Next Article in Journal
Bimetallic Fe, Co-Modified TiO2 Derived from NH2-MIL-125(Ti) as an Efficient Photocatalyst for N2 Fixation
Previous Article in Journal
Research on Optimization of Intermittent Production Process System
 
 
Font Type:
Arial Georgia Verdana
Font Size:
Aa Aa Aa
Line Spacing:
Column Width:
Background:
Article

Trajectory Tracking of Unmanned Logistics Vehicle Based on Event-Triggered and Adaptive Optimization Parameters MPC

1
School of Mechanical Engineering, Lanzhou Jiaotong University, Lanzhou 730070, China
2
School of Automation and Electrical Engineering, Lanzhou Jiaotong University, Lanzhou 730070, China
*
Author to whom correspondence should be addressed.
Processes 2024, 12(9), 1878; https://doi.org/10.3390/pr12091878
Submission received: 31 July 2024 / Revised: 21 August 2024 / Accepted: 31 August 2024 / Published: 2 September 2024
(This article belongs to the Section Automation Control Systems)

Abstract

Unmanned logistics vehicle (ULV) realize the automation and intelligence of cargo transportation, which improves the efficiency, cost-effectiveness and safety of logistics and distribution, while the trajectory tracking control of ULV is the key technology to ensure their safe and efficient delivery of goods. In order to solve the trajectory tracking problem of ULV in the process of delivering goods, this paper proposes a model predictive control (MPC) method based on event-triggered and fuzzy adaptive optimization parameters. Firstly, the dynamics model of the ULV is established. Secondly, an event-triggered mechanism is introduced to establish ET-MPC, while a disturbance observer is designed considering the external disturbance and the controller calculation discarding the nonlinear term. Thirdly, the advantages of fuzzy control and MPC algorithms are integrated, and the four important parameters in the MPC controller are adaptively optimized by fuzzy control, and the improved MPC control strategy is designed. Finally, the CarSim-Matlab/Simulink co-simulation platform and the experimental vehicle platform are constructed to verify the effectiveness of the improved MPC trajectory tracking controller proposed in this paper. The results show that the improved MPC control strategy can reduce the computation time of the controller, and the total number of triggering times of the controller is reduced by 46.44% compared with the classical MPC, which reduces the computational complexity of the controller and improves the accuracy and smoothness of the trajectory tracking of the ULV.

1. Introduction

The integration of automatic driving technology, intelligent unmanned vehicles, big data, cloud computing, and the internet of things are revolutionizing logistics. Unmanned logistics vehicle (ULV), distribution robot, and other cutting-edge technologies are accelerating the adoption of unmanned logistics and distribution, providing innovative solutions for “last-mile delivery” challenges [1]. In recent years, high-tech enterprises have pioneered ULV, integrating automatic driving technology. This innovation not only reduces resource consumption and pollution emissions but also enhances delivery efficiency, alleviates courier labor intensity, and boosts the economic viability of the logistics industry. It has drawn significant attention from governments, universities, and businesses alike. Trajectory tracking control has emerged as a pivotal aspect of unmanned control technology, garnering increasing attention in the realm of unmanned driving research. Its primary objective is to guide ULV to operate at specified speeds and front wheel angles. This is achieved either through pre-generated navigation systems or real-time trajectory tracking controllers, ensuring the vehicle adheres to a predetermined trajectory [2].
Experts and scholars worldwide have conducted investigations into the trajectory tracking challenges faced by unmanned vehicles, resulting in the development of classical control algorithms: pure pursuit control [3], proportion integration differentiation [4], sliding mode control [5], adaptive control [6], fuzzy control [7,8], model predictive control (MPC) [9,10,11]. The ULV exhibits significant nonlinearity, strong coupling, and uncertain parameters, necessitating consideration of various constraints such as actuator, kinematic, and dynamic limitations during operation. Traditional control methods for nonlinear systems typically involve local model linearization, which can be computationally intensive. In contrast, MPC algorithms offer a notable advantage by accommodating multiple constraints seamlessly in the control process and accurately predicting future vehicle states, making them extensively applied in autonomous driving technologies [12].
Experts and scholars around the world have extensively researched trajectory tracking of autonomous vehicles utilizing MPC. Tang and colleagues introduced a model-free adaptive MPC method for trajectory tracking control of unmanned tracked vehicles by combining data-driven and model prediction based control methods for the vehicle trajectory tracking error problem caused by model mismatch due to the interference of the external environment and the model simplification [13]. Lu and other scholars developed a symbolic MPC framework with naturally encapsulated manifold constraints to solve the problem of manifolds that are usually over parameterized during classical MPC trajectory tracking [14]. Ghazali and other scholars used an MPC approach to study the contradiction between preventing vehicle rollover and trajectory tracking was investigated. They designed a controller that can avoid vehicle rollover while tracking a predefined trajectory [15]. Yang and colleagues employed a linearized tracking error model to facilitate trajectory tracking of a mobile robot amid external disturbances. Their design incorporates both feedforward and feedback controllers, enhancing the robustness of the mobile robot [16]. Sun and collaborators introduced a cascaded dynamic trajectory tracking control approach that integrates MPC and SMC for trajectory tracking in unmanned underwater vehicle [17]. Yang and colleagues presented a novel ACC algorithm based on MPC and ADRC [18]. Tang and fellow researchers introduced a streamlined MPC approach, transforming the trajectory tracking control issue into an optimal control problem. This is achieved by incorporating a penalty term into the objective function to manage inequality constraints [19]. Dai and other scholars proposed a robust MPC based on the tube method for trajectory tracking control of robot [20]. Choi and fellow researchers introduced a game-based horizontal longitudinal coupled MPC controller designed trajectory tracking of autonomous vehicle [21]. Xiao and colleagues developed an adaptive compensated MPC controller utilizing RBF neural networks to enhance trajectory tracking accuracy in unmanned aerial vehicle [22]. Hao and collaborators devised an enhanced tube-based robust MPC controller tailored for trajectory tracking in autonomous submersible [23].
MPC involves solving an optimization problem at each sampling interval and applying only the first control variable from the resulting control sequence, which imposes a significant computational burden on the controller. The event-triggered mechanism addresses this by using an event-triggered function to sample the measurement output of the controlled system in real time. An event is triggered if the measurement error function exceeds the threshold set by the trigger function. If the measurement error does not reach the threshold, sampling and data transmission are skipped, allowing the controller to continue using the previous control input. This approach effectively reduces the frequency of controller computations and enhances overall performance [24]. Cai and colleagues introduced a distributed MPC approach for UAV formation control that incorporates an event-triggered mechanism, accounting for both prediction state error and the convergence of the cost function [25]. Hung and colleagues proposed a distributed control law that integrates an event-triggered communication mechanism, aimed at reducing both the volume and frequency of communication between vehicles [26]. Xia and colleagues introduced a neural sliding mode control strategy with predefined performance to tackle event-triggered disturbances. This approach is designed to address the trajectory tracking control challenge in nonlinear systems characterized by time-varying parameter uncertainties and unknown control directions [27]. Feng and colleagues proposed a MPC algorithm based on an event-triggered mechanism is proposed to reduce the communication frequency of the control system as well as to solve the computational volume problem of the control algorithm [28]. He and colleagues developed a trajectory tracking controller for mobile robots that employs an event-triggered mechanism within MPC. This approach addresses the challenge of the significant computational demands involved in online MPC optimization [29]. Sun and colleagues proposed an adaptive event-triggered sliding mode control strategy to address the trajectory tracking problem of a 2-DOF robotic arm system, taking into account network communication constraints and external disturbances [30]. An observer-based distributed event-triggered control algorithm is proposed for the leader–follower intelligent networked vehicle cooperative formation consistency control problem [31]. This article offers a current overview of dynamic event-triggered distributed coordination control. It begins by explaining the motivation behind dynamic event-triggered scheduling within the framework of distributed coordination control [32]. A dynamic event-triggered mechanism is designed for uncertain strict-feedback nonlinear systems with an infinite number of actuator faults [33]. The paper addresses the issue of dynamic event-triggered predefined-time adaptive attitude control for quadrotor unmanned aerial vehicles facing unknown deception attacks [34]. A fixed-time event-triggered adaptive control strategy is proposed for n-DOF manipulator systems to tackle universal model uncertainty and input deadzone in mechatronic motion plants, which arise from unknown model parameters and actuator characteristics [35]. A distributed adaptive event-triggered control approach is proposed for the consensus problem of high-order multi-agent systems with unknown dynamics and external disturbances [36].
Additionally, key parameters such as the prediction horizon Np, the weight matrices Q and R in the MPC algorithm play crucial roles in determining the controller performance. Xie and fellow scholars introduced an MPC trajectory tracking control method that adjusts the step size of the control horizon using a “dense before and sparse after” chunk matrix. This adjustment is integrated into the quadratic programming solution process [37]. Addressing the challenge of low traction conditions affecting driving stability during trajectory tracking, Wang and other scholars add soft constraints on the side deviation angle to the vehicle dynamics model, and put forward an adaptive MPC based trajectory tracking control algorithm [38]. Wu and collaborators determined the optimal prediction horizon parameters for MPC under various target vehicle speeds using the gray correlation method. They employed Fourier approximation to tailor the prediction horizon parameters and integrate the vehicle dynamics model with the MPC algorithm to establish a semi-empirical model predicting horizon parameters as vehicle speed varies [39]. Zhang and other scholars designed an MPC trajectory tracking controller that adaptively adjusts the predicted horizon according to the different stable states of the vehicle, and also introduced the method of exponential weight reduction the weight coefficients of the objective function are adjusted online [40]. Wang and colleagues introduced a trajectory tracking controller with a variable prediction horizon based on the particle swarm algorithm. This controller adaptively adjusts the prediction horizon by considering comprehensive indicators such as trajectory tracking error, wheel steering frequency, and real-time control algorithm performance [41]. Wang and colleagues introduced an enhanced MPC controller utilizing fuzzy adaptive weight control is proposed to address the path tracking issues encountered by autonomous vehicles [42]. Li and colleagues developed an algorithm that dynamically and adaptively adjusts the weight matrix in the objective function based on the curvature of the reference trajectory. This approach enhances real-time tracking accuracy of the trajectory [43]. Jin and colleagues developed two control strategies: for roads with high adhesion coefficients, they optimized the prediction and control horizons according to different vehicle speeds; for roads with low adhesion coefficients, they activated vehicle stability control and adjusted the weight parameters using an enhanced particle swarm algorithm [44]. A trajectory tracking control strategy utilizing Takagi–Sugeno fuzzy MPC is proposed to enhance the algorithm’s adaptability to varying operating conditions [45]. Qin and colleagues developed a predefined-time trajectory tracking control method based on a fuzzy neural network [46]. ULVs are inevitably influenced by friction and external disturbances during actual goods delivery, so a disturbance observer is incorporated into the controller design. Li and colleagues created a nonlinear disturbance observer that employs an extended Kalman filter to reduce random noise and track both the velocity and non-random disturbances of a mobile robot [47]. Yue and colleagues employed a radial basis function RBF neural networks to create a disturbance observer and an adaptive parameter tuning law for the real-time estimation of combined perturbations in a flexible spacecraft [48]. Sharma and colleagues developed a nonlinear disturbance observer to estimate the external disturbances and parameter uncertainties impacting a quadrotor [49].
Based on this foundation, this paper integrates the event-triggered mechanism with parameter adaptive optimization techniques to design an MPC controller that employs both event-triggered and fuzzy adaptive parameter optimization. This design addresses the challenge of a ULV encountering external disturbances during trajectory tracking. The primary contributions are summarized as follows.
(1)
In designing the controller, an event-triggered control model is introduced to establish the conditions under which updates occur, ensuring that the state is only updated at each trigger event. This event-triggered mechanism decreases the frequency with which the controller’s objective optimization problem is solved, thereby reducing the computational load while maintaining tracking accuracy.
(2)
Given that ULVs encounter external disturbances during operation and that the trajectory tracking controller omits nonlinear terms in its calculations, incorporating these disturbances into the prediction model allows for more accurate forecasting of the control system’s actual outputs. To address this, a disturbance observer is designed to estimate and compensate for these disturbances in the controller’s output, thereby enhancing the system’s robustness.
(3)
The prediction horizon Np and the weight matrix Q and R are crucial parameters in the MPC control algorithm. This study analyzes how these parameters affect trajectory tracking performance and develops a fuzzy adaptive optimization method to adjust them. By establishing adaptive change rules for these parameters, the tracking accuracy and smoothness of the controller are significantly enhanced.
(4)
An experimental vehicle platform was built to verify the effectiveness of the improved controller designed in this paper.
The remainder of the paper is structured as follows. Section 2 establishes vehicle dynamics model. Section 3 designs the event-triggered MPC, along with the disturbance observer. Section 4 incorporates the fuzzy control algorithm adaptive parameter adjustment method to design an improved MPC strategy. Section 5 builds the CarSim-Matlab/Simulink co-simulation platform and experimental vehicle platform to verify the effectiveness of the improved MPC trajectory tracking controller. Lastly, concluding remarks are given in Section 6.

2. Vehicle Dynamics Model

Dynamic analysis involves examining the interplay between forces acting on the target object and its motion from a mechanical perspective. The dynamic model of the entire vehicle primarily assesses the smoothness and maneuvering stability throughout the driving process [50]. The main research goal of this paper is to make the vehicle quickly and stably track the preset desired trajectory, which belongs to the category of vehicle maneuvering stability, so no in-depth research is conducted on the suspension system. When the ULV is traveling in extreme working conditions, such as small road surface adhesion coefficient or emergency obstacle avoidance, there is a conflict between the longitudinal speed tracking controller, transverse trajectory tracking controller’s control objective and vehicle stability. Additionally, the longitudinal and transverse coupling phenomenon is significant at this time, rendering the ULV prone to vehicle side-slip and destabilization and affecting the trajectory tracking controller’s control accuracy. It is necessary to simplify the vehicle model to decrease the complexity of the control algorithm calculations while still preserving model accuracy [51], the following idealization assumptions are introduced.
(1)
Assuming that the driving surface is in good condition and that the vehicle moves only parallel to the ground.
(2)
Supposing the vehicle is rigid and neglecting the influence of the suspension system movement.
(3)
Presuming the vehicle features front-wheel steering with equal turning angles for both left and right wheels.
(4)
Neglecting the tire force longitudinal and transverse coupling relationship.
(5)
Neglecting the left–right transfer of loads.
(6)
Neglecting the effect of aerodynamics.
The vehicle simplified by the above idealized assumptions has three directions of motion, which are longitudinal motion along the x-axis, lateral motion along the y-axis and yaw motion around the z-axis. The vehicle dynamics model shown in Figure 1 is established, and the vehicle coordinate system oxyz and the inertial coordinate system XOY are established. Where the coordinate origin o in the vehicle coordinate system is at the vehicle center of mass, the x-axis is along the longitudinal axis of the target vehicle, the y-axis is perpendicular to the x-axis, and the z-axis is determined by the right-hand rule and upward is positive.
Assuming equal forces act on the two wheels of the front axle of the vehicle, and the forces on the two wheels of the rear axle are also the same. By applying Newton’s Second Law, we can derive the equilibrium equations for the vehicle’s forces in longitudinal, lateral, and yaw degrees of freedom [52], as depicted in Equation (1):
m x ¨ = m y ˙ φ ˙ + 2 F x f + 2 F x r m y ˙ = m x ˙ φ ˙ + 2 F y f + 2 F y r I z φ ¨ = 2 a F y f 2 b F y r
where
F x f = F l f c o s δ f F c f s i n δ f F x r = F l r F y f = F l f s i n δ f + F c f c o s δ f F y r = F c r
The meanings of the parameters in the dynamics model are shown in Table 1.
The primary driving force on the ULV primarily affects the vehicle tires. Selecting a practical and user-friendly tire model is crucial for developing the vehicle dynamics model. This paper employs a semi-empirical tire model derived from the Magic Formula. Under conditions where the tire side slip angle and longitudinal slip rate are minimal, Equation (3) can approximate the longitudinal and lateral forces acting on the front and rear tires.
F l f = C l f s f F c f = C c f α f F l r = C l r s r F c r = C c r α r
where C lf / C lr is longitudinal stiffness of front/rear tire, C cf / C cr is lateral stiffness, s f / s r indicates tire slip rate, a f / a r represents side slip angle of front and rear tire, respectively.
To simplify the computation of the nonlinear model, it is assumed during the analysis and calculation of the vehicle tire force that each angle is exceedingly small. Through the small angle assumption, the tire side slip angle can be obtained, as shown in Equation (4):
α f = y ˙ + a φ ˙ x ˙ δ f α r = y ˙ b φ ˙ x ˙
From Equation (1) to Equation (4) lead to Equation (5), which represents the simplified nonlinear dynamics model of the ULV.
m x ¨ = m y ˙ φ ˙ + 2 C l f s f + C c f δ f y ˙ + a φ ˙ x ˙ δ f + C l r s r m y ¨ = m y ˙ φ ˙ + 2 C c f δ f y ˙ + a φ ˙ x ˙ + C c r b φ ˙ y ˙ x ˙ I z φ ¨ = 2 a C c f δ f y ˙ + a φ ˙ x ˙ b C c r b φ ˙ y ˙ x ˙
The transformation of the ULV model from the vehicle coordinate system to the inertial coordinate system is represented by Equation (6):
X ˙ = x ˙ cos φ y ˙ sin φ Y ˙ = x ˙ sin φ + y ˙ cos φ
Equations (5) and (6) form the mathematical basis for the fuzzy adaptive prediction horizon MPC controller implemented to facilitate trajectory tracking for the ULV.

3. Event-Triggered MPC

MPC is an advanced algorithm extensively employed in engineering control areas such as autopilot systems, aerospace, and the chemical industry. Through its deep integration with industrial applications, MPC has evolved and become more refined. It employs control strategies such as multi-step prediction, rolling optimization, and feedback correction, providing advantages like effective control, robust performance, reduced reliance on model accuracy, and the ability to handle various constraints in real time [53]. The control principle of MPC is illustrated in Figure 2.
The MPC utilizes rolling optimization to dynamically manage the system, with the outputs from the CarSim vehicle model serving as state inputs to the MPC controller to create a closed-loop system. At each time step k, the system’s future outputs are predicted for Np moments ahead using the measured outputs and the system model. The optimal inputs at time k are then determined by minimizing the discrepancy between the predicted and desired outputs. During the tracking task, this entire prediction and optimization process is continuously updated by using the system state at k+i moments to calculate new control inputs, while shifting both the control and prediction horizon until the task is complete.
In this section, the MPC controller is employed to address the trajectory tracking problem. State quantity deviations are incorporated into the prediction model to continually update the state working points and linearize the system model. The goal of MPC is to compute a sequence of control actions within the prediction horizon that minimizes the difference between the reference and actual output, while also reducing the gap between the predicted trajectory and the reference trajectory, using the dynamics model during tracking [54].

3.1. Linearized Error Model

Building upon the nonlinear vehicle dynamic model outlined in the previous section via Equation (5), the controlled system consists of a state quantity of ξ = y ˙ , x ˙ , φ , φ ˙ , Y , X T and a control quantity of u = δ f , as depicted in Equation (7):
ξ ˙ = f ( ξ , u )
As stated in Equation (7), the trajectory tracking control process adjusts solely the front wheel angle of the target vehicle, maintaining a constant longitudinal velocity. Upon linearizing the nonlinear dynamics model of the vehicle, the linear time-varying state space equations is demonstrated in Equation (8):
ξ ˙ = A ( t ) ξ ( t ) + B ( t ) u ( t ) Y = C ( t ) ξ ( t )
where
A ( t ) = 2 ( C c f + C c r ) m x ˙ t f y ˙ x ˙ 0 x ˙ t + 2 ( b C c r a C c f ) m x ˙ t 0 0 φ ˙ 2 C c f δ f , t 1 m x ˙ t f x ˙ x ˙ 0 y ˙ t 2 a C c f δ f , t 1 m x ˙ t 0 0 0 0 0 1 0 0 2 b C c r a C c f I z x ˙ t f ϕ ˙ x ˙ 0 2 a 2 C c f + b 2 C c r I z χ ˙ t 0 0 cos ( φ t ) sin ( φ t ) f Y φ 0 0 0 sin ( φ t ) cos ( φ t ) f X φ 0 0 0
f y ˙ x ˙ = 2 C c f ( y ˙ t + a φ ˙ t ) + 2 C c r ( y ˙ t b φ ˙ t ) m x ˙ t φ ˙ t f x ˙ x ˙ = 2 C c f δ f , t 1 ( y ˙ t + a φ ˙ t ) m x ˙ t f φ ˙ x ˙ = 2 a C c f ( y ˙ t + a φ ˙ t ) 2 b C c r ( y ˙ t b φ ˙ t ) I z χ ˙ t f Y φ = x ˙ t cos ( φ t ) y ˙ t sin ( φ t ) f X φ = y ˙ t cos ( φ t ) x ˙ t sin ( φ t )
B ( t ) = 2 C c f m 2 C c f 2 δ f , t 1 y ˙ t + a φ ˙ t x ˙ t m 0 2 a C c f I z 0 0 T
Y = φ Y , C ( t ) = 0 0 1 0 0 0 0 0 0 0 0 1
Equation (13) can be obtained after discretizing the linear time varying equations of Equation (8) using the Forward Euler method:
ξ ( k + 1 ) = A ( k ) ξ ( k ) + B ( k ) u ( k ) Y ( k ) = C ( k ) ξ ( k )
where
A ( k ) = I + T A ( t ) B ( k ) = T B ( t ) C ( k ) = C ( t )

3.2. Systematic Predictive Model

Because of the dynamic limitations inherent in the ULV, the input variable is selected as the control increment ( Δ u ), resulting in the transformation of Equation (13) as follows:
ξ ˜ ( k ) = ξ ( k ) u ( k 1 )
The expression for the new state-space equation is depicted in Equation (16) as follows.
ξ ˜ ( k + 1 ) = A ˜ ( k ) ξ ˜ ( k ) + B ˜ ( k ) Δ u ( k ) Y ˜ ( k ) = C ˜ ( k ) ξ ˜ ( k )
where
A ˜ ( k ) = A ( k ) B ( k ) 0 I B ˜ ( k ) = B ( k ) I C ˜ ( k ) = C ( k ) 0 Y ˜ ( k ) = Y ( k )
Given a prediction horizon of Np and a control horizon of Nc, the forecasted state variables of the control system within Np:
ξ ˜ ( k + N p ) = A ˜ N p ( k ) ξ ˜ ( k ) + + A ˜ N p N c ( k ) B ˜ ( k ) Δ u ( k + N c 1 )
Upon derivation, an expression for the predicted output of the control system within Np is illustrated in Equation (19):
Y ˜ α k = ψ ξ ( k ) + Θ Δ U ( k )
where
Y ˜ a ( k ) = Y ˜ ( k + 1 ) Y ˜ ( k + 2 ) Y ˜ ( k + N c ) Y ˜ ( k + N P )
ψ = C ˜ ( k ) A ˜ ( k ) C ˜ ( k ) A ˜ 2 ( k ) C ˜ ( k ) A ˜ N c ( k ) C ˜ ( k ) A ˜ N p ( k )
Δ U ( k ) = Δ u ( k ) Δ u ( k + 1 ) Δ u ( k + N c 1 )
Θ = A B
A = C ˜ ( k ) B ˜ ( k ) C ˜ ( k ) A ˜ ( k ) B ˜ ( k ) C ˜ ( k ) A ˜ N C ( k ) B ˜ ( k ) C ˜ ( k ) A ˜ N p 1 ( k ) B ˜ ( k )
B = 0 0 C ˜ ( k ) B ˜ ( k ) 0 C ˜ ( k ) A ˜ N c 1 ( k ) B ˜ ( k ) C ˜ ( k ) A ˜ ( k ) B ˜ ( k ) C ˜ ( k ) A ˜ N p 2 ( k ) B ˜ ( k ) C ˜ ( k ) A ˜ N p N c 1 ( k ) B ˜ ( k )

3.3. Event-Triggered Control

Event-triggered control does not involve computing and updating control inputs at every cycle, but rather at specific moments dictated by the system’s stability criteria. In this paper, the event-triggered control model during the modeling process is introduced to define the conditions for triggering times, allowing the optimization problem to be solved only at these triggering instances. When the control system state error falls below the event-triggered control threshold, the MPC controller ceases computation and maintains the previous output. This approach reduces the number and frequency of system samples, thereby decreasing the controller’s computational load and enhancing the trajectory tracking performance of the controller while ensuring the system operates normally [28].
Define the triggering time series as { t i | i N } , N is the set of natural numbers, and assume that the model predicts that the controller starts solving at the moment, and the optimization solution of the controller can only be solved at moments with a period of T.
t i + 1 = max { t i + T , t i * }
where t i * = inf { t i + k T | S t i + k T S t i 2 λ S t i 2 0 } , k is a natural number, λ is the event trigger weight, and S t i + k T is the current state of the control system.
Therefore the event trigger condition is:
S t i * S t i 2 λ S t i 2
When Equation (27) is satisfied, the event-triggering mechanism acts on the control system, the controller re-optimizes the solution, and the system state is S t i updated as S t i + 1 . If the conditions are not met, the system will skip executing a new MPC algorithm at that step and instead use the front wheel steering angle values from the most recent controller output for the vehicle model. In the improved MPC algorithm, the controller performs a calculation and updates the state during the initial sampling moment. Subsequently, at each sampling, if the control system meets the trigger conditions, the MPC controller recalculates and updates the control output. If the conditions are not met, the controller retains and uses the control output from the previous calculation. The flowchart of the event-triggered control algorithm is illustrated in Figure 3.
The flowchart of the event-triggered MPC algorithm is described in detail below.
Step 1: Started designing vehicle dynamics model and desired trajectories.
Step 2: Determine if the algorithm is running for the first time?
Step 3: If this is the first run, enter the initial state and control quantity information.
Step 4: If it is not the first run, input the current state quantity, add the event trigger mechanism, and determine whether the event trigger condition is satisfied. If the trigger condition is not satisfied, output the current state quantity and proceed to step 5. If the trigger condition is satisfied, output the last optimization to solve for the control volume and proceed to step 7.
Step 5: Combining objective function and optimization conditions to solve optimization problems.
Step 6: Output control volume.
Step 7: Input CarSim vehicle model and update state volume information.
Step 8: Controls the vehicle to track a preset trajectory and determines if the control system is in the last simulation cycle?
Step 9: If it is the last run cycle, stop the sampling and optimization problem solving and end the whole algorithmic flow. If not the last run cycle, return to step 4.
With the addition of the event-triggered mechanism, the system now requires a comparison logic check at each sampling. However, this comparison logic is significantly less complex than the periodic MPC algorithm. Therefore, incorporating the event-triggered MPC algorithm effectively reduces the overall computational load.

3.4. Objective Function Design

Given the increased complexity of the dynamic model of the ULV, additional constraints must be incorporated. To prevent system crashes and avoid becoming stuck due to infeasible solutions, Equation (28) presents the objective function, where in the control increment serves as the state variable, augmented with a relaxation factor.
J ( k ) = i = 1 N p Y ˜ a k Y ˜ a , r e f k Q 2 + i = 1 N c 1 Δ U ( k ) R 2 + ρ ε 2
where Q and R , respectively, represent the weighting matrices for the controlled output and input, ρ is the weighting coefficients, ε is the relaxation factor, the relaxation factor in the stability of MPC prevents the case where there is no feasible solution during execution. The initial component of the equation reflects the system’s demand for controller precision in tracking the reference trajectory, while the subsequent component underscores the stability necessity concerning control input variations [55]. This objective function is capable of accurately constraining the output state error and control increments and incorporating a relaxation factor to ensure that a feasible solution is available at each sampling moment of the execution process.
The main considerations are the control volume constraints and control increment limit constraints in the control system, as shown in Equation (29).
Δ U m i n Δ U ( k ) Δ U m a x U m i n U ( k ) U m a x
In the objective function, the variable to be determined is the control increment within the control horizon, with constraints allowed only in the form of control increments or the product of control increments with the transformation matrix.
Where
U ( k 1 ) = 1 N c u ( k 1 )
A = 1 0 0 1 1 0 0 1 1 1 0 0 1 1 1 1 I
where 1 N c is the column vector of rows Nc, I is the unit vector, ⊗ is the Kronecker product, u ( k 1 ) is the actual control volume at the previous moment.
Combining Equation (29) to Equation (31), Equation (32) is obtained:
U m i n A Δ U k + U ( k 1 ) U m a x
where U m i n and U m a x are the set of minimum and maximum values of the control quantity in the control horizon.
Transforming the objective function Equation (28) into the standard quadratic form and combining the constraints yields Equation (33).
J ( k ) = Δ U ( k ) T H Δ U ( k ) + G Δ U ( k )
where
H = Θ T Q Θ + R 0 0 ρ
G = 2 E ˜ T ( k ) Q Θ 0
E ˜ k = ψ ξ ˜ k Y ˜ a , r e f k
A series of optimal control inputs are computed over the control range by solving the following optimization problem:
min Δ U k J ( k )
where
s . t . Δ U m i n Δ U ( k ) Δ U m a x U m i n A Δ U k + U ( k 1 ) U m a x
After solving the objective function in each control cycle, a series of control input increments in the control horizon can be obtained as shown in Equation (38):
Δ U * k = Δ u * k , Δ u * k + 1 , , Δ u * k + N c 1 T
Utilizing the initial element of this sequence of control increments to adjust the front wheel angle as the actual control input increment, assume u k = u k 1 + Δ u * k , proceed to iterate through the aforementioned process to achieve trajectory tracking control of the ULV through a rolling cycle.

3.5. Design Disturbance Observer

Given that ULVs are affected by external disturbances during their operation and the trajectory tracking controller omits nonlinear terms in its solution, incorporating external disturbance into the prediction model can provide a more accurate prediction of the control system’s actual output [56]. This can be expressed as Equation (39):
F k = Y ˜ a k + G + Δ G ^ Δ U k + D ^ + D ˜
where Y ˜ a ( k ) is the steady-state output in the predicted horizon, G is the matrix of step response coefficients for each input corresponding to its corresponding output, Δ G ^ is an estimate of the uncertainty of the model parameters, Δ U ( k ) is the optimal control input increment matrix in the control horizon, D ^ is an estimate of the external disturbance, D ˜ is the higher-order disturbance term of the prediction model.
For MPC controllers that consider external disturbance, the disturbance term is usually assumed to be constant throughout the prediction horizon.
d k + i k = Y ( k ) Y ( k k 1 )
where Y ( k ) is the output of the system at the moment t = k, Y ( k | k 1 ) | is the predicted output of the model at moment t = k 1 for moment t = k .
The disturbance of ULV during trajectory tracking exhibits time-varying characteristics, and employing a disturbance observer allows for the estimation of future disturbances based on the historical output of the control system. Based on the historical data obtained at k moments, the total disturbance estimation at k + 1 moments can be expressed as Equation (41):
d k + i | k = Y ( k ) Y ^ a i k i + j = 1 i G ^ i , j k i Δ u k j
where Y ^ a i ( k i ) is the estimated value of ith row vector of the Y ˜ a ( k ) at the moment t = k i , G ^ i , j ( k i ) is the estimated parameter of the jth column of the i-th row of the response matrix G at t = k i .
We design the Lyapunov function as:
V 0 = d T X T MXd
where M = M T > 0 , d = d k + i | k .
Then we obtain
V ˙ 0 = d ˙ T X T MXd + d T X T M ˙ Xd + d T X T MX d ˙
By constructing the corresponding inequality, we obtain
X + X T X T M ˙ X Γ
where Γ > 0 is a symmetric positive definite matrix. Thus, there is Γ , making
V ˙ 0 d T Γ d = Γ V 0
where Γ > 0 . It can be seen that the disturbance observer converges exponentially, and the convergence accuracy depends on the value of parameter Γ > 0 . The larger the value of Γ > 0 , the faster the convergence speed and the higher the accuracy.

4. Improved MPC Strategy

Classical MPC operates on a periodic rolling schedule, where only the initial control action is executed in the system. In contrast, event-triggered MPC relies on specific event conditions to trigger actions, thereby minimizing unnecessary resource use and achieving a more efficient balance between system performance and resource utilization.
The prediction horizon Np and the weight matrix Q and R are several important parameters in the MPC control algorithm, where the step size of the prediction horizon Np influences the dimensionality and computational complexity of the controller in solving the optimization problem, and the weight matrix Q and R represent the weights of the state and control quantities in the objective function, Q = diag ( Q y , Q φ ) , R = R . The effect of these parameters on the MPC algorithm is shown in Table 2.

4.1. Effect of Different Parameters on Trajectory Tracking

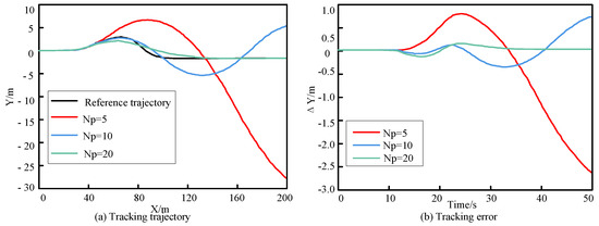
To examine how varying prediction horizons affect trajectory tracking control, we establish a co-simulation platform using CarSim-Matlab/Simulink for conducting simulation experiments. Two simulation speeds are configured: 10 km/h and 20 km/h. Three groups of different Np are set for the simulation test, and the reference trajectory is selected to be double shift line trajectory. The simulation results are presented in Figure 4 and Figure 5.
Based on the analysis of the simulation results, when the vehicle speed is 10 km/h and the prediction horizon step size is set to 5, the MPC controller exhibits the smallest lateral error while tracking the double shift line trajectory. But a large overshooting amount occurs when tracking the straight line part of the trajectory, and the lateral error gradually increases to 0.6 m, which is completely deviated from the target trajectory. When the prediction horizon step size is set to 10 and 20 in turn, the lateral error of the MPC controller in tracking the double shift line trajectory also gradually becomes larger, and the tracking result gradually deviates from the preset trajectory. As the tracking speed increases and is set to 20 km/h, when the prediction horizon step size is still 5, the lateral error of the MPC controller tracking double shift line trajectory is the largest, and the lateral error of the tracking when the prediction horizon step size is 10 and 20 is also larger than that of the speed of the vehicle is 10 km/h. This indicates that the choice of prediction horizon step size directly impacts the trajectory tracking performance of the ULV.
Figure 6 illustrates the impact of the lateral positional weight factor Q y on trajectory tracking performance, with other weight coefficients set at Q φ = 200 and R = 100. From the figure, it is evident that around longitudinal displacements of 110 m and 160 m, where the trajectory curvature increases, the vehicle’s stability decreases, resulting in a larger tracking error. An excessively high ratio of Q y to Q φ reduces tracking accuracy because Q y is not sensitive to trajectory errors, which amplifies the tracking error. Additionally, when the trajectory curvature is small and approaches a straight line, a higher Q y value worsens the tracking performance, increasing oscillations and degrading vehicle stability.
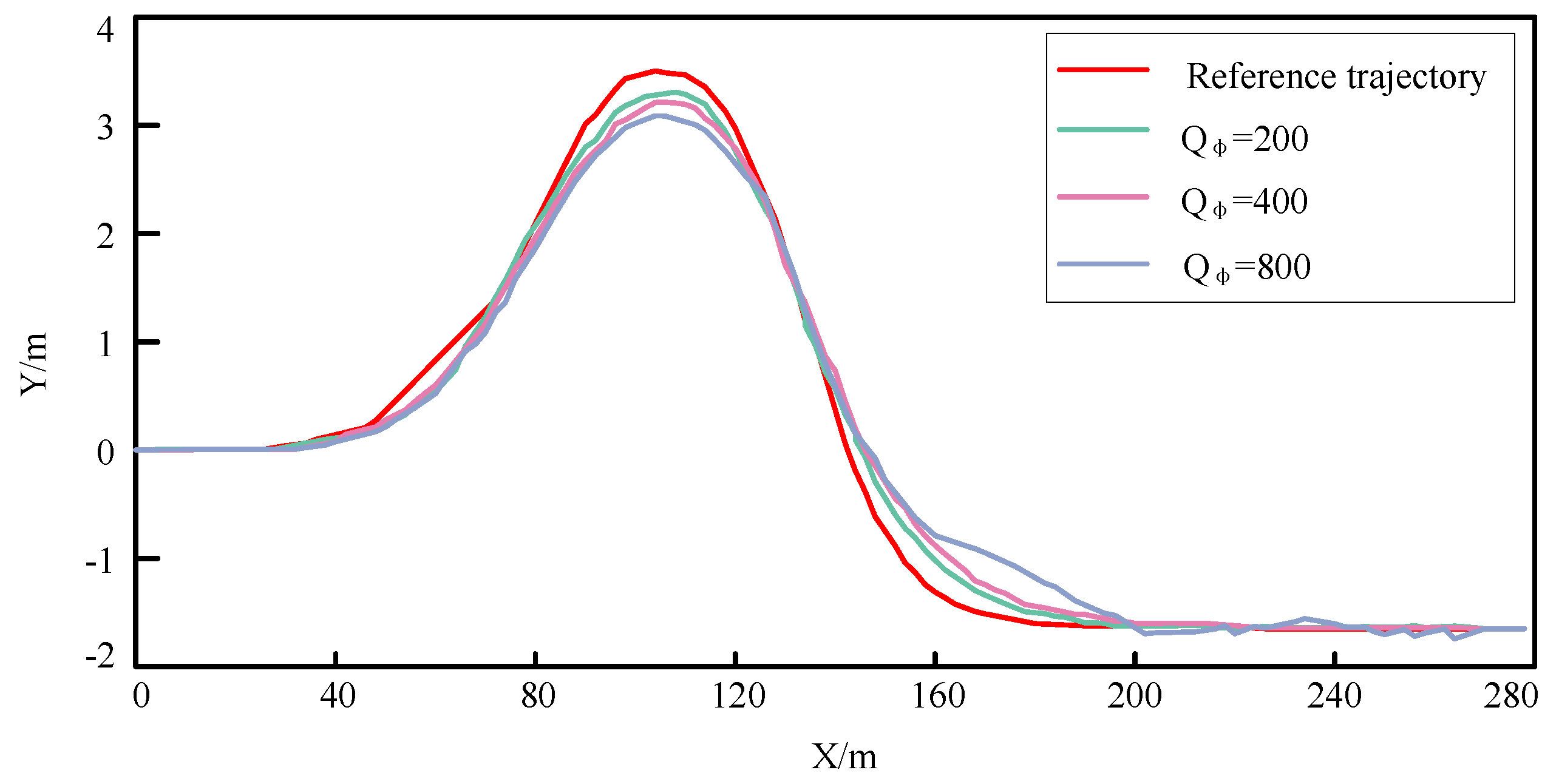
Figure 7 illustrates the effect of the yaw weight factor Q φ on trajectory tracking performance, with other coefficients set to Q y = 500 and R = 100. As shown in the figure, around longitudinal displacements of 110 m and 165 m, where the trajectory curvature increases, the amplitude of the vehicle’s yaw angle also increases, leading to deviations in the tracking trajectory. Near 170 m, the system rapidly reduces the error but at the expense of stability, causing oscillations in the traverse angle around the reference value and signs of divergence. Increasing Q φ mitigates this issue, but an excessively large Q φ may cause the controller to prioritize stability over convergence, thus reducing the speed at which the actual driving trajectory converges.
Figure 8 demonstrates the effect of the control weight factor R on trajectory tracking performance, with other weight coefficients set to Q y = 500 and Q φ = 200. When R = 100, the system shows low sensitivity to control increments, leading to jittery control behavior during turns. Conversely, when R is too large, the system becomes highly sensitive to trajectory errors, causing increased control increments and resulting in overshooting during turns. Additionally, a high R value causes increased fluctuations in control increments, slow convergence speed, and reduced driving stability due to larger trajectory errors. Therefore, for trajectories with small curvature, it is advisable to decrease Q y and Q φ , while for trajectories with large curvature, R should be reduced.

4.2. Fuzzy Adaptive Optimization Parameters MPC

Fuzzy logic control employs fuzzy set theory, fuzzy linguistic variables, and fuzzy logic reasoning to emulate human-like fuzzy reasoning and decision-making processes [57]. It begins by translating expert knowledge into fuzzy rules. Subsequently, it fuzzifies real-time sensor signals, utilizes these fuzzified signals as inputs for the fuzzy rules, conducts fuzzy reasoning, and generates output results based on the reasoning process [58].
Based on existing research, this paper designs a two-dimensional fuzzy controller with lateral deviation Δ Y and vehicle speed v as its inputs. The outputs of the fuzzy controller are the prediction horizon Np, lateral positional weight factor Q y , yaw weight factor Q φ , and control weight factor R. The domains of the output variables are all set to [0, 1]. The relationship between these output variables and the controller parameters is expressed in Equation (46). To account for allowable vehicle motion states during trajectory tracking, this paper defines fuzzy variable sets for both input and output of the fuzzy controller. These sets are categorized as Negative Big (NB), Negative Middle (NM), Negative Small (NS), Zero (ZO), Positive Small (PS), Positive Middle (PM), Positive Big (PB). The Triangular membership function and Gaussian membership function are also used to represent the membership of fuzzy sets, whose expressions are shown in Equations (47) and (48) as follows.
r N p = N p / max N p r Q Y = Q Y / max Q Y r Q φ = Q φ / max Q φ r R = R / max R
T ( x ) = 0 , x a x a b a , a x b c x c b , b x c 0 , x c
G ( x ) = e ( x c ) 2 2 σ 2
The image of the fuzzy controller input/output affiliation function in Figure 9.
The fuzzy rule table is designed to account for the relationship between inputs and outputs, with these rules based on human driving experience to optimize accuracy and smoothness in trajectory tracking. Reference [59], default setting for this paper, N p = 60 , Q = diag ( 360 , 360 ) , R = [ 150 ] , these parameters are adjusted in detail according to the fuzzy rule table in Table 3, Table 4, Table 5 and Table 6.
In order to evaluate the robustness of different settings of the parameters, this paper compares and analyzes the robustness of the vehicle yaw angle and front wheel steering angle when the parameters are the default settings and adaptive adjustments, respectively, and the results are shown in Figure 10. From subfigure (a), when the parameters are set by default, the maximum value of the vehicle yaw angle amplitude is 0.13 rad, the minimum value is −0.11 rad, and the absolute value of the amplitude change is 0.24 rad. When the parameters are set by adaptive setting, the maximum value of the vehicle yaw angle amplitude is 0.11 rad, the minimum value is −0.02 rad, and the absolute value of the amplitude change is 0.13 rad. From subfigure (b), when the parameters are set by default, the amplitude of the front wheel steering angle of the vehicle is 0.04 rad at maximum, −0.1 rad at minimum, and the absolute value of the amplitude change is 0.14 rad. When the parameters are set by adaptive setting, the amplitude of the front wheel steering angle of the vehicle is 0.03 rad at maximum, −0.05 rad at minimum, and the absolute value of the amplitude change is 0.08 rad. Therefore, the controller is more sensitive to the different ways of parameter setting, and the robustness of adaptive parameter setting is better than that of parameter default setting.
Based on the theoretical derivation provided, the logical framework of the enhanced MPC controller proposed in this paper is illustrated in Figure 11.

4.3. Stability Analysis

Theorem 1. 
Assuming that the predictive model of Equation (39) is accurate, the adaptive MPC trajectory tracking control system proposed is asymptotically stable [56].
Proof. 
For ease of description, the cost function in Equation (39) is rewritten in discrete form and the Liapunov function is defined as the optimal value of the objective function for each prediction horizon.
V k = J ( k ) = i = 1 N p Y ˜ a k + i Y ˜ a , r e f k + i Q 2 + i = 1 N c 1 Δ U ( k + i ) R 2
At this point, the optimal control vector after cyclic optimization at the moment t = k can be written as:
Δ U * k = [ Δ u * k , Δ u * k + 1 , , Δ u * k + N c 1 ] T
Define a set of optimal solutions at the moment t = k using the optimal solutions at the moment t = k + 1 with the expression:
Δ U * k + 1 = Δ u * k + 1 , Δ u * k + 2 , , Δ u * k + N c T
remain
J ( k + 1 ) J ( k + 1 )
where J ( k + 1 ) is the cost function obtained using the suboptimal solution.
Define the prediction error at the moment t = k + 1 as:
e k + i = Y ˜ a k + i Y ˜ a , r e f k + i Q 2
follow
J ( k + 1 ) = i = 1 N p e k + 1 + i + i = 1 N c 1 Δ U ( k + 1 + i ) R 2 = i = 1 N p e k + i + e k + N p + 1 e k + 1 + i = 1 N c 1 Δ U ( k + i ) R 2 Δ U ( k ) R 2 = J ( k ) + e k + N p + 1 e k + 1 Δ U ( k ) R 2
Equation (55) can be obtained by combining the constraints and Equation (52):
J ( k + 1 ) J ( k ) J ( k + 1 ) J ( k ) = e k + 1 Δ U ( k ) R 2 0
Because V ˙ k + 1 0 , the control system is asymptotically stable.

5. Analysis and Validation

In this section, a co-simulation platform incorporating MATLAB/Simulink 2022a and CarSim 2020.0 is developed, as depicted in Figure 12. The simulation and analysis of the trajectory tracking performance and effectiveness of the multi-parameter MPC controller, which utilizes event-triggered and fuzzy adaptive optimization as proposed in this paper, are conducted, with final verification carried out on real vehicles. Table 7 lists the basic parameters of the ULV configured in the joint simulation, while Table 8 provides the details of the controller parameters.

5.1. Analyzing Effectiveness of Improved MPC

Simulation tests produce a set of parameters optimized via fuzzy adaptive methods, with the multi-parameter adaptive optimization rule depicted in Figure 13. Subfigure (a) illustrates how the adaptive prediction horizon changes with the vehicle’s speed, leading to adjustments in the prediction horizon step size. Below 8 km/h, the step size remains fixed at 8. As speed increases, the step size enlarges progressively, albeit with random adjustments at various speeds. This adaptive algorithm for the prediction horizon parameter effectively manages the trajectory tracking controller’s computational resources, seeking an optimal balance between tracking accuracy, vehicle stability, and computation time. Subfigure (b) shows the variation in the lateral positional weight factor Q y with changes in vehicle speed. At approximately 2 km/h, the weight reaches a maximum of 1200; it then decreases gradually from 2 km/h to 8 km/h, reaching a minimum of 137 at 18 km/h. Subfigure (c) reveals the fluctuation in the yaw weight factor Q φ with vehicle speed. The weight peaks at 730 around 2 km/h, and as speed increases from 2 km/h to 8 km/h, the weight decreases to a minimum of 98. Finally, subfigure (d) depicts how the control weight factor R changes with varying vehicle speeds. At 0 km/h, the weight is at its lowest value of 129. As speed rises from 0 km/h to 7 km/h, the weight increases, reaching a peak of 1006 at 7 km/h.
To assess the effectiveness of the event-triggered MPC (ET-MPC) proposed in this paper, a comparison with the classical MPC controller was conducted, with the results illustrated in Figure 14. As shown in subfigure (a), the ET-MPC updates the state variables only when the system meets the trigger condition, unlike the classical MPC, which triggers at every sampling interval. This improvement helps the ET-MPC address the issue of periodic triggering. Additionally, the time required to solve the optimization problem is reduced, leading to lower computational complexity. Under the event-triggered mechanism, the optimization problem is solved only when the error between the actual and optimal trajectories surpasses a specified threshold. Additionally, the prediction horizon step value is adaptively set to 5. Subfigure (b) demonstrates a significant reduction in the cumulative number of triggers for ET-MPC compared to classical MPC. Specifically, classical MPC has a cumulative trigger count of 239, while ET-MPC has 128 triggers. This represents a 46.44% decrease in the total number of triggers due to the event-triggered mechanism, highlighting ET-MPC capability to lower computational complexity relative to classical MPC.
To illustrate the enhancements in optimization efficiency and reduction in computation time achieved by the proposed ET-MPC method, Table 9 provides the average solution time per optimization step. According to Table 9, the average optimization time per step is reduced by 46.43% with ET-MPC compared to the classical MPC method. The event-triggered mechanism accelerates the controller’s solution process, allowing the ET-MPC method to enhance control performance while also expediting computation.
To evaluate the effectiveness of the disturbance observer proposed in this paper, we present the error estimation plot of the disturbance observer in Figure 15. The figure demonstrates that, during the initial oscillation phase, the disturbance observer’s estimation is considerably lower than the total external disturbance estimation. After 15 s of simulation, the estimated disturbance value by the observer aligns closely with the actual external disturbance value, demonstrating the observer’s ability to effectively estimate errors in real time. The combined strategy of using the disturbance observer and MPC effectively addresses model uncertainties and disturbance factors, leading to improved suppression of composite disturbances and enhanced stability and accuracy in trajectory tracking for the ULV. This results in a better overall tracking performance of the controller.
A thorough analysis of Figure 13, Figure 14 and Figure 15 and Table 9 reveals that the MPC trajectory tracking controller, which utilizes an event-triggered mechanism and multi-parameter fuzzy adaptive optimization as proposed in this paper, outperforms the classical MPC method. It demonstrates enhanced trajectory tracking performance and reduced computational requirements, thereby validating the effectiveness and advantages of the proposed improved MPC strategy.

5.2. Comparative Analysis with Other Control Methods

To compare and evaluate the trajectory tracking performance of the improved MPC controller against the classical MPC controller proposed in this paper, a double shift trajectory is set as the tracking path. The results of these comparative experiments are presented in Figure 16. The expression for the double shift trajectory is shown in Equation (56) [59].
Y ( X ) = d y 1 2 [ 1 + tanh ( z 1 ) ] d y 2 2 [ 1 + tan ( z 2 ) ] φ ( X ) = arctan d y 1 1 cosh ( z 1 ) 2 1 · 2 d x 1 d y 2 1 cosh ( z 2 ) 2 1 · 2 d x 2
where
z 1 = 2.4 d x 1 ( X 27.19 ) 1.2 z 1 = 2.4 d x 2 ( X 56.46 ) 1.2 d x 1 = 25 , d x 2 = 21.95 d y 1 = 3.86 , d y 2 = 5.7
From subfigure (a), it is evident that at a longitudinal displacement of approximately 55 m, the vehicle tracks the maximum curvature of the double shift trajectory more effectively with the improved MPC controller, which is laterally closer to the preset trajectory. As the simulation progressed, both controllers ultimately aligned with the preset trajectory. From subfigure (b), it is observed that the improved MPC controller achieves a minimized lateral tracking error of −0.29 m at a longitudinal displacement of 48 m, whereas the classical MPC controller achieves a minimum error of −0.54 m. This represents a 46.29% reduction in lateral tracking error with the improved MPC controller compared to the classical MPC controller. Additionally, at a longitudinal displacement of 74 m, the maximum lateral tracking error for the improved MPC controller is 0.44 m, while for the classical MPC controller, it is 0.74 m, resulting in a 40.54% reduction.The absolute change in lateral tracking error for the improved MPC controller is 0.73 m, compared to 1.28 m for the classical MPC controller. From subfigure (c), it is evident that the yaw angle changes of the improved MPC controller more closely align with the preset trajectory, resulting in better tracking performance when the vehicle is displaced longitudinally around 39 m and 62 m, where the curvature of the double shift trajectory is greatest. As the simulation experiment continues, both controllers track the preset trajectory in the end. From subfigure (d), it is evident that at a longitudinal displacement of 41 m, the improved MPC controller achieves a minimum yaw angle error of −0.009 rad, while the classical MPC controller has a minimum error of −0.015 rad. This results in a 40% reduction in yaw angle error with the improved MPC controller. At a longitudinal displacement of 72 m, the maximum yaw angle error for the improved MPC controller is 0.026 rad, compared to 0.034 rad for the classical MPC controller, reflecting a 23.53% reduction. Overall, Figure 16 shows that the improved MPC controller consistently demonstrates lower lateral tracking and yaw angle errors compared to the classical MPC controller, resulting in a trajectory that more closely follows the preset path. Consequently, the improved MPC controller offers smoother, more accurate control with a more effective strategy.
In order to illustrate the superiority and novelty of the improved MPC method proposed in this paper more comprehensively, the improved MPC controller proposed in this paper and the Two-layer MPC controller are compared and analyzed, and the preset tracking trajectory is a double shift trajectory, and the results of the comparison experiments are shown in Figure 17. From subfigure (a), it can be seen that the vehicle is at longitudinal displacement of 55 m, when the curvature of the preset trajectory is the largest, and the lateral displacement of the improved MPC controller is closer to the preset trajectory. At about 90 m of longitudinal displacement, the improved MPC controller transverse displacement has already tracked the preset trajectory, while the Two-layer MPC controller transverse displacement deviates the farthest from the preset trajectory. As the simulation experiment continues, both controllers finally track the preset trajectory. From subfigure (b), it can be seen that at the longitudinal displacement of the vehicle at 58 m, the smallest magnitude of the front wheel angle of the improved MPC controller is −0.08 rad, while the smallest magnitude of the front wheel angle of the Two-layer MPC controller is −0.12 rad, and the absolute difference between the two controllers’ smallest magnitude of the front wheel angle is 0.04 rad. The improved MPC controller maximum amplitude of the front wheel angle is 0.043 rad, while the minimum amplitude of the front wheel angle of the Two-layer MPC controller is 0.061 rad. The front wheel angle of the improved MPC controller is reduced by 29.5% compared to the front wheel angle of the Two-layer MPC controller. Therefore, the control effect of improved MPC controller is smoother, more accurate, and the control strategy is more effective.
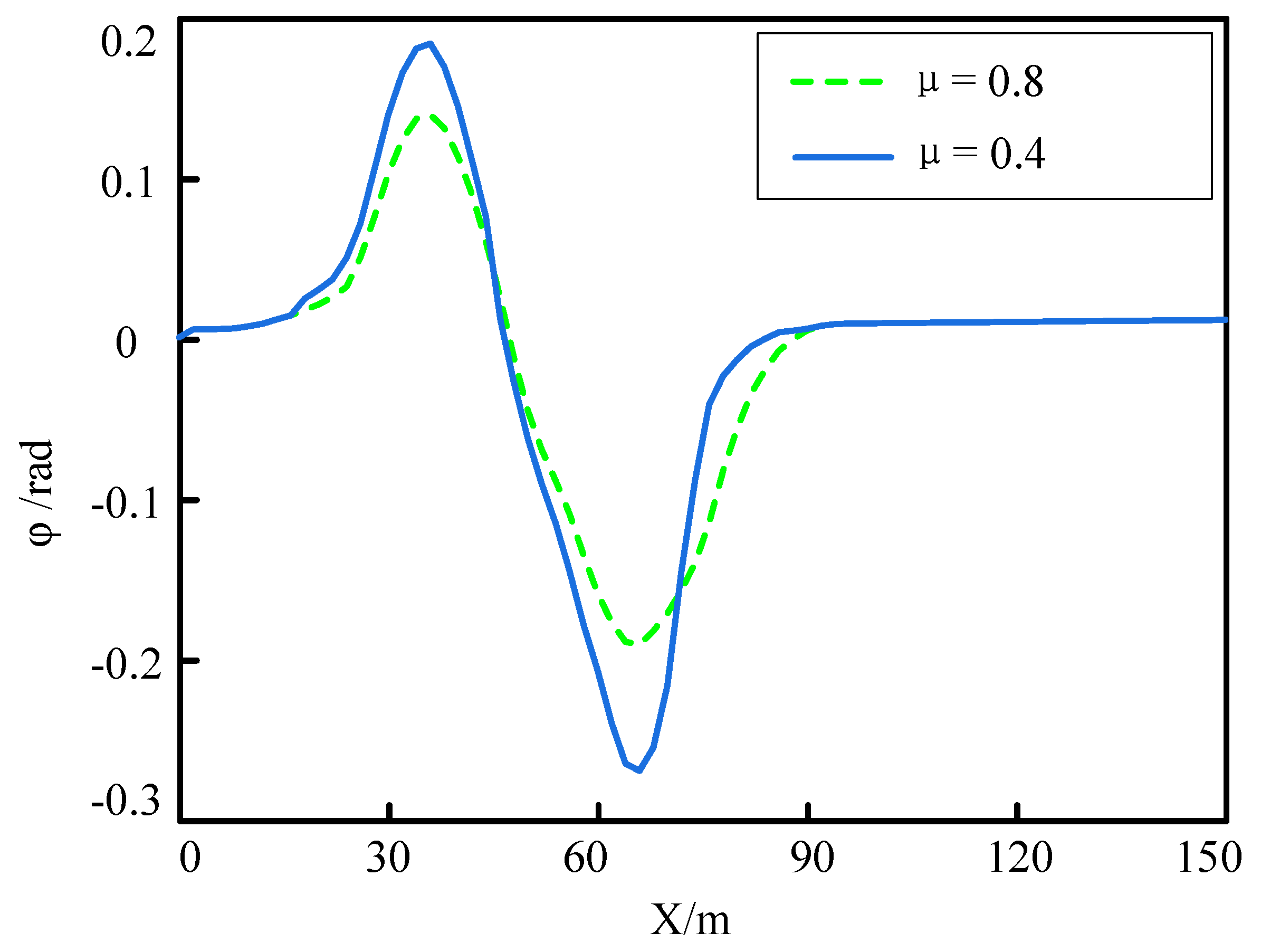
When the ULV is operated on road surfaces with different adhesion conditions (such as dry or wet road surfaces), the dynamic parameters of the vehicle itself change and the lateral force provided by the ground is insufficient. The vehicle was experimented on two road conditions with an adhesion coefficient of µ = 0.8 on dry road and µ = 0.4 on wet and slippery road. The vehicle operating speed is set to 10 km/h, the simulation results are shown in Figure 18. From the figure, it can be seen that when the adhesion coefficient µ = 0.8 on the dry road surface, the amplitude of the vehicle yaw angle is 0.14 rad at maximum, and −0.2 rad at minimum. When the adhesion coefficient µ = 0.4 on the wet road surface, the amplitude of the vehicle yaw angle is 0.18 rad at maximum, and −0.27 rad at minimum, so the vehicle yaw angle change amplitude is smaller on the dry road surface. Therefore, the vehicle yaw angle variation is smaller and the trajectory tracking effect is better on dry roads.
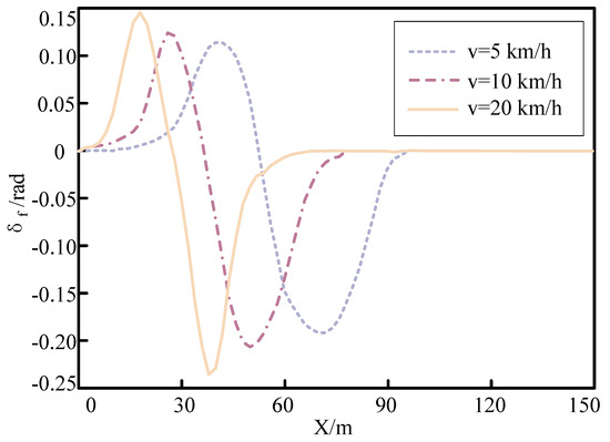
The control algorithm needs to determine different control parameters for different running speeds, and the MPC is robust to changes in running speed. The trajectory tracking effect of the controller is set for vehicle speeds of 5 km/h, 10 km/h, and 20 km/h, respectively, and the result is shown in Figure 19. From the figure, at a vehicle speed of 5 km/h, the maximum front wheel steering angle amplitude is 0.1 rad, and the minimum is −0.18 rad. At a vehicle speed of 10 km/h, the maximum front wheel steering angle amplitude is 0.12 rad, and the minimum is −0.21 rad. At a vehicle speed of 20 km/h, the maximum front wheel steering angle amplitude is 0.15 rad, and the minimum is −0.24 rad. As the vehicle speed increases, the range of front wheel angle amplitude changes also becomes larger. Therefore, in order to ensure good tracking effect, the vehicle speed should be kept within a reasonable range.
Meanwhile, the improved MPC controller designed is compared with the PHV-MPC algorithm in the paper [60] for verification, and the preset tracking trajectory is a circular trajectory, and the results of the comparison experiments are shown in Figure 20.
Subfigure (a) shows that the vehicle experiences minor fluctuations within a 5 m longitudinal displacement, and both controllers ultimately achieve tracking of the preset trajectory as the simulation progresses. Subfigure (b) shows that, at 10 s into the simulation, the lateral tracking error for the improved MPC controller is minimized to −0.03 m, while the PHV-MPC controller’s lateral tracking error reaches a maximum of 0.31 m. By 20 s, the lateral tracking error of the improved MPC controller is reduced to 0, whereas the PHV-MPC controller’s error only drops to 0 by 33 s. The steady-state response time of the improved MPC controller is reduced by 39.39% compared to that of the PHV-MPC controller. Overall, Figure 20 indicates that the improved MPC controller not only has a shorter steady-state response time but also achieves a trajectory tracking performance closer to the preset trajectory compared to the PHV-MPC controller. Thus, the improved MPC controller demonstrates superior control effectiveness.
In trajectory tracking control, the tracking performance is typically evaluated using indices related to tracking error, such as the integrated time-weighted absolute error (ITAE) and the integrated absolute error (IAE). Table 10 provides a comprehensive comparison of the tracking effectiveness among the four controllers: improved MPC, Two-layer MPC, PHV-MPC and classical MPC.
As shown in Table 10, the improved MPC method achieves lower ITAE and IAE values compared to the classical MPC, Two-layer MPC and PHV-MPC methods, indicating better trajectory tracking performance for the ULV. Comparing improved MPC with Two-layer MPC, classical MPC and PHV-MPC, where the ITAE is reduced by 31.67%, 58.03% and 39.94%, and the IAE is reduced by 41.06%, 67.2% and 49.62%, respectively. Therefore, the trajectory tracking control performance of the improved MPC controller outperforms the Two-layer MPC, classical MPC and PHV-MPC methods, produces smaller ITAE and IAE, and is able to track the preset trajectory more accurately and smoothly.

5.3. Experiment Vehicle Verification

To further validate the effectiveness of the improved MPC trajectory tracking controller introduced in this paper, a ROSMASTER unmanned vehicle experimental platform was built, as shown in Figure 21. The platform is equipped with laser radar (YDLIDAR4ROS), depth camera (ASTRA PRO PLUS), ROS master control (JETSON ORIN NX), CPU (Cortex-A76), 6000 mAh lithium battery pack, 520 encoder motors, anti-skid tires, Ackermann steering structure, and a PC selected Lenovo Thinkpad. The experiment vehicle can realize robot motion control, trajectory tracking, following obstacle avoidance, automatic driving and other functions.
The software module design for the ULV experimental platform is primarily divided into three components: the environment sensing module, the interface display module, and the control module. The design of these software function modules is illustrated in Figure 22. The environment sensing module utilizes laser radar and a depth camera to monitor the surroundings of the vehicle, enabling information acquisition and data processing for the ULV. The display module is responsible for the real-time display and storage of relevant information. Meanwhile, the control module manages vehicle motion to ensure accurate tracking of the predefined trajectory.
Due to the objective conditions, the experimental program itself has certain uncertainties, the experiment can only be carried out in a limited experimental environment, the tracking trajectory conditions are restricted to a large extent, and it is not possible to verify all the simulation conditions proposed in this paper. So only through the construction of ROSMASTER experimental platform on the straight line trajectory conditions in the experimental conditions allowed to carry out a low speed driving verification. The trajectory tracking experimental setup for the ULV is depicted in Figure 23. The effectiveness of the trajectory tracking controller is assessed by examining the lateral displacement and lateral error during the vehicle’s tracking of a straight-line trajectory. The results of the experimental vehicle tests are presented in Figure 24. Subfigure (a) compares the lateral displacement effects of trajectory tracking between simulation tests and experimental vehicle tests. It shows that the experimental vehicle can track the straight-line trajectory quite effectively, with results closely matching the simulation, although some oscillation is observed during the initial tracking phase. Subfigure (b) compares the lateral error results between simulation and experimental vehicle tests, indicating that during straight-line tracking, the lateral displacement error in the experimental vehicle with a maximum distance error of 0.55 m, thus achieving trajectory tracking within the acceptable range of steady-state error.

6. Conclusions

To address the trajectory tracking issue of ULV during goods distribution, this paper develops an improved MPC trajectory tracking controller by incorporating event-triggered mechanisms, disturbance observers, and fuzzy adaptive optimization of MPC parameters. The following conclusions can be drawn from this approach:
(1)
In the design process of MPC trajectory tracking controller, the event-triggered mechanism is introduced, which reduces the dimension of the optimization problem, reduces the computation amount, and reduces the total number of triggers of the control system by 46.44%. To address the vulnerability of ULV operation to external disturbances, the disturbance observer is used to estimate and compensate the disturbance of the ULV.
(2)
We implemented adaptive parameter optimization of the MPC controller using a fuzzy control algorithm, conducted an analysis of their adaptive change rule, and analyzed and verified the robustness of the adaptive change of the parameters. Consequently, the robustness of the adaptive setting of the parameters was shown to outperform that of the controller with default parameter settings. The analysis proves that the improved MPC trajectory tracking control system proposed in this paper is asymptotically stable.
(3)
Both the CarSim-Matlab/Simulink co-simulation platform and an experimental vehicle platform were developed. The co-simulation platform compares and verifies the improved MPC with the classical MPC, two-layer MPC, and PHV-MPC under double-shifted trajectory and circular trajectory, respectively. The experimental vehicle platform conducts field tests under the working conditions allowed by the experimental conditions, and the test results are compared and analyzed with the simulation results. The results show that the ITAE and IAE of the improved MPC method are lower than those of the classical MPC, two-layer MPC, and PHV-MPC methods. Therefore, the improved MPC control strategy proposed in this paper can enable an unmanned logistics vehicle to track the reference trajectory quickly and stably and reach a stable state.
The improved MPC control strategy designed in this paper is able to track the preset trajectory quickly and stably, and due to the objective conditions, the controller proposed in this paper cannot be verified in real delivery scenarios on ULV. Future research work also faces challenges such as uncertainties in the experimental scheme and limitations of real experimental equipment conditions.

Author Contributions

Conceptualization, J.Q.; Data curation, D.L.; Formal analysis, D.L., Q.Z., H.S. and Z.Z.; Funding acquisition, J.Q. and M.T.; Investigation, D.L., M.T., Q.Z., H.S. and Z.Z.; Methodology, J.Q., M.T. and D.L.; Project administration, J.Q.; Resources, J.Q. and D.L.; Software, D.L.; Supervision, J.Q. and M.T.; Validation, M.T., Q.Z., H.S. and Z.Z.; Visualization, D.L. and M.T.; Writing—original draft, J.Q. and D.L.; Writing—review and editing, J.Q. and M.T. All authors have read and agreed to the published version of the manuscript.

Funding

This research was funded by the National Natural Science Foundation of China [grant numbers 62363022, 61663021, 71763025, and 61861025]; Natural Science Foundation of Gansu Province [grant number 23JRRA886]; Gansu Provincial Department of Education: Industrial Support Plan Project [grant number 2023CYZC-35].

Data Availability Statement

Data are contained within the paper.

Conflicts of Interest

The authors declare no conflicts of interest.

References

  1. Li, X.; Ban, D.; Zhang, L. Research on unmanned logistics transportation based on unmanned driving technology and cloud platform. Mod. Ind. Econ. Inf. 2022, 12, 38–39. [Google Scholar] [CrossRef]
  2. Gao, X.; Yan, L.; Gerada, C. Modeling and analysis in trajectory tracking control for wheeled mobile robots with wheel skidding and slipping: Disturbance rejection perspective. Actuators 2021, 10, 222. [Google Scholar] [CrossRef]
  3. Elbanhawi, M.; Simic, M.; Jazar, R. Receding horizon lateral vehicle control for pure pursuit path tracking. J. Vib. Control 2018, 24, 619–642. [Google Scholar] [CrossRef]
  4. Singhal, K.; Kumar, V.; Rana, K.P.S. Robust trajectory tracking control of non-holonomic wheeled mobile robots using an adaptive fractional order parallel fuzzy PID controller. J. Frankl. Inst. 2022, 359, 4160–4215. [Google Scholar] [CrossRef]
  5. Sun, Z.; Hu, S.; Xie, H.; Li, H.; Zheng, J.; Chen, B. Fuzzy adaptive recursive terminal sliding mode control for an agricultural omnidirectional mobile robot. Comput. Electr. Eng. 2023, 105, 108529. [Google Scholar] [CrossRef]
  6. Yin, X.; Pan, L. Enhancing trajectory tracking accuracy for industrial robot with robust adaptive control. Robot. Comput. Integr. Manuf. 2018, 51, 97–102. [Google Scholar] [CrossRef]
  7. Wang, H.; Liu, P.; Zhao, X.; Liu, X. Adaptive fuzzy finite-time control of nonlinear systems with actuator faults. IEEE Trans. Cybern. 2020, 50, 1786–1797. [Google Scholar] [CrossRef] [PubMed]
  8. Wang, H.; Chen, M.; Liu, X. Fuzzy adaptive fixed-time quantized feedback control for a class of nonlinear systems. Acta Automat. Sin. 2021, 47, 2823–2830. [Google Scholar] [CrossRef]
  9. Xu, Y.; Tang, W.; Chen, B. A model predictive control with preview-follower theory algorithm for trajectory tracking control in autonomous vehicles. Symmetry 2021, 13, 381. [Google Scholar] [CrossRef]
  10. Ding, T.; Zhang, Y.; Ma, G.; Cao, Z.; Zhao, X.; Tao, B. Trajectory tracking of redundantly actuated mobile robot by MPC velocity control under steering strategy constraint. Mechatronics 2022, 84, 102779. [Google Scholar] [CrossRef]
  11. Zhao, H.; Yang, H.; Wang, Z.; Li, H. Nonlinear switched model predictive control with multiple Lyapunov functions for trajectory tracking and obstacle avoidance of nonholonomic systems. Int. J. Robust Nonlinear Control 2023, 33, 6171–6187. [Google Scholar] [CrossRef]
  12. Ren, Y.; Zheng, L.; Zhang, W. A study on active collision avoidance control of autonomous vehicles based on model predictive control. Automot. Eng. 2019, 41, 404–410. [Google Scholar] [CrossRef]
  13. Tang, Z.; Liu, H.; Xue, M. Trajectory tracking control of duai independent electric drive unmanned tracked vehicle based on MPC-MFAC. Acta Armamentarii 2023, 44, 129–139. [Google Scholar] [CrossRef]
  14. Lu, G.; Xu, W.; Zhang, F. On-manifold model predictive control for trajectory tracking on robotic systems. IEEE Trans. Ind. Electron. 2022, 70, 9192–9202. [Google Scholar] [CrossRef]
  15. Ghazali, M.; Durali, M.; Salarieh, H. Vehicle trajectory challenge in predictive active steering rollover prevention. Int. J. Automot. Technol. 2017, 18, 511–521. [Google Scholar] [CrossRef]
  16. Yang, H.; Guo, M.; Xia, Y. Trajectory tracking for wheeled mobile robots via model predictive control with softening constraints. IET Control Theory Appl. 2017, 12, 206–214. [Google Scholar] [CrossRef]
  17. Sun, B.; Gan, W.; Mei, M. Cascaded UUV trajectory tracking control based on model predictive and sliding mode control. J. Mar. Sci. Technol. 2017, 25, 671–679. [Google Scholar] [CrossRef]
  18. Yang, Z.; Wang, Z.; Yan, M. An optimization design of adaptive cruise control system based on MPC and ADRC. Actuators 2021, 10, 110. [Google Scholar] [CrossRef]
  19. Tang, M.; Lin, S.; Luo, Y. Mecanum wheel AGV trajectory tracking control based on efficient MPC algorithm. IEEE Access 2024, 12, 13763–13772. [Google Scholar] [CrossRef]
  20. Dai, L.; Yu, Y.; Zhai, D. Robust model predictive tracking control for robot manipulators with disturbances. IEEE Trans. Ind. Electron. 2020, 68, 4288–4297. [Google Scholar] [CrossRef]
  21. Choi, Y.; Park, J. Game-based lateral and longitudinal coupling control for autonomous vehicle trajectory tracking. IEEE Access 2022, 10, 31723–31731. [Google Scholar] [CrossRef]
  22. Xiao, Z.; Hu, M.; Fu, C.; Qin, D. Model predictive trajectory tracking control of unmanned vehicles based on radial basis function neural network optimisation. Proc. Inst. Mech. Eng. Part D J. Automob. Eng. 2023, 237, 347–361. [Google Scholar] [CrossRef]
  23. Hao, L.; Wang, R.; Shen, C. Trajectory tracking control of autonomous underwater vehicles using improved tube-based model predictive control approach. IEEE Trans. Ind. Inform. 2024, 20, 5647–5657. [Google Scholar] [CrossRef]
  24. Zhang, Y.; Tang, M.; Zhang, H. Emergency supplies transportation robot trajectory tracking control based on Koopman and improved event-triggered model predictive control. Int. J. Robust Nonlinear Control 2024, 1–23. [Google Scholar] [CrossRef]
  25. Cai, Z.; Zhou, H.; Zhao, J.; Wu, K.; Wang, Y. Formation control of multiple unmanned aerial vehicles by event-triggered distributed model predictive control. IEEE Access 2018, 6, 55614–55627. [Google Scholar] [CrossRef]
  26. Hung, N.; Pascoal, A.; Johansen, T. Cooperative path following of constrained autonomous vehicles with model predictive control and event-triggered communications. Int. J. Robust Nonlinear Control 2020, 30, 2644–2670. [Google Scholar] [CrossRef]
  27. Xia, G.; Yang, L.; Xiang, F. Event-triggered neural sliding mode guaranteed performance control. Processes 2022, 10, 1742. [Google Scholar] [CrossRef]
  28. Feng, L.; Li, Z.; Zang, C. New event-triggered model predictive control of vehicle trajectory tracking. Control Eng. China 2024, 1–9. [Google Scholar] [CrossRef]
  29. He, N.; Qi, L.; Li, R. Design of a model predictive trajectory tracking controller for mobile robot based on the event-triggering mechanism. Math. Probl. Eng. 2021, 2021, 5573467. [Google Scholar] [CrossRef]
  30. Sun, F.; Ai, Z. Trajectory tracking control of manipulator under event-triggered scheme. Modul. Mach. Tool Autom. Manuf. Tech. 2024, 6, 76–80. [Google Scholar] [CrossRef]
  31. Xiang, Y.; Luo, S.; Guo, S. Event-triggered based consensus control for platoon formation of intelligent connected vehicles. J. Syst. Sci. Math. Sci. 2024, 1–15. [Google Scholar] [CrossRef]
  32. Ge, X.; Han, Q.; Ding, L. Dynamic event-triggered distributed coordination control and its applications: A survey of trends and techniques. IEEE Trans. Syst. Man Cybern. Syst. 2020, 50, 3112–3125. [Google Scholar] [CrossRef]
  33. Xiao, J.; Liu, Y.; An, Y. Adaptive dynamic event-triggered fault tolerant control for uncertain strict-feedback nonlinear systems. Eur. J. Control 2024, 79, 101096. [Google Scholar] [CrossRef]
  34. Zhu, G.; Luo, M.; Cui, G. Dynamic event-triggered predefined-time adaptive attitude control for a QUAV with unknown deception attacks. Appl. Math. Comput. 2025, 485, 129003. [Google Scholar] [CrossRef]
  35. Zhan, H.; Wang, C.; Wu, X. Fixed-time event-triggered adaptive control of manipulator system with input deadzone and model uncertainty. Neurocomputing 2024, 602, 128265. [Google Scholar] [CrossRef]
  36. Zhang, Y.; Cui, R.; Guo, X. Distributed adaptive event-triggered consensus control for high-order multi-agent systems. J. Frankl. Inst. 2024, 361, 107137. [Google Scholar] [CrossRef]
  37. Xie, X.; Wang, Y.; Jin, L. Model predictive control trajectory tracking control based on adjusting the step size of control horizon. J. Jilin Univ. 2024, 54, 620–630. [Google Scholar] [CrossRef]
  38. Wang, Y.; Zhang, H.; Sun, Q. Research on trajectory tracking control based on adaptive MPC algorithm. Comput. Eng. Appl. 2021, 57, 251–258. [Google Scholar] [CrossRef]
  39. Wu, C.; Gao, S. MPC vehicle trajectory tracking control with adaptive predictive horizon parameters. J. Chongqing Univ. Technol. 2024, 38, 99–108. [Google Scholar] [CrossRef]
  40. Zhang, B.; Zong, C.; Chen, G. An adaptive-prediction-horizon model prediction control for path tracking in a four-wheel independent control electric vehicle. Proc. Inst. Mech. Eng. Part D J. Automob. Eng. 2019, 233, 3246–3262. [Google Scholar] [CrossRef]
  41. Wang, H.; Wang, Q.; Chen, W. Path tracking based on model predictive control with variable predictive horizon. Trans. Inst. Meas. Control 2021, 43, 2676–2688. [Google Scholar] [CrossRef]
  42. Wang, H.; Liu, B.; Ping, X. Path tracking control for autonomous vehicles based on an improved MPC. IEEE Access 2019, 7, 161064–161073. [Google Scholar] [CrossRef]
  43. Li, P.; Yang, Z.; Chen, Y. Rearch on MPC trajectory tracking under variable weight matrix. Mach. Tool Hydraul. 2022, 50, 62–68. [Google Scholar] [CrossRef]
  44. Jin, H.; Lu, K. Intelligent vehicle trajectory tracking based on multiparameter adaptive optimization. China J. Highw. Transp. 2023, 36, 260–272. [Google Scholar] [CrossRef]
  45. Li, S.; Yang, Z.; Wang, X. Trajectory tracking control of an intelligent vehicle based on T-S fuzzy variable weight MPC. J. Mech. Eng. 2023, 59, 199–212. [Google Scholar] [CrossRef]
  46. Qin, P.; Zhao, T.; Liu, N.; Mei, Z.; Yan, W. Predefined-time fuzzy neural network control for omnidirectional mobile robot. Processes 2023, 11, 23. [Google Scholar] [CrossRef]
  47. Li, L.; Wang, T.; Xia, Y.; Zhou, N. Trajectory tracking control for wheeled mobile robots based on nonlinear disturbance observer with extended Kalman filter. J. Frankl. Inst. 2020, 357, 8491–8507. [Google Scholar] [CrossRef]
  48. Yue, X.; Lv, B.; Liu, C.; Han, H. Neural network disturbance observer-based attitude control for flexible spacecrafts. Aerosp. Shanghai 2023, 39, 58–65. [Google Scholar] [CrossRef]
  49. Sharma, M.; Kar, I. Nonlinear disturbance observer based geometric control of quadrotors. Asian J. Control 2021, 23, 1936–1951. [Google Scholar] [CrossRef]
  50. Song, N.; Zhao, J.; Gong, J. Resrarch on the contact dynamic analysis method of vehicle on nonsmooth road surface. Chin. J. Theor. Appl. Mech. 2024, 56, 1762–1774. [Google Scholar] [CrossRef]
  51. Liu, K.; Gong, J.; Chen, S. Dynamic modeling analysis of optimal motion planning and control for high-speed self-driving vehicles. J. Mech. Eng. 2018, 54, 141–151. [Google Scholar] [CrossRef]
  52. Yang, T.; Bai, Z.; Li, Z.; Feng, N.; Chen, L. Intelligent vehicle lateral control method based on feedforward + predictive LQR algorithm. Actuators 2021, 10, 228. [Google Scholar] [CrossRef]
  53. Yan, Y.; Tang, M.; Wang, W.; Zhang, Y.; An, B. Trajectory tracking control of wearable upper limb rehabilitation robot based on Laguerre model predictive control. Robot. Auton. Syst. 2024, 179, 104745. [Google Scholar] [CrossRef]
  54. Li, L.; Shao, S.; Yiu, K. Nonlinear dynamical system modeling via recurrent neural networks and a weighted state space search algorithm. J. Ind. Manag. Optim. 2011, 7, 385–400. [Google Scholar] [CrossRef]
  55. Gao, Y.; Li, R.; Shi, Y. Design of path planning and tracking control of quadrotor. J. Ind. Manag. Optim. 2022, 18, 2221–2235. [Google Scholar] [CrossRef]
  56. Hou, S.; Wang, Z.; Zhi, P. Trajectory tracking control method of biplane air vehicle considering model-environment uncertainty. J. Jilin Univ. 2024, 1–12. [Google Scholar] [CrossRef]
  57. Wen, S.; Chen, M.; Zeng, Z. Fuzzy control for uncertain vehicle active suspension systems via dynamic sliding-mode approach. IEEE Trans. Syst. Man Cybern. Syst. 2017, 47, 24–32. [Google Scholar] [CrossRef]
  58. Liao, J.; Han, Z.; Chen, J. Cooperative fuzzy control for path tracking and yaw moment of intelligent vehicle. J. Comput. Appl. 2023, 43, 250–255. [Google Scholar] [CrossRef]
  59. Gong, J.; Liu, K.; Qi, J. Model Predictive Control for Self-Driving Vehicles, 2nd ed.; Beijing Institute of Technology Press: Beijing, China, 2020; pp. 133–134. [Google Scholar]
  60. Chen, Z.; Lai, J.; Li, P.; Awad, O.; Zhu, Y. Prediction horizon-varying model predictive control (MPC) for autonomous vehicle control. Electronics 2024, 13, 1442. [Google Scholar] [CrossRef]
Figure 1. Vehicle dynamics model.
Figure 1. Vehicle dynamics model.
Processes 12 01878 g001
Figure 2. MPC schematic diagram.
Figure 2. MPC schematic diagram.
Processes 12 01878 g002
Figure 3. Event-trigger control algorithm flowchart.
Figure 3. Event-trigger control algorithm flowchart.
Processes 12 01878 g003
Figure 4. Effect of Np on trajectory tracking at 10 km/h.
Figure 4. Effect of Np on trajectory tracking at 10 km/h.
Processes 12 01878 g004
Figure 5. Effect of Np on trajectory tracking at 20 km/h.
Figure 5. Effect of Np on trajectory tracking at 20 km/h.
Processes 12 01878 g005
Figure 6. Effect of Q y on trajectory tracking.
Figure 6. Effect of Q y on trajectory tracking.
Processes 12 01878 g006
Figure 7. Effect of Q φ on trajectory tracking.
Figure 7. Effect of Q φ on trajectory tracking.
Processes 12 01878 g007
Figure 8. Effect of R on trajectory tracking.
Figure 8. Effect of R on trajectory tracking.
Processes 12 01878 g008
Figure 9. Input/output images of the affiliation function.
Figure 9. Input/output images of the affiliation function.
Processes 12 01878 g009
Figure 10. Evaluate robustness of differing settings.
Figure 10. Evaluate robustness of differing settings.
Processes 12 01878 g010
Figure 11. Logical framework of improved MPC controller.
Figure 11. Logical framework of improved MPC controller.
Processes 12 01878 g011
Figure 12. Simulink and CarSim co-simulation platform.
Figure 12. Simulink and CarSim co-simulation platform.
Processes 12 01878 g012
Figure 13. Multi-parameter adaptive rule of change.
Figure 13. Multi-parameter adaptive rule of change.
Processes 12 01878 g013
Figure 14. Analyzing the effectiveness of ET-MPC.
Figure 14. Analyzing the effectiveness of ET-MPC.
Processes 12 01878 g014
Figure 15. Error estimation for disturbance observers.
Figure 15. Error estimation for disturbance observers.
Processes 12 01878 g015
Figure 16. Comparison of improved MPC and classical MPC trajectory tracking effectiveness.
Figure 16. Comparison of improved MPC and classical MPC trajectory tracking effectiveness.
Processes 12 01878 g016
Figure 17. Comparison of improved MPC and Two-layer MPC trajectory tracking effectiveness.
Figure 17. Comparison of improved MPC and Two-layer MPC trajectory tracking effectiveness.
Processes 12 01878 g017
Figure 18. Adhesion coefficient of different road surfaces.
Figure 18. Adhesion coefficient of different road surfaces.
Processes 12 01878 g018
Figure 19. Different vehicle speeds.
Figure 19. Different vehicle speeds.
Processes 12 01878 g019
Figure 20. Improved MPC and PHV-MPC trajectory tracking effectiveness comparison.
Figure 20. Improved MPC and PHV-MPC trajectory tracking effectiveness comparison.
Processes 12 01878 g020
Figure 21. Experiment vehicle platform.
Figure 21. Experiment vehicle platform.
Processes 12 01878 g021
Figure 22. Software functional module diagram.
Figure 22. Software functional module diagram.
Processes 12 01878 g022
Figure 23. Experimental scenario.
Figure 23. Experimental scenario.
Processes 12 01878 g023
Figure 24. Experiment vehicle results.
Figure 24. Experiment vehicle results.
Processes 12 01878 g024
Table 1. The meanings of parameters.
Table 1. The meanings of parameters.
ParametersDefinitionUnit
mvehicle masskg
x ˙ vehicle longitudinal speedkm/h
y ˙ vehicle lateral speedkm/h
φ ˙ yaw raterad/s
adistance from center of mass to front axlem
bdistance from center of mass to rear axlem
δ f front wheel anglerad
I z moment of inertia about the z-axis kg · m 2
F x f / F x r front/rear wheels force along the x-axisN
F y f / F y r front/rear wheels force along the y-axisN
F l f / F l r longitudinal force on front/rear wheelsN
F c f / F c r lateral force on front/rear wheelsN
Table 2. Important parameters in the MPC algorithm.
Table 2. Important parameters in the MPC algorithm.
ParametersImplications for the MPC Algorithm
Prediction horizon NpAffect the controller’s calculation time
Lateral positional weight factor Q y Influence on control accuracy of lateral position tracking
Yaw weight factor Q φ Influence on the control accuracy of vehicle yaw angle
Control weight factor RAffects the smoothness of the controller output
Table 3. Fuzzy rule table for Np.
Table 3. Fuzzy rule table for Np.
r Np Δ Y
NBNMNSZOPSPMPB
vNBZONSNMNBNMNSZO
NMPSZONSNMNSZOPS
NSPMPSZONSZOPSPM
ZOPBPMPSZOPSPMPB
PSPBPBPMPSPMPBPB
PMPBPBPBPMPBPBPB
PBPBPBPBPBPBPBPB
Table 4. Fuzzy rule table for Q y .
Table 4. Fuzzy rule table for Q y .
r Q Y Δ Y
NBNMNSZOPSPMPB
vNBNBNMNSZONSNMNB
NMNMNSZOPSZONSNM
NSNSZOPSPMPSZONS
ZOZOPSPMPBPMPSZO
PSNSZOPSPMPSZONS
PMNMNSZOPSZONSNM
PBNBNMNSZONSNMNB
Table 5. Fuzzy rule table for Q φ .
Table 5. Fuzzy rule table for Q φ .
r Q φ Δ Y
NBNMNSZOPSPMPB
vNBPBPMPSZOPSPMPB
NMPMPSZONSZOPSPM
NSPSZONSNMNSZOPS
ZOZONSNMNBNMNSZO
PSPSZONSNMNSZOPS
PMPMPSZONSZOPSPM
PBPBPMPSZOPSPMPB
Table 6. Fuzzy rule table for R.
Table 6. Fuzzy rule table for R.
r R Δ Y
NBNMNSZOPSPMPB
vNBZONSNMNBNMNSZO
NMPSZONSNMNSZOPS
NSPMPSZONSZOPSPM
ZOPBPMPSZOPSPMPB
PSPMPSZONSZOPSPM
PMPSZONSNMNSZOPS
PBZONSNMNBNMNSZO
Table 7. Basic vehicle parameters.
Table 7. Basic vehicle parameters.
DefinitionValue
Vehicle mass m850 kg
Distance from front axle to vehicle center of mass a0.897 m
Distance from rear axle to vehicle center of mass b0.706 m
Moment of inertia I z 580.5 kg · m 2
Front/rear tire slip rate s f / s r 0.2
Table 8. Controller parameters.
Table 8. Controller parameters.
DefinitionValue
Prediction horizon Np20
Control horizon Nc3
Sampling time T0.05 s
Weight matrix Q diag(500, 200)
Weight matrix R [100]
Relaxation factor ε 800
Table 9. Comparison of the solution time of the two controllers.
Table 9. Comparison of the solution time of the two controllers.
Control MethodSolution Time
ET-MPC0.15 s
Classical MPC0.28 s
Table 10. Performance comparison of four controllers.
Table 10. Performance comparison of four controllers.
Control MethodsITAEIAE
Improved MPC10.424.65
Two-layer MPC15.257.89
PHV-MPC17.359.23
Classical MPC24.8314.18
Disclaimer/Publisher’s Note: The statements, opinions and data contained in all publications are solely those of the individual author(s) and contributor(s) and not of MDPI and/or the editor(s). MDPI and/or the editor(s) disclaim responsibility for any injury to people or property resulting from any ideas, methods, instructions or products referred to in the content.

Share and Cite

MDPI and ACS Style

Qiu, J.; Lin, D.; Tang, M.; Zhang, Q.; Song, H.; Zhao, Z. Trajectory Tracking of Unmanned Logistics Vehicle Based on Event-Triggered and Adaptive Optimization Parameters MPC. Processes 2024, 12, 1878. https://doi.org/10.3390/pr12091878

AMA Style

Qiu J, Lin D, Tang M, Zhang Q, Song H, Zhao Z. Trajectory Tracking of Unmanned Logistics Vehicle Based on Event-Triggered and Adaptive Optimization Parameters MPC. Processes. 2024; 12(9):1878. https://doi.org/10.3390/pr12091878

Chicago/Turabian Style

Qiu, Jiandong, Dingqiang Lin, Minan Tang, Qiang Zhang, Hailong Song, and Zixin Zhao. 2024. "Trajectory Tracking of Unmanned Logistics Vehicle Based on Event-Triggered and Adaptive Optimization Parameters MPC" Processes 12, no. 9: 1878. https://doi.org/10.3390/pr12091878

APA Style

Qiu, J., Lin, D., Tang, M., Zhang, Q., Song, H., & Zhao, Z. (2024). Trajectory Tracking of Unmanned Logistics Vehicle Based on Event-Triggered and Adaptive Optimization Parameters MPC. Processes, 12(9), 1878. https://doi.org/10.3390/pr12091878

Note that from the first issue of 2016, this journal uses article numbers instead of page numbers. See further details here.

Article Metrics

Back to TopTop