Study on the Damage Mechanism of Coal under Hydraulic Load
Abstract
1. Introduction
2. Analysis of Coal–Rock Medium Damage under Hydraulic Loads
3. Force Analysis of Hydraulic Loads Acting on the Elastic Zone of the Coal–Rock Medium
4. Force Analysis of Hydraulic Loads Acting on the Plastic Zone of the Coal–Rock Medium
5. Analysis of the Mechanism of Coal Damage under Hydraulic Load
5.1. Analyzing the Mechanism of Hydraulic Load Damage through Theoretical Analysis
5.1.1. Laboratory Determination of Coal’s Physical Dynamics Parameters
5.1.2. Effect of Hydraulic Water Pressure on Damage Radius at Different Influence Ranges
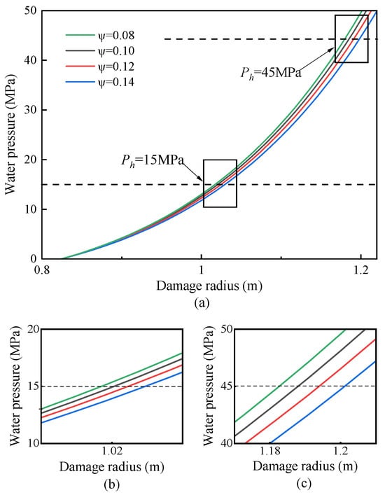
5.1.3. Effect of Hydraulic Water Pressure on Damage Radius at Different Porosity Levels
5.1.4. Effect of Hydraulic Water Pressure on Damage Radius at Different Far-Field Crustal Stresses P0
5.1.5. Effect of Hydraulic Water Pressure on Damage Radius for Different Brittle Damage Coefficients n
5.2. Practical Validation Study of the Range of Hydraulic Load Damage Effects
6. Conclusions
- (1)
- A theoretical analysis has been established to determine the relationship between the damage radii of coal bodies under hydraulic loads, considering the intermediate principal stress and water pressure. This provides a design and reference for the application of small-flow-rate hydraulic fracturing in coal mines to enhance permeability.
- (2)
- A quantitative analysis was conducted based on the in situ conditions of the coal seam, examining the relationship between hydraulic load, damage radius, and the area of influence, which revealed the impact mechanisms of hydraulic fracturing involving water pressure, porosity, geostress, and the range of influence on coal seam permeability enhancement. The experimental results show that the hydraulic load increases exponentially with the damage radius, indicating that continuously increasing the water pressure when it is already high does not yield better results. Within the range of geological conditions in the test area, different areas of influence and porosity levels have a limited impact on the results, while far-field geostress, particularly the brittle damage coefficient, plays a significant role in controlling the damage radius. The effectiveness of hydraulic fracturing is greatly influenced by the stress conditions and rock properties of the coal seam; the larger the hydraulic load, the less the change in far-field stress affects the damage radius, whereas the area of influence, porosity, and brittle damage coefficient have the opposite effect.
- (3)
- The theoretical analysis’s findings on the damage range have been validated through data analyses of field measurements, thereby proving the accuracy and feasibility of designing hydraulic fracturing pressure based on theoretical analysis.
Author Contributions
Funding
Data Availability Statement
Conflicts of Interest
References
- He, M.; Wu, Y.; Gao, Y.; Tao, Z. Research progress of rock mechanics in deep mining. J. China Coal Soc. 2024, 49, 75–99. [Google Scholar] [CrossRef]
- Zhang, Z.; Xie, H.; Zhang, R.; Zhang, Z.; Gao, M.; Jia, Z.; Xie, J. Deformation Damage and Energy Evolution Characteristics of Coal at Different Depths. Rock Mech. Rock Eng. 2018, 52, 1491–1503. [Google Scholar] [CrossRef]
- Siwek, S. Earth tides and seismic activity in deep coal mining. Int. J. Rock Mech. Min. Sci. Géoméch. Abstr. 2021, 148, 104972. [Google Scholar] [CrossRef]
- Ranjith, P.; Zhao, J.; Ju, M.; De Silva, R.V.; Rathnaweera, T.; Bandara, A.K. Opportunities and Challenges in Deep Mining: A Brief Review. Engineering 2017, 3, 546–551. [Google Scholar] [CrossRef]
- Zhou, H.-W.; Liu, J.-F.; Gao, F.; Zhang, R.; Xue, D.-J.; Zhang, Y. Mining-induced mechanical behavior in coal seams under different mining layouts. J. China Coal Soc. 2011, 36, 1067–1074. [Google Scholar] [CrossRef]
- Xie, H.; Lu, J.; Li, C.; Li, M.; Gao, M. Experimental study on the mechanical and failure behaviors of deep rock subjected to true triaxial stress: A review. Int. J. Min. Sci. Technol. 2022, 32, 915–950. [Google Scholar] [CrossRef]
- Wang, K.; Zhao, E.; Guo, Y.; Du, F.; Ding, K. Effect of loading rate on the mechanical and seepage characteristics of gas-bearing coal–rock and its mechanical constitutive model. Phys. Fluids 2024, 36, 026606. [Google Scholar] [CrossRef]
- Li, C.; Wang, S.; You, Q.; Yu, C. A New Measurement of Anisotropic Relative Permeability and Its Application in Numerical Simulation. Energies 2021, 14, 4731. [Google Scholar] [CrossRef]
- Palchik, V. Application of Mohr–Coulomb failure theory to very porous sandy shales. Int. J. Rock Mech. Min. Sci. Géoméch. Abstr. 2006, 43, 1153–1162. [Google Scholar] [CrossRef]
- Shi, X.; Li, Q.; Liu, J.; Gao, L.; Xiao, Z. An Improved True Triaxial Hoek–Brown Strength Criterion. Adv. Eng. Sci. 2023, 55, 214–221. [Google Scholar] [CrossRef]
- Zhang, C.; Qi, H.; Cai, M.; Gao, B. Instability solution of translatory coal seam bumps based on the unified strength theory. J. China Coal Soc. 2019, 44, 2589–2595. [Google Scholar] [CrossRef]
- Schwartzkopff, A.K.; Sainoki, A.; Bruning, T.; Karakus, M. A conceptual three-dimensional frictional model to predict the effect of the intermediate principal stress based on the Mohr–Coulomb and Hoek–Brown failure criteria. Int. J. Rock Mech. Min. Sci. Géoméch. Abstr. 2023, 172, 105605. [Google Scholar] [CrossRef]
- Du, J.; Li, W.; Feng, G.; Wang, Z.; Zhang, H. A study of a true triaxial unloading damage intrinsic model for sand-stone based on the double shear unified strength criterion. Chin. J. Rock Mech. Eng. 2024, 47, 1–11. [Google Scholar] [CrossRef]
- Yin, G.; Liu, Y.; Li, M.; Deng, B.; Liu, C.; Lu, J. Influence of true triaxial loading-unloading stress paths on mechanical property and permeability of coal. J. China Coal Soc. 2018, 43, 131–136. [Google Scholar] [CrossRef]
- He, M.; Wang, Q. Rock dynamics in deep mining. Int. J. Min. Sci. Technol. 2023, 33, 1065–1082. [Google Scholar] [CrossRef]
- Wang, G.; Guo, Y.; Wang, P.; Li, W.; Wu, M.; Sun, L.; Cao, J.; Du, C. A new experimental apparatus for sudden unloading of gas-bearing coal. Bull. Eng. Geol. Environ. 2019, 79, 857–868. [Google Scholar] [CrossRef]
- Patyñska, R.; Kabiesz, J. Scale of seismic and rock burst hazard in the Silesian companies in Poland. Min. Sci. Technol. 2009, 19, 604–608. [Google Scholar] [CrossRef]
- Kang, H.; Feng, Y. Hydraulic fracturing technology and its applications in strata control in underground coal mines. Coal Sci. Technol. 2017, 45, 1–9. [Google Scholar] [CrossRef]
- Chen, D. Gas extraction technology with long borehole segmented hydraulic fracturing in medium-hard coal seam of Binchang mining area. Coal Eng. 2023, 55, 72–77. [Google Scholar]
- Hu, Q.; Liu, L.; Li, Q.; Wu, Y.; Wang, X.; Jiang, Z.; Yan, F.; Xu, Y.; Wu, X. Experimental investigation on crack competitive extension during hydraulic fracturing in coal measures strata. Fuel 2020, 265, 117003. [Google Scholar] [CrossRef]
- Zou, Y.; Gao, B.; Ma, Q. Investigation into Hydraulic Fracture Propagation Behavior during Temporary Plugging and Diverting Fracturing in Coal Seam. Processes 2022, 10, 731. [Google Scholar] [CrossRef]
- Sherratt, J.; Haddad, A.S.; Rafati, R. Modifying the orientation of hydraulically fractured wells in tight reservoirs: The effect of in-situ stresses and natural fracture toughness. Géoméch. Energy Environ. 2023, 36, 100507. [Google Scholar] [CrossRef]
- Manjunath, G.; Liu, Z.; Jha, B. Multi-stage hydraulic fracture monitoring at the lab scale. Eng. Fract. Mech. 2023, 289, 109448. [Google Scholar] [CrossRef]
- Shen, C.-M.; Wang, D.; Zhang, L.; Guo, J.X.; Lin, B.Q. Mechanism and application of inducing high-gas coal out-burst from borehole by waterjet slotting. J. China Coal Soc. 2015, 40, 2097–2104. [Google Scholar] [CrossRef]
- Zheng, S.; Fan, J.; Wang, G.; Wang, E. Study on high efficient gas drainage technology of directional fracturing by cutting slots in steep coal seam. Coal Sci. Technol. 2021, 49, 112–117. [Google Scholar] [CrossRef]
- Lin, B.; Yan, F.; Zhu, C.; Zhou, Y.; Zou, Q.; Guo, C.; Liu, T. Cross-borehole hydraulic slotting technique for preventing and controlling coal and gas outbursts during coal roadway excavation. J. Nat. Gas Sci. Eng. 2015, 26, 518–525. [Google Scholar] [CrossRef]
- Yang, W.; Lin, B.; Gao, Y.; Lv, Y.; Wang, Y.; Mao, X.; Wang, N.; Wang, D.; Wang, Y. Optimal coal discharge of hydraulic cutting inside coal seams for stimulating gas production: A case study in Pingmei coalfield. J. Nat. Gas Sci. Eng. 2016, 28, 379–388. [Google Scholar] [CrossRef]
- Sun, Z.; Liu, Y.; Qi, Q.; Chai, J.; Gu, B. The Influence of High-Pressure Water Jet Cutting Parameters on the Relief of Pressure around the Coal Slot. Processes 2023, 11, 2071. [Google Scholar] [CrossRef]
- Tanner, D.C.; Brandes, C. Understanding Faults: Detecting, Dating, and Modeling. In Understanding Faults: Detecting, Dating, and Modeling; Elsevier: Berlin/Heidelberg, Germany, 2019. [Google Scholar]
- Ahamed, M.A.; Perera, A.; Li, P.Y.; Ranjith, P.G.; Matthai, S.K. Proppant damage mechanisms in coal seam reservoirs during the hydraulic fracturing process: A review. Fuel 2019, 253, 615–629. [Google Scholar] [CrossRef]
- Liu, J.; Du, G.; Xue, Q. Discussion on Continuum Damage Model of Hydraulic Fracturing. J. Mech. Strength 2004, 26, 134–137. [Google Scholar] [CrossRef]
- Cai, F.; Liu, Z. Simulation and experimental research on upward cross-seams hydraulic fracturing in deep and low-permeability coal seam. J. China Coal Soc. 2016, 41, 113–119. [Google Scholar] [CrossRef]
- Yi, L.-P.; Li, X.-G.; Yang, Z.-Z.; Waisman, H. A fully coupled fluid flow and rock damage model for hydraulic fracture of porous media. J. Pet. Sci. Eng. 2019, 178, 814–828. [Google Scholar] [CrossRef]
- Wang, X.; Cai, H.; Cheng, H. Analysis of shaft lining water irruption mechanism in coal mine based on fluid-solid coupling theory. J. China Coal Soc. 2011, 36, 2102–2108. [Google Scholar] [CrossRef]
- Guo, Y.; Wang, K.; Du, F.; Guo, H.; Li, K.; Wang, Y. Mechanical-permeability characteristics of composite coal rock under different gas pressures and damage prediction model. Phys. Fluids 2024, 36, 036615. [Google Scholar] [CrossRef]
- Wang, K.; Guo, Y.; Wang, G.; Du, F. Seepage and mechanical failure characteristics of gas-bearing composite coal–rock under true triaxial path. J. China Coal Soc. 2023, 48, 226–237. [Google Scholar] [CrossRef]
- Wei, M. Research on the Borehole Wall In-situ Stress Distribution and Stability Based on Damage Mechanics. Master’s Thesis, Northeast University of Petroleum, Daqing, China, 2014. [Google Scholar]
- Zhou, W.; Yan, G.; Yang, R. Elasto brittle damage model for rockmass based on field tests in Laxiwa arch dam site. Chin. J. Geotech. Eng. 1998, 20, 57–60. [Google Scholar]
- Yu, M.; Liu, J.; Oda, Y.; Gao, J. On Basic Characteristics and Innovation of Yield Criteria for Geomaterials. Chin. J. Rock Mech. Eng. 2007, 26, 1745–1757. [Google Scholar]
- Wu, G.; Chen, W.; Tan, X.; Dai, Y. Effect of the permeability dynamic evolution of saturated rock on the stability of diversion tunnels. Chin. J. Rock Mech. Eng. 2020, 39, 2172–2182. [Google Scholar] [CrossRef]
- Tao, Y.Q.; Xu, J.; Peng, S.J.; Yuan, M. Experimental study of influencing factor of porosity and effective stress of gas-filled coal. Rock Soil Mech. 2010, 31, 3417–3422. [Google Scholar] [CrossRef]












| Specimen Number | fc/Mpa | E/GPa | μ |
|---|---|---|---|
| 1# | 11.47 | 1.93 | 0.307 |
| 2# | 10.88 | 2.52 | 0.341 |
| 3# | 10.59 | 1.18 | 0.321 |
| 4# | 9.12 | 1.66 | 0.319 |
| avg | 10.52 | 1.82 | 0.322 |
| Specimen Number | σ1 /MPa | σ2 /MPa | σ3 /MPa | ||
|---|---|---|---|---|---|
| SS-01 | −14.83 | −5.00 | −5.00 | −1.01 | 0.57 |
| SS-02 | −29.87 | −15.00 | −15.00 | −1.91 | 0.94 |
| SS-03 | −43.00 | −20.00 | −20.00 | −3.39 | 1.33 |
| SS-04 | −53.40 | −25.00 | −25.00 | −4.22 | 1.64 |
| 1# | 2# | 3# | 4# | |
|---|---|---|---|---|
| Porosity/% | 10.22 | 14.42 | 14.47 | 11.32 |
| Adsorption pore/% | 3.30 | 3.44 | 4.28 | 3.75 |
| Seepage pore/% | 6.92 | 10.98 | 10.19 | 7.57 |
Disclaimer/Publisher’s Note: The statements, opinions and data contained in all publications are solely those of the individual author(s) and contributor(s) and not of MDPI and/or the editor(s). MDPI and/or the editor(s) disclaim responsibility for any injury to people or property resulting from any ideas, methods, instructions or products referred to in the content. |
© 2024 by the authors. Licensee MDPI, Basel, Switzerland. This article is an open access article distributed under the terms and conditions of the Creative Commons Attribution (CC BY) license (https://creativecommons.org/licenses/by/4.0/).
Share and Cite
Li, H.; Li, Y.; Wang, W.; Li, Y.; Sun, Z.; He, S.; Fan, Y. Study on the Damage Mechanism of Coal under Hydraulic Load. Processes 2024, 12, 925. https://doi.org/10.3390/pr12050925
Li H, Li Y, Wang W, Li Y, Sun Z, He S, Fan Y. Study on the Damage Mechanism of Coal under Hydraulic Load. Processes. 2024; 12(5):925. https://doi.org/10.3390/pr12050925
Chicago/Turabian StyleLi, Hongyan, Yaolong Li, Weihua Wang, Yang Li, Zhongxue Sun, Shi He, and Yongpeng Fan. 2024. "Study on the Damage Mechanism of Coal under Hydraulic Load" Processes 12, no. 5: 925. https://doi.org/10.3390/pr12050925
APA StyleLi, H., Li, Y., Wang, W., Li, Y., Sun, Z., He, S., & Fan, Y. (2024). Study on the Damage Mechanism of Coal under Hydraulic Load. Processes, 12(5), 925. https://doi.org/10.3390/pr12050925
