Molecular Catalysis of CO2 Reduction with a Zn (II)–Bipyridine Complex
Abstract
1. Introduction
2. Materials and Methods
2.1. Reagents
2.2. Synthesis of [Zn(2,2-bpy)3](BF4)2
2.3. Characterization of the Coordination Compound
2.4. Electrochemical Study of Compounds in the Presence of N2 and CO2
2.5. UV–Vis Spectroelectrochemical Study in the Presence of N2 and CO2
2.6. Bulk Electrolysis in the Presence of N2 and CO2
2.7. Identification of the Products
2.8. Theoretical Studies
3. Results
3.1. Characterization of the Compound
3.2. Electrochemistry of [Zn (2,2-bpy)3](BF4)2 in the Absence and Presence of CO2
- Process Ik
- Process IIk
3.3. UV–Vis Spectroelectrochemical Response of the Complex [Zn (2,2-bpy)3](BF4)2 in the Absence and Presence of CO2
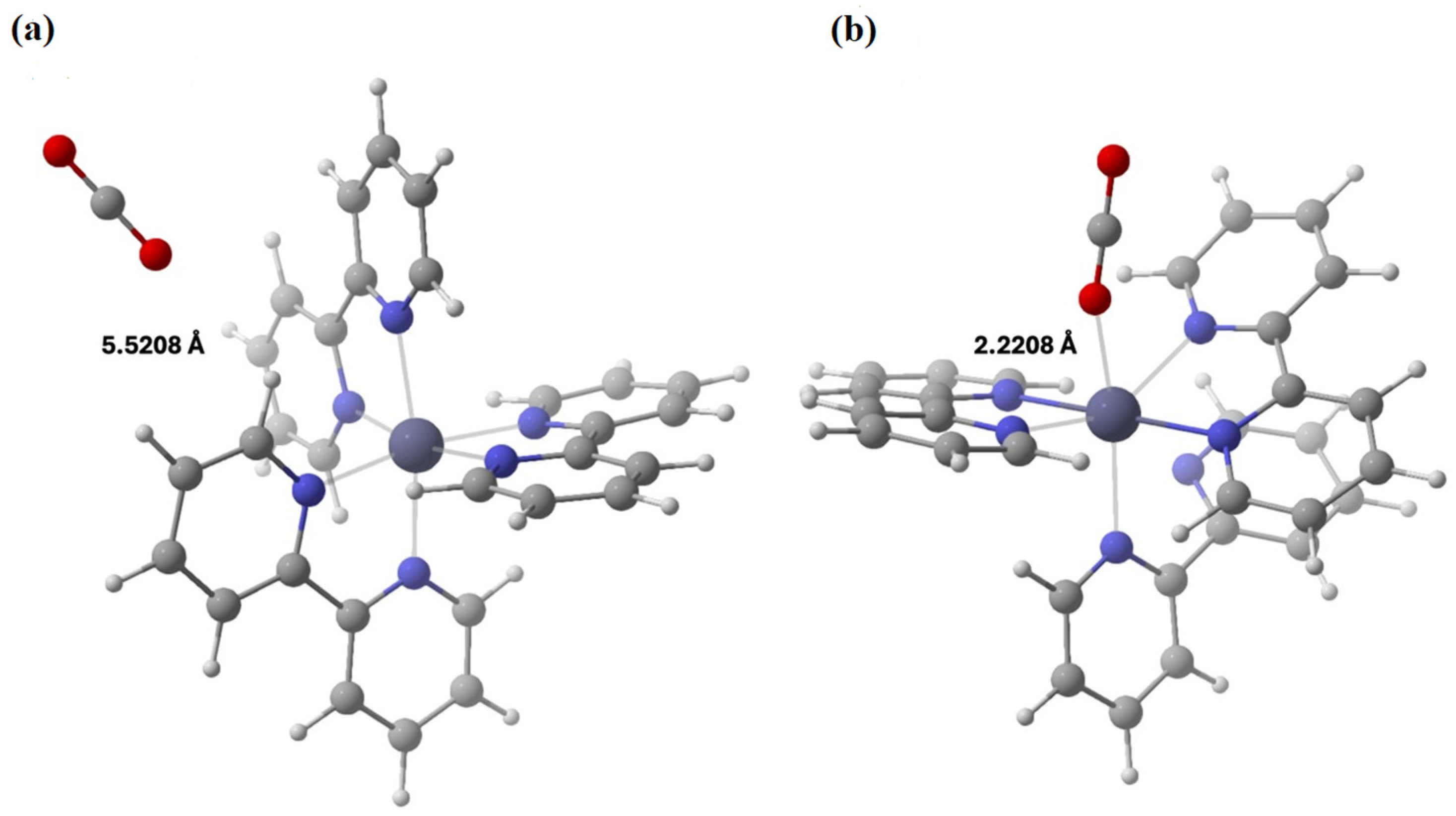
3.4. Theoretical Calculations and Their Correlation with Redox Processes
4. Conclusions
Supplementary Materials
Author Contributions
Funding
Data Availability Statement
Acknowledgments
Conflicts of Interest
References
- Core Writing Team; Lee, H.; Romero, J. (Eds.) Summary for Policymakers. In Climate Change 2023: Synthesis Report; Contribution of Working Groups I, II and III to the Sixth Assessment Report of the Intergovernmental Panel on Climate Change IPCC; Intergovernmental Panel on Climate Change IPCC: Geneva, Switzerland, 2023; pp. 1–34. [Google Scholar] [CrossRef]
- Dunstone, N.J.; Smith, D.M.; Atkinson, C.; Colman, A.; Folland, C.; Hermanson, L.; Ineson, S.; Killick, R.; Morice, C.; Rayner, N.; et al. Will 2024 be the first year that global temperature exceeds 1.5 °C? Atmos. Sci. Lett. 2024, 25, e1254. [Google Scholar] [CrossRef]
- Crippa, M.; Guizzardi, D.; Pagani, F.; Banja, M.; Muntean, M.; Schaaf, E.; Monforti-Ferrario, F.; Becker, W.E.; Quadrelli, R.; Risquez-Martin, A.; et al. GHG Emissions of All World Countries; European Union: Luxembourg, 2024. [Google Scholar] [CrossRef]
- Sanabria, E.; Maldonado, M.; Matiz, C.; Ribeiro, A.C.F.; Esteso, M.A. Methods of capture and transformation of carbon dioxide (CO2) with macrocycles. Processes 2025, 13, 117. [Google Scholar] [CrossRef]
- Xu, J.; Zhong, G.; Li, M.; Zhao, D.; Sun, Y.; Hu, X.; Sun, J.; Li, X.; Zhu, W.; Li, M.; et al. Review on electrochemical carbon dioxide capture and transformation with bipolar membranes. Chin. Chem. Lett. 2023, 34, 108075. [Google Scholar] [CrossRef]
- Thoi, V.S.; Sun, Y.; Long, J.R.; Chang, C.J. Complexes of earth-abundant metals for catalytic electrochemical hydrogen generation under aqueous conditions. Chem. Soc. Rev. 2013, 42, 2388–2400. [Google Scholar] [CrossRef]
- Rountree, E.S.; McCarthy, B.D.; Eisenhart, T.T.; Dempsey, J.L. Evaluation of homogeneous electrocatalysts by cyclic voltammetry. Inorg. Chem. 2014, 53, 9983–10002. [Google Scholar] [CrossRef]
- Sun, Z.; Ma, T.; Tao, H.; Fan, Q.; Han, B. Fundamentals and challenges of electrochemical CO2 reduction using two-dimensional materials. Chem 2017, 3, 560–587. [Google Scholar] [CrossRef]
- Yadav, P.K.; Kumari, N.; Pachfule, P.; Banerjee, R.; Mishra, L. Metal [Zn(II), Cd(II)], 1,10-phenanthroline containing coordination polymers constructed on the skeleton of polycarboxylates: Synthesis, characterization, microstructural, and CO2 gas adsorption studies. Cryst. Growth Des. 2012, 12, 5311–5319. [Google Scholar] [CrossRef]
- Schrodt, A.; Neubrand, A.; van Eldik, R. Fixation of CO2 by Zinc(II) Chelates in Alcoholic Medium. X-ray Structures of {[Zn(cyclen)]3(μ3-CO3)}(ClO4)4 and [Zn(cyclen)EtOH](ClO4)2. Inorg. Chem. 1997, 36, 4579–4584. [Google Scholar] [CrossRef] [PubMed]
- Chiericato, G.; Arana, C.R.; Casado, C.; Cuadrado, I.; Abruña, H.D. Electrocatalytic reduction of carbon dioxide mediated by transition metal complexes with terdentate ligands derived from diacetylpyridine. Inorganica Chim. Acta 2000, 300–302, 32–42. [Google Scholar] [CrossRef]
- Cao, Y.; Chen, Q.; Shen, C.; He, L. Polyoxometalate-based catalysts for CO2 conversion. Molecules 2019, 24, 2069. [Google Scholar] [CrossRef]
- Schwarz, H.A.; Creutz, C.; Sutin, N. Homogeneous catalysis of the photoreduction of water by visible light. 4. Cobalt(I) polypyridine complexes. Redox and substitutional kinetics and thermodynamics in the aqueous 2,2′-bipyridine and 4,4′-dimethyl-2,2′-bipyridine series studied by the pulse-radiolysis technique. Inorg. Chem. 1985, 24, 433–439. [Google Scholar] [CrossRef]
- Amatore, C.; Saveant, J.M. Mechanism and kinetic characteristics of the electrochemical reduction of carbon dioxide in media of low proton availability. J. Am. Chem. Soc. 1981, 103, 5021–5023. [Google Scholar] [CrossRef]
- Savéant, J.-M. Molecular catalysis of electrochemical reactions. mechanistic aspects. Chem. Rev. 2008, 108, 2348–2378. [Google Scholar] [CrossRef]
- Berardi, S.; Drouet, S.; Francàs, L.; Gimbert-Suriñach, C.; Guttentag, M.; Richmond, C.; Stoll, T.; Llobet, A. Molecular artificial photosynthesis. Chem. Soc. Rev. 2014, 43, 7501–7519. [Google Scholar] [CrossRef] [PubMed]
- Benson, E.E.; Kubiak, C.P.; Sathrum, A.J.; Smieja, J.M. Electrocatalytic and homogeneous approaches to conversion of CO2 to liquid fuels. Chem. Soc. Rev. 2009, 38, 89–99. [Google Scholar] [CrossRef] [PubMed]
- Feng, D.-M.; Zhu, Y.-P.; Chen, P.; Ma, T.-Y. Recent advances in transition-metal-mediated electrocatalytic CO2 reduction: From homogeneous to heterogeneous systems. Catalysts 2017, 7, 373. [Google Scholar] [CrossRef]
- Han, J.; Wang, N.; Li, X.; Lei, H.; Wang, Y.; Guo, H.; Jin, X.; Zhang, Q.; Peng, X.; Zhang, X.-P.; et al. Bioinspired Iron Porphyrins with appended poly-pyridine/amine units for boosted electrocatalytic CO2 reduction reaction. eScience 2022, 2, 623–631. [Google Scholar] [CrossRef]
- Boutin, E.; Merakeb, L.; Ma, B.; Boudy, B.; Wang, M.; Bonin, J.; Anxolabéhère-Mallart, E.; Robert, M. Molecular catalysis of CO2 reduction: Recent advances and perspectives in electrochemical and light-driven processes with selected Fe, Ni and Co aza macrocyclic and polypyridine complexes. Chem. Soc. Rev. 2020, 49, 5772–5809. [Google Scholar] [CrossRef]
- Bonin, J.; Robert, M.; Routier, M. Selective and efficient photocatalytic CO2 reduction to CO using visible light and an iron-based homogeneous catalyst. J. Am. Chem. Soc. 2014, 136, 16768–16771. [Google Scholar] [CrossRef] [PubMed]
- Bi, J.; Hou, P.; Liu, F.; Kang, P. Electrocatalytic reduction of CO2 to methanol by iron tetradentate phosphine complex through amidation strategy. ChemSusChem 2019, 12, 2195–2201. [Google Scholar] [CrossRef]
- Juris, A.; Balzani, V.; Barigelletti, F.; Campagna, S.; Belser, P.; von Zelewsky, A. Ru(II) polypyridine complexes: Photophysics, photochemistry, eletrochemistry, and chemiluminescence. Coord. Chem. Rev. 1988, 84, 85–277. [Google Scholar] [CrossRef]
- Simpson, T.C.; Durand, R.R. Ligand participation in the reduction of CO2 catalyzed by complexes of 1,10 o-Phenanthroline. Electrochim. Acta 1988, 33, 581–583. [Google Scholar] [CrossRef]
- Rocha-Ortiz, G.; Barrios-Velasco, A.; Zúñiga, O.M.; Cruz-Ramírez, M.; Mendoza, A.; Ramírez-Palma, L.G.; Rebolledo-Chávez, J.P.F.; Ortiz-Frade, L. The Role of Geometry in Cobalt–Polypyridine Complexes in the Electrochemical Reduction of CO2 Using UV-Vis Spectroelectrochemistry. Catalysts 2025, 15, 641. [Google Scholar] [CrossRef]
- Rebolledo-Chávez, J.P.F.; Toral, G.T.; Ramírez-Delgado, V.; Reyes-Vidal, Y.; Jiménez-González, M.L.; Cruz-Ramírez, M.; Mendoza, A.; Ortiz-Frade, L. The Role of Redox Potential and Molecular Structure of Co(II)-Polypyridine Complexes on the Molecular Catalysis of CO2 Reduction. Catalysts 2021, 11, 948. [Google Scholar] [CrossRef]
- Elgrishi, N.; Chambers, M.B.; Wang, X.; Fontecave, M. Molecular polypyridine-based metal complexes as catalysts for the reduction of CO2. Chem. Soc. Rev. 2017, 46, 761–796. [Google Scholar] [CrossRef]
- Elgrishi, N.; Chambers, M.B.; Artero, V.; Fontecave, M. Terpyridine complexes of first row transition metals and electrochemical reduction of CO2 to CO. Phys. Chem. Chem. Phys. 2014, 16, 13635–13644. [Google Scholar] [CrossRef] [PubMed]
- Ling, Z.; Yin, Y.; Kang, X.; Li, X.; Duan, R.; Zhou, S.; Liu, H.; Mo, G.; Chen, Z.; Wu, X.; et al. Enhanced electrochemical reduction of CO2 to CO by ZnO nanorods enriched with oxygen vacancies. Chem Catal. 2025, 5, 101192. [Google Scholar] [CrossRef]
- Xue, L.; Zhang, C.; Shi, T.; Liu, S.; Zhang, H.; Sun, M.; Liu, F.; Liu, Y.; Wang, Y.; Gu, X.; et al. Unraveling the improved CO2 adsorption and COOH* formation over Cu-decorated ZnO nanosheets for CO2 reduction toward CO. Chem. Eng. J. 2023, 452, 139701. [Google Scholar] [CrossRef]
- Ma, X.; Jiao, D.; Fan, J.; Dong, Y.; Cui, X. Metal–oxide heterointerface synergistic effects of copper–zinc systems for highly selective CO2-to-CH4 electrochemical conversion. Inorg. Chem. Front. 2023, 10, 168–173. [Google Scholar] [CrossRef]
- Yan, J.-C.; Wang, F.-M.; Yin, S.; Zhang, J.; Jiang, W.; Liu, G.-G. Copper/metal oxide heterostructures for electrochemical carbon dioxide reduction. Rare Met. 2025, 44, 2239–2267. [Google Scholar] [CrossRef]
- Nakazato, R.; Matsumoto, K.; Quintelier, M.; Rosero-Navarro, N.C.; Miura, A.; Tadanaga, K. CO2 electrochemical reduction by Zn-based layered double hydroxides: The role of structural trivalent metal ions. Open Ceram. 2025, 22, 100788. [Google Scholar] [CrossRef]
- Wang, B.; Wang, L.; Lin, J.; Xia, C.; Sun, W. Multifunctional Zn-N4 Catalysts for the Coupling of CO2 with Epoxides into Cyclic Carbonates. ACS Catal. 2023, 13, 10386–10393. [Google Scholar] [CrossRef]
- Wu, Y.; Jiang, J.; Weng, Z.; Wang, M.; Broere, D.L.J.; Zhong, Y.; Brudvig, G.W.; Feng, Z.; Wang, H. Electroreduction of CO2 Catalyzed by a Heterogenized Zn–Porphyrin Complex with a Redox-Innocent Metal Center. ACS Cent. Sci. 2017, 3, 847–852. [Google Scholar] [CrossRef]
- Fang, Y.; Hong, X.; Fu, Y.; Li, Y.; Chao, D. Ligand-based electron transfer enables molecular polypyridyl Zn(II) complexes for efficient photocatalytic CO2 reduction. Mol. Catal. 2023, 551, 113610. [Google Scholar] [CrossRef]
- Stamatelos, I.; Dinh, C.-T.; Lehnert, W.; Pasel, J.; Shviro, M. Zn-based catalysts for selective and stable electrochemical CO2 reduction at high current densities. ACS Appl. Energy Mater. 2022, 5, 13928–13938. [Google Scholar] [CrossRef]
- Norouziyanlakvan, S.; Berro, P.; Rao, G.K.; Gabidullin, B.; Richeson, D. Electrocatalytic Reduction of CO2 and H2O with Zn(II) Complexes Through Metal–Ligand Cooperation. Chem. Eur. J. 2024, 30, e202303147. [Google Scholar] [CrossRef]
- Costentin, C.; Robert, M.; Saveant, J.-M. Catalysis of the electrochemical reduction of carbon dioxide. Chem. Soc. Rev. 2013, 42, 2423–2436. [Google Scholar] [CrossRef] [PubMed]
- Trasatti, S. The Absolute Electrode Potential: An Explanatory Note (Recommendations 1986). Pure Appl. Chem. 1986, 58, 955–966. [Google Scholar] [CrossRef]
- Gagne, R.R.; Koval, C.A.; Lisensky, G.C. Ferrocene as an internal standard for electrochemical measurements. Inorg. Chem. 1980, 19, 2854–2855. [Google Scholar] [CrossRef]
- Gaussian 16, Revision C.01; Frisch, M.J., Trucks, G.W., Schlegel, H.B., Scuseria, G.E., Robb, M.A., Cheeseman, J.R., Scalmani, G., Barone, V., Petersson, G.A., Nakatsuji, H., et al., Eds.; Gaussian, Inc.: Wallingford, CT, USA, 2016. [Google Scholar]
- Becke, A.D. Density-functional thermochemistry. III. The role of exact exchange. J. Chem. Phys. 1993, 98, 5648–5652. [Google Scholar] [CrossRef]
- Dunning, T.H., Jr.; Hay, P.J. Modern Theoretical Chemistry; Schaefer, H.F., III, Ed.; Plenum: New York, NY, USA, 1977; Volume 3, pp. 1–28. [Google Scholar]
- Bader, R. Atoms in Molecules: A Quantum Theory; Oxford University Press: New York, NY, USA, 1990. [Google Scholar] [CrossRef]
- Keith, T.A. AIMAll, version 16.01.09; TK Gristmill Software: Overland Park, KS, USA, 2016. Available online: https://aim.tkgristmill.com/ (accessed on 15 September 2025).
- Greenwood, N.N.; Earnshaw, A. Chemistry of the Elements, 2nd ed.; Butterworth-Heinemann: Oxford, UK, 2017; pp. 1–1376. [Google Scholar]
- Willard, H.H.; Eroles Gómez, A. Métodos Instrumentales de Análisis; CECSA: Coahuila, Mexico, 1990; pp. 1–907. [Google Scholar]
- Zhang, Z.; Zhang, Z.; Hao, B.N.; Zhang, H.; Wang, M.; Liu, Y.D. Fabrication of imidazolium-based poly(ionic liquid) microspheres and their electrorheological responses. J. Mater. Sci. 2017, 52, 5778–5787. [Google Scholar] [CrossRef]
- Kadirov, M.K.; Kholin, K.V.; Tselishcheva, E.Y.; Burilov, V.A.; Mustafina, A.R. Cyclic voltammetry of tris(2,2′-bipyridine)zinc(II) diperchlorate detected by Electron Spin Resonance. Russ. Chem. Bull. 2013, 62, 1327–1331. [Google Scholar] [CrossRef]
- Müller, I.; Schneider, C.; Pietzonka, C.; Kraus, F.; Werncke, C.G. Reduction of 2,2′-bipyridine by quasi-linear 3D-metal(I) silylamides—A structural and spectroscopic study. Inorganics 2019, 7, 117. [Google Scholar] [CrossRef]
- Lacy, D.C.; McCrory, C.C.L.; Peters, J.C. Studies of Cobalt-mediated electrocatalytic CO2 reduction using a redox-active ligand. Inorg. Chem. 2014, 53, 4980–4988. [Google Scholar] [CrossRef]
- Desbouis, D.; Troitsky, I.P.; Belousoff, M.J.; Spiccia, L.; Graham, B. Copper(II), zinc(II) and nickel(II) complexes as nuclease mimetics. Coord. Chem. Rev. 2012, 256, 897–937. [Google Scholar] [CrossRef]
- Kim, S.-M.; Yoon, I.-H.; Kim, I.-G.; Park, C.W.; Sihn, Y.; Kim, J.-H.; Park, S.-J. Cs desorption behavior during hydrothermal treatment of illite with oxalic acid. Environ. Sci. Pollut. Res. 2020, 27, 35580–35590. [Google Scholar] [CrossRef]
- Rocha-Ortiz, G.; González-Gutiérrez, A.G.; Casillas-Santana, N.; Astudillo-Sánchez, P.D.; Romero-Arellano, V.H.; Blancas-Flores, J.M. Innovative dielectric polyaniline composites for performance triboelectric nanogenerators. J. Solid State Electrochem. 2025, 29, 3237–3251. [Google Scholar] [CrossRef]
- Costentin, C.; Drouet, S.; Passard, G.; Robert, M.; Savéant, J.-M. Proton-coupled electron transfer cleavage of heavy-atom bonds in electrocatalytic processes. Cleavage of a C–O bond in the catalyzed electrochemical reduction of CO2. J. Am. Chem. Soc. 2013, 135, 9023–9031. [Google Scholar] [CrossRef] [PubMed]
- Azcarate, I.; Costentin, C.; Robert, M.; Savéant, J.-M. Through-space charge interaction substituent effects in molecular catalysis leading to the design of the most efficient catalyst of CO2-to-Co electrochemical conversion. J. Am. Chem. Soc. 2016, 138, 16639–16644. [Google Scholar] [CrossRef] [PubMed]
- Rebolledo, J.P.; Cruz-Ramírez, M.; Patakfalvi, R.; Tenorio-Rangel, F.J.; Ortiz-Frade, L.A. Insight on the mechanism of molecular catalysis of CO2 reduction with Fe(II)-polypyridine complexes. Electrochimica Acta 2017, 247, 241–251. [Google Scholar] [CrossRef]
- Berger, R.M.; Holcombe, J.R. An electrochemical and spectroelectrochemical investigation of bis(2,2′-bipyridine) (2,4,6-tris(2-pyridyl)triazine)ruthenium(II): A potential building block for supramolecular systems. Inorganica Chim. Acta 1995, 232, 217–221. [Google Scholar] [CrossRef]
- Keszei, E. Kinetics of Composite Reactions. In Reaction Kinetics; Springer: Cham, Switzerland, 2021; pp. 71–116. [Google Scholar] [CrossRef]














| Compound | Applied Potential (V) | Products Obtained |
|---|---|---|
| [Mn(bipy)(CO)3Br]+ | −1.789 | CO |
| [Mn(4,4′-dmbpy)(CO)3Br]+ | −1.789 | CO |
| [Mn(4,4′-dbubpy)(CO)3Br]+ | −2.58 | CO |
| [Mn(4,4′-dCNbpy)(CO)3Br]+ | −2.2 | CO + H2 |
| [Fe(dophen)(Cl)] | −2.0 | CO + C2O42− + HCOOH + H2. |
| [Fe(dophen)(N-Melm)2]+ | −2.0 | CO + C2O42− + HCOOH + H2. |
| [Co(4-mephen)]2+ | −1.39 | CO + HCOO− |
| [Co(4,7-dmphen)]2+ | −1.39 | CO + HCOO− |
| [Co(bpy)3]2+ | −1.96 | C2O42− |
| [Co(tpy)2]2+ | −2.28 | C2O42− |
| [Co(4-PhClphen)3]2+ | −3.00 | CO + H2 |
| [Co(4-PhCH3phen)3]2+ | −3.00 | CO + H2 |
| [Co(4-OMephen)3]2+ | −3.00 | CO + H2 |
| [Ni(bpy)3]2+ | −1.63 | CO + CO32− |
| [Ni(phen)3]2+ | Not specified | CH4 + CO |
| [Ni(tpy)2]2+ | −1.72 | CO + H2 |
Disclaimer/Publisher’s Note: The statements, opinions and data contained in all publications are solely those of the individual author(s) and contributor(s) and not of MDPI and/or the editor(s). MDPI and/or the editor(s) disclaim responsibility for any injury to people or property resulting from any ideas, methods, instructions or products referred to in the content. |
© 2025 by the authors. Licensee MDPI, Basel, Switzerland. This article is an open access article distributed under the terms and conditions of the Creative Commons Attribution (CC BY) license (https://creativecommons.org/licenses/by/4.0/).
Share and Cite
Rocha-Ortiz, G.; Lara-Molineros, B.M.; Talavera-Contreras, L.G.; Cortés-Guzmán, F.; Rebolledo-Chávez, J.P.F.; Hernández-Padilla, G.; Ramírez-Palma, L.G.; Cruz-Ramírez, M.; Ortiz-Frade, L. Molecular Catalysis of CO2 Reduction with a Zn (II)–Bipyridine Complex. Processes 2025, 13, 3443. https://doi.org/10.3390/pr13113443
Rocha-Ortiz G, Lara-Molineros BM, Talavera-Contreras LG, Cortés-Guzmán F, Rebolledo-Chávez JPF, Hernández-Padilla G, Ramírez-Palma LG, Cruz-Ramírez M, Ortiz-Frade L. Molecular Catalysis of CO2 Reduction with a Zn (II)–Bipyridine Complex. Processes. 2025; 13(11):3443. https://doi.org/10.3390/pr13113443
Chicago/Turabian StyleRocha-Ortiz, Gilberto, Brenda Magali Lara-Molineros, Luis Gabriel Talavera-Contreras, Fernando Cortés-Guzmán, Juan Pablo F. Rebolledo-Chávez, Gabriela Hernández-Padilla, Lillian G. Ramírez-Palma, Marisela Cruz-Ramírez, and Luis Ortiz-Frade. 2025. "Molecular Catalysis of CO2 Reduction with a Zn (II)–Bipyridine Complex" Processes 13, no. 11: 3443. https://doi.org/10.3390/pr13113443
APA StyleRocha-Ortiz, G., Lara-Molineros, B. M., Talavera-Contreras, L. G., Cortés-Guzmán, F., Rebolledo-Chávez, J. P. F., Hernández-Padilla, G., Ramírez-Palma, L. G., Cruz-Ramírez, M., & Ortiz-Frade, L. (2025). Molecular Catalysis of CO2 Reduction with a Zn (II)–Bipyridine Complex. Processes, 13(11), 3443. https://doi.org/10.3390/pr13113443

