. [Google Scholar] [CrossRef]
  55. Widnyana, I.N.S.; Salain, I.M.A.K.; Sutarja, I.N.; Widiarsa, I.B.R. Setting time of coconut fiber ash-based geopolymer binder. IOP Conf. Ser. Earth Environ. Sci. 2022, 1117, 012001. [Google Scholar] [CrossRef]
  56. Kim, Y.Y.; Lee, B.J.; Saraswathy, V.; Kwon, S.J. Strength and durability performance of alkali-activated rice husk ash geopolymer mortar. Sci. World J. 2014, 2014, 209584. [Google Scholar] [CrossRef]
  57. Sturm, P.; Gluth, G.J.G.; Brouwers, H.J.H.; Kühne, H.C. Synthesizing one-part geopolymers from rice husk ash. Constr. Build. Mater. 2016, 124, 961–966. [Google Scholar] [CrossRef]
  58. Handayani, L.; Aprilia, S.; Rahmawati, C.; Aulia, T.B.; Ludvig, P.; Ahmad, J. Sodium Silicate from Rice Husk Ash and Their Effects as Geopolymer Cement. Polymers 2022, 14, 2920. [Google Scholar] [CrossRef] [PubMed]
  59. Panitsa, O.A.; Kioupis, D.; Kakali, G. Advancing the Sustainability of Geopolymer Technology through the Development of Rice Husk Ash Based Solid Activators. Sustainability 2024, 16, 7243. [Google Scholar] [CrossRef]
  60. Basri, M.S.; Mustapha, F.; Mazlan, N.; Ishak, M.R. Optimization of Rice Husk Ash-Based Geopolymers Coating Composite for Enhancement in Flexural Properties and Microstructure Using Response Surface Methodology. Coatings 2020, 10, 165. [Google Scholar] [CrossRef]
  61. Hossain, S.S.; Roy, P.; Bae, C. Utilization of waste rice husk ash for sustainable geopolymer: A review. Constr. Build. Mater. 2021, 310, 125218. [Google Scholar] [CrossRef]
  62. Van Jaarsveld, J.G.S.; Van Deventer, J.S.J.; Lukey, G.C. The effect of composition and temperature on the properties of fly ash-and kaolinite-based geopolymers. Chem. Eng. J. 2002, 89, 63–73. [Google Scholar] [CrossRef]
  63. Li, T.; Feng, J.; He, R.; Chen, X.; Xu, C.; Liao, J.; Jiang, Q. Optimization of compressive strength and exploration of enhancement mechanism of coal gangue-based geopolymers using the Taguchi method. Mod. Phys. Lett. B 2025, 39, 2550216. [Google Scholar] [CrossRef]
  64. Kurt, Z.; Ustabaş, İ.; Cakmak, T. Novel binder material in geopolymer mortar production: Obsidian stone powder. Struct. Concr. 2023, 24, 5600–5613. [Google Scholar] [CrossRef]
  65. Al-dujaili, M.A.A.; Al-hydary, I.A.D.; Hassan, Z.Z. Physical Characteristics and Compressive Strength of Na-Geopolymer Paste Designed by a Taguchi Method. IOP Conf. Ser. Earth Environ. Sci. 2021, 877, 012036. [Google Scholar] [CrossRef]
  66. Hu, Y.; Yao, Y.; Zhang, L.; Hu, X.; Yang, X. Green Low-Temperature Activation and Curing for High-Toughness Geopolymer Binders from Diabase Tailings. Materials 2025, 18, 3815. [Google Scholar] [CrossRef] [PubMed]
  67. Pitaloka, D.A.A.; Salain, I.M.A.K.; Widiarsa, I.B.R. The Effect of Precursor-Activator Ratio and Activator Type on the Bulk Density, Compressive Strength, and Microstructure of Abuan Pumice-Based Geopolymer Binder. J. Ilm. Tek. Sipil 2024, 28, 211–221. [Google Scholar] [CrossRef]
  68. Yang, X.; Zhang, Y.; Lin, C. Compressive and Flexural Properties of Ultra-Fine Coal Gangue-Based Geopolymer Gels and Microscopic Mechanism Analysis. Gels 2022, 8, 145. [Google Scholar] [CrossRef]
  69. Tsaousi, G.M.; Douni, I.; Panias, D. Characterization of the properties of perlite geopolymer pastes. Mater. Constr. 2016, 66, e102. [Google Scholar] [CrossRef]
  70. Owsiak, Z.; Szczykutowicz, K. Physical and mechanical properties of meta-halloysite-based geopolymer mortars. Cem.-Wapno-Beton = Cem. Lime Concr. 2023, 28, 351–361. [Google Scholar] [CrossRef]
  71. Hájková, P. Kaolinite Claystone-Based Geopolymer Materials: Effect of Chemical Composition and Curing Conditions. Minerals 2018, 8, 444. [Google Scholar] [CrossRef]
  72. Adjei, S.; Elkatatny, S.; Aggrey, W.N.; Abdelraouf, Y. Geopolymer as the future oilwell cement: A review. J. Pet. Sci. Eng. 2022, 208, 109485. [Google Scholar] [CrossRef]
  73. Hajiabadi, S.H.; Khalifeh, M.; van Noort, R.; Silva Santos Moreira, P.H. Review on Geopolymers as Wellbore Sealants: State of the Art Optimization for CO2 Exposure and Perspectives. ACS Omega 2023, 8, 23320–23345. [Google Scholar] [CrossRef]
  74. Rahmatullah, I.K.; Ahmed, A.; Elkatatny, S.; El Fattah, A.M.A. Utilizing Saudi volcanic scoria in lightweight geopolymer for enhanced wellbore cementing. Sci. Rep. 2025, 15, 20965. [Google Scholar] [CrossRef]
  75. Nana, A.; Tomé, S.; Anensong, S.C.D.; Venyite, P.; Djobo, J.N.Y.; Ngouné, J.; Kamseu, E.; Bignozzi, M.C.; Leonelli, C. Mechanical Performance, Phase Evolution and Microstructure of Natural Feldspathic Solid Solutions Consolidated via Alkali Activation: Effect of NaOH Concentration. Silicon 2022, 14, 4107–4120. [Google Scholar] [CrossRef]
  76. Khalifeh, M. Materials for Optimized P&A Performance Potential Utilization of Geopolymers. Ph.D. Thesis, University of Stavanger, Stavanger, Norway, 2016. [Google Scholar]
  77. da Silva, R.R.; de Oliveira Freitas, J.C.; Muniz Moreira, R.P.; Braga, R.M.; Khalifeh, M. Development of a Rock-Based Geopolymer for Well Abandonment Applications—Utilizing Brazilian Rock Precursors. In Proceedings of the Offshore Technology Conference Brasil, OTCB 2023, Rio de Janeiro, Brazil, 24–26 October 2023. [Google Scholar] [CrossRef]
  78. Hajimohammadi, A.; van Deventer, J.S.J. Dissolution Behaviour of source materials for synthesis of geopolymer binders: A kinetic approach. Int. J. Miner. Process. 2016, 153, 80–86. [Google Scholar] [CrossRef]
  79. Kuenzel, C.; Ranjbar, N. Dissolution mechanism of fly ash to quantify the reactive aluminosilicates in geopolymerisation. Resour. Conserv. Recycl. 2019, 150, 104421. [Google Scholar] [CrossRef]
  80. Küçük, M.E.; Kinnarinen, T.; Häkkinen, A. Dissolution kinetics of aluminosilicates from biomass ashes in alkaline solutions. Ceram. Int. 2021, 47, 11714–11726. [Google Scholar] [CrossRef]
  81. Provis, J.L.; Van Deventer, J.S.J. Geopolymers: Structure, Processing, Properties and Industrial Applications; Woodhead Publishing: Sawston, UK, 2009. [Google Scholar]
  82. Myers, R.J.; Bernal, S.A.; San Nicolas, R.; Provis, J.L. Generalized structural description of calcium–aluminosilicate hydrate gels: The cross-linked substituted tobermorite model. Langmuir 2015, 31, 614–622. [Google Scholar] [CrossRef] [PubMed]
  83. Rees, C.A.; Provis, J.L.; Lukey, G.C.; Van Deventer, J.S.J. The mechanism of geopolymer gel formation investigated through the development of a charge-balanced model. Colloids Surf. A 2008, 318, 97–105. [Google Scholar] [CrossRef]
  84. Power, D.; Zamora, M. Drilling Fluid Yield Stress: Measurement Techniques for Improved Understanding of Critical Drilling Fluid Parameters. 2003. Available online: https://www.aade.org/application/files/7515/7304/4604/AADE-03-NTCE-35-Power.pdf (accessed on 28 August 2025).
  85. Szcześniak, A.; Siwiński, J.; Stolarski, A.; Piekarczuk, A.; Nasiłowska, B. The Influence of the Addition of Microsilica and Fly Ash on the Properties of Ultra-High-Performance Concretes. Materials 2025, 18, 28. [Google Scholar] [CrossRef] [PubMed]
  86. Kamali, M.; Khalifeh, M.; Eid, E.; Saasen, A. Experimental Study of Hydraulic Sealability and Shear Bond Strength of Cementitious Barrier Materials. ASME J. Energy Resour. Technol. 2022, 144, 023007. [Google Scholar] [CrossRef]
  87. Duxson, P.; Fernández-Jiménez, A.; Provis, J.L.; Lukey, G.C.; Palomo, A.; Van Deventer, J.S.J. Geopolymer technology: The current state of the art. J. Mater. Sci. 2007, 42, 2917–2933. [Google Scholar] [CrossRef]
  88. Rovnaník, P. Effect of curing temperature on the development of hard structure of metakaolin-based geopolymer. Constr. Build. Mater. 2010, 24, 1176–1183. [Google Scholar] [CrossRef]
  89. Zhang, Z.; Provis, J.L.; Reid, A.; Wang, H. Geopolymer foam concrete: An emerging material for sustainable construction. Constr. Build. Mater. 2012, 56, 113–127. [Google Scholar] [CrossRef]
  90. Castillo, H.; Collado, H.; Droguett, T.; Sánchez, S.; Vesely, M.; Garrido, P.; Palma, S. Factors affecting the compressive strength of geopolymers: A review. Minerals 2021, 11, 1317. [Google Scholar] [CrossRef]
  91. Wang, L.; Geddes, D.A.; Walkley, B.; Provis, J.L.; Mechtcherine, V.; Tsang, D.C.W. The role of zinc in metakaolin-based geopolymers. Cem. Concr. Res. 2020, 136, 106194. [Google Scholar] [CrossRef]
  92. Smoleń, W.; Marczyk, J.; Łach, M.; Nguyen, T.; Korniejenko, K. Effect of microsilica addition on properties of geopolymer composites. J. Achiev. Mater. Manuf. Eng. 2023, 121, 46–59. [Google Scholar] [CrossRef]
  93. Khater, H.M. Effect of silica fume on the characterization of the geopolymer materials. Int. J. Adv. Struct. Eng. 2013, 5, 12. [Google Scholar] [CrossRef]
Figure 1. Particle size distribution of precursors obtained by laser diffraction analysis: (a) Brazilian rock-BR; (b) ground granulated blast furnace slag-GGBFS; (c) microsilica [77].
Figure 1. Particle size distribution of precursors obtained by laser diffraction analysis: (a) Brazilian rock-BR; (b) ground granulated blast furnace slag-GGBFS; (c) microsilica [77].
Processes 13 03624 g001
Figure 2. SEM images of (a) BR, (b) GGBFS, and (c) microsilica [77].
Figure 2. SEM images of (a) BR, (b) GGBFS, and (c) microsilica [77].
Processes 13 03624 g002
Figure 3. Dissolution rate of BR precursor in (a) KOH solution and (b) K2SiO3 solution at various times.
Figure 3. Dissolution rate of BR precursor in (a) KOH solution and (b) K2SiO3 solution at various times.
Processes 13 03624 g003
Figure 4. Viscosity profile of the mixing designs at 25 °C and ambient pressure. Non-Newtonian behavior can be observed since they presented yield stress and shear-thinning behavior: (a,b) flow curves; (c,d) viscosity versus shear rate.
Figure 4. Viscosity profile of the mixing designs at 25 °C and ambient pressure. Non-Newtonian behavior can be observed since they presented yield stress and shear-thinning behavior: (a,b) flow curves; (c,d) viscosity versus shear rate.
Processes 13 03624 g004
Figure 5. Consistency profile of geopolymers at BHCT 25 °C and ambient pressure: (a) Mix 1 and (b) Mix 2, and 13.8 MPa: (c) Mix 1, (d) Mix 2.
Figure 5. Consistency profile of geopolymers at BHCT 25 °C and ambient pressure: (a) Mix 1 and (b) Mix 2, and 13.8 MPa: (c) Mix 1, (d) Mix 2.
Processes 13 03624 g005
Figure 6. Consistency profile of geopolymers at BHCT 50 °C and ambient pressure: (a) Mix 1 and (b) Mix 2, and 13.8 MPa: (c) Mix 1, (d) Mix 2.
Figure 6. Consistency profile of geopolymers at BHCT 50 °C and ambient pressure: (a) Mix 1 and (b) Mix 2, and 13.8 MPa: (c) Mix 1, (d) Mix 2.
Processes 13 03624 g006aProcesses 13 03624 g006b
Figure 7. Compressive strength of Mix 1 at different curing times and conditions.
Figure 7. Compressive strength of Mix 1 at different curing times and conditions.
Processes 13 03624 g007
Figure 8. Compressive strength of Mix 2 at different curing times and conditions.
Figure 8. Compressive strength of Mix 2 at different curing times and conditions.
Processes 13 03624 g008
Figure 9. Isothermal calorimetry data of geopolymer pastes with (Mix 1) and without microsilica (Mix 2) at 25 °C.
Figure 9. Isothermal calorimetry data of geopolymer pastes with (Mix 1) and without microsilica (Mix 2) at 25 °C.
Processes 13 03624 g009
Figure 10. Consumption by mineral groups of samples: Brazilian rock precursor, Mix 1, and Mix 2.
Figure 10. Consumption by mineral groups of samples: Brazilian rock precursor, Mix 1, and Mix 2.
Processes 13 03624 g010
Figure 11. SEM images of the geopolymer matrix (a) Mix 1 at 20 µm, (b) Mix 1 at 5 µm, (c) Mix 2 at 20 µm, (d) Mix 2 at 5 µm.
Figure 11. SEM images of the geopolymer matrix (a) Mix 1 at 20 µm, (b) Mix 1 at 5 µm, (c) Mix 2 at 20 µm, (d) Mix 2 at 5 µm.
Processes 13 03624 g011aProcesses 13 03624 g011b
Table 1. Some work found in the literature using rock-based materials as precursors for geopolymer manufacturing.
Table 1. Some work found in the literature using rock-based materials as precursors for geopolymer manufacturing.
ReferenceRock-Based PrecursorActivator SystemUCS ReportedCuring Temperature (BHST)
[74]Saudi volcanic scoriaNaOH12.4 MPaNot reported
[64]Volcanic glass mixes (obsidian)12 M NaOH solution93.7 MPa90 °C
[75]Trachyte, Pegmatite, and GraniteSodium hydroxide and Sodium silicate108 Mpa after 28 daysNR
[66]Diabase tailings (crystalline igneous) Na-based activator42.3 Mpa after 7 days20 °C
[69]Perlite (glassy volcanic)NaOH 2–5 MStrength optimized by low NaOH~90 °C
Table 2. Chemical composition of the solid precursors [77].
Table 2. Chemical composition of the solid precursors [77].
Chemical (wt.%)SiO2Al2O3CaOK2ONa2OMgOTiO2Fe2O3ClSO3ZrO2Mn2O3SrOL.O.I.
BR66.6826.46-2.400.771.600.350.180.160.070.031.00-0.4
GGBFS29.36-59.085.49--1.232.2-0.23-2.090.16-
Microsilica95.10.580.41.00.40.5-0.3-----1.8
Table 3. Mixing proportions of the slurries investigated in this study, in wt%.
Table 3. Mixing proportions of the slurries investigated in this study, in wt%.
ComponentsMix
12
Brazilian rock65.5261.99
GGBFS 16.3816.38
Microsilica -3.52
Solid activator 17.0017.00
Superplasticizer 1.111.11
Activator to solid ratio17.0017.00
Table 4. Herschel-Bulkley parameters obtained from fitting the flow curves.
Table 4. Herschel-Bulkley parameters obtained from fitting the flow curves.
Sample τ y (lbf/100 ft2) K n R2
Mix 118.140.0450.580.97
Mix 213.340.0550.590.97
Table 5. Rheological properties of mixing designs.
Table 5. Rheological properties of mixing designs.
Mix 1Mix 2
Plastic Viscosity (Pa.s)0.260.19
10 sec gel (Pa)7.67.6
10 min gel (Pa)19.632.7
Table 6. Mineral phases, groups, and evaluation indices for samples Mix 1 and Mix 2.
Table 6. Mineral phases, groups, and evaluation indices for samples Mix 1 and Mix 2.
Mineral PhaseMineral GroupMix 1_1DMix 2_1DMix 1_28 DMix 2_28 D
BiotiteMica2.57%3.5742.653.287
Microcline intermediateK-Feldspar10.09%9.7289.929.95
Microcline maximumK-Feldspar13.27%13.84310.739.96
Quartz, SiO2Quartz14.10%12.0170.639.968
ChloriteChlorite14.29%12.1513.8813.05
MuscoviteMica8.69%10.310.8710.19
ClinochloreChlorite28.91%30.9631.4234.02
PyrophyllitePyrophyllite8.09%7.439.99.87
GOF * 1.63%1.861.731.69
Rwp 7.36%8.157.677.46
* GOF: Goodness of Fit.
Disclaimer/Publisher’s Note: The statements, opinions and data contained in all publications are solely those of the individual author(s) and contributor(s) and not of MDPI and/or the editor(s). MDPI and/or the editor(s) disclaim responsibility for any injury to people or property resulting from any ideas, methods, instructions or products referred to in the content.

Share and Cite

MDPI and ACS Style

Ribeiro da Silva, R.; de Oliveira Freitas, J.C.; Khalifeh, M.; Martins Braga, R. Development of Rock-Based Geopolymers for Oilwell Cementing Applications—Utilizing Brazilian Rock Precursor. Processes 2025, 13, 3624. https://doi.org/10.3390/pr13113624

AMA Style

Ribeiro da Silva R, de Oliveira Freitas JC, Khalifeh M, Martins Braga R. Development of Rock-Based Geopolymers for Oilwell Cementing Applications—Utilizing Brazilian Rock Precursor. Processes. 2025; 13(11):3624. https://doi.org/10.3390/pr13113624

Chicago/Turabian Style

Ribeiro da Silva, Raphael, Julio Cezar de Oliveira Freitas, Mahmoud Khalifeh, and Renata Martins Braga. 2025. "Development of Rock-Based Geopolymers for Oilwell Cementing Applications—Utilizing Brazilian Rock Precursor" Processes 13, no. 11: 3624. https://doi.org/10.3390/pr13113624

APA Style

Ribeiro da Silva, R., de Oliveira Freitas, J. C., Khalifeh, M., & Martins Braga, R. (2025). Development of Rock-Based Geopolymers for Oilwell Cementing Applications—Utilizing Brazilian Rock Precursor. Processes, 13(11), 3624. https://doi.org/10.3390/pr13113624

Note that from the first issue of 2016, this journal uses article numbers instead of page numbers. See further details here.

Article Metrics

Back to TopTop