Effect on Top-Coal Mass Failure under Load–Unload Induced by Shield Support
Abstract
1. Introduction
2. The Destruction Process of the Roof Coal on the Upper Part of the Hydraulic Support
2.1. The Initial Stage of Support Setting
2.2. Support Cyclic Lifting and Disturbance Stage
2.3. Crack Propagation Pattern in the Support Disturbance Zone
2.4. Calculation Methods for Coal Strength
3. Analysis of the Roof Coal Failure Process in the Caving Mining Support Control Zone
3.1. Numerical Model
3.2. Methods of Applying Ground Stress and Support Disturbance Schemes
3.2.1. Application of Ground Stress
Elastic Model Initialization
Parameter Reassignment and Constitutive Models
3.2.2. Excavation and Support Disturbance Scheme
Coal in the Coal Wall Support Area
Initial Support Stage
Support Beam Disturbance Stage
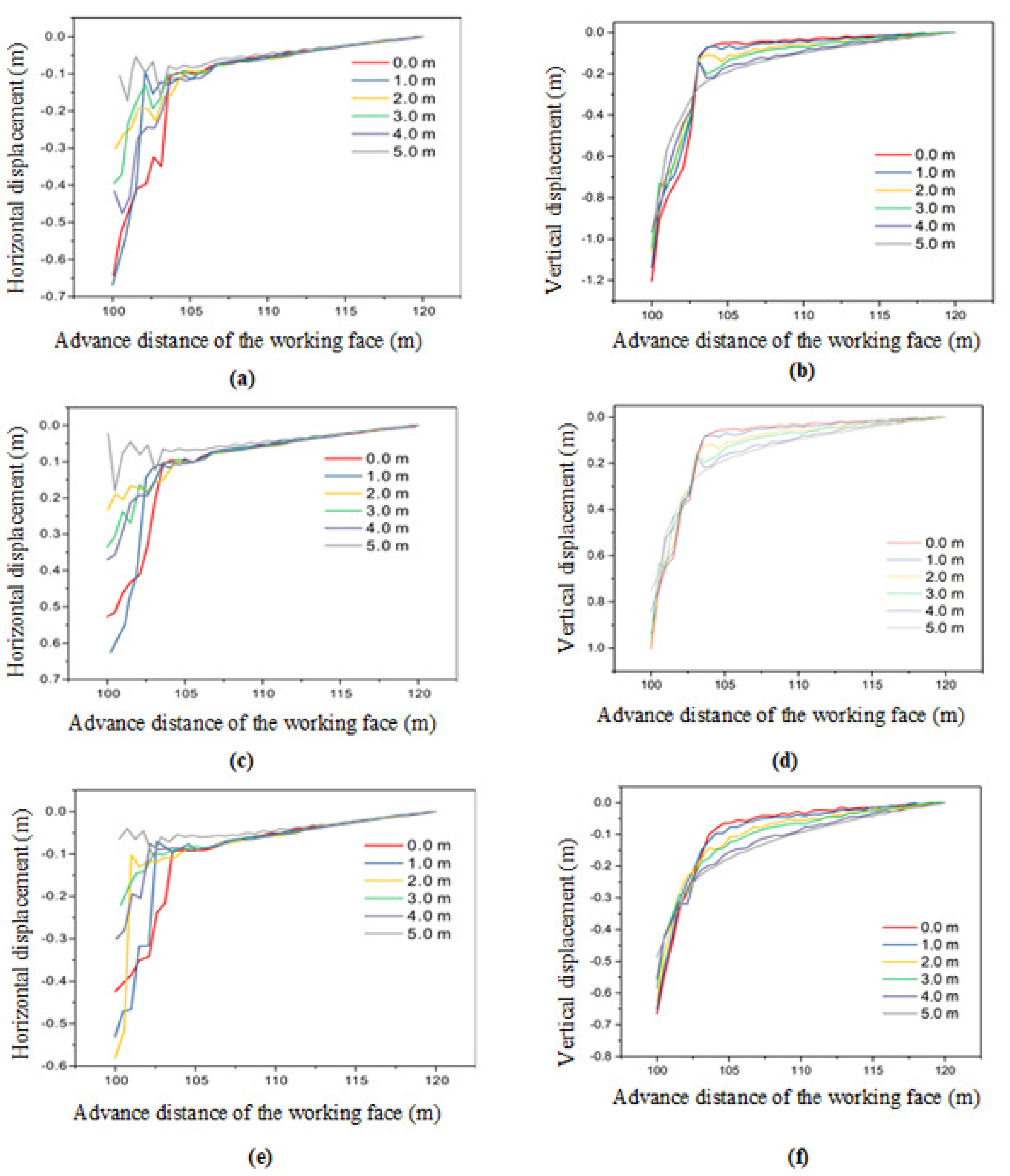
3.3. Initial Support Phase of the Bracket
3.4. Support Cyclic Disturbance Stage
4. Conclusions
Author Contributions
Funding
Data Availability Statement
Conflicts of Interest
References
- Dang, J.; Tu, M.; Zhang, X.; Bu, Q. Research on the bearing characteristics of brackets in thick hard roof mining sites and the effect of blasting on roof control. Geomech. Geophys. Geo-Energy Geo-Resour. 2024, 10, 18. [Google Scholar] [CrossRef]
- Arif, Ç.; Yılmaz, Ö. Investigation of the efficiency of longwall top coal caving method applied by forming a face in horizontal thickness of the seam in steeply inclined thick coal seams by using a physical model. Int. J. Rock Mech. Min. Sci. 2021, 148, 104917. [Google Scholar] [CrossRef]
- Guo, J.; Huang, W.; Feng, G.; Bai, J.; Li, L.; Wang, Z.; Yu, L.; Wen, X.; Zhang, J.; Feng, W. Stability analysis of longwall top-coal caving face in extra-thick coal seams based on an innovative numerical hydraulic support model. Int. J. Min. Sci. Technol. 2024, 34, 491–505. [Google Scholar] [CrossRef]
- Liang, Y.; Ran, Q.; Zou, Q.; Zhang, B.; Hong, Y. Experimental Study of Mechanical Behaviors and Failure Characteristics of Coal Under True Triaxial Cyclic Loading and Unloading and Stress Rotation. Nat. Resour. Res. 2022, 31, 971–991. [Google Scholar] [CrossRef]
- Kong, D.; Cheng, Z.; Zheng, S. Study on the failure mechanism and stability control measures in a large-cutting-height coal mining face with a deep-buried seam. Bull. Eng. Geol. Environ. 2019, 78, 6143–6157. [Google Scholar] [CrossRef]
- Xue, J.; Zhao, T. Deformation and Fracture Characteristics of Coal Gangue Interbedded Samples under Loading and Unloading Conditions. Adv. Civ. Eng. 2022, 10, 1.1–1.12. [Google Scholar] [CrossRef]
- Han, P.; Zhang, C.; He, X.; Wang, X.; Qiao, Y. DEM fluid–solid coupling method for progressive failure simulation of roadways in a fault structure area with water-rich roofs. Geomech. Geophys. Geo-Energy Geo-Resour. 2022, 8, 194. [Google Scholar] [CrossRef]
- Deng, G.; Xie, H.; Gao, M.; Li, C.; He, Z. Numerical Simulation on the Evolution of Mining-Induced Fracture Network in a Coal Seam and Its Overburden under the Top Coal Caving Method. Adv. Civ. Eng. 2020, 2020, 8833193. [Google Scholar] [CrossRef]
- Wang, J.; Wang, Z.; Li, Y. Longwall Top Coal Caving Mechanisms in the Fractured Thick Coal Seam. Int. J. Geomech. 2020, 20, 06020017. [Google Scholar] [CrossRef]
- Song, Z.; Konietzky, H.; Herbst, M. Drawing mechanism of fractured top coal in longwall top coal caving. Int. J. Rock Mech. Min. Sci. 2020, 130, 104329. [Google Scholar] [CrossRef]
- Wei, W.; Yang, S.; Li, M.; Zhang, J.; Wei, C. Motion Mechanisms for Top Coal and Gangue Blocks in Longwall Top Coal Caving (LTCC) with an Extra-Thick Seam. Rock Mech. Rock Eng. 2022, 55, 5107–5121. [Google Scholar] [CrossRef]
- Wang, F.; Xie, H.; Zhou, C.; Wang, Z.; Li, C. Combined effects of fault geometry and roadway cross-section shape on the collapse behaviors of twin roadways: An experimental investigation. Tunn. Undergr. Space Technol. 2023, 137, 105106. [Google Scholar] [CrossRef]
- Liang, Y.; Li, L.; Li, X.; Wang, K.; Chen, J.; Sun, Z.; Yang, X. Study on Roof-Coal Caving Characteristics with Complicated Structure by Fully Mechanized Caving Mining. Shock. Vib. 2019, 2019, 6519213. [Google Scholar] [CrossRef]
- Gao, F.; Lv, S.; Zhang, C.; Zhang, P.; Guo, Z.; Ma, Q.; Zhang, X. Discrete- and Finite-Element Analysis on the Tunneling Safety of Pipe Jacking Machine in Coal Rock Formation. Int. J. Heat Technol. 2020, 38, 801–807. [Google Scholar] [CrossRef]
- Nan, H.; Wang, S. Migration law of different top coal thicknesses in top coal caving. Front. Earth Sci. 2022, 10, 999979. [Google Scholar] [CrossRef]
- Tian, C.; Wang, A.; Liu, Y.; Jia, T. Study on the Migration Law of Overlying Strata of Gob-Side Entry Retaining Formed by Roof Cutting and Pressure Releasing in the Shallow Seam. Shock. Vib. 2020, 2020, 8821160. [Google Scholar] [CrossRef]
- Xue, B.; Zhang, W.; Wang, C. Determination of working resistance of support parameter variation of large mining height support: The case of Caojiatan coal mine. Geomech. Geophys. Geo-Energy Geo-Resour. 2024, 10, 1. [Google Scholar] [CrossRef]
- Liu, H.; Dai, J.; Jiang, J.; Wang, P.; Yang, J. Analysis of Overburden Structure and Pressure-Relief Effect of Hard Roof Blasting and Cutting. Adv. Civ. Eng. 2019, 2, 1354652. [Google Scholar] [CrossRef]
- Guo, Z.; Mou, W.; Huang, W.; Duan, H. Analysis on Roadside Support Method with Constant Resistance Yielding-Supporting Along the Goaf Under Hard Rocks. Geotech. Geol. Eng. 2016, 34, 827–834. [Google Scholar] [CrossRef]
- Wang, K.; Zhao, T.; Yetilmezsoy, K.; Zhang, X. Cutting-Caving Ratio Optimization of Fully Mechanized Caving Mining with Large Mining Height of Extremely Thick Coal Seam. Adv. Civ. Eng. 2019, 2019, 7246841. [Google Scholar] [CrossRef]
- Yue, X.; Tu, M.; Li, Y.; Chang, G.; Li, C. Stability and Cementation of the Surrounding Rock in Roof-Cutting and Pressure-Relief Entry under Mining Influence. Energies 2022, 15, 951. [Google Scholar] [CrossRef]
- Wang, J.; Yang, S.; Wei, W.; Zhang, J.; Song, Z. Drawing mechanisms for top coal in longwall top coal caving (LTCC)_ A review of two decades of literature. Int. J. Coal Sci. Technol. 2021, 8, 1171–1196. [Google Scholar] [CrossRef]
- Vu, T. Solutions to prevent face spall and roof falling in fully mechanized longwall at underground mines. Min. Miner. Depos. 2022, 12, 127–134. [Google Scholar] [CrossRef]
- Dyczko, A.; Malec, M.; Prostanski, D. The efficiency of longwall systems in the case of using different cutting technologies in the LW Bogdanka. Acta Montan. Slovaca 2020, 25, 504–516. [Google Scholar] [CrossRef]
- Ma, B.; Xie, H.; Zhou, C.; Zhou, H.; Gao, F.; Cao, P.; Zhu, J. Experimental investigation into influence of surrounding rock on strainburst: Insight from failure process and energy partition. Int. J. Rock Mech. Min. Sci. 2024, 175, 105685. [Google Scholar] [CrossRef]
- Zhang, J.; Jiang, Y.; Li, B.; Guo, J.; Lu, W.; Qu, L. Modeling and coupling analysis of enhanced coalbed methane recovery by gas injection. Int. J. Numer. Anal. Methods. Geomech. 2024, 48, 1931–1948. [Google Scholar] [CrossRef]
- Guo, W.; Li, Y.; Wang, G. The Instability Characteristics and Displacement Law of Coal Wall Containing Joint Fissures in the Fully Mechanized Working Face with Great Mining Height. Energies 2022, 15, 9059. [Google Scholar] [CrossRef]
- Xie, S.; Wu, Y.; Ma, X.; Chen, D.; Guo, F.; Jiang, Z.; Li, H.; Zou, H.; Liu, R.; Zhang, X. Reasonable stopping method and retracement channel support at fully mechanized top coal caving working face of 15 m extra-thick coal seam: A case study. Energy Sci. Eng. 2022, 10, 4336–4357. [Google Scholar] [CrossRef]
- Zeng, Q.; Li, Z.; Wan, L.; Ma, D. Study on Roof Instability Effect and Bearing Characteristics of Hydraulic Support in Longwall Top Coal Caving. Appl. Sci. 2023, 13, 8102. [Google Scholar] [CrossRef]
- Le, T.; Bui, X. Effect of Key Parameters on Top Coal First Caving and Roof First Weighting in Longwall Top Coal Caving: A Case Study. Int. J. Geomech. 2020, 20, 04020037. [Google Scholar] [CrossRef]
- Cao, L.; Jin, X.; Qin, J.; Zhang, X.; Gao, L. Research on the hydraulic support top beam based on dynamic load bearing. Front. Earth Sci. 2023, 11, 1171342. [Google Scholar] [CrossRef]
- Wang, J.-A.; Yang, L.; Li, F.; Wang, C. Force chains in top coal caving mining. Int. J. Rock Mech. Min. Sci. 2020, 127, 104218. [Google Scholar] [CrossRef]
- Zhang, L.; Einstein, H. Using Rqd to Estimate the Deformation Modulus of Rock Masses. Int. J. Rock Mech. Min. Sci. 2004, 41, 337–341. [Google Scholar] [CrossRef]
- Wei, P.; Liang, Y.; Zhao, S.; Peng, S.; Li, X.; Meng, R. Characterization of Pores and Fractures in Soft Coal from the No. 5 Soft Coalbed in the Chenghe Mining Area. Processes 2019, 7, 13. [Google Scholar] [CrossRef]
- Mahendra, S.; Rao, K. Empirical Methods to Estimate the Strength of Jointed Rock Masses. Eng. Geol. 2005, 77, 127–137. [Google Scholar] [CrossRef]
- Chi, M.; Tang, H.; Liu, D.; Wang, D.; Dai, C.; Zou, J.; Gao, Q.; Feng, G. Study of hydraulic cutting as a method to prevent coal burst disasters. Heliyon 2024, 10, e30679. [Google Scholar] [CrossRef]
















| Uniaxial Compressive Strength (MPa) | 3.1 | 15.0 | 29.5 |
|---|---|---|---|
| Specimen elastic modulus (GPa) | 0.33 | 1.12 | 2.28 |
| Density (kg/m3) | 1400 | 1400 | 1400 |
| Volume modulus (GPa) | 0.60 | 2.13 | 4.03 |
| Shear modulus (GPa) | 0.45 | 1.86 | 3.73 |
| Normal stiffness (GPa) | 950 | 980 | 1000 |
| Shear stiffness (GPa) | 740 | 780 | 850 |
| Cohesion (MPa) | 1.3 | 4.4 | 9.1 |
| Internal friction angle (°) | 24 | 30 | 32 |
| Tensile strength (MPa) | 0.5 | 2.7 | 5.65 |
| Types | Rock Type | Thickness | Density (kg/m3) | Volume Modulus (GPa) | Shear Modulus (GPa) | Cohesion (MPa) | Internal Friction Angle (°) | Tensile Strength (MPa) |
|---|---|---|---|---|---|---|---|---|
| Overlying strata | Siltstone | 30.0 | 2500 | 1.33 | 1.03 | 6.61 | 34 | 1.40 |
| Main roof | Medium-grained sandstone | 4.0 | 2600 | 2.03 | 1.56 | 7.06 | 33 | 1.50 |
| Immediate roof | Siltstone | 2.0 | 2500 | 1.14 | 1.06 | 5.05 | 32 | 0.9 |
| Floor | Siltstone | 8.0 | 2500 | 1.15 | 1.05 | 4.97 | 32 | 0.9 |
| Types | Normal Stiffness (GPa) | Shear Stiffness (GPa) | Cohesion (MPa) | Internal Friction Angle (°) | Tensile Strength (MPa) |
|---|---|---|---|---|---|
| Overlying strata | 2.88 | 0.98 | 4.4 | 25 | 1.0 |
| Main roof | 2.42 | 0.84 | 3.56 | 25 | 1.0 |
| Immediate roof | 1.32 | 0.89 | 2.9 | 24 | 0.9 |
| Floor | 3.2 | 2.5 | 4.8 | 26 | 1.2 |
Disclaimer/Publisher’s Note: The statements, opinions and data contained in all publications are solely those of the individual author(s) and contributor(s) and not of MDPI and/or the editor(s). MDPI and/or the editor(s) disclaim responsibility for any injury to people or property resulting from any ideas, methods, instructions or products referred to in the content. |
© 2024 by the authors. Licensee MDPI, Basel, Switzerland. This article is an open access article distributed under the terms and conditions of the Creative Commons Attribution (CC BY) license (https://creativecommons.org/licenses/by/4.0/).
Share and Cite
Ding, P.; Wang, H.; Zhao, J.; Yan, S.; Chang, L.; Li, Z.; Zhou, C.; Han, D.; Yang, J. Effect on Top-Coal Mass Failure under Load–Unload Induced by Shield Support. Processes 2024, 12, 1872. https://doi.org/10.3390/pr12091872
Ding P, Wang H, Zhao J, Yan S, Chang L, Li Z, Zhou C, Han D, Yang J. Effect on Top-Coal Mass Failure under Load–Unload Induced by Shield Support. Processes. 2024; 12(9):1872. https://doi.org/10.3390/pr12091872
Chicago/Turabian StyleDing, Pengchu, Hao Wang, Jianjian Zhao, Shiheng Yan, Liwu Chang, Zhen Li, Changtai Zhou, Dong Han, and Jie Yang. 2024. "Effect on Top-Coal Mass Failure under Load–Unload Induced by Shield Support" Processes 12, no. 9: 1872. https://doi.org/10.3390/pr12091872
APA StyleDing, P., Wang, H., Zhao, J., Yan, S., Chang, L., Li, Z., Zhou, C., Han, D., & Yang, J. (2024). Effect on Top-Coal Mass Failure under Load–Unload Induced by Shield Support. Processes, 12(9), 1872. https://doi.org/10.3390/pr12091872

