Study on the Energy Evolution and Damage Mechanism of Fractured Rock Mass Under Stress–Seepage Coupling
Abstract
1. Introduction
2. Material and Methods
2.1. Sample Preparation
2.2. Test Equipment
2.3. Experimental Procedures
- (1)
- The test piece was installed, and the test piece was clamped with a heat-shrinkable pipe. The heat-shrinkable pipe was uniformly attached to the sample by an electric blow, and the upper and lower sections were clamped with a metal hoop.
- (2)
- The test conditions were adjusted, and the axial pressure and confining pressure were gradually applied to the hydrostatic pressure state of 5 MPa. Then, the seepage pressure was gradually applied to 1 MPa, and the axial pressure was always greater than the confining pressure during the loading process.
- (3)
- After the stress loading, the seepage pressure and confining pressure were stable. The loading speed was 0.025 mm/min until the specimen was destroyed.
- (4)
- By repeating the above steps, the triaxial seepage tests under confining pressures of 7.5 MPa and 10 MPa and seepage pressures of 2 MPa and 3 MPa were carried out.
2.4. Energy Evolution Theory in Triaxial Compression
3. Results and Analysis
3.1. Stress–Strain Behavior
3.2. Energy Evolution Characteristics
3.2.1. Energy Evolution Law
3.2.2. Energy Distribution Law
4. Discussion
4.1. Damage Characteristics
4.2. Damage Mechanism
5. Conclusions
- (1)
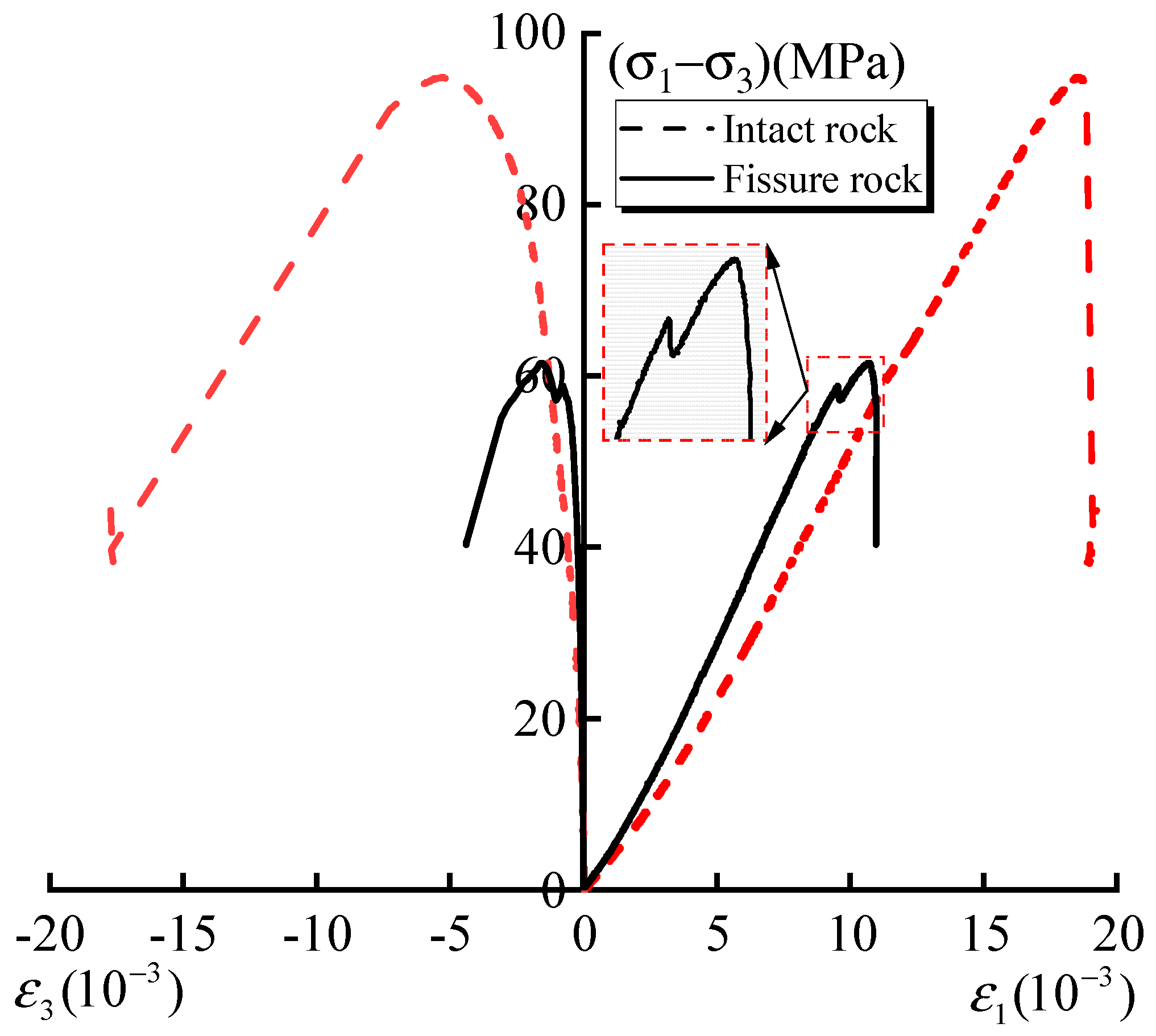
- Under the coupling effect of stress and seepage pressure, due to the special fracture structure of intermittent fractured rock, the main crack at the tip of the crack is not fully developed with the crack to form a shear interlocking effect. The stress–strain curve is ‘bimodal’, and stress concentration occurs at both ends of the crack.
- (2)
- The energy evolution law of intermittent fractured rock is basically the same under different confining pressures and seepage pressures. With an increase in confining pressure, the energy storage limit of rock samples increases, and more dissipation energy is generated when the samples are destroyed. An increase in seepage pressure will aggravate the crushing degree of rock samples, reduce the energy storage limit of rock, and cause an increase in dissipation energy.
- (3)
- Under different confining pressure and seepage pressure conditions, the energy consumption ratio curve of rock decreases first and then increases, which is approximately a ‘concave’ evolution trend. The lowest point of the energy consumption ratio moves backward with an increase in confining pressure and advances with an increase in seepage pressure.
- (4)
- Combined with previous studies, a stress–damage constitutive model based on dissipation energy and residual stress is modified. By comparing with the experimental data, it can be seen that the proposed model can reasonably explain the whole process of damage evolution of intermittent fractured rock under the action of stress seepage pressure.
- (5)
- An increase in confining pressure can increase the friction force of particles inside a sample so that the failure crack morphology of the sample changes from tensile crack to shear crack. An increase in seepage pressure will promote the development of cracks into tensile cracks, which will eventually lead to tensile failure.
Author Contributions
Funding
Data Availability Statement
Conflicts of Interest
References
- Jia, Z.; Xie, H.; Zhang, R.; Li, C.; Wang, M.; Gao, M.; Zhang, Z.; Zhang, Z. Acoustic Emission Characteristics and Damage Evolution of Coal at Different Depths Under Triaxial Compression. Rock Mech. Rock Eng. 2020, 53, 2063–2076. [Google Scholar] [CrossRef]
- Zhang, X.; Tang, J.; Pan, Y.; Yu, H. Experimental study on intensity and energy evolution of deep coal and gas outburst. Fuel. 2022, 324, 124484. [Google Scholar] [CrossRef]
- Skrzypkowski, K.; Zagórski, K.; Zagórska, A. Determination of the Extent of the rock destruction Zones around a gasification Channel on the basis of Strength Tests of Sandstone and Claystone Samples Heated at High Temperatures up to 1200 C and Exposed to Water. Energies 2021, 14, 6464. [Google Scholar] [CrossRef]
- Xiao, P.; Li, D.; Zhao, G.; Liu, H. New criterion for the spalling failure of deep rock engineering based on energy release. Int. J. Rock Mech. Min. Sci. 2021, 148, 104943. [Google Scholar] [CrossRef]
- Li, K.S.; Luan, Y.; Yang, S.; Liu, C. An experimental investigation on the failure behavior of sandstone with filled fissure under triaxial multilevel cyclic loading. Fatigue Fract. Eng. Mater. Struct. 2024, 47, 3375–3391. [Google Scholar] [CrossRef]
- Liu, X.; Wang, X.; Wang, E.; Kong, X.; Zhang, C.; Liu, S.; Zhao, E. Effects of gas pressure on bursting liability of coal under uniaxial conditions. J. Nat. Gas Sci. Eng. 2017, 39, 90–100. [Google Scholar] [CrossRef]
- Xie, H.; Li, L.; Peng, R.; Jv, Y. Energy analysis and criteria for structural failure of rocks. J. Rock Mech. Geotech. Eng. 2009, 1, 11–20. [Google Scholar] [CrossRef]
- Chen, L. Reaserch on the Energy System of Deep Granite Considering the Stored Energy and Dissipated Energy Characteristics. Ph.D. Thesis, University of Science and Technology Beijing, Beijing, China, 2019. [Google Scholar]
- Gao, L.; Gao, F.; Zhang, Z.; Xing, Y. Research on the energy evolution characteristics and the failure intensity of rocks. Int. J. Min. Sci. Technol. 2020, 30, 705–713. [Google Scholar] [CrossRef]
- Zhang, Y.; Feng, X.; Zhang, X.; Wang, Z.; Sharifzadeh, M.; Yang, C. A novel application of strain energy for fracturing process analysis of hard rock under true triaxial compression. Rock Mech. Rock Eng. 2019, 52, 4257–4272. [Google Scholar] [CrossRef]
- Li, T.; Yue, Z.; Li, J.; Chen, G.; Li, Q. Effect of confining pressure strength on the characteristics of energy evolution and fatigue fracture of the coal-rock structural body. Fatigue Fract. Eng. Mater. Struct. 2024, 47, 709–727. [Google Scholar] [CrossRef]
- Du, X.; Xue, J.; Shi, Y.; Cao, C.; Shu, C.; Li, K. Triaxial mechanical behaviour and energy conversion characteristics of deep coal bodies under confining pressure. Energy 2023, 266, 126443. [Google Scholar] [CrossRef]
- Li, S.; Wang, Z.; Wang, J.; Feng, C.; Li, A.; Wang, W. Failure characteristics and brittleness index establishment based on marble energy evolution mechanism. Geomech. Energy Environ. 2023, 36, 100504. [Google Scholar] [CrossRef]
- Peng, R.; Ju, Y.; Wang, J.; Xie, H.; Gao, F.; Mao, L. Energy dissipation and release during coal failure under conventional triaxial compression. Rock Mech. Rock Eng. 2015, 48, 509–526. [Google Scholar] [CrossRef]
- Miao, S.; Liu, Z.; Zhao, X.; Ma, L.; Zheng, Y.; Xia, D. Plastic and damage energy dissipation characteristics and damage evolution of Beishan granite under triaxial cyclic loading. Int. J. Rock Mech. Min. Sci. 2024, 174, 105644. [Google Scholar] [CrossRef]
- Wang, C.; He, B.; Hou, X.; Li, J.; Liu, L. Stress–Energy Mechanism for Rock Failure Evolution Based on Damage Mechanics in Hard Rock. Rock Mech. Rock Eng. 2020, 53, 1021–1037. [Google Scholar] [CrossRef]
- Wang, Y.; Cao, Z.; Mao, T.; Li, P.; Cai, M. Investigation of fatigue failure and energy characteristics of rock exposed to complicated stress disturbance paths: Cyclic stress amplitude effect. Fatigue Fract. Eng. Mater. Struct. 2023, 46, 2697–2713. [Google Scholar] [CrossRef]
- Wu, Y.; Wang, Y.; Zhou, B.; Li, C.; Zhu, Y.; Sun, C.; Tian, Z. Study on the Deformation and Energy Evolution of Skarn With Marble Band of Different Orientations Under Cyclic Loading: A Lab-Scale Study. Fatigue Fract. Eng. Mater. Struct. 2024, 47, 4696–4713. [Google Scholar] [CrossRef]
- Chu, Y.; Wang, M.; Song, S.; Zhang, J.; Zhang, D.; Liu, F. Experimental study on the mechanical properties, permeability characteristics, and energy evolution of gas-containing anthracite coal under different loading–unloading speeds. Phys. Fluids 2022, 34, 126608. [Google Scholar] [CrossRef]
- Zhou, H.; Wang, X.; Zhang, L.; Zhong, J.; Wang, Z.; Rong, T. Permeability evolution of deep coal samples subjected to energy-based damage variable. J. Nat. Gas Sci. Eng. 2020, 73, 103070. [Google Scholar] [CrossRef]
- Fu, J.; Li, B.; Ren, C.; Li, J.; Wang, Z.; Wu, X.; Jia, L. Coupling between Damage Evolution and Permeability Model with the Adsorption Effect for Coal under Gas Extraction and Coal Mining Conditions. Energy Fuels 2022, 36, 10813–10831. [Google Scholar] [CrossRef]
- Wang, Z.; Li, B.; Ren, C.; Li, J.; Cheng, Q.; Wu, X. Energy-Driven Damage Constitutive Model of Water-Bearing Coal Under Triaxial Compression. Rock Mech. Rock Eng. 2024, 57, 1309–1328. [Google Scholar] [CrossRef]
- Liu, D.; Guo, Y.; Li, J.; Lin, K. Damage constitutive model for layered yellow sandstone based on dissipative energy evolution and its verification. Chin. J. Eng. 2024, 46, 784–799. [Google Scholar] [CrossRef]
- Guo, J.; Lu, X.; Yang, Q.; Jiang, J.; Chen, J.; Jiang, L. Establishment of rock strength criteria based on the elastic strain energy and its validation. Chin. J. Rock Mech. Eng. 2021, 40, 3147–3155. [Google Scholar] [CrossRef]
- Yu, H.; Liu, S.; Jia, H.; Wang, S. Mechanical response and energy dissipation mechanism of closed single fractured sandstone under different confining pressures. J. Min. Saf. Eng. 2020, 37, 385–393. [Google Scholar] [CrossRef]
- Wang, Z.; Zhao, W.; Pan, K. Analysis of fracture evolution characteristics of coplanar double fracture rock under uniaxial compression. Geotech. Geol. Eng. 2020, 38, 343–352. [Google Scholar] [CrossRef]
- Wang, G.; Cao, T.; Sun, F.; Wen, X.; Zhang, L. Study on the Meso-Energy Damage Evolution Mechanism of Single-Joint Sandstone under Uniaxial and Biaxial Compression. Adv. Mater. Sci. Eng. 2021, 2021, 5245402. [Google Scholar] [CrossRef]
- Wong, L.N.Y.; Li, H. Numerical study on coalescence of two pre-existing coplanar flaws in rock. Int. J. Solids Struct. 2013, 50, 3685–3706. [Google Scholar] [CrossRef]
- Zhang, H.; Lu, C.; Liu, B.; Liu, Y.; Zhang, N.; Wang, H. Numerical investigation on crack development and energy evolution of stressed coal-rock combination. Int. J. Rock Mech. Min. Sci. 2020, 133, 104417. [Google Scholar] [CrossRef]
- Chen, W.; Konietzky, H.; Tan, X.; Frühwirt, T. Pre-failure damage analysis for brittle rocks under triaxial compression. Comput. Geotech. 2016, 74, 45–55. [Google Scholar] [CrossRef]
- Du, Y.; Li, T.; Li, W.; Ren, Y.; Wang, G.; He, P. Experimental study of mechanical and permeability behaviors during the failure of sandstone containing two preexisting fissures under triaxial compression. Rock Mech. Rock Eng. 2020, 53, 3673–3697. [Google Scholar] [CrossRef]
- Zhu, W.; Gao, X.; Zhang, B.; Wu, Q. Laws of changes in the energy of gas hydrate-bearing coals under different confining pressures and saturation. Coal Geol. Explor. 2024, 52, 4. [Google Scholar] [CrossRef]
- Li, B.; Zhang, Y.; Reng, C.; Yang, K.; Li, J.; Xu, J. Study on damage-energy evolution characteristics of coal under triaxial stress. China Saf. Sci. J. 2019, 29, 98–104. [Google Scholar] [CrossRef]
- Zhang, A.; Xie, H.; Zhang, R.; Gao, M.; Xie, J.; Jia, Z.; Ren, L.; Zhang, Z. Mechanical properties and energy characteristics of coal at different depths under cyclic triaxial loading and unloading. Int. J. Rock Mech. Min. Sci. 2023, 161, 105271. [Google Scholar] [CrossRef]
- Wang, Y.; Gao, S.; Li, C.; Han, J. Energy dissipation and damage evolution for dynamic fracture of marble subjected to freeze-thaw and multiple level compressive fatigue loading. Int. J. Fatigue 2021, 142, 105927. [Google Scholar] [CrossRef]
- Gong, F.; Zhang, P.; Luo, S.; Li, J.; Huang, D. Theoretical damage characterisation and damage evolution process of intact rocks based on linear energy dissipation law under uniaxial compression. Int. J. Rock Mech. Min. Sci. 2021, 146, 104858. [Google Scholar] [CrossRef]
- Chen, Z.; He, C.; Ma, G.; Xu, G.; Ma, C. Energy Damage Evolution Mechanism of Rock and Its Application to Brittleness Evaluation. Rock Mech. Rock Eng. 2019, 52, 1265–1274. [Google Scholar] [CrossRef]
- Wang, L.; Liu, H.; Chen, L.; Liu, H.; Li, S.; Zhu, C.; Fan, H. Study on three-dimensional mesoscopic evolution characteristics and disturbance factors of coal open fractures. Coal Sci. Technol. 2024, 52, 71–83. [Google Scholar] [CrossRef]
- Chen, M.; Zang, C.; Ding, Z.; Zhou, G.; Jiang, B.; Zhang, G.; Zhang, C. Effects of confining pressure on deformation failure behavior of jointed rock. J. Cent. South Univ. 2022, 29, 1305–1319. [Google Scholar] [CrossRef]
- Ohtsu, M. Acoustic Emission (AE) and Related Non-Destructive Evaluation (NDE) Techniques in the Fracture Mechanics of Concrete; Woodhead Publishing: Cambridge, UK, 2021. [Google Scholar]
























| Test Scheme | Fracture Angle | Loading Speed | Confining Pressure (MPa) | Seepage Pressure (MPa) |
|---|---|---|---|---|
| 1 | 50° | 0.025 mm/min | 5.0 | 1.0 |
| 2 | 2.0 | |||
| 3 | 3.0 | |||
| 4 | 50° | 0.025 mm/min | 7.5 | 1.0 |
| 5 | 2.0 | |||
| 6 | 3.0 | |||
| 7 | 50° | 0.025 mm/min | 10.0 | 1.0 |
| 8 | 2.0 | |||
| 9 | 3.0 |
| Test Scheme | Fracture Angle | Confining Pressure (MPa) | Seepage Pressure (MPa) | The Inflection Point of the Energy Consumption Ratio |
|---|---|---|---|---|
| 1 | 50° | 5.0 | 1.0 | 8.06 × 10−3 |
| 2 | 2.0 | 7.63 × 10−3 | ||
| 3 | 3.0 | 7.12 × 10−3 | ||
| 4 | 50° | 5 | 2.0 | 7.63 × 10−3 |
| 5 | 7.5 | 7.79 × 10−3 | ||
| 6 | 10 | 8.52 × 10−3 |
Disclaimer/Publisher’s Note: The statements, opinions and data contained in all publications are solely those of the individual author(s) and contributor(s) and not of MDPI and/or the editor(s). MDPI and/or the editor(s) disclaim responsibility for any injury to people or property resulting from any ideas, methods, instructions or products referred to in the content. |
© 2025 by the authors. Licensee MDPI, Basel, Switzerland. This article is an open access article distributed under the terms and conditions of the Creative Commons Attribution (CC BY) license (https://creativecommons.org/licenses/by/4.0/).
Share and Cite
Shuang, H.; Liu, X.; Zhou, B.; Cheng, L.; Lin, H.; Hu, B.; Liu, Z. Study on the Energy Evolution and Damage Mechanism of Fractured Rock Mass Under Stress–Seepage Coupling. Processes 2025, 13, 270. https://doi.org/10.3390/pr13010270
Shuang H, Liu X, Zhou B, Cheng L, Lin H, Hu B, Liu Z. Study on the Energy Evolution and Damage Mechanism of Fractured Rock Mass Under Stress–Seepage Coupling. Processes. 2025; 13(1):270. https://doi.org/10.3390/pr13010270
Chicago/Turabian StyleShuang, Haiqing, Xiangxiang Liu, Bin Zhou, Liang Cheng, Haifei Lin, Biao Hu, and Zijia Liu. 2025. "Study on the Energy Evolution and Damage Mechanism of Fractured Rock Mass Under Stress–Seepage Coupling" Processes 13, no. 1: 270. https://doi.org/10.3390/pr13010270
APA StyleShuang, H., Liu, X., Zhou, B., Cheng, L., Lin, H., Hu, B., & Liu, Z. (2025). Study on the Energy Evolution and Damage Mechanism of Fractured Rock Mass Under Stress–Seepage Coupling. Processes, 13(1), 270. https://doi.org/10.3390/pr13010270
