Plant-Based Substrates for the Production of Iron Bionanoparticles (Fe-BNPs) and Application in PCB Degradation with Bacterial Strains
Abstract
1. Introduction
2. Materials and Methods
2.1. Sample Preparation
2.1.1. Ethanol Extract of Plant Matrix
2.1.2. Water Extract of Plant Matrix
2.1.3. Stock Solutions of Standards—GA and Q
2.2. Determination of Total Polyphenol Content (TPC) in Selected Plants
2.3. Green Synthesis of Fe-BNPs from Plants and Selected Standards
2.4. Setup Optimization Experiments for PCB Degradation by Synthetic nZVI
2.4.1. Batch vs. Repeated Application of nZVI
2.4.2. pH
2.4.3. Oxygen Requirements
2.5. Assessment of the PCB Degradation Efficiency
2.5.1. Degradation of PCBs by Synthesized Plant-Based Fe-BNPs
2.5.2. Degradation of PCBs by Individual Bacterial Strains
2.5.3. Sequential Approach—Nanobiodegradation of PCBs
2.6. Evaluation of PCB Degradation
3. Results and Discussion
3.1. Green Synthesis of Fe-BNPs from Plants and Selected Standards
3.2. Setup Optimization Experiments for PCB Degradation Process by Synthetic nZVI
3.3. Degradation of PCBs
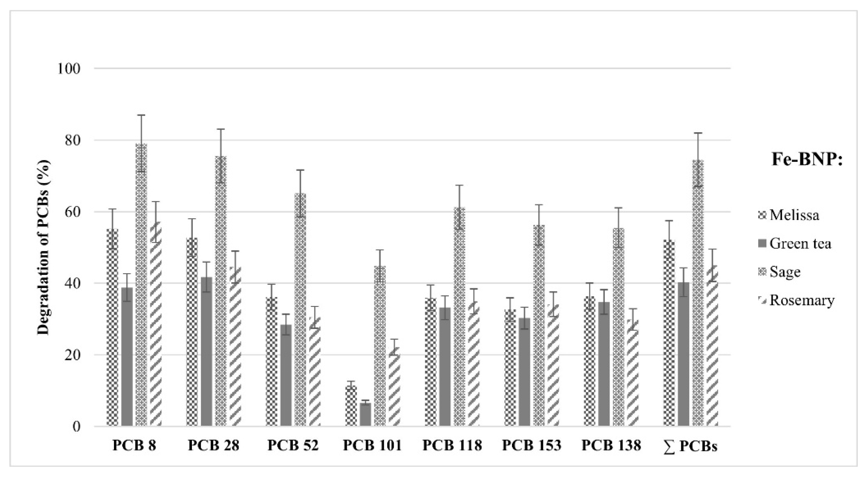
3.3.1. Degradation of PCBs by Synthesized Plant-Based Fe-BNPs
3.3.2. Degradation of PCBs by Individual Bacterial Strains
3.3.3. Sequential Approach—Nanobiodegradation of PCBs
4. Conclusions
Author Contributions
Funding
Data Availability Statement
Acknowledgments
Conflicts of Interest
References
- Kočan, A.; Petrik, J.; Jursa, S.; Chovancova, J.; Drobna, B. Environmental contamination with polychlorinated biphenyls in the area of their former manufacture in Slovakia. Chemosphere 2001, 43, 595–600. [Google Scholar] [CrossRef] [PubMed]
- Xie, M.; Xu, L.; Zhang, R.; Zhou, Y.; Xiao, Y.; Su, X.; Shen, C.; Sun, F.; Hashmi, M.Z.; Lin, H.; et al. Viable but Nonculturable State of Yeast Candida sp. Strain LN1 Induced by High Phenol Concentrations. Environ. Micorbiol. 2021, 87, e01110-21. [Google Scholar] [CrossRef] [PubMed]
- Khalid, F.; Hashmi, M.Z.; Jamil, N.; Qadir, A.; Ali, M.I. Microbial and enzymatic degradation of PCBs from e-waste-contaminated sites: A review. Environ. Sci. Pollut. Res. 2021, 28, 10474–10478. [Google Scholar] [CrossRef] [PubMed]
- Akhondi, M.; Dadkhah, A.A. Base-catalysed decomposition of polychlorinated biphenyls in transformer oils by mixture of sodium hydroxide, glycerol and iron. R. Soc. Open Sci. 2018, 5, 172401. [Google Scholar] [CrossRef] [PubMed]
- Taka, A.L.; Tata, C.M.; Klink, M.J.; Mbianda, X.Y.; Mtunzi, F.M.; Naidoo, E.B. A Review on Conventional and Advanced Methods for Nanotoxicology Evaluation of Engineered Nanomaterials. Molecules 2021, 26, 6536. [Google Scholar] [CrossRef] [PubMed]
- Zhang, H.; Zhang, B.; Liu, B. Integrated Nanozero Valent Iron and Biosurfactant-Aided Remediation of PCB-Contaminated Soil. Appl. Environ. Soil Sci. 2016, 2016, 5390808. [Google Scholar] [CrossRef]
- Iqbal, P.; Preece, J.A.; Mendes, P.M. Nanotechnology: The “Top-Down” and “Bottom-Up” Approaches. In Supramolecular Chemistry; Gale, A.P., Ed.; Wiley: Hoboken, NJ, USA, 2012; ISBN 9780470661345. [Google Scholar] [CrossRef]
- Dikshit, P.K.; Kumar, J.; Das, A.K.; Sadhu, S.; Sharma, S.; Singh, S.; Gupta, P.K.; Kim, B.S. Green Synthesis of Metallic Nanoparticles: Applications and Limitations. Catalysts 2021, 11, 902. [Google Scholar] [CrossRef]
- Pal, G.; Rai, P.; Pandey, A. Chapter 1-Green synthesis of nanoparticles: A greener approach for a cleaner future. In Green Synthesis, Characterization and Applications of Nanoparticles; Shukla, A.K., Iravani, S., Eds.; Elsevier: Amsterdam, The Netherlands, 2019; pp. 1–26. ISBN 978-0-08-102579-6. [Google Scholar] [CrossRef]
- Tijjani, H.; Zangoma, M.H.; Mohammed, Z.S.; Obidola, S.M.; Egbuna, C.; Abdulai, S.I. Polyphenols: Classifications, Biosynthesis and Bioactivities. In Functional Foods and Nutraceuticals; Egbuna, C., Dable Tupas, G., Eds.; Springer: Berlin/Heidelberg, Germany, 2020; pp. 389–414. ISBN 978-3-030-42319-3. [Google Scholar] [CrossRef]
- Sunardi, A.; Rahardjo, S.B.; Environ, I.-J. Green Synthesis and Characterization of nano Zero Valent Iron Using Banana Peel Extract. J. Environ. Earth Sci. 2017, 7, 80–84. [Google Scholar]
- Kasprzak, M.M.; Erxleben, A.; Ochocki, J. Properties and applications of flavonoid metal complexes. RSC Adv. 2015, 5, 45853–45877. [Google Scholar] [CrossRef]
- Markova, Z.; Novak, P.; Kaslik, J.; Plachtova, P.; Brazdova, M.; Jancula, D.; Siskova, K.M.; Machala, L.; Marsalek, B.; Zboril, R.; et al. Iron(II,III)–Polyphenol Complex Nanoparticles Derived from Green Tea with Remarkable Ecotoxicological Impact. ACS Sustain. Chem. Eng. 2014, 2, 1674–1680. [Google Scholar] [CrossRef]
- Singh, R.; Behera, M.; Kumar, S. Nano-bioremediation: An Innovative Remediation Technology for Treatment and Management of Contaminated Sites. In Bioremediation of Industrial Waste for Environmental Safety: Volume II: Biological Agents and Methods for Industrial Waste Management; Bharagava, R.N., Saxena, G., Eds.; Springer: Berlin/Heidelberg, Germany, 2020; pp. 165–182. [Google Scholar] [CrossRef]
- Cecchin, I.; Reddy, K.R.; Thomé, A.; Tessaro, E.F.; Schnaid, F. Nanobioremediation: Integration of nanoparticles and bioremediation for sustainable remediation of chlorinated organic contaminants in soils. Int. Biodeterior. Biodegrad. 2017, 119, 419–428. [Google Scholar] [CrossRef]
- Le, T.T.; Nguyen, K.-H.; Jeon, J.-R.; Francis, A.J.; Chang, Y.-S. Nano/bio treatment of polychlorinated biphenyls with evaluation of comparative toxicity. J. Hazard. Mater. 2015, 287, 335–341. [Google Scholar] [CrossRef] [PubMed]
- Yadav, K.; Singh, J.; Gupta, N.; Kumar, V. A Review of Nanobioremediation Technologies for Environmental Cleanup: A Novel Biological Approach. J. Mater. Environ. Sci. 2017, 8, 740–757. [Google Scholar]
- Gomes, H.I.; Ottosen, L.M.; Ribeiro, A.B.; Dias-Ferreira, C. Treatment of a suspension of PCB contaminated soil using iron nanoparticles and electric current. J. Environ. Manag. 2015, 151, 550–555. [Google Scholar] [CrossRef] [PubMed]
- Alara, O.; Abdurahman, N.; Olalere, O. Ethanolic extraction of flavonoids, phenolics and antioxidants from Vernonia amygdalina leaf using two-level factorial design. J. King Saud Univ. Sci. 2020, 32, 7–16. [Google Scholar] [CrossRef]
- Hidayat, R.; Wulandari, P. Methods of Extraction: Maceration, Percolation and Decoction. Eureka Herba Indones. 2021, 2, 73–79. [Google Scholar] [CrossRef]
- Lamuela-Raventós, R.M. Folin–Ciocalteu method for the measurement of total phenolic content and antioxidant capacity. In Measurement of Antioxidant Activity & Capacity; Apak, R., Capanoglu, E., Shahidi, F., Eds.; Wiley: Hoboken, NJ, USA, 2018; pp. 107–115. ISBN 9781119135388. [Google Scholar] [CrossRef]
- Solmošiová, M.; Hrdlička, L.; Prousek, J. Preparation of nanoscale zero-valent iron by reduction of ferrous sulfate with the use of magnolia leafs extracts and its application for degradation of coloured solutions by Fenton-like reaction. In Proceedings of the Aplikované Prírodné Vedy, Trnava, Slovakia, 6 April 2016; pp. 47–51. (In Slovak). [Google Scholar]
- Dudášová, H.; Lukáčová, L.; Murínová, S.; Puškárová, A.; Pangallo, D.; Dercová, K. Bacterial strains isolated from PCB-contaminated sediments and their use for bioaugmentation strategy in microcosms. J. Basic Microbiol. 2013, 54, 253–260. [Google Scholar] [CrossRef] [PubMed]
- Lászlová, K.; Dudášová, H.; Olejníková, P.; Horváthová, G.; Velická, Z.; Horváthová, H.; Dercová, K. The Application of Biosurfactants in Bioremediation of the Aged Sediment Contaminated with Polychlorinated Biphenyls. Water Air Soil Pollut. 2018, 229, 219. [Google Scholar] [CrossRef]
- Dudášová, H.; Lukáčová, L.; Murínová, S.; Dercová, K. Effects of plant terpenes on biodegradation of polychlorinated biphenyls (PCBs). Int. Biodeterior. Biodegrad. 2012, 69, 23–27. [Google Scholar] [CrossRef]
- Pop, C.; Pârvu, M.; Arsene, A.; Pârvu, A.E.; Vodnar, D.; Tarcea, M.; Toiu, A.; Vlase, L. Investigation of antioxidant and antimicrobial potential of some extracts from Hedera helix L. Farmacia 2017, 65, 624–629. [Google Scholar]
- Tavassoli, S.; Djomeh, Z.E. Total phenols, antioxidant potential and antimicrobial activity of methanol extract of rosemary (Rosmarinus officinalis L.). Glob. Vet. 2011, 7, 337–341. [Google Scholar]
- Abdelkader, M.; Ahcen, B.; Rachid, D.; Hakim, H. Phytochemical Study and Biological Activity of Sage (Salvia officinalis L.). World Acad. Sci. Eng. Technol. Int. J. Biol. Biomol. Agric. Food Biotechnol. Eng. 2015, 8, 1253–1257. [Google Scholar]
- Damián-Reyna, A.A.; González-Hernández, J.C.; Maya-Yescas, R.; de Jesús Cortés-Penagos, C.; del Carmen Chávez-Parga, M. Polyphenolic content and bactericidal effect of Mexican Citrus limetta and Citrus reticulata. J. Food Sci. Technol. 2017, 54, 531–537. [Google Scholar] [CrossRef] [PubMed]
- Fatameh, S.R.; Saifullah, R.; Abbas, F.M.A.; Azhar, M.E. Total phenolics, flavonoids and antioxidant activity of banana pulp and peel flours: Influence of variety and stage of ripeness. Int. Food Res. J. 2012, 19, 1041–1046. [Google Scholar]
- Behbahani, B.A.; Shahidi, F. Melissa officinalis Essential Oil: Chemical Compositions, Antioxidant Potential, Total Phenolic Content and Antimicrobial Activity. Nutr. Food Sci. Res. 2019, 6, 17–25. [Google Scholar] [CrossRef]
- Kőszegi, K.; Békássy-Molnár, E.; Koczka, N.; Kerner, T.; Stefanovits-Bányai, É. Changes in Total Polyphenol Content and Antioxidant Capacity of Stinging Nettle (Urtica dioica L.) from Spring to Autumn. Period. Polytech. Chem. Eng. 2020, 64, 548–554. [Google Scholar] [CrossRef]
- Haya, S.; Bentahar, F.; Trari, M. Optimization of polyphenols extraction from orange peel. J. Food Meas. Charact. 2018, 13, 614–621. [Google Scholar] [CrossRef]
- Yoon, H. Effects of aging on the phenolic content and antioxidant activities of magnolia (Magnolia denudata) flower extracts. Food Sci. Biotechnol. 2014, 23, 1715–1718. [Google Scholar] [CrossRef]
- Lisiewska, Z.; Kmiecik, W.; Korus, A. Content of vitamin C, carotenoids, chlorophylls and polyphenols in green parts of dill (Anethum graveolens L.) depending on plant height. J. Food Compos. Anal. 2006, 19, 134–140. [Google Scholar] [CrossRef]
- Kaur, A.; Kaur, M.; Kaur, P.; Kaur, H.; Kaur, S.; Kaur, K. Estimation and comparison of total phenolic and total antioxidants in green tea and black tea. Glob. J. Bio-Sci. Biotechnol. 2015, 4, 116–120. [Google Scholar]
- Dimitrovska, M.; Tomovska, E.; Bocevska, M. Characterisation of Vranec, Cabernet Sauvignon and Merlot wines based on their chromatic and anthocyanin profiles. J. Serbian Chem. Soc. 2013, 78, 1309–1322. [Google Scholar] [CrossRef]
- Cvejic, J.; Puškaš, V.; Miljić, U.; Torović, L.; Rakić, D. Varietal phenolic composition of Probus, Rumenika and Frankovka red wines from Fruka Gora (Serbia) and changes in main compounds during maceration. Eur. Food Res. Technol. 2016, 242, 1319–1329. [Google Scholar] [CrossRef]
- Ebrahiminezhad, A.; Zare-Hoseinabadi, A.; Sarmah, A.K.; Taghizadeh, S.; Ghasemi, Y.; Berenjian, A. Plant-Mediated Synthesis and Applications of Iron Nanoparticles. Mol. Biotechnol. 2017, 60, 154–168. [Google Scholar] [CrossRef]
- Machado, S.; Pinto, S.L.; Grosso, J.P.; Nouws, H.P.A.; Albergaria, J.T.; Delerue-Matos, C. Green production of zero-valent iron nanoparticles using tree leaf extracts. Sci. Total Environ. 2013, 445–446, 1–8. [Google Scholar] [CrossRef] [PubMed]
- Chandini, S.K.; Rao, L.J.; Subramanian, R. Influence of extraction conditions on polyphenols content and cream constituents in black tea extracts. Int. J. Food Sci. Technol. 2011, 46, 879–886. [Google Scholar] [CrossRef]
- Capparucci, C.; Gironi, F.; Piemonte, V. Equilibrium and extraction kinetics of tannins from chestnut tree wood in water solutions. Asia-Pac. J. Chem. Eng. 2011, 6, 606–612. [Google Scholar] [CrossRef]
- Bae, S.; Hanna, K. Reactivity of Nanoscale Zero-Valent Iron in Unbuffered Systems: Effect of pH and Fe(II) Dissolution. Environ. Sci. Technol. 2015, 49, 10536–10543. [Google Scholar] [CrossRef]
- Freyria, F.S.; Esposito, S.; Armandi, M.; Deorsola, F.; Garrone, E.; Bonelli, B. Role of pH in the Aqueous Phase Reactivity of Zerovalent Iron Nanoparticles with Acid Orange 7, a Model Molecule of Azo Dyes. J. Nanomater. 2017, 2017, 2749575. [Google Scholar] [CrossRef]
- Hotze, E.M.; Phenrat, T.; Lowry, G.V. Nanoparticle Aggregation: Challenges to Understanding Transport and Reactivity in the Environment. J. Environ. Qual. 2010, 39, 1909–1924. [Google Scholar] [CrossRef]
- Praetorius, A.; Badetti, E.; Brunelli, A.; Clavier, A.; Gallego-Urrea, J.A.; Gondikas, A.; Hassellov, M.; Hofmann, T.; Mackevica, A.; Marcomini, A.; et al. Strategies for determining heteroaggregation attachment efficiencies of engineered nanoparticles in aquatic environments. Environ. Sci. Nano 2020, 7, 351–367. [Google Scholar] [CrossRef]
- Reddy, A.V.B.; Madhavi, V.; Reddy, K.G.; Madhavi, G. Remediation of Chlorpyrifos-Contaminated Soils by Laboratory-Synthesized Zero-Valent Nano Iron Particles: Effect of pH and Aluminium Salts. J. Chem. 2012, 2013, 521045. [Google Scholar] [CrossRef]
- Ševců, A.; El-Temsah, Y.S.; Filip, J.; Joner, E.J.; Bobčíková, K.; Černík, M. Zero-valent iron particles for PCB degradation and an evaluation of their effects on bacteria, plants, and soil organisms. Environ. Sci. Pollut. Res. 2017, 24, 21191–21202. [Google Scholar] [CrossRef]
- Wang, T.; Lin, J.; Chen, Z.; Megharaj, M.; Naidu, R. Green synthesized iron nanoparticles by green tea and eucalyptus leaves extracts used for removal of nitrate in aqueous solution. J. Clean. Prod. 2014, 83, 413–419. [Google Scholar] [CrossRef]
- Devatha, C.P.; Thalla, A.K.; Katte, S.Y. Green synthesis of iron nanoparticles using different leaf extracts for treatment of domestic waste water. J. Clean. Prod. 2016, 139, 1425–1435. [Google Scholar] [CrossRef]
- Mystrioti, C.; Xanthopoulou, T.D.; Tsakiridis, P.; Papassiopi, N.; Xenidis, A. Comparative evaluation of five plant extracts and juices for nanoiron synthesis and application for hexavalent chromium reduction. Sci. Total Environ. 2016, 539, 105–113. [Google Scholar] [CrossRef] [PubMed]
- Ran, J.; Soliver, F.; Kjellerup, B.V. Remediation of Polychlorinated Biphenyls (PCBs) in Contaminated Soils and Sediment: State of Knowledge and Perspectives. Front. Environ. Sci. 2018, 6, 79. [Google Scholar] [CrossRef]
- Horváthová, H.; Lászlová, K.; Dercová, K. Bioremediation of PCB-contaminated shallow river sediments: The efficacy of biodegradation using individual bacterial strains and their consortia. Chemosphere 2018, 193, 270–277. [Google Scholar] [CrossRef]
- Horváthová, H.; Lászlová, K.; Dercová, K. Bioremediation vs. Nanoremediation: Degradation of Polychlorinated Biphenyls (PCBS) Using Integrated Remediation Approaches. Water Air Soil Pollut. 2019, 230, 204. [Google Scholar] [CrossRef]
- Reygaert, W.C. The antimicrobial possibilities of green tea. Front. Microbiol. 2014, 5, 434. [Google Scholar] [CrossRef]
- Bokare, V.; Murugesan, K.; Kim, Y.-M.; Jeon, J.-R.; Kim, E.-J.; Chang, Y.S. Degradation of triclosan by an integrated nano-bio redox process. Bioresour. Technol. 2010, 101, 6354–6360. [Google Scholar] [CrossRef]







| Plant/Fruit | Part | TPC (mg GA.g−1) | TPC from References (mg GA.g−1) | References |
|---|---|---|---|---|
| Ivy (Hedera helix) | leaves | 1.40 | 1.50 | [26] |
| Rosemary (Salvia rosmarinum) | leaves | 3.80 | 4.99 | [27] |
| Pine (Pinus sylvestris) | needles | 1.60 | - | - |
| Sage (Salvia officinalis) | leaves | 7.30 | 31.25 | [28] |
| Tangerine (Citrus reticulata) | peel | 3.90 | 3.83 | [29] |
| Banana (Musa acuminata) | peel | 2.20 | 0.75 | [30] |
| Melissa (Mellisa officinallis) | leaves | 3.40 | 51.00 | [31] |
| Nettle (Urtica dioica) | leaves | 0.39 | 5.80 | [32] |
| Orange (Citrus sineusis) | peel | 1.80 | 11.5 | [33] |
| Magnolia (Magnolia grandiflora) | leaves | 1.31 | 14.3 | [34] |
| Dill (Anetheum graveoleus) | leaves | 1.35 | 1.51 | [35] |
| Green tea (Camellia sinensis) | dry leaves | 3.80 | 3.07 | [36] |
| Red grape Merlot | grape berry | 8.87 | 2.02 | [37] |
| Red grape Frankovka | grape berry | 10.27 | 11.07 | [38] |
Disclaimer/Publisher’s Note: The statements, opinions and data contained in all publications are solely those of the individual author(s) and contributor(s) and not of MDPI and/or the editor(s). MDPI and/or the editor(s) disclaim responsibility for any injury to people or property resulting from any ideas, methods, instructions or products referred to in the content. |
© 2024 by the authors. Licensee MDPI, Basel, Switzerland. This article is an open access article distributed under the terms and conditions of the Creative Commons Attribution (CC BY) license (https://creativecommons.org/licenses/by/4.0/).
Share and Cite
Tlčíková, M.; Horváthová, H.; Dercová, K.; Majčinová, M.; Hurbanová, M.; Turanská, K.; Jurkovič, Ľ. Plant-Based Substrates for the Production of Iron Bionanoparticles (Fe-BNPs) and Application in PCB Degradation with Bacterial Strains. Processes 2024, 12, 1695. https://doi.org/10.3390/pr12081695
Tlčíková M, Horváthová H, Dercová K, Majčinová M, Hurbanová M, Turanská K, Jurkovič Ľ. Plant-Based Substrates for the Production of Iron Bionanoparticles (Fe-BNPs) and Application in PCB Degradation with Bacterial Strains. Processes. 2024; 12(8):1695. https://doi.org/10.3390/pr12081695
Chicago/Turabian StyleTlčíková, Marcela, Hana Horváthová, Katarína Dercová, Michaela Majčinová, Mariana Hurbanová, Katarína Turanská, and Ľubomír Jurkovič. 2024. "Plant-Based Substrates for the Production of Iron Bionanoparticles (Fe-BNPs) and Application in PCB Degradation with Bacterial Strains" Processes 12, no. 8: 1695. https://doi.org/10.3390/pr12081695
APA StyleTlčíková, M., Horváthová, H., Dercová, K., Majčinová, M., Hurbanová, M., Turanská, K., & Jurkovič, Ľ. (2024). Plant-Based Substrates for the Production of Iron Bionanoparticles (Fe-BNPs) and Application in PCB Degradation with Bacterial Strains. Processes, 12(8), 1695. https://doi.org/10.3390/pr12081695

