Quantitative Fault Diagnosis of Planetary Gearboxes Based on Improved Symbolic Dynamic Entropy
Abstract
1. Introduction
2. IVMD Algorithm
- (1)
- The search range, search step, initial value of the decomposition layer K, and the quadratic penalty factor are set.
- (2)
- A two-dimensional grid is constructed on the coordinate system (K, ), the grid is divided according to the search range and search step, and the VMD corresponding to each grid point parameter is calculated.
- (3)
- Based on the parameter combination corresponding to each grid point, the signal of each fault size of the planetary gearbox (Figure 1) sun gear is decomposed via VMD, and the mean multi-scale permutation entropy value of all IMF components is calculated separately.
- (4)
- The mean multi-scale permutation entropy value of all grid points is calculated in turn. The grid (K, ) corresponding to the maximum entropy value is the optimal decomposition parameter combination.
- (5)
- The (K, ) obtained in Step 4 is set as the combination parameter of VMD transformation, VMD transformation on the signal is performed, and the spectrum of the reconstructed signal is calculated to determine the fault type.
3. Symbolic Dynamic Entropy Optimization Algorithm
3.1. Basic Calculation Principles of Traditional SDE
3.1.1. SDE
3.1.2. MSDE
3.2. Improved AMDSDE
3.2.1. AMDSDE
3.2.2. AMDSDE Parameter Selection
3.2.3. Fault Failure Threshold
4. Experimental Signal Analysis of Sun Gear Faults in Planetary Gearboxes
- (1)
- The experimental signals were variable-speed signals. To avoid the frequency ambiguity caused by traditional fault feature frequency extraction methods, the turn domain resampling method [31] was applied first to equivalently extract the signals of each group.
- (2)
- To obtain the optimal parameter combination of K and α in the VMD transformation for each type of sun gear fault, the grid search algorithm was employed to calculate the MPE under different parameter states. The MPE values obtained under different parameter combinations for the VMD transformation of the two types of sun gear faults are exhibited in Figure 9. It can be observed that, as regards the sun gear crack fault, the optimal VMD parameter combination was K = 5 and α = 1200, while for the sun gear broken tooth fault, the optimal VMD parameter combination was K = 4 and α = 1500.
- (3)
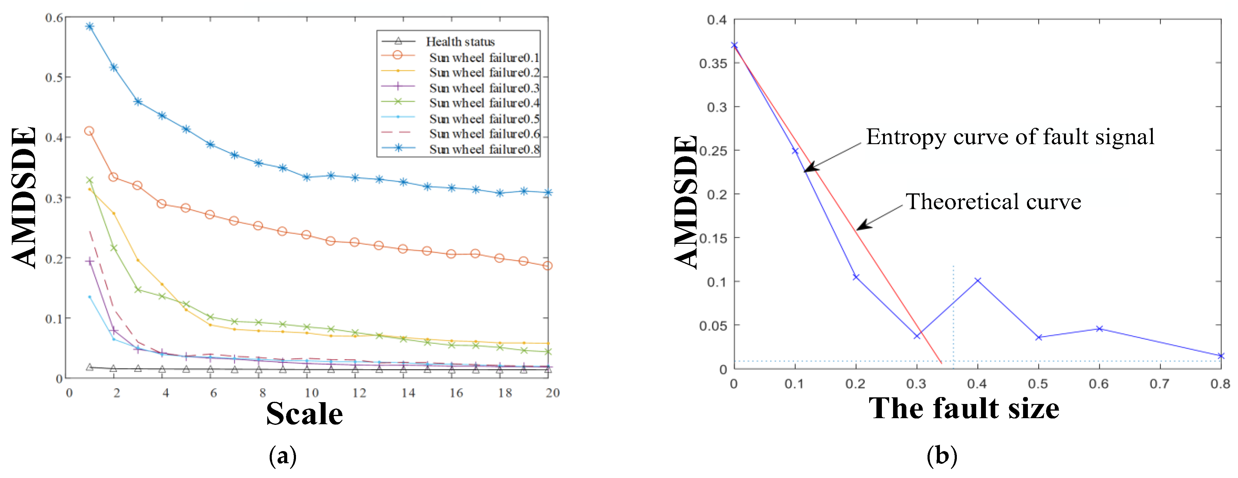
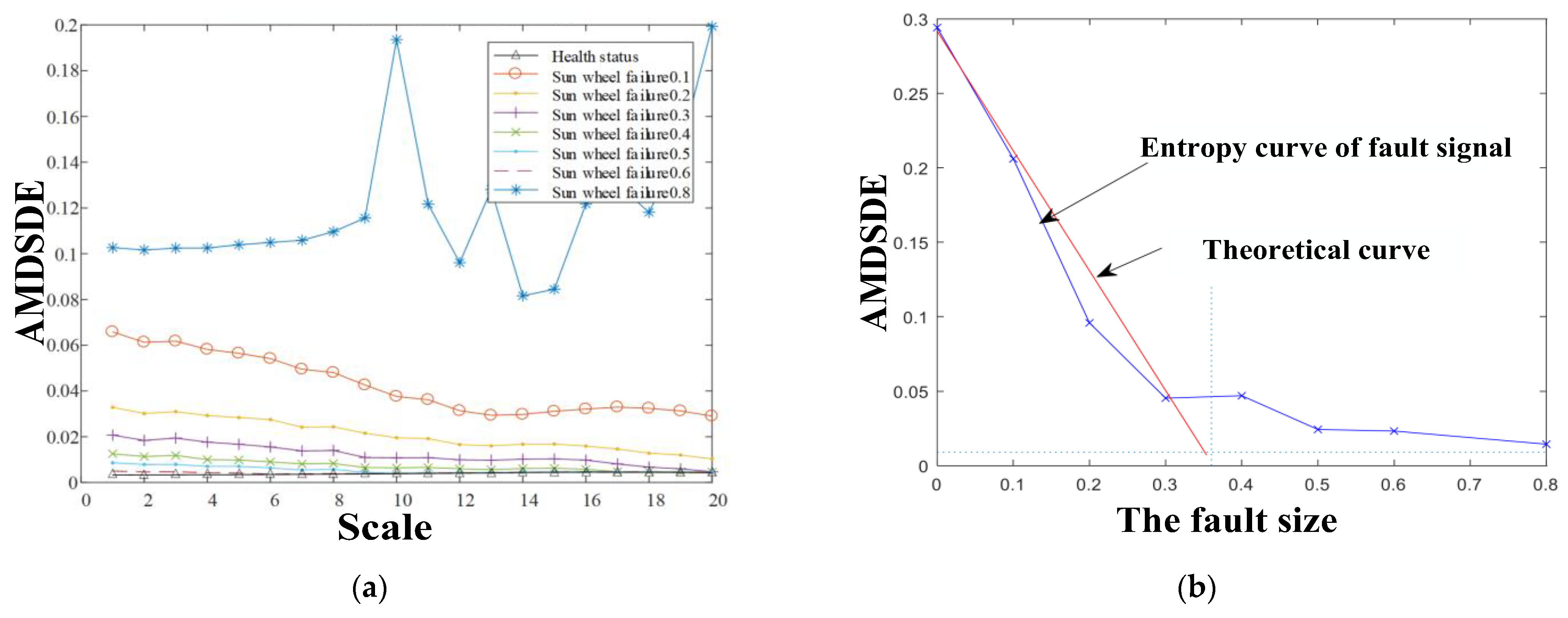
- After improving the VMD processing, the entropy values for different fault sizes of broken teeth and cracks on the sun gear were calculated. The time domain signals after VMD processing are exhibited in Figure 14 and Figure 15, respectively. The vibration signals of sun gear broken tooth faults of different sizes ranging from 0–7 mm are shown in Figure 13.
5. Conclusions
- (1)
- Combining the unique periodic characteristics and multi-scale permutation entropy of the planetary gearbox signal of the wind turbine, an IVMD algorithm based on MPE is proposed. A grid search algorithm has been used to select the combination of the decomposition layer k with the largest MPE and the quadratic penalty factor α as the optimal parameter combination for VMD transformation. This algorithm improves the SNR of the signal and is able to separate the fault impact signal from the planetary gearbox vibration signal.
- (2)
- This paper proposes a method for fault mode recognition of key components of planetary gearboxes based on AMDSDE. The paper fully considers the impact of multiple transmission paths of planetary gearbox signals on fault impact. When calculating symbolic entropy, the entropy value under the influence of the combination of state mode probability and state transition probability obtained by adjacent modes is calculated separately, so that the calculation results eliminate the influence of amplitude difference and phase difference on fault characteristics.
- (3)
- This study uses the proposed IVMD and AMDSDE algorithms to analyze the broken teeth and crack signals of sun gears with different fault sizes, and it obtains a fault size–entropy curve with good linearity, thus achieving quantitative diagnosis of the fault size of the planetary gearbox of the wind turbine. The experimental results show the correctness and feasibility of this method.
Author Contributions
Funding
Data Availability Statement
Acknowledgments
Conflicts of Interest
References
- Dou, C.H. Fault Feature Extraction for Gearboxes Using Empirical Mode Decomposition. Adv. Mater. Res. 2012, 383–390, 1376–1380. [Google Scholar] [CrossRef]
- Huang, J.; Cui, L. Tensor Singular Spectrum Decomposition: Multisensor Denoising Algorithm and Application. IEEE Trans. Instrum. Meas. 2023, 72, 3510015. [Google Scholar] [CrossRef]
- Xu, H.; Wang, X.; Huang, J.; Chu, F. Semi-supervised multi-sensor information fusion tailored graph embedded low-rank tensor learning machine under extremely low labeled rate. Inf. Fusion 2024, 105, 102222. [Google Scholar] [CrossRef]
- Huang, J.; Zhang, F.; Babak, S.; Qin, Z.; Chu, F. The flexible tensor singular value decomposition and its applications in multisensor signal fusion processing. Mech. Syst. Signal Process. 2024, 220, 111662. [Google Scholar] [CrossRef]
- Yang, P.; Li, C.; Bin, G.; Miao, H.; Gu, F. Erosion wear patterns of turboshaft engine compressor under different radial inlet distortion conditions. Tribol. Int. 2024, 198, 109907. [Google Scholar] [CrossRef]
- Zhang, Y.; Yu, K.; Lei, Z.; Ge, J.; Xu, Y.; Li, Z.; Ren, Z.; Feng, K. Integrated intelligent fault diagnosis approach of offshore wind turbine bearing based on information stream fusion and semi-supervised learning. Expert Syst. Appl. 2023, 232, 120854. [Google Scholar] [CrossRef]
- Zhang, Y.; Ji, J.; Ren, Z.; Ni, Q.; Gu, F.; Feng, K.; Yu, K.; Ge, J.; Lei, Z.; Liu, Z. Digital twin-driven partial domain adaptation network for intelligent fault diagnosis of rolling bearing. Reliab. Eng. Syst. Saf. 2023, 234, 109186. [Google Scholar] [CrossRef]
- Zhang, Y.; Ren, Z.; Feng, K.; Yu, K.; Beer, M.; Liu, Z. Universal source-free domain adaptation method for cross-domain fault diagnosis of machines. Mech. Syst. Signal Process. 2023, 191. [Google Scholar] [CrossRef]
- Dragomiretskiy, K.; Zosso, D. Variational Mode Decomposition. IEEE Trans. Signal Process. 2014, 62, 531–544. [Google Scholar] [CrossRef]
- Soltani, B.I. A Combined Spectral Subtraction and Wavelet De-Noising Method for Bearing Fault Diagnosis. In Proceedings of the 2007 American Control Conference, New York, NY, USA, 9–13 July 2007. [Google Scholar]
- Upadhyay, A.; Pachori, R. Speech enhancement based on mEMD-VMD method. Electron. Lett. 2017, 53, 502–504. [Google Scholar] [CrossRef]
- Isham, M.F.; Leong, M.S.; Lim, M.H.; Zakaria, M.K. A review on variational mode decomposition for rotating machinery diagnosis. In MATEC Web of Conferences; EDP Sciences: Les Ulis, France, 2019; Volume 255. [Google Scholar] [CrossRef][Green Version]
- Gilt, G. An ECG Signal Denoising based on VMD and Undecimated Wavelet Transform. Int. J. Sci. Res. Dev. 2016, 4, 1029–1033. [Google Scholar]
- Li, F.; Li, R.; Tian, L.; Chen, L.; Liu, J. Data-driven time-frequency analysis method based on variational mode decomposition and its application to gear fault diagnosis in variable working conditions. Mech. Syst. Signal Process. 2018, 116, 462–479. [Google Scholar] [CrossRef]
- Zheng, Y.; Yue, J.H.; Jiao, J.; Guo, X.Y. Fault feature extraction method of rolling bearing based on parameter optimized VMD. J. Vib. Shock. 2021, 40, 86–94. [Google Scholar]
- Tang, D.; Bi, F.; Lin, J.; Li, X.; Yang, X.; Bi, X. Adaptive Recursive Variational Mode Decomposition for Multiple Engine Faults Detection. IEEE Trans. Instrum. Meas. 2022, 71, 3513111. [Google Scholar] [CrossRef]
- Li, K.; Niu, Y.Y.; Su, L. Rolling bearing fault diagnosis method based on parameter optimized VMD. J. Vib. Eng. 2023, 36, 280–287. [Google Scholar]
- Shannon, C.E. A mathematical theory of communication. ACM SIGMOBILE Mob. Comput. Commun. Rev. 2001, 5, 3–55. [Google Scholar] [CrossRef]
- Noman, K.; He, Q.; Peng, Z.-K.; Wang, D. A scale independent flexible bearing health monitoring index based on time frequency manifold energy & entropy. Meas. Sci. Technol. 2020, 31, 114003. [Google Scholar] [CrossRef]
- Shen, Y.J.; Wang, J.F.; Yang, S.P. Improved method for detecting weak abrupt information based on permutation entropy. Adv. Mech. Eng. 2019, 9, 1–9. [Google Scholar] [CrossRef]
- Wang, S.; Li, Y.; Si, S.; Noman, K. Enhanced hierarchical symbolic sample entropy: Efficient tool for fault diagnosis of rotating machinery. Struct. Health Monit. 2022, 22, 1927–1940. [Google Scholar] [CrossRef]
- Zheng, J.; Chen, Y.; Pan, H.; Tong, J. Composite multi-scale phase reverse permutation entropy and its application to fault diagnosis of rolling bearing. Nonlinear Dyn. 2023, 111, 459–479. [Google Scholar] [CrossRef]
- Deka, B.; Deka, D. An improved multiscale distribution entropy for analyzing complexity of real-world signals. Chaos Solitons Fractals 2022, 158, 112101. [Google Scholar] [CrossRef]
- Daw, C.S.; Finney, C.E.A.; Tracy, E.R. A review of symbolic analysis of experimental data. Rev. Sci. Instrum. 2003, 74, 915–930. [Google Scholar] [CrossRef]
- Kurths, J.; Voss, A.; Saparin, P.; Witt, A.; Kleiner, H.J.; Wessel, N. Quantitative analysis of heart rate variability. Chao 1995, 5, 88–94. [Google Scholar] [CrossRef] [PubMed]
- Chen, F.; Wang, B.; Zhou, D.; Zhao, Z.; Ding, C.; Chen, D. A fault diagnosis method for shaft system of hydropower units based on improved symbolic dynamic entropy and stochastic configuration network. J. Hydraul. Eng. 2022, 53, 1127–1139. [Google Scholar]
- Costa, M.; Goldberger, A.; Peng, C. Multiscale entropy to distinguish physiologic and synthetic RR time series. Comput. Cardiol. 2002, 29, 137–140. [Google Scholar] [CrossRef]
- Ding, C.; Feng, F.; Zhang, B.; Wu, S. MMSDE and its application in feature extraction of a planetary gearbox. J. Vib. Shock. 2020, 39, 97–102. [Google Scholar]
- Li, Y.; Yang, Y.; Li, G.; Xu, M.; Huang, W. A fault diagnosis scheme for planetary gearboxes using modified multi-scale symbolic dynamic entropy and mRMR feature selection. Mech. Syst. Signal Process. 2017, 91, 295–312. [Google Scholar] [CrossRef]
- Han, M.; Wu, Y.; Wang, Y.; Liu, W. Roller bearing fault diagnosis based on LMD and multi-scale symbolic dynamic information entropy. J. Mech. Sci. Technol. 2021, 35, 1993–2005. [Google Scholar] [CrossRef]
- Liu, T.; Cui, L.; Zhang, C. Study on Fault Diagnosis Method of Planetary Gearbox Based on Turn Domain Resampling and Variable Multi-Scale Morphological Filtering. Symmetry 2020, 13, 52. [Google Scholar] [CrossRef]



















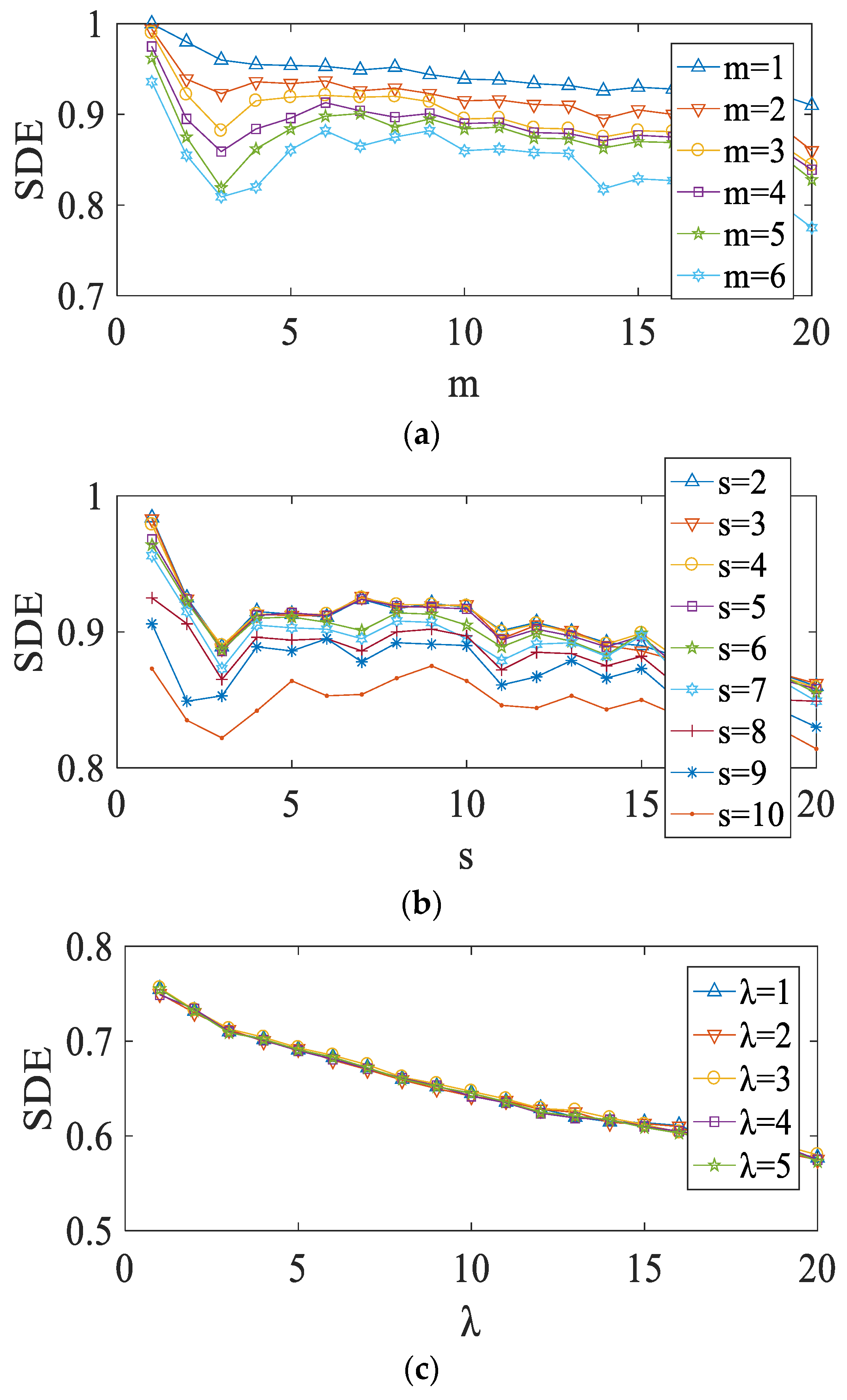
| Serial Number | Fixed Variable | Independent Variable | AMDSDE |
|---|---|---|---|
| 1 | s = 8, τ = 20, λ = 1 | m∈[1,6] | Figure 5a |
| 2 | m = 3, τ = 20, λ = 1 | s∈[2,10] | Figure 5b |
| 3 | m = 3, τ = 20, s = 8 | λ∈[1,5] | Figure 5c |
| Type | Date |
|---|---|
| Sampling frequency/Fs | 20,000 Hz |
| Maximum input shaft speed/ns | 1800 r/min |
| Maximum engagement frequency/fm | 600 Hz |
| Sun gear failure characteristic frequency/fs | 25.4 Hz |
| Sampling time/t | 10 s |
| The number of teeth of the sun gear | 20 |
| The number of teeth of the planetary gears | 40 |
| The number of teeth of the geared ring | 100 |
| The number of planetary gears | 3 |
| Signal Processing | IVMD | Traditional VMD |
|---|---|---|
| 1 | −1.6681 | −10.1561 |
| 2 | −2.7943 | −9.3343 |
| 3 | −1.7769 | −7.4794 |
| 4 | 1.2260 | −5.2479 |
| 5 | 3.0663 | −3.0609 |
| 6 | 4.7450 | −0.8851 |
| 7 | 6.1250 | 1.6454 |
| 8 | 8.3497 | 2.6639 |
Disclaimer/Publisher’s Note: The statements, opinions and data contained in all publications are solely those of the individual author(s) and contributor(s) and not of MDPI and/or the editor(s). MDPI and/or the editor(s) disclaim responsibility for any injury to people or property resulting from any ideas, methods, instructions or products referred to in the content. |
© 2024 by the authors. Licensee MDPI, Basel, Switzerland. This article is an open access article distributed under the terms and conditions of the Creative Commons Attribution (CC BY) license (https://creativecommons.org/licenses/by/4.0/).
Share and Cite
Wang, Y.; Meng, J.; Liu, T.; Zhang, C. Quantitative Fault Diagnosis of Planetary Gearboxes Based on Improved Symbolic Dynamic Entropy. Processes 2024, 12, 1415. https://doi.org/10.3390/pr12071415
Wang Y, Meng J, Liu T, Zhang C. Quantitative Fault Diagnosis of Planetary Gearboxes Based on Improved Symbolic Dynamic Entropy. Processes. 2024; 12(7):1415. https://doi.org/10.3390/pr12071415
Chicago/Turabian StyleWang, Yanliang, Jianguo Meng, Tongtong Liu, and Chao Zhang. 2024. "Quantitative Fault Diagnosis of Planetary Gearboxes Based on Improved Symbolic Dynamic Entropy" Processes 12, no. 7: 1415. https://doi.org/10.3390/pr12071415
APA StyleWang, Y., Meng, J., Liu, T., & Zhang, C. (2024). Quantitative Fault Diagnosis of Planetary Gearboxes Based on Improved Symbolic Dynamic Entropy. Processes, 12(7), 1415. https://doi.org/10.3390/pr12071415

