Electrochemical Processes Used to Degrade Thiamethoxam in Water and Toxicity Analyses in Non-Target Organisms
Abstract
1. Introduction
2. Materials and Methods
2.1. Chemicals
2.2. Oxidative Processes
- -
- Anode: 30% RuO2 + 70% TiO2 (Ti/Ru0.3Ti0.7O2): Oxide electrodes with a geometric area of 2 cm2 and an oxide thickness of 2 μm were prepared using a standard method [22,23]. The oxide anode was fixed in a glass tube, which was inserted into an electrochemical cell (one compartment, 100 mL) during electrochemical analyses;
- -
- Cathode: platinum spirals;
- -
- Supporting electrolyte: 0.05 mol L−1 Na2SO4, pH 3 (due to Fenton’s reagent);
- -
- TMX: 100 mg L−1 (experimental concentration was higher than that present in aqueous environments to allow for an adequate evaluation of degradation);
- -
- Final volume: 100 mL;
- -
- Fenton’s reagent solutions: 5 mg L−1 FeSO4 and 50 mg L−1 H2O2 (T1), 5 mg L−1 FeSO4 and 100 mg L−1 H2O2 (T2), 10 mg L−1 FeSO4 and 50 mg L−1 H2O2 (T3), and 10 mg L−1 FeSO4 and 100 mg L−1 H2O2 (T4);
- -
- Photo: closed light chamber and exposed to artificial UV irradiation via 6 W fluorescent black light lamps;
- -
- Electrolysis: 50 mA cm−2 for 2 h.
2.3. Instruments and Analytical Procedures
2.4. Phytotoxicity
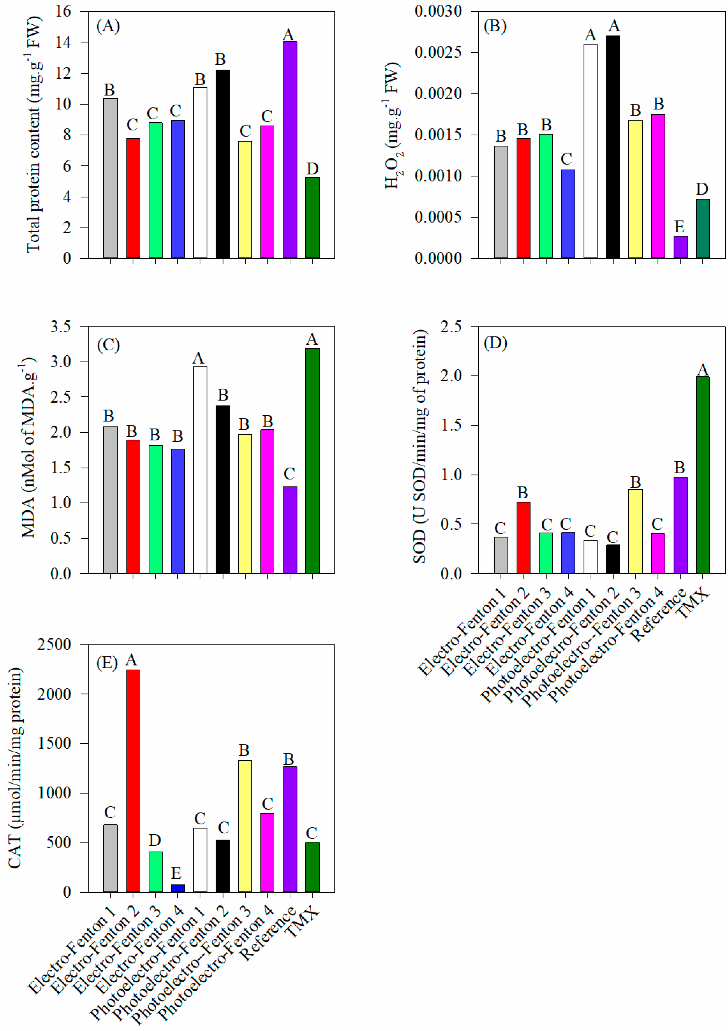
3. Results and Discussion
4. Conclusions
Author Contributions
Funding
Data Availability Statement
Conflicts of Interest
References
- De Assis, J.C.; Tadei, R.; Menezes-Oliveira, V.B.; Silva-Zacarin, E.C. Are native bees in Brazil at risk from the exposure to the neonicotinoid imidacloprid? Environ. Res. 2022, 212, 113127. [Google Scholar] [CrossRef]
- Henry, M.; Beguin, M.; Requier, F.; Rollin, O.; Odoux, J.F.; Aupinel, P.; Aptel, J.; Tchamitchian, S.; Decourtye, A. A common pesticide decreases foraging success and survival in honey bees. Science 2012, 336, 348. [Google Scholar] [CrossRef] [PubMed]
- Li, W.; Lv, L.; Wang, Y.; Zhu, Y.C. Mixture effects of thiamethoxam and seven pesticides with different modes of action on honey bees (Aplis mellifera). Sci. Rep. 2023, 13, 2679. [Google Scholar] [CrossRef] [PubMed]
- Lundin, O.; Rundlöf, M.; Smith, H.G.; Fries, I.; Bommarco, R. Neonicotinoid insecticides and their impacts on bees: A systematic review of research approaches and identification of knowledge gaps. PLoS ONE 2015, 10, e0136928. [Google Scholar] [CrossRef] [PubMed]
- Xu, X.; Wang, X.; Yang, Y.; Ares, I.; Martínez, M.; Lopez-Torres, B.; Martínez-Larrañaga, M.R.; Wang, X.; Anadón, A.; Martinez, M.A. Neonicotinoids: Mechanisms of systemic toxicity based on oxidative stress-mitochondrial damage. Arch. Toxicol. 2022, 96, 1493. [Google Scholar] [CrossRef]
- EU Commission. Commission Implementing Regulation (EU) No 485/2013 of 24 May 2013 Amending Implementing Regulation (EU) No 540/2011, as Regards the Conditions of Approval of the Active Substances Clothianidin, Thiamethoxam and Imidacloprid, and Prohibiting the Use and Sale of Seeds Treated with Plant Protection Products Containing Those Active Substances. Off. J. Eur. Union L 2013, 139, 12–26. Available online: https://eur-lex.europa.eu/LexUriServ/LexUriServ.do?uri=OJ:L:2013:139:0012:0026:en:PDF (accessed on 21 February 2024).
- BRASIL Ministério da Saúde. Portaria GM/MS n.º 888, de 04 de maio de 2021. Diário Oficial da União, n. 85. 2021; p. 127. Available online: https://bvsms.saude.gov.br/bvs/saudelegis/gm/2021/prt0888_07_05_2021.html (accessed on 7 July 2023).
- Casillas, A.; de la Torre, A.; Navarro, I.; Sanz, P.; de los Ángeles Martínez, M. Environmental risk assessment of neonicotinoids in surface water. Sci. Total Environ. 2022, 809, 151161. [Google Scholar] [CrossRef] [PubMed]
- Morrissey, C.A.; Mineau, P.; Devries, J.H.; Sanchez-Bayo, F.; Liess, M.; Cavallaro, M.C.; Liber, K. Neonicotinoid contamination of global surface waters and associated risk to aquatic invertebrates: A review. Environ. Int. 2015, 74, 291. [Google Scholar] [CrossRef]
- Zhao, X.; Wu, C.; Wang, Y.; Cang, T.; Chen, L.; Yu, R.; Wang, Q. Assessment of toxicity risk of insecticides used in rice ecosystem on Trichogramma japonicum, an egg parasitoid of rice lepidopterans. J. Econ. Entomol. 2012, 105, 92. [Google Scholar] [CrossRef]
- Gupta, S.; Gajbhiye, V.T.; Gupta, R.K. Soil dissipation and leaching behavior of a neonicotinoid insecticide thiamethxam. Bull. Environ. Contam. Toxicol. 2008, 80, 431. [Google Scholar] [CrossRef]
- Hladik, M.L.; Kolpin, D.W.; Kuivila, K.M. Widespread occurrence of neonicotinoid insecticides in streams in a high corn and soybean producing region, USA. Environ. Pollut. 2014, 193, 189. [Google Scholar] [CrossRef] [PubMed]
- Struger, J.; Grabuski, J.; Cagampan, S.; Sverko, E.; McGoldrick, D.; Marvin, C.H. Factors influencing the occurrence and distribution of neonicotinoid insecticides in surface waters of southern Ontario, Canada. Chemosphere 2017, 169, 516–523. [Google Scholar] [CrossRef] [PubMed]
- Yang, H.; Liu, H.; Hu, Z.; Liang, J.; Pang, H.; Yi, B. Consideration on degradation kinetics and mechanism of thiamethoxam by reactive oxidative species (ROSs) during photocatalytic process. Chem. Eng. J. 2014, 245, 24. [Google Scholar] [CrossRef]
- Sirés, I.; Brillas, E.; Oturan, M.A.; Rodrigo, M.A.; Panizza, M. Electrochemical advanced oxidation processes: Today and tomorrow. A review. Environ. Sci. Pollut. Res. 2014, 21, 8336. [Google Scholar] [CrossRef] [PubMed]
- Quiroz, M.A.; Bandala, E.R.; Martínez-Huitle, C.A. Advanced Oxidation Processes (AOPs) for Removal of Pesticides from Aqueous Media. In Pesticides-Formulations, Effects, Fate; IntechOpen: London, UK, 2011. [Google Scholar] [CrossRef][Green Version]
- Zhang, M.H.; Dong, H.; Zhao, L.; Wang, D.X.; Meng, D. A review on Fenton process for organic wastewater treatment based on optimization perspective. Sci. Total Environ. 2019, 670, 110. [Google Scholar] [CrossRef] [PubMed]
- Brillas, E. Fenton, photo-Fenton, electro-Fenton, and their combined treatments for the removal of insecticides from waters and soils. A review. Sep. Purif. Technol. 2022, 284, 120290. [Google Scholar] [CrossRef]
- Brillas, E. Recent development of electrochemical advanced oxidation of herbicides. A review on its application to wastewater treatment and soil remediation. J. Clean. Prod. 2021, 290, 125841. [Google Scholar] [CrossRef]
- Forti, J.C.; Manzo-Robledo, A.; Kokoh, K.B.; De Andrade, A.R.; Alonso-Vante, N. Electrooxidation of acetaldehyde on platinum-modified Ti/Ru0.3Ti0.7O2 electrodes. Electrochim. Acta 2006, 51, 2800. [Google Scholar] [CrossRef]
- Forti, J.C.; De Andrade, A.R. Formaldehyde oxidation on a DSA-type electrode modified by Pt or PbO2 electrodeposition. J. Electrochem. Soc. 2007, 154, E19–E24. [Google Scholar] [CrossRef]
- Forti, J.C.; Ribeiro, J.; Lanza, M.R.V.; De Andrade, A.R.; Bertazzoli, R. Electrochemical characterization of DSA-type electrodes using niobium substrate. Electrocatalysis 2010, 1, 129. [Google Scholar] [CrossRef]
- Eleotério, I.C.; Forti, J.C.; De Andrade, A.R. Electrochemical treatment of wastewater of veterinary industry containing antibiotics. Electrocatalysis 2013, 4, 283. [Google Scholar] [CrossRef]
- Forti, J.C.; Rocha, R.S.; De Andrade, A.R.; Lanza, M.R.V. Application of Oxides Electrodes (Ru, Ti, Ir and Sn) for the Electrooxidation of Levofloxacin. Curr. Anal. Chem. 2019, 15, 66. [Google Scholar] [CrossRef]
- Comninellis, C. Electrocatalysis in the electrochemical conversion/combustion of organic pollutants for waste water treatment. Electrochim. Acta 1994, 39, 1857. [Google Scholar]
- Stupar, S.L.; Ivanković, N.D.; Grgur, B.N.; Tomašević, A.V.; Mijin, D.Ž.; Koprivica, K. Investigation of direct electrochemical oxidation of neonicotinoid pesticide thiamethoxam in water. Sci. Tech. Rev. 2020, 70, 11. [Google Scholar] [CrossRef]
- Lebik-Elhadi, H.; Frontistis, Z.; Ait-Amar, H.; Amrani, S.; Mantzavinos, D. Electrochemical oxidation of pesticide thiamethoxam on boron doped diamond anode: Role of operating parameters and matrix effect. Process Saf. Environ. Prot. 2018, 116, 535. [Google Scholar] [CrossRef]
- Gomez-Herrero, E.; Lebik-ElHadi, H.; Ait-Amar, H.; Tobajas, M.; Rodriguez, J.J.; Mohedano, A.F. Thiamethoxam removal by Fenton and biological oxidation. J. Chem. Technol. Biotechnol. 2020, 95, 913–921. [Google Scholar] [CrossRef]
- Meijide, J.; Gómez, J.; Pazos, M.; Sanromán, M.A. Degradation of thiamethoxam by the synergetic effect between anodic oxidation and Fenton reactions. J. Hazard. Mater. 2016, 319, 43. [Google Scholar] [CrossRef]
- Mir, N.A.; Khan, A.; Muneer, M.; Vijayalakhsmi, S. Photocatalytic degradation of a widely used insecticide Thiamethoxam in aqueous suspension of TiO2: Adsorption, kinetics, product analysis and toxicity assessment. Sci. Total Environ. 2013, 458, 388. [Google Scholar] [CrossRef]
- Guedes, R.N.C.; Biondi, A.; Agathokleous, E.; Nunes-Nesi, A. (Systemic) Insecticides in Plants: Phytotoxicity, Bioactivation, or Hormesis? Agric. Commun. 2023, 1, 100002. [Google Scholar] [CrossRef]
- Liu, T.; Li, T.; Zhang, L.; Li, H.; Liu, S.; Yang, S.; An, Q.; Pan, C.; Zou, N. Exogenous salicylic acid alleviates the accumulation of pesticides and mitigates pesticide-induced oxidative stress in cucumber plants (Cucumis sativus L.). Ecotoxicol. Environ. Saf. 2021, 208, 111654. [Google Scholar] [CrossRef]
- Noctor, G.; Mhamdi, A.; Foyer, C.H. Oxidative stress and antioxidative systems: Recipes for successful data collection and interpretation. Plant Cell Environ. 2016, 39, 1140. [Google Scholar] [CrossRef] [PubMed]
- Wang, X.; Anadón, A.; Wu, Q.; Qiao, F.; Ares, I.; Martínez-Larrañaga, M.R.; Yuan, Z.; Martínez, M.A. Mechanism of neonicotinoid toxicity: Impact on oxidative stress and metabolism. Annu. Rev. Pharmacol. Toxicol. 2018, 58, 471. [Google Scholar] [CrossRef] [PubMed]
- Da Silva, V.E.; Tadayozzim, Y.S.; Puttim, F.F.; Santosm, F.A.; Fortim, J.C. Degradation of commercial glyphosate-based herbicide via advanced oxidative processes in aqueous media and phytotoxicity evaluation using maize seeds. Sci. Total Environ. 2022, 840, 156656. [Google Scholar] [CrossRef] [PubMed]
- Yan, S.H.; Wang, J.H.; Zhu, L.S.; Chen, A.M.; Wang, J. Thiamethoxam induces oxidative stress and antioxidant response in zebrafish (Danio rerio) livers. Environ. Toxicol. 2016, 31, 2006. [Google Scholar] [CrossRef] [PubMed]
- Racchi, M.L. Antioxidant defenses in plants with attention to Prunus and Citrus spp. Antioxidants 2013, 2, 340. [Google Scholar] [CrossRef] [PubMed]
- Queiroz, C.G.S.; Alonso, A.; Mares-Guia, M.; Magalhaes, A.C. Chilling-induced changes in membrane fluidity and antioxidant enzyme activities in Coffea arabica L. roots. Biol. Plant. 1998, 41, 403. [Google Scholar] [CrossRef]
- ASTM D1252-95; American Society for Testing and Materials, Standard Test Methods for Chemical Oxygen Demand (Dichromate Oxygen Demand) of Water. ASTM Annual Book of Standards. American Soc. Testing & Materials: Philadelphia, PA, USA, 1995. Available online: www.astm.org/Standards/D1252.htm (accessed on 12 October 2023).
- Kang, Y.W.; Cho, M.J.; Hwang, K.Y. Correction of hydrogen peroxide interference on standard chemical oxygen demand test. Water Res. 1999, 33, 1247. [Google Scholar]
- Forti, J.C.; Loretti, G.H.; Tadayozzi, Y.S.; de Andrade, A.R. A phytotoxicity assessment of the efficiency 2,4-D degradation by different oxidative processes. J. Environ. Manag. 2020, 266, 110588. [Google Scholar] [CrossRef] [PubMed]
- Crispim, A.C.; Araújo, D.M.; Martínez-Huitle, C.A.; Souza, F.L.; Dos Santos, E.V. Application of electro-Fenton and photoelectro-Fenton processes for the degradation of contaminants in landfill leachate. Environ. Res. 2022, 213, 113552. [Google Scholar] [CrossRef]
- BRASIL. Ministério da Agricultura, Pecuária e Abastecimento, Secretaria de Defesa Agropecuária, Regras para análise de sementes. 2009. Available online: https://www.gov.br/agricultura/pt-br/assuntos/insumos-agropecuarios/arquivos-publicacoes-insumos/2946_regras_analise__sementes.pdf (accessed on 10 January 2024).
- Quan, L.; Cheng, Y.; Wang, J.; Chen, Y.; Li, D.; Wang, S.; Li, B.; Zhang, Z.; Yang, L.; Wu, L. Efficient removal of thiamethoxam by freshwater microalgae Scenedesmus sp. TXH: Removal mechanism, metabolic degradation and application. J. Environ. Manag. 2023, 332, 117388. [Google Scholar] [CrossRef]
- Homayoonzadeh, M.; Moeini, P.; Talebi, K.; Roessner, U.; Hosseininaveh, V. Antioxidant system status of cucumber plants under pesticides treatment. Acta Physiol. Plant. 2020, 42, 161. [Google Scholar] [CrossRef]
- Brodeur, J.C.; Fonseca Peña, S.V.D. Effects of the neonicotinoid insecticides thiamethoxam and imidacloprid on metamorphosis of the toad Rhinella arenarum at environmentally-relevant concentrations. J. Toxicol. Environ. Health Part A 2023, 86, 434. [Google Scholar] [CrossRef] [PubMed]






Disclaimer/Publisher’s Note: The statements, opinions and data contained in all publications are solely those of the individual author(s) and contributor(s) and not of MDPI and/or the editor(s). MDPI and/or the editor(s) disclaim responsibility for any injury to people or property resulting from any ideas, methods, instructions or products referred to in the content. |
© 2024 by the authors. Licensee MDPI, Basel, Switzerland. This article is an open access article distributed under the terms and conditions of the Creative Commons Attribution (CC BY) license (https://creativecommons.org/licenses/by/4.0/).
Share and Cite
Forti, J.C.; Robles, P.E.M.; Tadayozzi, Y.S.; Demori, M.A.F.; Santos, F.A.; Putti, F.F.; Vicente, E.F. Electrochemical Processes Used to Degrade Thiamethoxam in Water and Toxicity Analyses in Non-Target Organisms. Processes 2024, 12, 887. https://doi.org/10.3390/pr12050887
Forti JC, Robles PEM, Tadayozzi YS, Demori MAF, Santos FA, Putti FF, Vicente EF. Electrochemical Processes Used to Degrade Thiamethoxam in Water and Toxicity Analyses in Non-Target Organisms. Processes. 2024; 12(5):887. https://doi.org/10.3390/pr12050887
Chicago/Turabian StyleForti, Juliane C., Pedro E. M. Robles, Yasmin S. Tadayozzi, Maiara A. F. Demori, Felipe A. Santos, Fernando F. Putti, and Eduardo F. Vicente. 2024. "Electrochemical Processes Used to Degrade Thiamethoxam in Water and Toxicity Analyses in Non-Target Organisms" Processes 12, no. 5: 887. https://doi.org/10.3390/pr12050887
APA StyleForti, J. C., Robles, P. E. M., Tadayozzi, Y. S., Demori, M. A. F., Santos, F. A., Putti, F. F., & Vicente, E. F. (2024). Electrochemical Processes Used to Degrade Thiamethoxam in Water and Toxicity Analyses in Non-Target Organisms. Processes, 12(5), 887. https://doi.org/10.3390/pr12050887

