Further Investigation of CO2 Quasi-Dry Fracturing in Shale Reservoirs—An Experimental Study
Abstract
1. Introduction
2. Methodology
- Shale damage test: This aspect aimed to assess the permeability reduction induced by water-based fracturing fluid and CO2 quasi-dry fracturing fluid. In this part, the PDP instrument was used to determine the shale permeability. By subjecting cores to both types of fluids, we evaluated the extent of damage inflicted on the cores. This evaluation provides insights into the comparative performance of the two types of fracturing fluids in terms of core preservation and permeability retention.
 - Rheological experiment: This involved studying the rheological behavior of CO2 quasi-dry fracturing fluid under varying water–carbon ratios and temperatures.
 - True triaxial fracturing experiment: Quasi-dry CO2 fracturing fluid and slickwater were applied to conduct the fracturing experiment. By subjecting shale rock samples to different hydraulic fracturing, the fracture characteristics were further evaluated.
 
2.1. Rock Sample Preparation
2.2. Experimental Setup and Procedures
2.2.1. Rheological Test of CO2 Fracturing Fluid
- Maximum torque: 200 mN·m;
 - Volume: 400 mL;
 - Minimum rotation speed CR: 10 rpm;
 - Maximum rotation speed: 1500 rpm;
 - Temperature range: high-temperature electric heating system: 20 degrees to 400 degrees; able to withstand pressure of 40 MPa;
 - Maximum lateral loading capacity: 6 Kn.
 
- Base fluid preparation: The experimental water was prepared with NaCl at a salinity of 600 ppm. The base fluid was then configured with various water–carbon ratios. For instance, if the ratio was 30/70 (water/CO2), 132 mL of water and 268 mL of CO2 were combined. The thickeners, VIC-6 and VIC-2, were added in appropriate proportions. Specifically, the VIC-6 volume was 1.2% of the water volume (1.584 mL), while the VIC-2 volume was 1.5% of the CO2 volume (4.02 mL). After adding the thickeners, the mixture was stirred thoroughly to ensure uniform distribution before transferring it to the miscible device.
 - CO2 fracturing fluid configuration: CO2 was introduced into the miscible device using a gas booster pump to increase the pressure inside the device. Once the pressure stabilized, mechanical stirring was employed to disperse and mix the miscible system. The stirring was performed in both the forward and reverse directions for 15 min at a speed of 2500 rpm to ensure thorough dispersion and homogeneity of the fracturing fluid.
 - Rheological testing: The prepared CO2 fracturing fluid is then subjected to rheological testing using a Harkar rheometer (Thermo Fisher, Waltham, MA, USA) to evaluate its rheological characteristics at different temperatures.
 
2.2.2. Shale Permeability Damage Test
- The column samples were dried, and the permeability of the untreated shale was measured to establish a baseline.
 - The core sample comprising both the core plug and fragments was placed in the high-temperature and high-pressure reactor. The reactor was then evacuated and subsequently immersed in a water bath device set to a constant temperature of 60 °C.
 - CO2-based fracturing fluid was pumped into the high-temperature and high-pressure reactor until the pressure within the reactor increased by 10 MPa. The core sample was allowed to react with the fracturing fluid for designated durations of 3, 5, and 7 days, respectively.
 - After the specified reaction periods, the core plug and fragments were removed from the reactor. The core plug was dried and subjected to permeability testing to assess any changes in permeability resulting from the interaction with the fracturing fluid. Meanwhile, the fragments underwent further treatment to meet the requirement of the XRD test, and the alterations in mineral composition were evaluated.
 
2.2.3. True Triaxial Fracturing Experiment
- A stainless steel shaft was drilled into the center of the rock sample, and the well was cemented using high-strength cement to ensure stability.
 - The prepared sample was placed in the triaxial loading chamber, ensuring the device’s airtightness. CO2 fracturing fluid was prepared in an intermediate container, and the pipeline was connected. Triaxial stress is gradually applied until it reaches stability. Fluid is injected into the sample at a set flow rate, and fracturing tests are conducted. Pressure changes are recorded during the test, and injection ceases when a significant pressure drop occurs, indicating completion of fracturing.
 - After fracturing, the sample is placed in a high-precision CT device. Cracks in the rock are reconstructed using the CT device and post-processing software. This step allows for detailed visualization and analysis of fracture distribution within the rock sample, providing valuable insights into the fracturing process and fracture characteristics.
 
3. Results and Discussion
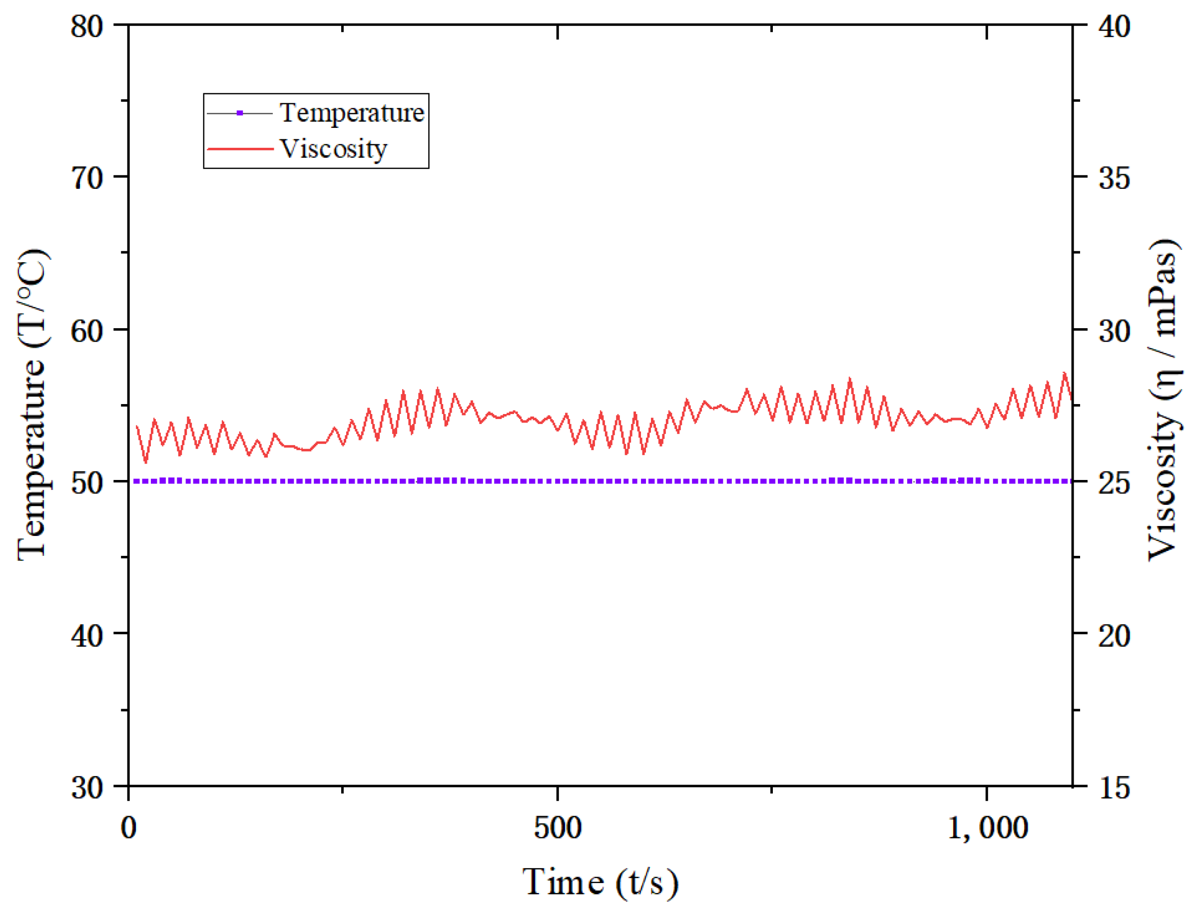
3.1. High-Pressure and High-Temperature Rheological Experiment
3.2. Mineral Composition and Permeability Variation
3.3. True Triaxial Fracturing Experiment Results
- Fractures induced by slickwater
 
- 2.
 - Fractures induced by CO2 fracturing fluid
 
4. Conclusions
- Compared to conventional water-based fracturing fluids, quasi-dry CO2 fracturing fluid causes less damage to the reservoir. Under the influence of CO2 fracturing fluid, core permeability initially increases before decreasing. Short-term exposure to the fracturing fluid enhances reservoir permeability, but prolonged exposure is detrimental.
 - The acidic environment of CO2 quasi-dry fracturing fluid promotes the dissolution of feldspar, illite, and chlorite minerals, which initially compensates for the decrease in permeability caused by shale expansion. However, as soaking time increases, the weakening effect of chemical reactions allows shale hydration expansion to regain dominance, leading to a decrease in shale permeability.
 - The viscosity of conventional CO2 is insufficient for proppant transport into fractures, and water-based thickeners are necessary to improve CO2 viscosity. Rheological tests demonstrate that a water–carbon ratio of 3:7 yields a maximum viscosity of 104 mPa·s for CO2 fracturing fluid. Adjusting the water proportion affects viscosity, with higher proportions leading to decreased viscosity. Additionally, temperature significantly influences fracturing fluid viscosity.
 - Fractures formed by conventional water-based fracturing fluids tend to be relatively singular, with small volumes but larger widths (approximately 0.27 mm). In contrast, fractures induced by CO2 fracturing fluid exhibit larger volumes, with an average width of only 0.14 mm.
 - CO2 fracturing fluid exhibits a high rock-breaking ability. Particularly, in cores with numerous weak surfaces, the fluid tends to rapidly open along these weak surfaces, leading to the formation of a complex fracture network.
 
Author Contributions
Funding
Data Availability Statement
Conflicts of Interest
References
- Tudor, R.; Vozniak, C.; Peters, W.; Banks, M.-L. Technical advances in liquid CO2 fracturing. In Proceedings of the Annual Technical Meeting, Calgary, AB, Canada, 11–14 June 1994. [Google Scholar]
 - Jia, B.; Tsau, J.-S.; Barati, R. A review of the current progress of CO2 injection EOR and carbon storage in shale oil reservoirs. Fuel 2019, 236, 404–427. [Google Scholar] [CrossRef]
 - Johnson, J.M.-F.; Franzluebbers, A.J.; Weyers, S.L.; Reicosky, D.C. Agricultural opportunities to mitigate greenhouse gas emissions. Environ. Pollut. 2007, 150, 107–124. [Google Scholar] [CrossRef] [PubMed]
 - Metcalf, G.E. On the economics of a carbon tax for the United States. Brook. Pap. Econ. Act. 2019, 2019, 405–484. [Google Scholar] [CrossRef]
 - Tang, W.; Sheng, J.J. Huff-n-puff gas injection or gas flooding in tight oil reservoirs? J. Pet. Sci. Eng. Fract. Mech. 2022, 208, 109725. [Google Scholar] [CrossRef]
 - Alemu, B.L.; Aagaard, P.; Munz, I.A.; Skurtveit, E. Caprock interaction with CO2: A laboratory study of reactivity of shale with supercritical CO2 and brine. Appl. Geochem. 2011, 26, 1975–1989. [Google Scholar] [CrossRef]
 - Asadi, M.; Scharmach, W.; Jones, T.; Sampayo, A.; Chesney, E.; Unruh, D. Water-Free Fracturing: A Case History. In Proceedings of the SPE/CSUR Unconventional Resources Conference, Calgary, AB, Canada, 20–22 October 2015. [Google Scholar]
 - Rempel, K.U.; Liebscher, A.; Heinrich, W.; Schettler, G. An experimental investigation of trace element dissolution in carbon dioxide: Applications to the geological storage of CO2. Chem. Geol. 2011, 289, 224–234. [Google Scholar] [CrossRef]
 - Zhi, Y.; Caineng, Z.; Songtao, W.; Senhu, L.; Songqi, P.; Xiaobing, N.; Guangtian, M.; Zhenxing, T.; Guohui, L.; Jiahong, Z.; et al. Formation, distribution and resource potential of the “sweet areas (sections)” of continental shale oil in China. Mar. Pet. Geol. 2019, 102, 48–60. [Google Scholar] [CrossRef]
 - Fu, C.; Liu, N. Waterless fluids in hydraulic fracturing–A review. J. Nat. Gas Sci. Eng. 2019, 67, 214–224. [Google Scholar] [CrossRef]
 - Speight, J.G. Shale Oil Production Processes; Gulf Professional Publishing: Houston, TX, USA, 2012. [Google Scholar]
 - Tang, W.; Peng, Z.; Sheng, J.J. Evaluation of CO2 utilization and storage potential in the Jimsar shale play from an optimization study. Geoenergy Sci. Eng. 2023, 224, 211607. [Google Scholar] [CrossRef]
 - Middleton, R.S.; Carey, J.W.; Currier, R.P.; Hyman, J.D.; Kang, Q.; Karra, S.; Jiménez-Martínez, J.; Porter, M.L.; Viswanathan, H.S. Shale gas and non-aqueous fracturing fluids: Opportunities and challenges for supercritical CO2. Appl. Energy 2015, 147, 500–509. [Google Scholar] [CrossRef]
 - Xia, Y.; Li, L.; Wang, Z. Experimental and numerical study on influencing factors of replacement capacity and slickwater flowback efficiency using pre-CO2 fracturing in tight oil reservoirs. J. Pet. Sci. Eng. 2022, 215, 110697. [Google Scholar] [CrossRef]
 - Abedini, A.; Torabi, F. On the CO2 storage potential of cyclic CO2 injection process for enhanced oil recovery. Fuel 2014, 124, 14–27. [Google Scholar] [CrossRef]
 - Gozalpour, F.; Ren, S.R.; Tohidi, B. CO2 EOR and storage in oil reservoir. Oil Gas Sci. Technol. 2005, 60, 537–546. [Google Scholar] [CrossRef]
 - Kim, T.H.; Cho, J.; Lee, K.S. Evaluation of CO2 injection in shale gas reservoirs with multi-component transport and geomechanical effects. Appl. Energy 2017, 190, 1195–1206. [Google Scholar] [CrossRef]
 - Hou, L.; Zhang, S.; Elsworth, D.; Liu, H.; Sun, B.; Geng, X. Review of fundamental studies of CO2 fracturing: Fracture propagation, propping and permeating. J. Pet. Sci. Eng. 2021, 205, 108823. [Google Scholar] [CrossRef]
 - Michels, A.; Botzen, A.; Schuurman, W. The viscosity of carbon dioxide between 0 °C and 75 °C and at pressures up to 2000 atmospheres. Physica 1957, 23, 95–102. [Google Scholar] [CrossRef]
 - Middleton, R.; Viswanathan, H.; Currier, R.; Gupta, R. CO2 as a fracturing fluid: Potential for commercial-scale shale gas production and CO2 sequestration. Energy Procedia 2014, 63, 7780–7784. [Google Scholar] [CrossRef]
 - Zhao, M.; Li, Y.; Gao, M.; Wang, T.; Dai, C.; Wang, X.; Guan, B.; Liu, P. Formulation and performance evaluation of polymer-thickened supercritical CO2 fracturing fluid. J. Pet. Sci. Eng. 2021, 201, 108474. [Google Scholar] [CrossRef]
 - Li, Q.; Wang, Y.; Wang, F.; Li, Q.; Kobina, F.; Bai, H.; Yuan, L. Effect of a modified silicone as a thickener on rheology of liquid CO2 and its fracturing capacity. Polymers 2019, 11, 540. [Google Scholar] [CrossRef]
 - Luo, X.; Wang, S.; Wang, Z.; Jing, Z.; Lv, M.; Zhai, Z.; Han, T. Experimental investigation on rheological properties and friction performance of thickened CO2 fracturing fluid. J. Pet. Sci. Eng. 2015, 133, 410–420. [Google Scholar] [CrossRef]
 - Li, Q.; Wang, Y.; Wang, X.; Yu, H.; Li, Q.; Wang, F.; Bai, H.; Kobina, F. An application of thickener to increase viscosity of liquid CO2 and the assessment of the reservoir geological damage and CO2 utilization. Energy Sour. Part A Recovery Util. Environ. Eff. 2019, 41, 368–377. [Google Scholar]
 - Lu, Y.; Liu, J.; Tang, J.; Ao, X.; Li, H.; Zhou, J.; Sun, X. Pore changes of slickwater-containing shale under supercritical CO2 treatment. Fuel 2022, 312, 122775. [Google Scholar] [CrossRef]
 - Tian, S.; Zhou, J.; Xian, X.; Gan, Q.; Yang, K.; Zheng, Y.; Deng, G.; Zhang, F. Impact of supercritical CO2 exposure time on the porosity and permeability of dry and wet shale: The influence of chemo-mechanical coupling effects. Energy 2023, 270, 126905. [Google Scholar] [CrossRef]
 - Li, S.; Zhang, S.; Xing, H.; Zou, Y. CO2–brine–rock interactions altering the mineralogical, physical, and mechanical properties of carbonate-rich shale oil reservoirs. Energy 2022, 256, 124608. [Google Scholar] [CrossRef]
 - Muhammed, N.S.; Olayiwola, T.; Elkatatny, S. A review on clay chemistry, characterization and shale inhibitors for water-based drilling fluids. J. Pet. Sci. Eng. 2021, 206, 109043. [Google Scholar] [CrossRef]
 
















| Water–Carbon Ratio | Temperature, °C | ||
|---|---|---|---|
| 50 | 70 | 90 | |
| 30:70 | 104.25 | 93.37 | 78.70 | 
| 35:65 | 63.50 | 45.63 | 22.56 | 
| 40:60 | 19.43 | 16.77 | 15.62 | 
Disclaimer/Publisher’s Note: The statements, opinions and data contained in all publications are solely those of the individual author(s) and contributor(s) and not of MDPI and/or the editor(s). MDPI and/or the editor(s) disclaim responsibility for any injury to people or property resulting from any ideas, methods, instructions or products referred to in the content.  | 
© 2024 by the authors. Licensee MDPI, Basel, Switzerland. This article is an open access article distributed under the terms and conditions of the Creative Commons Attribution (CC BY) license (https://creativecommons.org/licenses/by/4.0/).
Share and Cite
Zheng, B.; Tang, W.; Wang, Y.; Li, Y.; Shen, B.; Wang, Y.; Hu, L.; Deng, Y.; Wu, M.; Xi, S.; et al. Further Investigation of CO2 Quasi-Dry Fracturing in Shale Reservoirs—An Experimental Study. Processes 2024, 12, 912. https://doi.org/10.3390/pr12050912
Zheng B, Tang W, Wang Y, Li Y, Shen B, Wang Y, Hu L, Deng Y, Wu M, Xi S, et al. Further Investigation of CO2 Quasi-Dry Fracturing in Shale Reservoirs—An Experimental Study. Processes. 2024; 12(5):912. https://doi.org/10.3390/pr12050912
Chicago/Turabian StyleZheng, Bo, Weiyu Tang, Yong Wang, Yipeng Li, Binbin Shen, Yongkang Wang, Longqiao Hu, Yougen Deng, Mingjiang Wu, Shangyong Xi, and et al. 2024. "Further Investigation of CO2 Quasi-Dry Fracturing in Shale Reservoirs—An Experimental Study" Processes 12, no. 5: 912. https://doi.org/10.3390/pr12050912
APA StyleZheng, B., Tang, W., Wang, Y., Li, Y., Shen, B., Wang, Y., Hu, L., Deng, Y., Wu, M., Xi, S., & Liu, X. (2024). Further Investigation of CO2 Quasi-Dry Fracturing in Shale Reservoirs—An Experimental Study. Processes, 12(5), 912. https://doi.org/10.3390/pr12050912
        