A Novel Nonsingular Fast Terminal Sliding Mode Control with Sliding Mode Disturbance Observer for Permanent Magnet Synchronous Motor Servo Control
Abstract
1. Introduction
- (1)
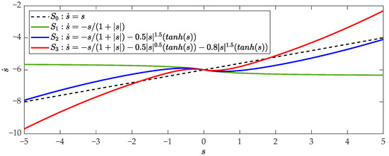
- To reduce the chattering problem in the traditional NFTSMC, an NSMRL is designed for the N-NFTSMC. The NSMRL with a smooth switch function eliminates chattering behavior effectively.
- (2)
- An SDOB is proposed to estimate the unknown disturbances of the PMSM system. The N-NFTSMC with the SDOB is designed to improve the anti-disturbance performance of the system.
- (3)
- Simulation and experimental verification are conducted to prove the effectiveness of the N-NFTSMC and to compare it with the classic NFTSMC.
2. NFTSMC Design
2.1. Modelling of PMSM
2.2. Definition of State Variables
2.3. Classic Nonsingular Fast Terminal Sliding Mode Control
3. N-NFTSMC Design
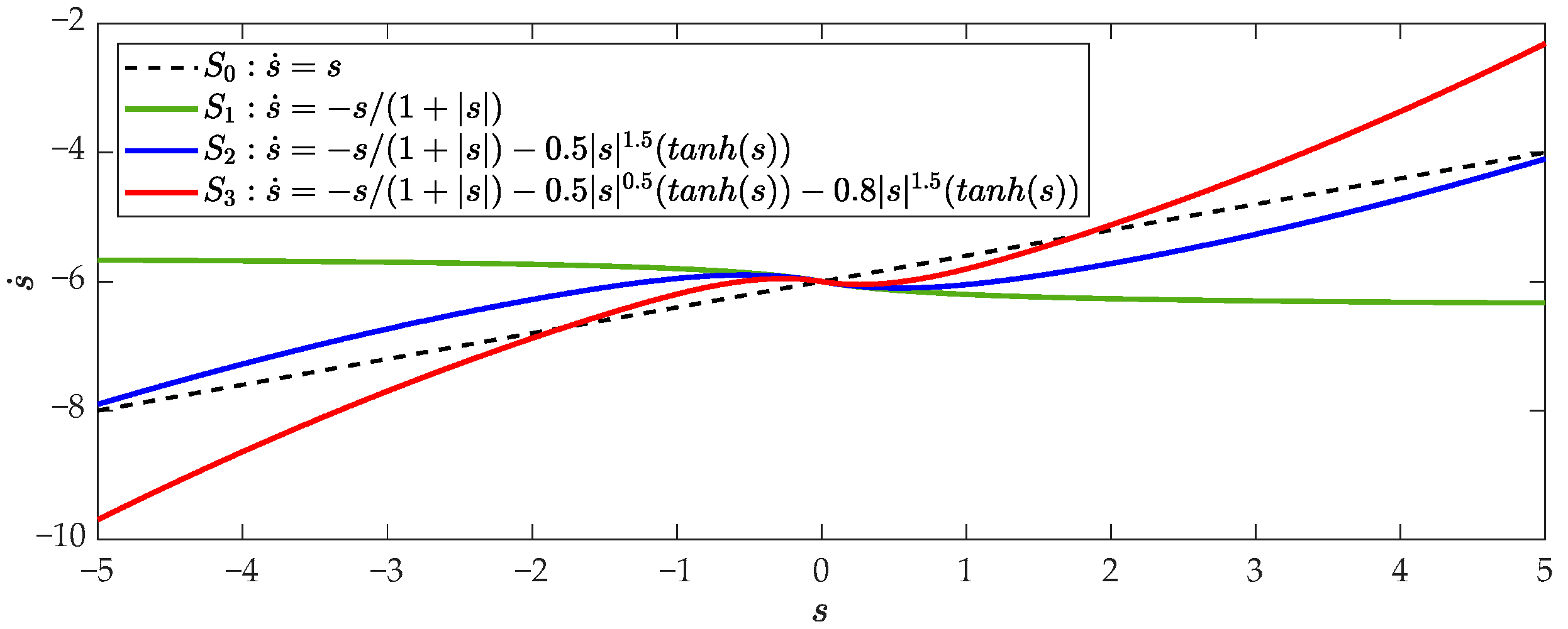
3.1. Controller Design
3.2. Stability Analysis for Novel NFTSMC
4. Sliding Mode Disturbance Observer
4.1. SDOB Design
4.2. Stability Analysis for SDOB
5. Simulation Verification
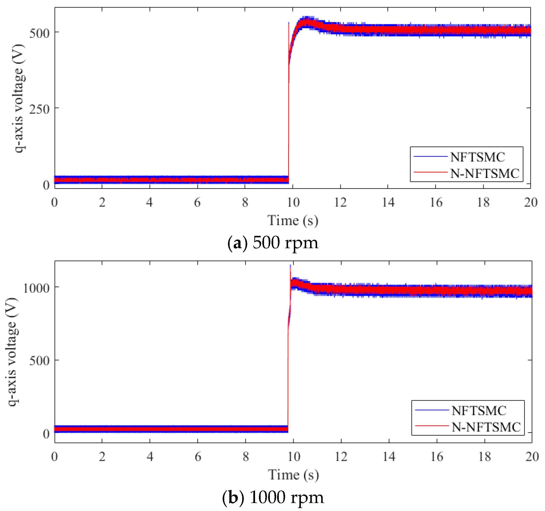
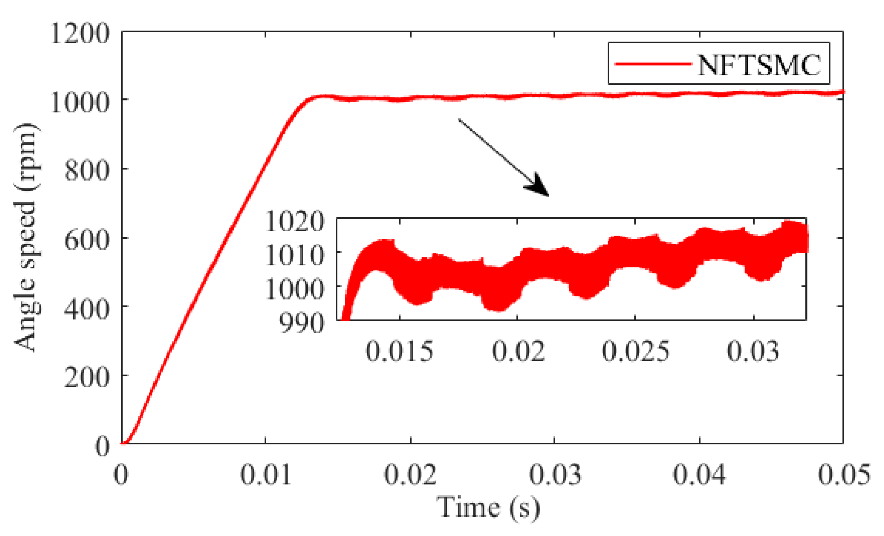
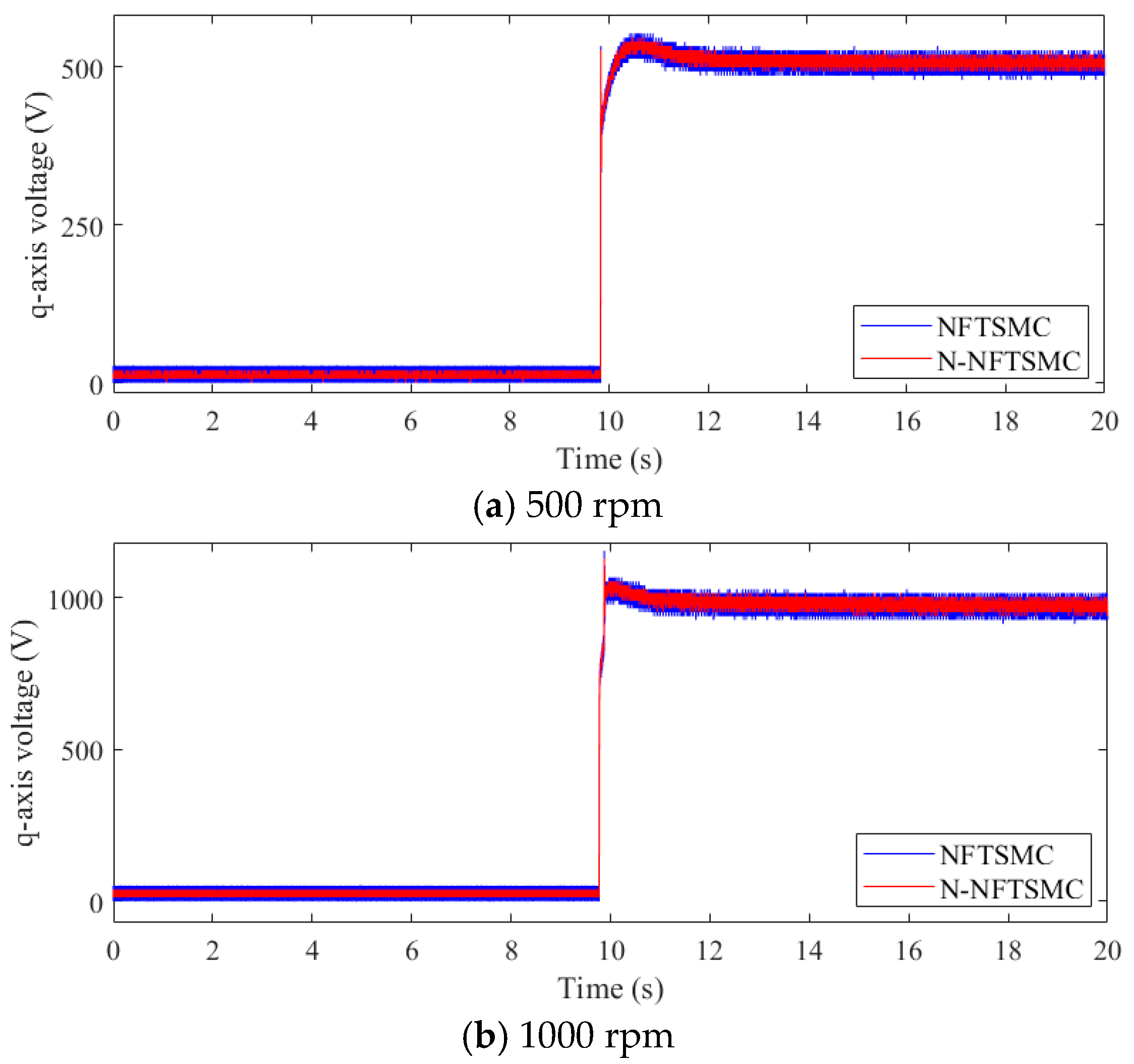
5.1. Step Response Experiment
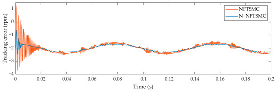
5.2. Sinusoidal Tracking Simulation
6. Experimental Verification
7. Conclusions
Author Contributions
Funding
Data Availability Statement
Conflicts of Interest
Nomenclature
| Abbreviation | Full Name |
| PMSM | Permanent magnet synchronous motor |
| NFTSMC | Nonsingular fast terminal sliding mode control |
| N-NFTSMC | Novel nonsingular fast terminal sliding mode control |
| NSRL | New sliding mode reaching law |
| SDOB | Sliding mode disturbance observer |
| PID | Proportional–integral–derivative |
| ADRC | Active disturbance control |
| TVNDO | Time-varying nonlinear disturbance observer |
| ANNNFTSMC | Adaptive neural network nonsingular fast terminal sliding mode control |
| IPMSM | Interior permanent magnet synchronous motor |
| SMC | Sliding mode control |
| NTSMC | Nonsingular terminal sliding mode control |
References
- Dong, Z.; Liu, Y.; Wen, H.; Feng, K.; Yu, F.; Liu, C. A Novel Winding Connection Sequence of Dual Three-Phase Series-End Winding PMSM Drive for Speed Range Extension. IEEE Trans. Magn. 2023, 59, 8202905. [Google Scholar] [CrossRef]
- Chen, Y.; Zang, B.; Wang, H.; Liu, H.; Li, H. Composite PM Rotor Design and Alternating Flux Density Harmonic Component Analysis of a 200 kW High-Speed PMSM Used in FESS. IEEE Trans. Ind. Appl. 2023, 59, 1469–1480. [Google Scholar] [CrossRef]
- Chung, S.U.; Kim, J.W.; Chun, Y.D.; Woo, B.C.; Hong, D.K. Fractional Slot Concentrated Winding PMSM with Consequent Pole Rotor for a Low-Speed Direct Drive: Reduction of Rare Earth Permanent Magnet. IEEE Trans. Energy Convers. 2015, 30, 103–109. [Google Scholar] [CrossRef]
- Zhao, L.; Xia, Y.; Yang, Y.; Liu, Z. Multicontroller positioning strategy for a pneumatic servo system via pressure feedback. IEEE Trans. Ind. Electron. 2017, 64, 4800–4809. [Google Scholar] [CrossRef]
- Li, J.; Li, W. On-Line PID Parameters Optimization Control for Wind Power Generation System Based on Genetic Algorithm. IEEE Access 2020, 8, 137094–137100. [Google Scholar] [CrossRef]
- Wang, B.; Tian, M.; Yu, Y.; Dong, Q.; Xu, D. Enhanced ADRC with Quasi-Resonant Control for PMSM Speed Regulation Considering Aperiodic and Periodic Disturbances. IEEE Trans. Transp. Electrif. 2020, 8, 3568–3577. [Google Scholar] [CrossRef]
- Wang, Y.; Feng, Y.; Zhang, X.; Liang, J. A New Reaching Law for Antidisturbance Sliding-Mode Control of PMSM Speed Regulation System. IEEE Trans. Power Electron. 2020, 35, 4117–4126. [Google Scholar] [CrossRef]
- Xu, B.; Jiang, Q.; Ji, W.; Ding, S. An Improved Three-Vector-Based Model Predictive Current Control Method for Surface-Mounted PMSM Drives. IEEE Trans. Transp. Electrif. 2022, 8, 4418–4430. [Google Scholar] [CrossRef]
- Ding, S.; Zheng, W.X. Nonsingular terminal sliding mode control of nonlinear second-order systems with input saturation. Int. J. Robust Nonlinear Control 2016, 26, 1857–1872. [Google Scholar] [CrossRef]
- Yang, J.; Li, S.; Su, J.; Yu, X. Continuous nonsingular terminal sliding mode control for systems with mismatched disturbances. Automatica 2013, 49, 2287–2291. [Google Scholar] [CrossRef]
- Feng, Y.; Han, F.; Yu, X. Chattering free full-order sliding-mode control. Automatica 2014, 50, 1310–1314. [Google Scholar] [CrossRef]
- Yang, L.; Yang, J. Nonsingular fast terminal sliding-mode control for nonlinear dynamical systems. Int. J. Robust Nonlinear Control 2011, 21, 1865–1879. [Google Scholar] [CrossRef]
- Yu, D.; Chen, C.L.P.; Xu, H. Fuzzy swarm control based on sliding-mode strategy with self-organized omnidirectional mobile robots system. IEEE Trans. Syst. Man Cybern. Syst. 2022, 52, 2262–2274. [Google Scholar] [CrossRef]
- Sun, Y.; Gao, Y.; Zhao, Y.; Liu, Z.; Wang, J.; Kuang, J.; Yan, F.; Liu, J. Neural network-based tracking control of uncertain robotic systems: Predefined-time nonsingular terminal sliding-mode approach. IEEE Trans. Ind. Electron. 2022, 69, 10510–10520. [Google Scholar] [CrossRef]
- Du, X.; Fang, X.; Liu, F. Continuous Full-Order Nonsingular Terminal Sliding Mode Control for Systems with Matched and Mismatched Disturbances. IEEE Access 2019, 7, 130970–130976. [Google Scholar] [CrossRef]
- Le, D.V.; Ha, C. Finite-Time Fault-Tolerant Control for a Stewart Platform Using Sliding Mode Control with Improved Reaching Law. IEEE Access 2022, 10, 43284–43302. [Google Scholar] [CrossRef]
- Utkin, V. Discussion Aspects of High-Order Sliding Mode Control. IEEE Trans. Autom. Control 2016, 61, 829–833. [Google Scholar] [CrossRef]
- Rath, J.J.; Defoort, M.; Karimi, H.R.; Veluvolu, K.C. Output Feedback Active Suspension Control with Higher Order Terminal Sliding Mode. IEEE Trans. Ind. Electron. 2017, 64, 1392–1403. [Google Scholar] [CrossRef]
- Gao, W.; Hung, J.C. Variable structure control of nonlinear systems: A new approach. IEEE Trans. Ind. Electron. 1993, 40, 45–55. [Google Scholar]
- Wang, T.; Zhao, M.; Li, Y.; Liu, K. Double-power reaching law sliding mode control for spacecraft decline based on radial basis function networks. In Proceedings of the 2017 29th Chinese Control and Decision Conference (CCDC), Chongqing, China, 28–30 May 2017; pp. 5396–5401. [Google Scholar]
- Tao, M.; Chen, Q.; He, X.; Sun, M. Adaptive fixed-time fault-tolerant control for rigid spacecraft using a double power reaching law. International. J. Robust Nonlinear Control 2019, 29, 4022–4040. [Google Scholar] [CrossRef]
- Fallaha, C.J.; Saad, M.; Kanaan, H.Y.; Al-Haddad, K. Sliding-Mode Robot Control with Exponential Reaching Law. IEEE Trans. Ind. Electron. 2011, 58, 600–610. [Google Scholar] [CrossRef]
- Yang, G.-Y.; Chen, S.-Y. Piecewise fast multi-power reaching law: Basis for sliding mode control algorithm. Meas. Control 2020, 53, 1929–1942. [Google Scholar] [CrossRef]
- Liu, W.; Chen, S.; Huang, H. Adaptive Nonsingular Fast Terminal Sliding Mode Control for Permanent Magnet Synchronous Motor Based on Disturbance Observer. IEEE Access 2019, 7, 153791–153798. [Google Scholar] [CrossRef]
- Xu, J.; Yu, X.; Qiao, J. Hybrid Disturbance Observer-Based Anti-Disturbance Composite Control with Applications to Mars Landing Mission. IEEE Trans. Syst. Man Cybern. Syst. 2021, 51, 2885–2893. [Google Scholar] [CrossRef]
- Fu, Y.; Wang, D. Higher-Order State and Disturbance Observer with O(T3) Errors for Linear Systems. IEEE Access 2019, 7, 102812–102819. [Google Scholar] [CrossRef]
- Yang, Y.; Zhang, J.; Huang, M.; Tan, X. Disturbance Observer-Based Event-Triggered Control of Switched Positive Systems. IEEE Trans. Circuits Syst. II Express Briefs 2024, 71, 1191–1195. [Google Scholar] [CrossRef]
- Zhang, Z.; Liu, X.; Yu, J.; Yu, H. Time-Varying Disturbance Observer Based Improved Sliding Mode Single-Loop Control of PMSM Drives with a Hybrid Reaching Law. IEEE Trans. Energy Convers. 2023, 38, 2539–2549. [Google Scholar] [CrossRef]
- Liu, J.; Yang, Y.; Li, X.; Zhao, K.; Yi, Z.; Xin, Z. Improved Model-Free Continuous Super-Twisting Non-Singular Fast Terminal Sliding Mode Control of IPMSM. IEEE Access 2023, 11, 85361–85373. [Google Scholar] [CrossRef]
- Zhang, R.; Xu, B.; Shi, P. Output Feedback Control of Micromechanical Gyroscopes Using Neural Networks and Disturbance Observer. IEEE Trans. Neural Netw. Learn. Syst. 2022, 33, 962–972. [Google Scholar] [CrossRef]
- Wang, Z.; Li, S.; Li, Q. Continuous Nonsingular Terminal Sliding Mode Control of DC–DC Boost Converters Subject to Time-Varying Disturbances. IEEE Trans. Circuits Syst. II Express Briefs 2022, 67, 2552–2556. [Google Scholar] [CrossRef]
















| Parameter | Value |
|---|---|
| 400 | |
| 0 | |
| Parameter | Value |
|---|---|
| Rated power | 200 W |
| Line resistance | 0.33 Ω |
| Line inductance | 9 × 10−4 H |
| Number of pole pairs | 4 |
| Torque coefficient | 0.087 Nm/A |
| Rated voltage | 36 V |
| Rated current | 7.5 A |
| Control Method | Maximum Chattering Value (without Sudden Load) | Maximum Chattering Value (with Sudden Load) |
|---|---|---|
| NFTSMC (500 rpm) | 10 rpm | 70 rpm |
| N-NFTSMC (500 rpm) | 6 rpm | 66 rpm |
| NFTSMC (1000 rpm) | 20 rpm | 60 rpm |
| N-NFTSMC (1000 rpm) | 12 rpm | 52 rpm |
Disclaimer/Publisher’s Note: The statements, opinions and data contained in all publications are solely those of the individual author(s) and contributor(s) and not of MDPI and/or the editor(s). MDPI and/or the editor(s) disclaim responsibility for any injury to people or property resulting from any ideas, methods, instructions or products referred to in the content. |
© 2024 by the authors. Licensee MDPI, Basel, Switzerland. This article is an open access article distributed under the terms and conditions of the Creative Commons Attribution (CC BY) license (https://creativecommons.org/licenses/by/4.0/).
Share and Cite
Shi, D.; Bodemann, K.; Wang, Y.; Xu, C.; Liu, L.; Feng, C. A Novel Nonsingular Fast Terminal Sliding Mode Control with Sliding Mode Disturbance Observer for Permanent Magnet Synchronous Motor Servo Control. Processes 2024, 12, 1986. https://doi.org/10.3390/pr12091986
Shi D, Bodemann K, Wang Y, Xu C, Liu L, Feng C. A Novel Nonsingular Fast Terminal Sliding Mode Control with Sliding Mode Disturbance Observer for Permanent Magnet Synchronous Motor Servo Control. Processes. 2024; 12(9):1986. https://doi.org/10.3390/pr12091986
Chicago/Turabian StyleShi, Difen, Kai Bodemann, Yao Wang, Changliang Xu, Lulu Liu, and Chungui Feng. 2024. "A Novel Nonsingular Fast Terminal Sliding Mode Control with Sliding Mode Disturbance Observer for Permanent Magnet Synchronous Motor Servo Control" Processes 12, no. 9: 1986. https://doi.org/10.3390/pr12091986
APA StyleShi, D., Bodemann, K., Wang, Y., Xu, C., Liu, L., & Feng, C. (2024). A Novel Nonsingular Fast Terminal Sliding Mode Control with Sliding Mode Disturbance Observer for Permanent Magnet Synchronous Motor Servo Control. Processes, 12(9), 1986. https://doi.org/10.3390/pr12091986

