Exploring the Green Synthesis Process of 2-Mercaptobenzothiazole for Industrial Production
Abstract
1. Introduction
2. Exploration of MBT Green Synthesis Process
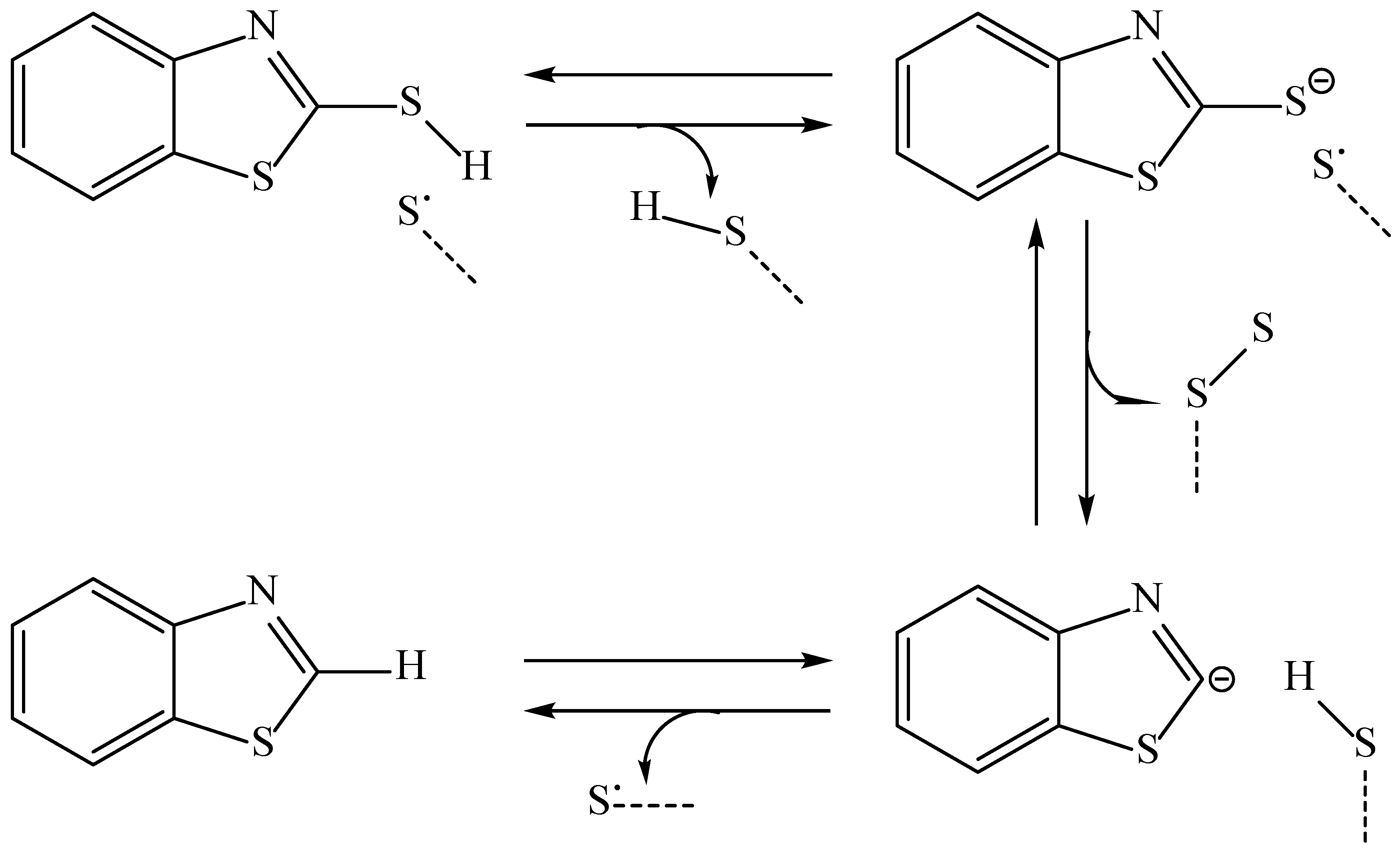
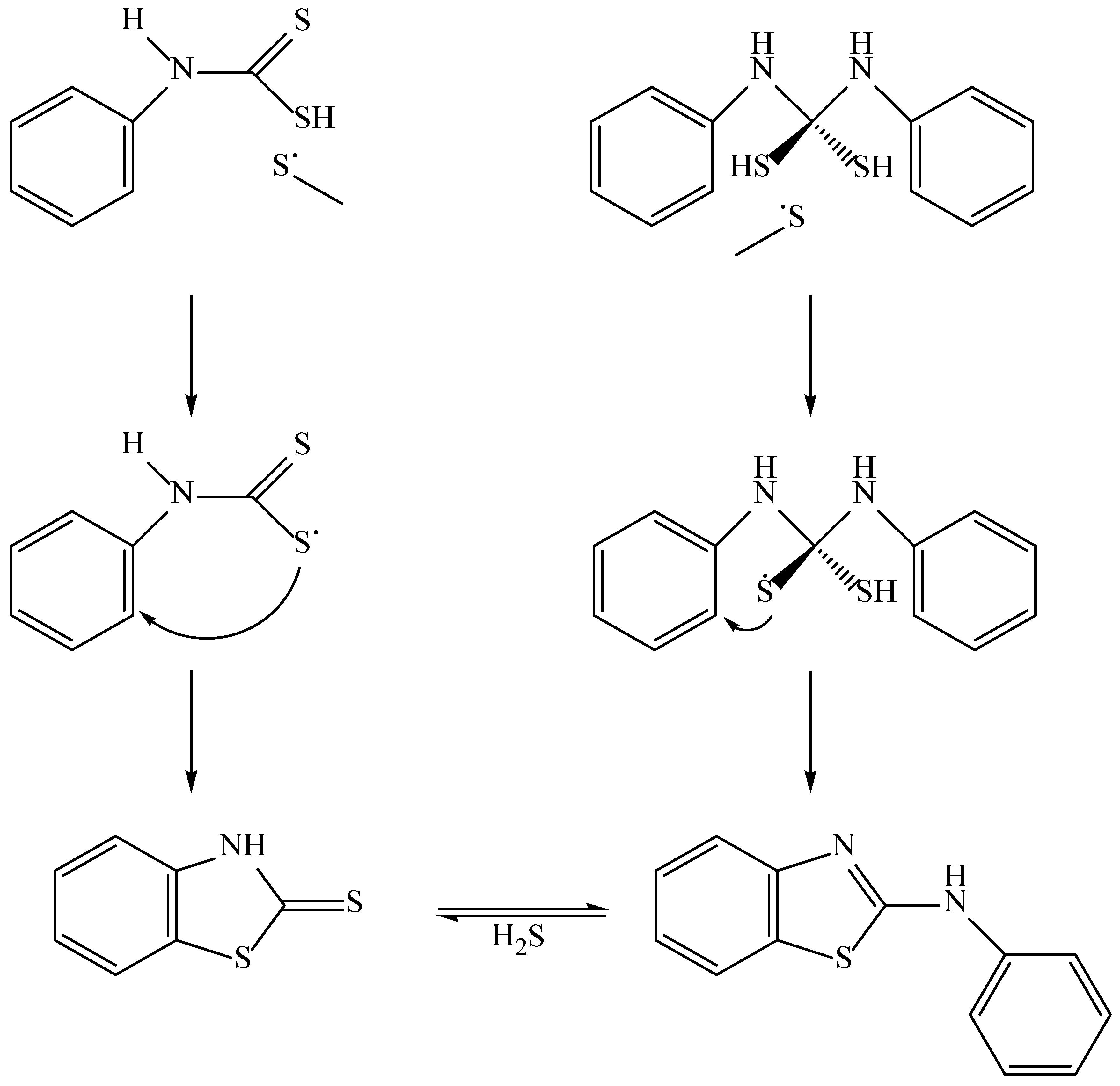
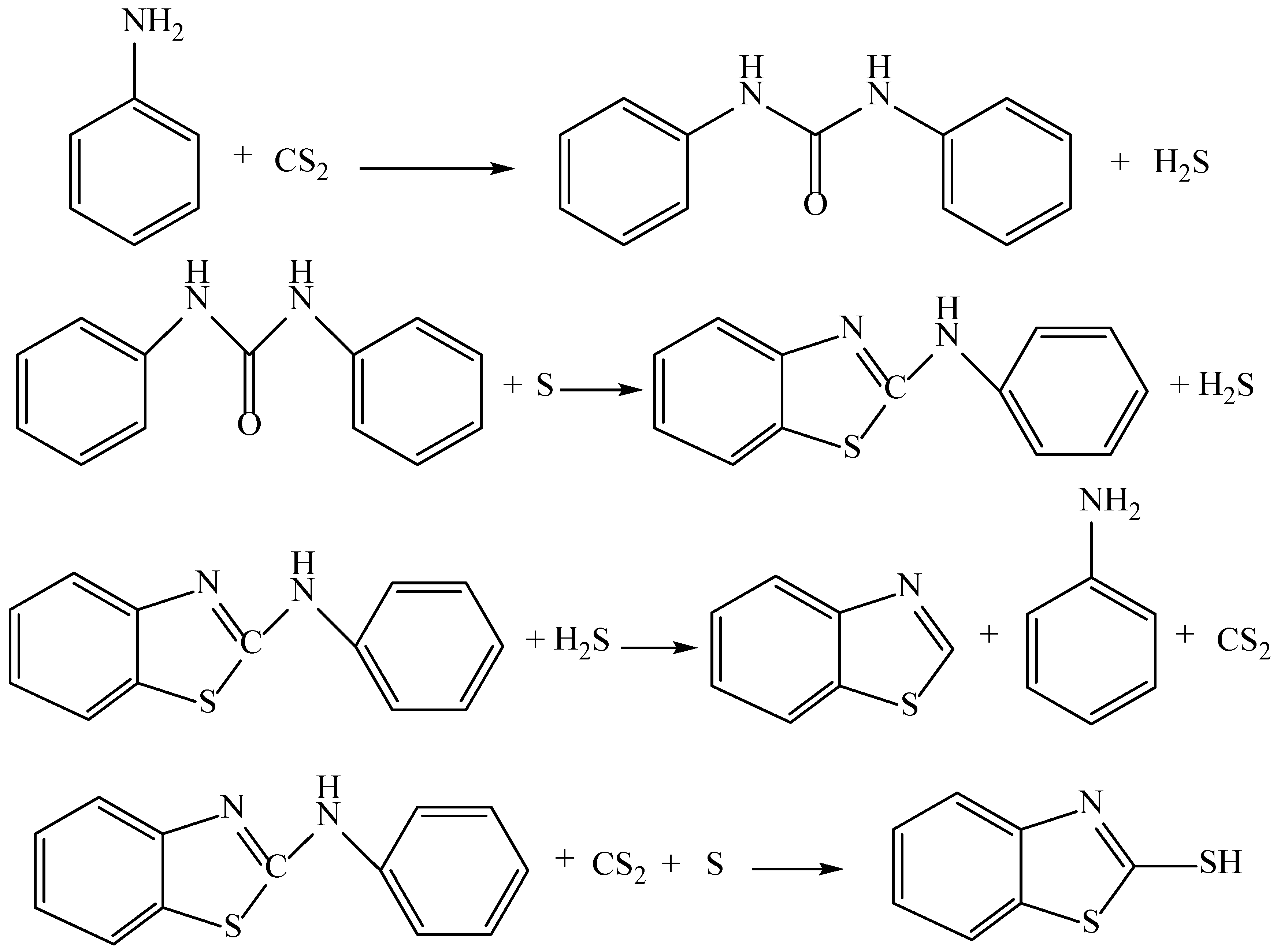
2.1. Quantum Mechanical Research
2.2. Experimental Methods
3. Simulation of Preliminary Work
3.1. Physical Property Data Acquisition
3.2. Module Process Construction in Aspen Plus
- The process of MBT should occur in a steady state [40].
- Temperature should be distributed evenly in the reactor; there should be no temperature gradient.
- The influence of H2S in the reaction should be ignored.
- Undesirable side reactions should be omitted.
- A reactor and an exchanger module should be used to simulate the cooling of the kettle.
4. Simulation Results and Analysis
4.1. Reaction Model
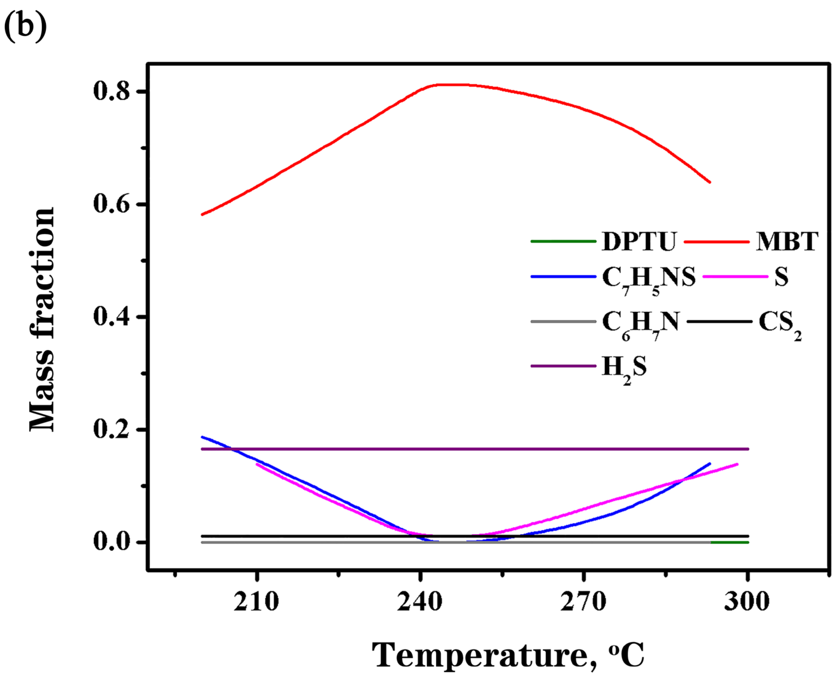
4.1.1. Influence of Material Feed Ratio
4.1.2. Influence of Pressure and Temperature
4.2. Condensation Model
4.2.1. Influence of Pressure
4.2.2. Influence of Temperature
4.3. Extraction Model
4.3.1. Influence of Toluene Feed
4.3.2. Influence of Temperature
5. Design of Green Synthesis Process
6. Conclusions
7. Discussion
Author Contributions
Funding
Data Availability Statement
Acknowledgments
Conflicts of Interest
References
- Sebrell, L.B.; Boord, C.E. The preparation and properties of 1-mercapto-benzothiazole, its homologs and derivatives. J. Am. Chem. Soc. 1923, 45, 2390–2399. [Google Scholar] [CrossRef]
- López-Manchado, M.A.; Arroyo, M.; Herrero, B.; Biagiotti, J. Vulcanization kinetics of natural rubber-organoclay nanocomposites. J. Appl. Polym. Sci. 2003, 89, 1–15. [Google Scholar] [CrossRef]
- Chen, H.; Wang, C.; Hu, C.; Zhang, J.; Gao, S.; Lu, W.; Chen, L. Vulcanization accelerator enabled sulfurized carbon materials for high capacity and high stability of lithium–sulfur batteries. J. Mater. Chem. A 2015, 3, 1392–1395. [Google Scholar] [CrossRef]
- Ghosh, P.; Katare, S.; Patkar, P.; Caruthers, J.M.; Venkatasubramanian, V.; Walker, K.A. Sulfur vulcanization of natural rubber for benzothiazole accelerated formulations: From reaction mechanisms to a rational kinetic model. Rubber Chem. Technol. 2003, 76, 592–693. [Google Scholar] [CrossRef]
- Krejsa, M.R.; Koenig, J.L. A review of sulfur crosslinking fundamentals for accelerated and unaccelerated vulcanization. Rubber Chem. Technol. 1993, 66, 376–410. [Google Scholar] [CrossRef]
- Aprem, A.S.; Joseph, K.; Thomas, S. Recent developments in crosslinking of elastomers. Rubber Chem. Technol. 2005, 78, 458–488. [Google Scholar] [CrossRef]
- Ohsawa, M.; Suëtaka, W. Spectro-electrochemical studies of the corrosion inhibition of copper by mercaptobenzothiazole. Corros. Sci. 1979, 19, 709–722. [Google Scholar] [CrossRef]
- Eduok, U.; Faye, O.; Szpunar, J.; Khaled, M. CS2 mediated synthesis of corrosion-inhibiting mercaptobenzothiazole molecule for industrial zinc: Experimental studies and molecular dynamic simulations. J. Mol. Liq. 2021, 324, 115129. [Google Scholar] [CrossRef]
- Umoren, S.A.; Eduok, U.M. Application of carbohydrate polymers as corrosion inhibitors for metal substrates in different media: A review. Carbohydr. Polym. 2016, 140, 314–341. [Google Scholar] [CrossRef]
- El-Sayed, A.R.; El-Hendawy, M.M.; El-Mahdy, M.S.; Hassan, F.S.M.; Mohamed, A.E. The inhibitive action of 2-mercaptobenzothiazole on the porosity of corrosion film formed on aluminum and aluminum-titanium alloys in hydrochloric acid solution. Sci. Rep. 2023, 13, 4812. [Google Scholar] [CrossRef]
- Chiter, F.; Costa, D.; Maurice, V.; Marcus, P. DFT investigation of 2-mercaptobenzothiazole adsorption on model oxidized copper surfaces and relationship with corrosion inhibition. Appl. Surf. Sci. 2021, 537, 147802. [Google Scholar] [CrossRef]
- Wu, X.; Wiame, F.; Maurice, V.; Marcus, P. 2-Mercaptobenzothiazole corrosion inhibitor deposited at ultra-low pressure on model copper surfaces. Corros. Sci. 2020, 166, 108464. [Google Scholar] [CrossRef]
- Wu, F.L.; Hussein, W.M.; Ross, B.P.; McGeary, R.P. 2-Mercaptobenzothiazole and its derivatives: Syntheses, reactions and applications. Curr. Org. Chem. 2012, 16, 1555–1580. [Google Scholar] [CrossRef]
- Bera, B.C.; Chakrabartty, M.M. Spectrophotometric determination of selenium with 2-mercaptobenzothiazole. Analyst 1968, 93, 50–55. [Google Scholar] [CrossRef]
- Majumdar, A.K.; Chakrabartty, M.M. Spectrophotometric determination of palladium: A comparative study of 2-mercaptobenzothiazole and 2-mercaptobenzimidazole as analytical reagents. Anal. Chim. Acta 1959, 20, 379–385. [Google Scholar] [CrossRef]
- Politanskaya, L.; Duan, Z.; Bagryanskaya, I.; Eltsov, I.; Tretyakov, E.; Xi, C. Highly efficient synthesis of polyfluorinated 2-mercaptobenzothiazole derivatives. J. Fluor. Chem. 2018, 212, 130–136. [Google Scholar] [CrossRef]
- Kuznetsova, A.; Domingues, P.M.; Silva, T.; Almeida, A.; Zheludkevich, M.L.; Tedim, J.; Ferreira, M.G.S.; Cunha, A. Antimicrobial activity of 2-mercaptobenzothiazole released from environmentally friendly nanostructured layered double hydroxides. J. Appl. Microbiol. 2017, 122, 1207–1218. [Google Scholar] [CrossRef]
- Harizi, A.; Romdhane, A.; Mighri, Z. Synthesis and reactivity of benzoxa (thia) zol-2-thiones: New route to 2-alkylthiobenzoxa (thia) zoles. Tetrahedron Lett. 2000, 41, 5833–5835. [Google Scholar] [CrossRef]
- Ballabeni, M.; Ballini, R.; Bigi, F.; Maggi, R.; Parrini, M.; Predieri, G.; Sartori, G. Synthesis of Symmetrical N, N’-Disubstituted Thioureas and Heterocyclic Thiones from Amines and CS2 over a zno/Al2O3 Composite as Heterogeneous and Reusable Catalyst. J. Org. Chem. 1999, 64, 1029–1032. [Google Scholar] [CrossRef]
- Sugimoto, H.; Makino, I.; Hirai, K. Activation of dithiocarbamate by 2-halothiazolium salts. J. Org. Chem. 1988, 53, 2263–2267. [Google Scholar] [CrossRef]
- Teppema, J.; Sebrell, L.B. Researches on thiazoles. Ii. The nitration and reduction of 2-mercaptobenzothiazole and its substituted derivatives. J. Am. Chem. Soc. 1927, 49, 1779–1785. [Google Scholar] [CrossRef]
- Teppema, J.; Sebrell, L.B. Researches on mercaptothiazoles. J. Am. Chem. Soc. 1927, 49, 1748–1758. [Google Scholar] [CrossRef]
- Dunbrook, R.F.; Zimmermann, M.H. A Method for the Preparation of 2-Mercaptobenzothiazole1. J. Am. Chem. Soc. 1934, 56, 2734–2736. [Google Scholar] [CrossRef]
- Kelly, W.J. Process of Manufacturing Mercapto-Benzo-Thiazole. US Patent 1,631,871, 14 June 1927. [Google Scholar]
- Cobb, A.; Peemans, R.; Coenegrachts, P.; Nieschalk, J.; Meert, H.; De Witte, P.; Van der Steen, P.; Van der Aa, M.; Van Hecke, W.; Ceuterick, W.; et al. Acid Catalysed Process for Preparing 2-Mercaptobenzothiazole and Derivatives Thereof. WO Patent WO1997046544 A1, 11 December 1997. [Google Scholar]
- Krizanovic, K.; Svaty Jur, S.K.; Muntagova, L.; Bratislava, S.K. Method of Obtaining 2-Mercaptobenzothiazole. WO Patent WO2005/061471(A1), 7 July 2005. [Google Scholar]
- Isaacs, N.S.; Ismail, F.; Hilton, M.J.; Coulson, M. Mechanism of formation of benzothiazole-2-thiol. J. Phys. Org. Chem. 1998, 11, 1–9. [Google Scholar] [CrossRef]
- Koyama, D.; Orr-Ewing, A.J. Triplet state formation and quenching dynamics of 2-mercaptobenzothiazole in solution. Phys. Chem. Chem. Phys. 2016, 18, 26224–26235. [Google Scholar] [CrossRef] [PubMed]
- Mina, G.L.; Pennsville, N.J.; Erjavec, J.; Phillipsburg, N.J. Process For 2-Mercaptobenzothiazole. US Patent 3,975,394, 17 August 1976. [Google Scholar]
- Chipinda, I.; Hettick, J.M.; Simoyi, R.H.; Siegel, P.D. Oxidation of 2-mercaptobenzothiazole in latex gloves and its possible haptenation pathway. Chem. Res. Toxicol. 2007, 20, 1084–1092. [Google Scholar] [CrossRef] [PubMed]
- Połomka, J.; Jędrczak, A. Efficiency of waste processing in the MBT system. Waste Manag. 2019, 96, 9–14. [Google Scholar] [CrossRef]
- Umamaheswari, B.; Rajaram, R. Microaerobic degradation of 2-Mercaptobenzothiazole present in industrial wastewater. J. Hazard. Mater. 2017, 321, 773–781. [Google Scholar] [CrossRef]
- Zhao, J.; Cheng, X.; Wang, L.; Wang, J.; Song, C. Hydrogenation of tar residue derived from the synthesis of rubber vulcanization accelerator 2-mercaptobenzothiazole. Asia-Pac. J. Chem. Eng. 2017, 12, 400–405. [Google Scholar] [CrossRef]
- Juthiga, V.V.K.V.; Boddapati, S.N.M.; Balha, M.; Tamminana, R. Comprehensive review on green methods: Synthesis of benzothiazoles. Results Chem. 2025, 15, 102212. [Google Scholar] [CrossRef]
- Rai, A.K.; Singh, R.; Singh, K.N.; Singh, V. FTIR, Raman spectra and ab initio calculations of 2-mercaptobenzothiazole. Spectrochim. Acta Part A Mol. Biomol. Spectrosc. 2006, 63, 483–490. [Google Scholar] [CrossRef] [PubMed]
- Ahmadi, S.; Khormali, A. Optimization of the corrosion inhibition performance of 2-mercaptobenzothiazole for carbon steel in HCl media using response surface methodology. Fuel 2024, 357, 129783. [Google Scholar] [CrossRef]
- Hu, Y.; Wang, J.; Tan, C.K.; Sun, C.; Liu, H. Coupling detailed radiation model with process simulation in Aspen Plus: A case study on fluidized bed combustor. Appl. Energy 2018, 227, 168–179. [Google Scholar] [CrossRef]
- Wooley, R.J.; Putsche, V. Development of an ASPEN PLUS Physical Property Database for Biofuels Components; National Renewable Energy Lab (NREL): Golden, CO, USA, 1996. [Google Scholar]
- Roux, M.V.; Temprado, M.; Jimenez, P.; Foces-Foces, C.; Notario, R.; Parameswar, A.R.; Demchenko, A.V.; Chickos, J.S.; Deakyne, C.A.; Liebman, J.F. Experimental and theoretical study of the structures and enthalpies of formation of 3 H-1, 3-benzoxazole-2-thione, 3 h-1, 3-benzothiazole-2-thione, and their tautomers. J. Phys. Chem. A 2010, 114, 6336–6341. [Google Scholar] [CrossRef] [PubMed]
- Motard, R.L.; Shacham, M.; Rosen, E.M. Steady state chemical process simulation. AIChE J. 1975, 21, 417–436. [Google Scholar] [CrossRef]
















| Experiment Number | C6H7N:CS2:S | MBT Yield, % |
|---|---|---|
| 1 | 1:1.25:1.05 | 91.28 |
| 2 | 1:1.25:1.10 | 91.84 |
| 3 | 1:1.25:1.12 | 92.25 |
| 4 | 1:1.25:1.14 | 92.88 |
| 5 | 1:1.25:1.16 | 93.12 |
| 6 | 1:1.25:1.18 | 93.06 |
| 7 | 1:1.25:1.20 | 92.60 |
| 8 | 1:1.25:1.22 | 92.28 |
| 9 | 1:1.25:1.25 | 92.26 |
| Extraction Agent | MBT, 20 °C (g/100 g) | By-Products, 20 °C (g/100 g) |
|---|---|---|
| Isopropanol | 7.2 | 7.5 |
| 1-butanol | 12.4 | 22 |
| Cyclohexanol | 18 | 20 |
| Ethyl acetate | 11.4 | 18 |
| Acetic acid | 15.82 | 18 |
| Carbon disulfide | 0 | 18 |
| Aniline | 26 | 0 |
| Toluene | 0.7 | 4.6 |
| 1,2-xylene | 0.007 | 2.2 |
| Extraction Method | Mass of Crude MBT, kg | Volume of Toluene, L | Purity of MBT, % |
|---|---|---|---|
| Solid–liquid | 500 | 2000 | 88.3 |
| 500 | 2000 | 87.5 | |
| Liquid–liquid | 500 | 2000 | 97.6 |
| 500 | 2000 | 98.2 |
| Crude MBT:C7H8 | MBT Purity, % | MBT Yield, % |
|---|---|---|
| 5:1 | 96.54 | 88.6 |
| 6:1 | 97.22 | 88.05 |
| 7:1 | 98.95 | 87.65 |
| 8:1 | 99.15 | 87.0 |
| 9:1 | 99.28 | 86.0 |
| Feed Temperature, °C | Extraction Temperature, °C | MBT Purity, % | MBT Yield, % |
|---|---|---|---|
| 10 | 20 | 96.2 | 89.1 |
| 10 | 40 | 97.2 | 88.4 |
| 10 | 60 | 99.0 | 85 |
| 15 | 20 | 96.6 | 88.9 |
| 15 | 40 | 97.9 | 88.2 |
| 15 | 60 | 99.3 | 84.9 |
| 20 | 20 | 97.8 | 88.1 |
| 20 | 40 | 98.0 | 87.8 |
| 20 | 60 | 99.5 | 84.5 |
| 30 | 20 | 97.8 | 88.0 |
| 30 | 40 | 98.1 | 87.6 |
| 30 | 60 | 99.4 | 84.4 |
| 40 | 20 | 98.0 | 87.9 |
| 40 | 40 | 98.1 | 87.6 |
| 40 | 60 | 99.9 | 84.4 |
| Pressure | Mass Fraction of CS2, % | Mass Fraction of H2S, % | ||
|---|---|---|---|---|
| Stream 5 | Stream 10 | Stream 5 | Stream 10 | |
| 100 kPa | 4.6% | 62% | 95% | 13% |
| 120 kPa | 3.9% | 70% | 96% | 12% |
| Key Condition Parameters | Materials and Equipment | Simulation Results | Actual Parameters |
|---|---|---|---|
| Quality ratio | S:CS2:C6H7N | 6:17:20 | 6:17:17 |
| Temperature °C | Reaction kettle | 240 | <265 |
| Condensation | −30 | −27 | |
| Extraction kettle | 40 | <60 | |
| Pressure MPa | Reaction kettle | 98.69 | 96.7 |
| Condensation | 1 | 1 |
Disclaimer/Publisher’s Note: The statements, opinions and data contained in all publications are solely those of the individual author(s) and contributor(s) and not of MDPI and/or the editor(s). MDPI and/or the editor(s) disclaim responsibility for any injury to people or property resulting from any ideas, methods, instructions or products referred to in the content. |
© 2025 by the authors. Licensee MDPI, Basel, Switzerland. This article is an open access article distributed under the terms and conditions of the Creative Commons Attribution (CC BY) license (https://creativecommons.org/licenses/by/4.0/).
Share and Cite
Zhang, Y.; Zhang, Q.; Li, X.; Dong, R.; Zhang, X.; Sun, Q. Exploring the Green Synthesis Process of 2-Mercaptobenzothiazole for Industrial Production. Processes 2025, 13, 3071. https://doi.org/10.3390/pr13103071
Zhang Y, Zhang Q, Li X, Dong R, Zhang X, Sun Q. Exploring the Green Synthesis Process of 2-Mercaptobenzothiazole for Industrial Production. Processes. 2025; 13(10):3071. https://doi.org/10.3390/pr13103071
Chicago/Turabian StyleZhang, Yan, Qi Zhang, Xiansuo Li, Ruiguo Dong, Xiaolai Zhang, and Qinggang Sun. 2025. "Exploring the Green Synthesis Process of 2-Mercaptobenzothiazole for Industrial Production" Processes 13, no. 10: 3071. https://doi.org/10.3390/pr13103071
APA StyleZhang, Y., Zhang, Q., Li, X., Dong, R., Zhang, X., & Sun, Q. (2025). Exploring the Green Synthesis Process of 2-Mercaptobenzothiazole for Industrial Production. Processes, 13(10), 3071. https://doi.org/10.3390/pr13103071

