Effects of the Nozzle Configuration with and without an Internal Guide Vane on the Efficiency in Cross-Flow Small Hydro Turbines
Abstract
1. Introduction
2. Materials and Methods
2.1. Components of the MBT
2.2. Experimental Setup and Design Parameters
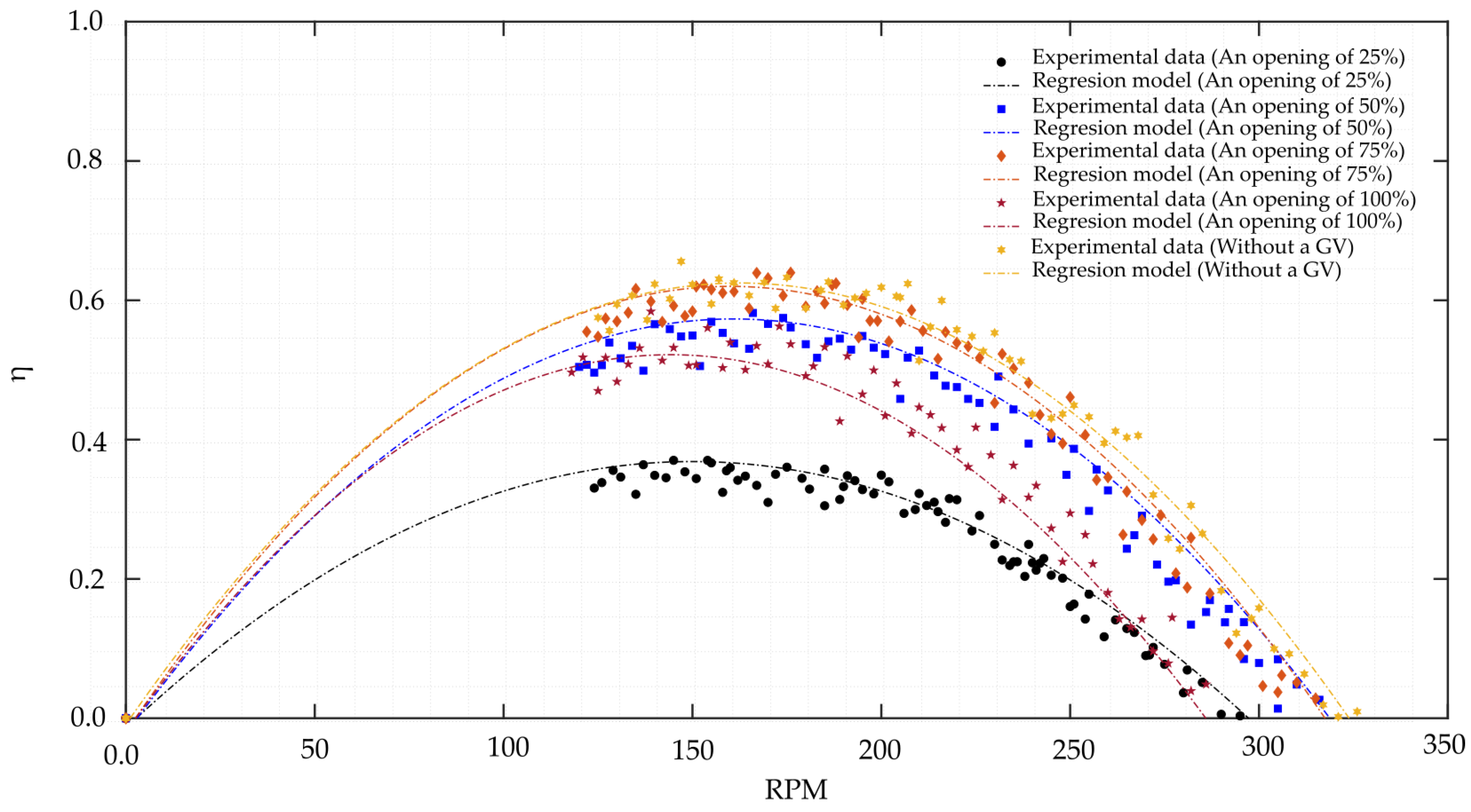
3. Results and Discussion
4. Conclusions
Author Contributions
Funding
Data Availability Statement
Acknowledgments
Conflicts of Interest
References
- Woldemariam, E.T.; Lemu, H.G.; Wang, G.G. CFD-driven valve shape optimization for performance improvement of a micro cross-flow turbine. Energies 2018, 11, 248. [Google Scholar] [CrossRef]
- Yuksek, O.; Komurcu, M.I.; Yuksel, I.; Kaygusuz, K. The role of hydropower in meeting Turkey’s electric energy demand. Energy Policy 2006, 34, 3093–3103. [Google Scholar] [CrossRef]
- Frey, G.W.; Linke, D.M. Hydropower as a renewable and sustainable energy resource meeting global energy challenges in a reasonable way. Energy Policy 2002, 30, 1261–1265. [Google Scholar] [CrossRef]
- Bilgili, M.; Bilirgen, H.; Ozbek, A.; Ekinci, F.; Demirdelen, T. The role of hydropower installations for sustainable energy development in Turkey and the world. Renew. Energy 2018, 126, 755–764. [Google Scholar] [CrossRef]
- Berga, L. The role of hydropower in climate change mitigation and adaptation: A review. Engineering 2016, 2, 313–318. [Google Scholar] [CrossRef]
- Sharma, S.; Waldman, J.; Afshari, S.; Fekete, B. Status, trends and significance of American hydropower in the changing energy landscape. Renew. Sustain. Energy Rev. 2019, 101, 112–122. [Google Scholar] [CrossRef]
- Bousquet, C.; Samora, I.; Manso, P.; Rossi, L.; Heller, P.; Schleiss, A.J. Assessment of hydropower potential in wastewater systems and application to Switzerland. Renew. Energy 2017, 113, 64–73. [Google Scholar] [CrossRef]
- Carvajal, P.E.; Li, F.G.; Soria, R.; Cronin, J.; Anandarajah, G.; Mulugetta, Y. Large hydropower, decarbonisation and climate change uncertainty: Modelling power sector pathways for Ecuador. Energy Strat. Rev. 2019, 23, 86–99. [Google Scholar] [CrossRef]
- Okot, D.K. Review of small hydropower technology. Renew. Sustain. Energy Rev. 2013, 26, 515–520. [Google Scholar] [CrossRef]
- Bakken, T.H.; Sundt, H.; Ruud, A.; Harby, A. Development of small versus large hydropower in Norway–comparison of environmental impacts. Energy Procedia 2012, 20, 185–199. [Google Scholar] [CrossRef]
- Hecht, J.S.; Lacombe, G.; Arias, M.E.; Dang, T.D.; Piman, T. Hydropower dams of the Mekong River basin: A review of their hydrological impacts. J. Hydrol. 2019, 568, 285–300. [Google Scholar] [CrossRef]
- Ioannidou, C.; O’Hanley, J.R. Eco-friendly location of small hydropower. Eur. J. Oper. Res. 2018, 264, 907–918. [Google Scholar] [CrossRef]
- Leguizamón, S.; Avellan, F. Computational parametric analysis of the design of cross-flow turbines under constraints. Renew. Energy 2020, 159, 300–311. [Google Scholar] [CrossRef]
- Olgun, H. Investigation of the performance of a cross-flow turbine. Int. J. Energy Res. 1998, 22, 953–964. [Google Scholar] [CrossRef]
- Olgun, H. Effect of interior guide tubes in cross-flow turbine runner on turbine performance. Int. J. Energy Res. 2000, 24, 953–964. [Google Scholar] [CrossRef]
- Acharya, N.; Kim, C.G.; Thapa, B.; Lee, Y.H. Numerical analysis and performance enhancement of a cross-flow hydro turbine. Renew. Energy 2015, 80, 819–826. [Google Scholar] [CrossRef]
- Oliy, G.B.; Ramayya, A.V. Design and computational fluid dynamic simulation study of high efficiency cross flow hydro-power turbine. Int. J. Sci. Technol. Soc. 2017, 5, 120–125. [Google Scholar] [CrossRef]
- Nasir, B.A. Design of high efficiency cross-flow turbine for hydro-power plant. Int. J. Eng. Adv. Technol. 2013, 2, 308–311. [Google Scholar]
- Choi, Y.D.; Lim, J.I.; Kim, Y.T.; Lee, Y.H. Performance and internal flow characteristics of a cross-flow hydro turbine by the shapes of nozzle and runner blade. J. Fluid Sci. Technol. 2008, 3, 398–409. [Google Scholar] [CrossRef]
- Adhikari, R.; Wood, D. A new nozzle design methodology for high efficiency crossflow hydro turbines. Energy Sustain. Dev. 2017, 41, 139–148. [Google Scholar] [CrossRef]
- Sammartano, V.; Morreale, G.; Sinagra, M.; Tucciarelli, T. Numerical and experimental investigation of a cross-flow water turbine. J. Hydraul. Res. 2016, 54, 321–331. [Google Scholar] [CrossRef]
- Pereira, N.C.; Borges, J. Study of the nozzle flow in a cross-flow turbine. Int. J. Mech. Sci. 1996, 38, 283–302. [Google Scholar] [CrossRef]
- Kokubu, K.; Son, S.W.; Kanemoto, T.; Choi, Y.D. Internal flow analysis on a micro cross-flow type hydro turbine at very low specific speed range. In Proceedings of the 11th Asian International Conference on Fluid Machinery, Chennai, India, 21–23 November 2011. [Google Scholar]
- Chen, Z.; Choi, Y.D. Performance and internal flow characteristics of a cross-flow turbine by guide vane angle. IOP Conf. Ser. Mater. Sci. Eng. 2013, 52, 052031. [Google Scholar] [CrossRef]
- Dragomirescu, A. Numerical investigation of the flow in a modified Bánki turbine with nozzle foreseen with guide vanes. In Proceedings of the 2016 International Conference and Exposition on Electrical and Power Engineering (EPE), Iasi, Romania, 20–22 October 2016; IEEE: Piscataway, NJ, USA, 2016; pp. 874–879. [Google Scholar]
- Adhikari, R.; Wood, D. Computational analysis of part-load flow control for crossflow hydro-turbines. Energy Sustain. Dev. 2018, 45, 38–45. [Google Scholar] [CrossRef]
- Saini, G.; Saini, R.; Singal, S. Numerical investigations on performance improvement of cross flow hydro turbine having guide vane mechanism. Energy Sources Part Recover. Util. Environ. Eff. 2022, 44, 771–795. [Google Scholar] [CrossRef]
- Adhikari, R.; Wood, D. The design of high efficiency crossflow hydro turbines: A review and extension. Energies 2018, 11, 267. [Google Scholar] [CrossRef]
- Haurissa, J.; Wahyudi, S.; Irawan, Y.S.; Soenoko, R. The cross flow turbine behavior towards the turbine rotation quality, efficiency, and generated power. J. Appl. Sci. Res. 2012, 8, 448–453. [Google Scholar]
- Sinagra, M.; Sammartano, V.; Aricò, C.; Collura, A.; Tucciarelli, T. Cross-Flow turbine design for variable operating conditions. Procedia Eng. 2014, 70, 1539–1548. [Google Scholar] [CrossRef]
- Verma, V.; Gaba, V.K.; Bhowmick, S. An experimental investigation of the performance of cross-flow hydro turbines. Energy Procedia 2017, 141, 630–634. [Google Scholar] [CrossRef]
- Quaranta, E.; Perrier, J.P.; Revelli, R. Optimal design process of crossflow Banki turbines: Literature review and novel expeditious equations. Ocean Eng. 2022, 257, 111582. [Google Scholar] [CrossRef]
- Khaniya, B.; Priyantha, H.G.; Baduge, N.; Azamathulla, H.M.; Rathnayake, U. Impact of climate variability on hydropower generation: A case study from Sri Lanka. ISH J. Hydraul. Eng. 2020, 26, 301–309. [Google Scholar] [CrossRef]
- Bazo, C.A.H. Manual de Diseño, Estandarización y Fabricación de Equipos para Pequeñas Centrales Hidroeléctricas; Olade: San Carlos, Ecuador, 1985. [Google Scholar]
- Sammartano, V.; Aricò, C.; Carravetta, A.; Fecarotta, O.; Tucciarelli, T. Banki-Michell optimal design by computational fluid dynamics testing and hydrodynamic analysis. Energies 2013, 6, 2362–2385. [Google Scholar] [CrossRef]








| MBT Design Factor | Value |
|---|---|
| Inner diameter (), (mm) | 103.02 |
| Outer diameter (), (mm) | 156.107 |
| Runner width (w), (mm) | 253.2 |
| Angle of attack (), (°) | 16.102 |
| Inner blade angle (),(°) | 30 |
| Outer blade angle (), (°) | 90 |
| Blade radius (), (mm) | 25.88 |
| Number of blades (Z) | 26 |
| Nozzle throat (), (mm) | 6.1 |
| Nozzle width (W), (mm) | 177.3 |
| Nozzle entry arc (), (°) | 17 |
| Configuration | Guide Vane (GV) | Flow Rate (m3/s) |
|---|---|---|
| MBT with GV (25% opening) | Yes | 0.0050 |
| MBT with GV (25% opening) | Yes | 0.0038 |
| MBT with GV (25% opening) | Yes | 0.0025 |
| MBT with GV (50% opening) | Yes | 0.0050 |
| MBT with GV (50% opening) | Yes | 0.0038 |
| MBT with GV (50% opening) | Yes | 0.0025 |
| MBT with GV (75% opening) | Yes | 0.0050 |
| MBT with GV (75% opening) | Yes | 0.0038 |
| MBT with GV (75% opening) | Yes | 0.0025 |
| MBT without GV | No | 0.0050 |
| MBT without GV | No | 0.0038 |
| MBT without GV | No | 0.0025 |
| Configuration | Guide Vane (GV) | Flow Rate (m3/s) | Hydraulic Efficiency () |
|---|---|---|---|
| MBT with GV (25% opening) | Yes | 0.0050 | 35% (at 155 RPM) |
| MBT with GV (25% opening) | Yes | 0.0038 | 43% (at 130 RPM) |
| MBT with GV (25% opening) | Yes | 0.0025 | 50% (at 105 RPM) |
| MBT with GV (50% opening) | Yes | 0.0050 | 59% (at 175 RPM) |
| MBT with GV (50% opening) | Yes | 0.0038 | 55% (at 125 RPM) |
| MBT with GV (50% opening) | Yes | 0.0025 | 69 % (at 99 RPM) |
| MBT with GV (75% opening) | Yes | 0.0050 | 63% (at 165 RPM) |
| MBT with GV (75% opening) | Yes | 0.0038 | 68% (at 140 RPM) |
| MBT with GV (75% opening) | Yes | 0.0025 | 77% (at 110 RPM) |
| MBT without GV | No | 0.0050 | 65% (at 165 RPM) |
| MBT without GV | No | 0.0038 | 72% (at 132 RPM) |
| MBT without GV | No | 0.0025 | 85% (at 102 RPM) |
Disclaimer/Publisher’s Note: The statements, opinions and data contained in all publications are solely those of the individual author(s) and contributor(s) and not of MDPI and/or the editor(s). MDPI and/or the editor(s) disclaim responsibility for any injury to people or property resulting from any ideas, methods, instructions or products referred to in the content. |
© 2024 by the authors. Licensee MDPI, Basel, Switzerland. This article is an open access article distributed under the terms and conditions of the Creative Commons Attribution (CC BY) license (https://creativecommons.org/licenses/by/4.0/).
Share and Cite
Romero-Menco, F.; Pineda-Aguirre, J.; Velásquez, L.; Rubio-Clemente, A.; Chica, E. Effects of the Nozzle Configuration with and without an Internal Guide Vane on the Efficiency in Cross-Flow Small Hydro Turbines. Processes 2024, 12, 938. https://doi.org/10.3390/pr12050938
Romero-Menco F, Pineda-Aguirre J, Velásquez L, Rubio-Clemente A, Chica E. Effects of the Nozzle Configuration with and without an Internal Guide Vane on the Efficiency in Cross-Flow Small Hydro Turbines. Processes. 2024; 12(5):938. https://doi.org/10.3390/pr12050938
Chicago/Turabian StyleRomero-Menco, Fredys, Juan Pineda-Aguirre, Laura Velásquez, Ainhoa Rubio-Clemente, and Edwin Chica. 2024. "Effects of the Nozzle Configuration with and without an Internal Guide Vane on the Efficiency in Cross-Flow Small Hydro Turbines" Processes 12, no. 5: 938. https://doi.org/10.3390/pr12050938
APA StyleRomero-Menco, F., Pineda-Aguirre, J., Velásquez, L., Rubio-Clemente, A., & Chica, E. (2024). Effects of the Nozzle Configuration with and without an Internal Guide Vane on the Efficiency in Cross-Flow Small Hydro Turbines. Processes, 12(5), 938. https://doi.org/10.3390/pr12050938

