Numerical Investigation of Confining Pressure Effects on Microscopic Structure and Hydraulic Conductivity of Geosynthetic Clay Liners
Abstract
1. Introduction
2. Hydraulic Model of GCLs
3. Results and Discussion
3.1. Effect of Confining Pressure on Mobile Porosity and Pore Structure
3.2. Effect of Confining Pressure on the Tortuosity of Flow Paths
3.3. Effect of Confining Pressure on the Hydraulic Conductivity
4. Conclusions
- (1)
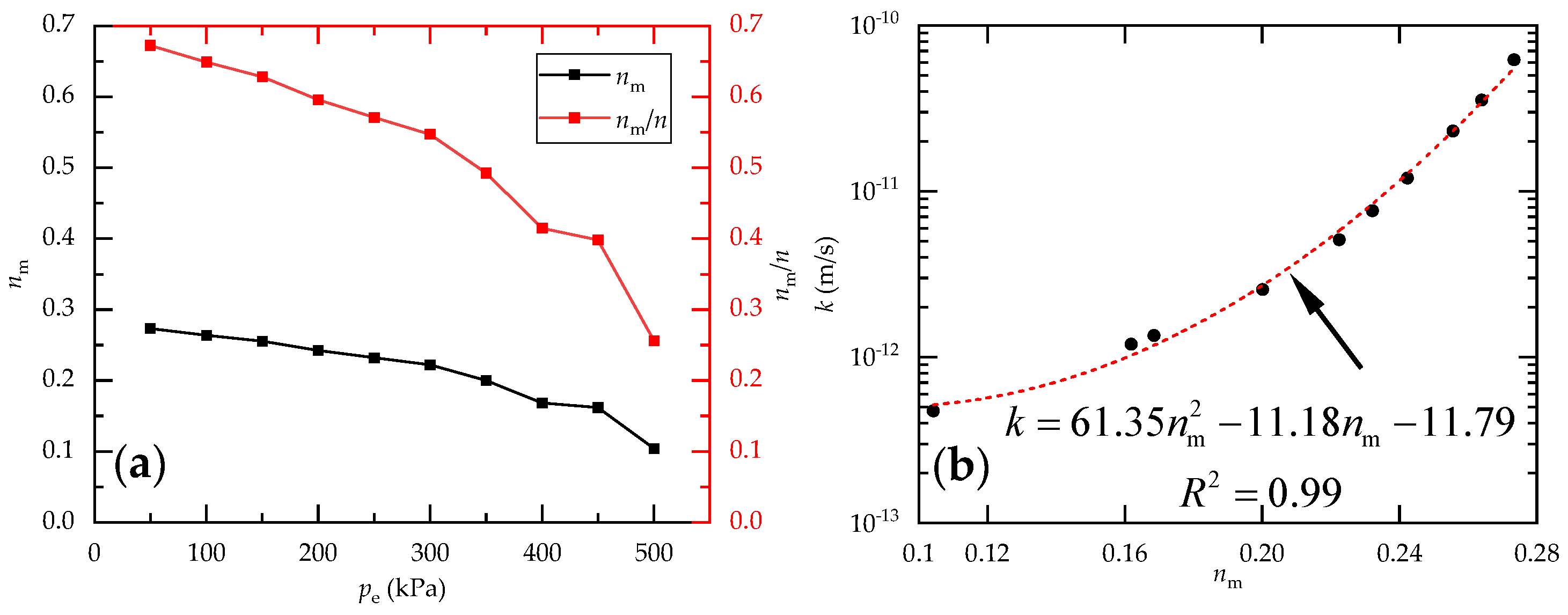
- The decline in hydraulic conductivity is ascribed to a decrease in interconnected pore channels, influenced by both mobile porosity and pore size, with confining pressure causing granules within GCLs to become more concentrated, thereby accentuating the reduction in pore size. The mobile porosity gradually decreases from 0.273 to 0.104, while the ratio of mobile porosity to total porosity in the swelling process significantly decreases from 0.672 to 0.256 across the confining pressure range from 50 kPa to 500 kPa. The rapid decrease in the ratio of mobile porosity to total porosity in the swelling process compared to the decline in mobile porosity with increasing confining pressure suggests a transition of mobile water towards immobile water.
- (2)
- The tortuosity of the main flow path shows a slight increase, fluctuating within the range of 1.30 to 1.36, and maintains a value of around 1.34 as the confining pressure rises from 50 kPa to 500 kPa. The variability in tortuosity is due to the natural diversity among the granules, which may lead to localized structural changes, while interactions with neighboring granules further influence these fluctuations.
- (3)
- At a confining pressure of 50 kPa, the main flow path has a minimum width of 5.22 × 10−5 mm and a corresponding maximum velocity of 1.79 × 10−7 m/s, with a hydraulic conductivity of 6.20 × 10−11 m/s. However, at a confining pressure of 300 kPa, the minimum width decreases to 1.81 × 10−5 mm, accompanied by a decrease in the maximum velocity to 4.24 × 10−8 m/s. The hydraulic conductivity within the GCL significantly diminishes to 5.11 × 10−12 m/s. A theoretical equation was developed to calculate the hydraulic conductivity of GCL under varying confining pressure conditions, demonstrating a linear relationship between the logarithm of hydraulic conductivity and confining pressure and showing good agreement with the experimental results.
- (4)
- However, while the model effectively represents the primary mechanism of the GCL, differences in granule distribution and uniformity of the smaller model and larger experimental samples may lead to increased hydraulic conductivity and reduced flow path tortuosity in the latter.
Author Contributions
Funding
Data Availability Statement
Conflicts of Interest
References
- Bouazza, A. Geosynthetic clay liners. Geotext. Geomembr. 2002, 20, 3–17. [Google Scholar] [CrossRef]
- Katsumi, T.; Fukagawa, R. Factors affecting the chemical compatibility and the barrier performance of GCLs. In Proceedings of the 16th International Conference on Soil Mechanics and Geotechnical Engineering, Osaka, Japan, 12–16 September 2005. [Google Scholar]
- Ahn, H.S.; Jo, H.Y. Influence of exchangeable cations on hydraulic conductivity of compacted bentonite. Appl. Clay Sci. 2009, 44, 144–150. [Google Scholar] [CrossRef]
- Weerasinghe, I.; Gallage, C.; Dawes, L. Effect of overburden confining stress on hydraulic performance of geosynthetic clay liners (GCLs). Heliyon 2021, 7, e05770. [Google Scholar] [CrossRef] [PubMed]
- Li, Z.; Xu, C. Swelling characteristics and hydraulic properties of GCLs under vertical stress. Chin. J. Geotech. Eng. 2007, 29, 1876–1880. [Google Scholar]
- Petrov, R.J.; Rowe, R.K. Geosynthetic clay liner (GCL)-chemical compatibility by hydraulic conductivity testing and factors impacting its performance. Can. Geotech. J. 1997, 34, 863–885. [Google Scholar] [CrossRef]
- Wang, B.; Dong, X. Hydraulic conductivity of mine leachate through geosynthetic clay liners under different effective stresses. Rock Soil Mech. 2017, 38, 1350–1358. [Google Scholar]
- Özçoban, M.Ş.; Acarer, S.; Tüfekci, N. Effect of solid waste landfill leachate contaminants on hydraulic conductivity of landfill liners. Water Sci. Technol. 2022, 85, 1581–1599. [Google Scholar] [PubMed]
- Jo Ho, Y.; Katsumi, T.; Benson Craig, H.; Edil Tuncer, B. Hydraulic conductivity and swelling of nonprehydrated GCLs permeated with Single-Species salt solutions. J. Geotech. Geoenviron. Eng. 2001, 127, 557–567. [Google Scholar] [CrossRef]
- Zhang, Z.; Shi, Y.; Zhu, M. Coupled hydro-mechanical-chemical model for clay liner. Chin. J. Geotech. Eng. 2016, 38, 1283–1290. [Google Scholar]
- Idiart, A.; Laviña, M.; Cochepin, B.; Pasteau, A. Hydro-chemo-mechanical modelling of long-term evolution of bentonite swelling. Appl. Clay Sci. 2020, 195, 105717. [Google Scholar] [CrossRef]
- Hou, J.; Sun, R.; Benson, C.H. Hydrodynamic assessment of bentonite granule size and granule swelling on hydraulic conductivity of geosynthetic clay liners. Geotext. Geomembr. 2023, 51, 93–103. [Google Scholar] [CrossRef]
- Hou, J.; Sun, R.; Chu, C.; Karen, M.; Nasser, M. A numerical study of chemical compatibility of GCLs. Appl. Sci. 2022, 12, 2182. [Google Scholar] [CrossRef]
- Chen, J.N.; Benson, C.H.; Edil, T.B. Hydraulic conductivity of geosynthetic clay liners with Sodium Bentonite to Coal Combustion Product Leachates. J. Geotech. Geoenviron. Eng. 2018, 144, 04018008. [Google Scholar] [CrossRef]
- Wang, B.; Xu, J.; Chen, B.; Dong, X.; Dou, T. Hydraulic conductivity of geosynthetic clay liners to inorganic waste leachate. Appl. Clay Sci. 2019, 168, 244–248. [Google Scholar] [CrossRef]
- Ören, A.H.; Akar, R.Ç. Swelling and hydraulic conductivity of bentonites permeated with landfill leachates. Appl. Clay Sci. 2017, 142, 81–89. [Google Scholar] [CrossRef]
- Wang, B.; Dong, X.; Chen, B.; Dou, T. Hydraulic conductivity of geosynthetic clay liners permeated with acid mine drainage. Mine Water Environ. 2019, 38, 658–666. [Google Scholar] [CrossRef]
- Ren, X.; Zhao, Y.; Deng, Q.; Kang, J.; Li, D.; Wang, D. A relation of hydraulic conductivity—Void ratio for soils based on Kozeny-Carman equation. Eng. Geol. 2016, 213, 89–97. [Google Scholar] [CrossRef]
- Acikel, A.S.; Bouazza, A.; Gates, W.P.; Singh, R.M.; Rowe, R.K. A novel transient gravimetric monitoring technique implemented to GCL osmotic suction control. Geotext. Geomembr. 2020, 48, 755–767. [Google Scholar] [CrossRef]
- Rowe, R.K. Geosynthetic clay liners: Perceptions and misconceptions. Geotext. Geomembr. 2020, 48, 137–156. [Google Scholar] [CrossRef]
- Der, O.; Bertola, V. An experimental investigation of oil-water flow in a serpentine channel. Int. J. Multiph. Flow 2020, 129, 103327. [Google Scholar] [CrossRef]
- Kovalev, A.; Yagodnitsyna, A.; Bilsky, A. Plug flow of immiscible liquids with low viscosity ratio in serpentine microchannels. Chem. Eng. J. 2021, 417, 127933. [Google Scholar] [CrossRef]
- Bourgès-Gastaud, S.; Stoltz, G.; Sidjui, F.; Touze-Foltz, N. Nonwoven geotextiles to filter clayey sludge: An experimental study. Geotext. Geomembr. 2014, 42, 214–223. [Google Scholar] [CrossRef]
- Ren, X.W.; Santamarina, J.C. The hydraulic conductivity of sediments: A pore size perspective. Eng. Geol. 2018, 233, 48–54. [Google Scholar] [CrossRef]
- Bian, X.; Cui, Y.; Li, X. Voids effect on the swelling behaviour of compacted bentonite. Géotechnique 2019, 69, 593–605. [Google Scholar] [CrossRef]
- Liu, J.; Song, S.; Cao, X.; Meng, Q.; Pu, H.; Wang, Y.; Liu, J. Determination of full-scale pore size distribution of Gaomiaozi bentonite and its permeability prediction. J. Rock Mech. Geotech. Eng. 2020, 12, 403–413. [Google Scholar] [CrossRef]
- Studds, P.G.; Stewart, D.I.; Cousens, T.W. The effects of salt solutions on the properties of bentonite-sand mixtures. Clay Miner. 1998, 33, 651–660. [Google Scholar] [CrossRef]
- Benson, C.H.; Ören, A.H.; Gates, W.P. Hydraulic conductivity of two geosynthetic clay liners permeated with a hyperalkaline solution. Geotext. Geomembr. 2010, 28, 206–218. [Google Scholar] [CrossRef]
- Xiang, G. Theory of Swelling Properties and Mechanism on Swell Attenuation of Bentnoite in Saline Solution. Ph.D. Thesis, Shanghai Jiao Tong University, Shanghai, China, 2015. [Google Scholar]
- Xu, Y. Fractals in soil mechanics. Chin. J. Geotech. Eng. 2015, 37, 16–20. [Google Scholar]
- Chapman, D.L. A contribution to the theory of electrocapillarity. Lond. Edinb. Dublin Philos. Mag. J. Sci. 1913, 25, 475–481. [Google Scholar] [CrossRef]
- Li, X.; Xu, Y. Method for calculating swelling deformation of bentonite in salt solution. Chin. J. Geotech. Eng. 2019, 41, 2353–2359. [Google Scholar]
- Xu, Y.F.; Matsuoka, H.; Sun, D.A. Swelling characteristics of fractal-textured bentonite and its mixtures. Appl. Clay Sci. 2003, 22, 197–209. [Google Scholar] [CrossRef]
- Hou, J.; Zhang, J.; Sun, Y.; Sun, R.; Liu, F. Effect of particle swelling on hydraulic performance and meso-mechanism of geosynthetic clay liners. Rock Soil Mech. 2023, 44, 8. [Google Scholar]
- Ahmadi, M.M.; Mohammadi, S.; Hayati, A.N. Analytical derivation of tortuosity and permeability of monosized spheres: A volume averaging approach. Phys. Rev. E 2011, 83, 026312. [Google Scholar] [CrossRef] [PubMed]
- MCC. Technical Code for Liner System of Municipal Solid Waste Landfill (CJJ 113-2007); China Building Press: Beijing, China, 2007. [Google Scholar]










| Parameters | Symbol | Value |
|---|---|---|
| Specific gravity of granules | Gs | 2.75 [27] |
| Montmorillonite content | Cm (%) | 72 [28] |
| Surface fractal dimension | Ds | 2.65 [29] |
| Swelling coefficient | K | 17.69 [29] |
| Initial porosity | n0 | 0.5 |
| Dry density | ρd (g/cm3) | 1.376 |
| Initial granule size | d0 (mm) | 0.1 |
| pe (kPa) | εsv | εmax (%) | Ls (mm) |
|---|---|---|---|
| 50 | 4.50 | 112.0 | 1.165 |
| 100 | 3.53 | 77.1 | 1.065 |
| 150 | 3.06 | 60.3 | 1.013 |
| 200 | 2.77 | 49.7 | 0.979 |
| 250 | 2.56 | 42.2 | 0.954 |
| 300 | 2.40 | 36.5 | 0.935 |
| 350 | 2.28 | 32.0 | 0.919 |
| 400 | 2.17 | 28.2 | 0.906 |
| 450 | 2.08 | 25.1 | 0.895 |
| 500 | 2.01 | 22.3 | 0.885 |
Disclaimer/Publisher’s Note: The statements, opinions and data contained in all publications are solely those of the individual author(s) and contributor(s) and not of MDPI and/or the editor(s). MDPI and/or the editor(s) disclaim responsibility for any injury to people or property resulting from any ideas, methods, instructions or products referred to in the content. |
© 2024 by the authors. Licensee MDPI, Basel, Switzerland. This article is an open access article distributed under the terms and conditions of the Creative Commons Attribution (CC BY) license (https://creativecommons.org/licenses/by/4.0/).
Share and Cite
Hou, J.; Sun, Y.; Chu, C.; Sun, R. Numerical Investigation of Confining Pressure Effects on Microscopic Structure and Hydraulic Conductivity of Geosynthetic Clay Liners. Processes 2024, 12, 980. https://doi.org/10.3390/pr12050980
Hou J, Sun Y, Chu C, Sun R. Numerical Investigation of Confining Pressure Effects on Microscopic Structure and Hydraulic Conductivity of Geosynthetic Clay Liners. Processes. 2024; 12(5):980. https://doi.org/10.3390/pr12050980
Chicago/Turabian StyleHou, Juan, Yinyu Sun, Chenxi Chu, and Rui Sun. 2024. "Numerical Investigation of Confining Pressure Effects on Microscopic Structure and Hydraulic Conductivity of Geosynthetic Clay Liners" Processes 12, no. 5: 980. https://doi.org/10.3390/pr12050980
APA StyleHou, J., Sun, Y., Chu, C., & Sun, R. (2024). Numerical Investigation of Confining Pressure Effects on Microscopic Structure and Hydraulic Conductivity of Geosynthetic Clay Liners. Processes, 12(5), 980. https://doi.org/10.3390/pr12050980

