Study on the Simplified Chemical Kinetic Combustion Mechanism of Mixed Methanol/PODE Fuel for Marine Diesel Engines
Abstract
1. Introduction
2. A New Simplified Combustion Mechanism for Methanol
2.1. Simplification of Detailed Combustion Mechanism for Methanol
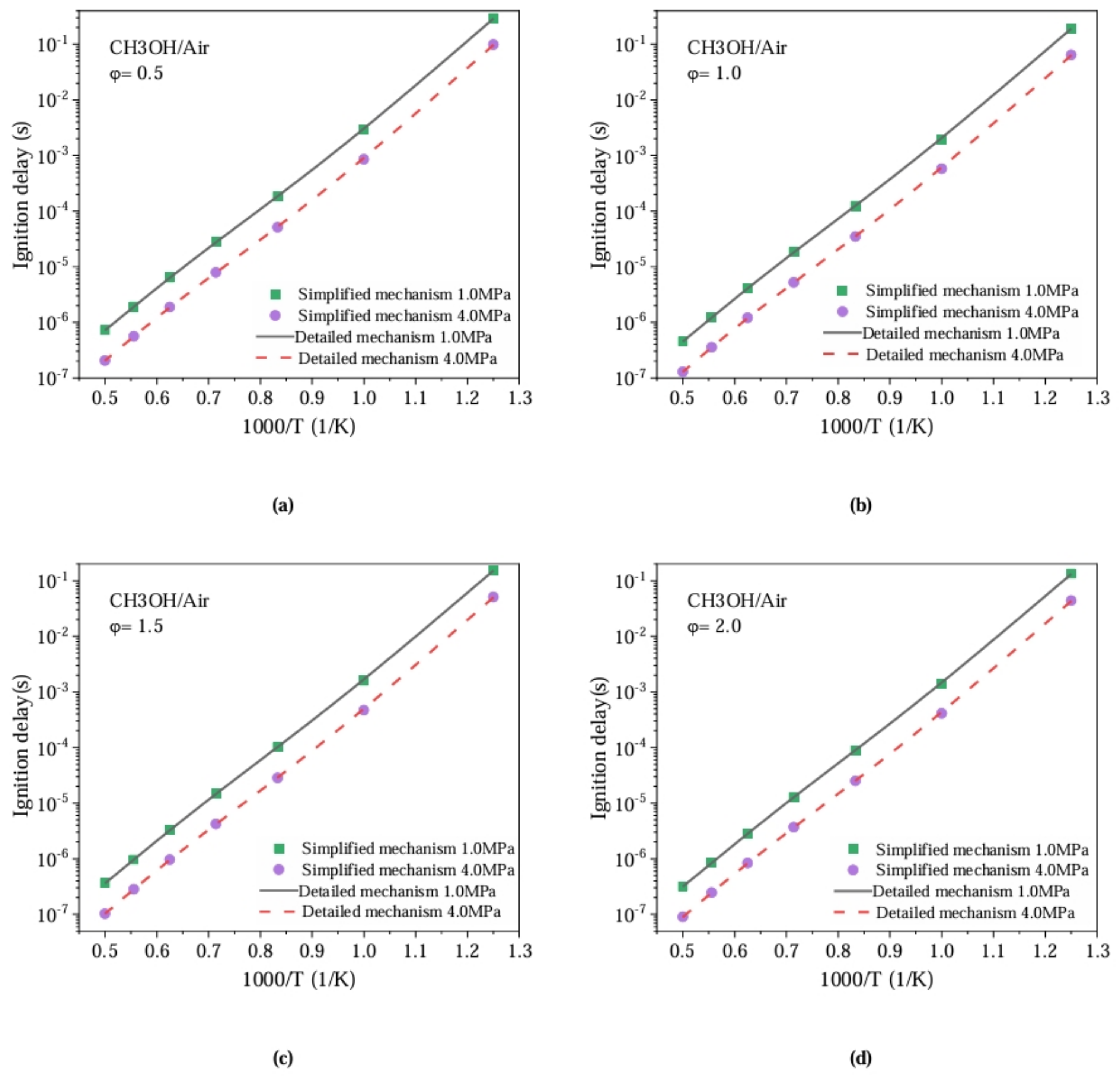
2.2. Optimization of Simplified Methanol Combustion Mechanism
3. A New Simplified Combustion Mechanism for PODE
3.1. Simplification of Detailed Combustion Mechanism for PODE
3.2. Optimization of the Simplified PODE Combustion Mechanism
4. Combination and Verification of Simplified Combustion Mechanism for Methanol/PODE Mixed Fuel
5. Conclusions
- 1.
- The detailed combustion mechanisms for methanol and PODE3 were simplified using the DRG, DRGEP, SA, and RPA methods, resulting in simplified combustion mechanisms for methanol and PODE3. Based on sensitivity analysis of the ignition delay period of the simplified mechanisms, the pre-exponential factors of key reactions were adjusted, and under the requirement of prediction error, a simplified combustion mechanism for methanol containing 42 components and 233 basic reactions and a simplified combustion mechanism for PODE containing 65 components and 249 basic reactions were finally obtained;
- 2.
- A simplified mechanism for a methanol–PODE mixed fuel combustion reaction was obtained by merging the simplified combustion mechanisms for methanol and PODE, deleting duplicate mechanisms, finally containing a mechanism with 137 components and 635 reactions. Through the verification of ignition delay, laminar flame speed and key component concentration, the results showed that the error range between the simplified and detailed combustion mechanisms meets the requirements for CFD simulation, and this simplified mechanism lays the foundation for the numerical simulation of methanol–PODE mixed fuel combustion in the cylinder.
Author Contributions
Funding
Data Availability Statement
Acknowledgments
Conflicts of Interest
References
- World Shipbuilding Review and Outlook 2022 [EB/OL]. Available online: http://www.eworldship.com/html/2023/ship_market_observation_0214/189731.html (accessed on 12 December 2023).
- International Maritime Organization (IMO). Pollution Prevention. [EB/OL]. Available online: https://www.imo.org/en/OurWork/Environment/Pages/Pollution-Prevention.aspx (accessed on 12 December 2023).
- International Maritime Organization (IMO). Future Fuels and Technology [EB/OL]. Available online: https://www.imo.org/en/OurWork/Environment/Pages/Future-Fuels-And-Technology.aspx (accessed on 12 December 2023).
- Ling, L. Maersk China Decarbonization Business Director Kaka: We are very Optimistic about China’s Green Methanol Market. Industry Insight. Available online: https://www.maersk.com.cn/news/articles/2023/11/22/maersk-signs-landmark-green-methanol-offtake-agreement (accessed on 6 November 2023).
- Newsletter. CMA CGM Ordered 12 24,000 TEU Methanol Dual-Fuel Container Ships. China Aviation Weekly, 2023.
- Wang, Y. Experimental Study of Direct-injected Methanol Ignited by Diesel. Ph.D Thesis, Dalian University of Technology, Dalian City, China, 2020. [Google Scholar]
- Jia, Z.Q.; Denbratt, I. Experimental investigation into the combustion characteristics of a methanol-Diesel heavy duty engine operated in RCCI mode. Fuel 2018, 226, 745–753. [Google Scholar] [CrossRef]
- Arkadiusz, J. The effect of the alcohol content in the fuel mixture on the performance and emissions of a direct injection diesel engine fueled with diesel-methanol and diesel-ethanol blends. Energy Convers. Manag. 2017, 148, 461–476. [Google Scholar]
- Sun, W.; Wang, G.; Li, S. Speciation and the laminar burning velocities of poly(oxymethylene) dimethyl ether3 (POMDME3) flames: An experimental and modeling study. Proc. Combust. Inst. 2012, 36, 1269–1278. [Google Scholar] [CrossRef]
- He, T.; Wang, Z.; You, X. A chemical kinetic mechanism for the low- and intermediate-temperature combustion of Polyoxymethylene Dimethyl Ether 3 (PODE3). Fuel 2018, 212, 223. [Google Scholar] [CrossRef]
- Li, J.; Zhao, Z.; Kazakov, A. A comprehensive Kinetic Mechanism for CO, CH2O, and CH3OH Combustion. Int. J. Chem. Kinet. 2007, 39, 109–136. [Google Scholar] [CrossRef]
- Zhang, J.; Wei, L.; Man, X. Experimental and Modeling Study of n-Butanol Oxidation at High Temperature. Energy Fuels 2012, 26, 3368–3380. [Google Scholar] [CrossRef]
- Li, Y.; Chen, Y.; Wu, G. A new skeletal mechanism for diesel-n-butanol blends combustion in engine. Fuel 2020, 264, 116856.1–116856.13. [Google Scholar] [CrossRef]
- Wang, Z.; Liu, H.; Ma, X. Homogeneous charge compression ignition (HCCI) combustion of polyoxymethylene dimethyl ethers (PODE). Fuel 2016, 183, 206–213. [Google Scholar] [CrossRef]
- Li, R.; Herreros, J.M.; Tsolakis, A. Chemical kinetic study on ignition and flame characteristic of polyoxymethylene dimethyl ether 3 (PODE3). Fuel 2020, 279, 118423. [Google Scholar] [CrossRef]
- Liu, J.H.; Wang, L.; Jia, D.; Gao, W.; Sun, P.; Ji, Q. Study on Simplifed Chemical Kinetics Mechanism of PODE/Methanol Dual Fuel. J. Eng. Thermophys. 2022, 43, 846–855. [Google Scholar]
- Natarajan, K.; Bhaskaran, K.A. An Experimental and An alytical Study of Methanol Ignition Behind Shock Waves. Combust. Flame 1981, 43, 35–49. [Google Scholar] [CrossRef]
- Tsuboi, T.; Hashimoto, K. Shock Tube Study on Homogeneous Thermal Oxidation of Methanol. Combust. Flame 1981, 42, 61–67. [Google Scholar] [CrossRef]
- Aronowitz, D.; Santoro, R.J.; Dryer, F.L. Kinetics of the Oxidation of Methanol: Experimental Results Semi Global Modeling and Mechanistic Concepts. Symp. Int. Combust. 1979, 17, 633–644. [Google Scholar] [CrossRef]
- Bowman, C.T. A Shock-Tube Investigation of the High Temperature Oxidation of Methanol. Combust. Flame 1975, 25, 343–354. [Google Scholar] [CrossRef]
- Ren, S.; Wang, Z.; Li, B. Development of a Reduced Polyoxymethylene Dimethyl Ethers (PODEn) Mechanism for Engine Applications. Fuel 2019, 238, 208–224. [Google Scholar] [CrossRef]
- Held, T.J.; Dryer, F.L. An Experimental and Computational Study of Methanol Oxidation in the Intermediate and High-Temperature Regimes. Symp. Int. Combust. 1994, 25, 901–908. [Google Scholar] [CrossRef]
- Lin, Q.J.; Tay, K.L.; Zhou, D.Z. Development of a Compact and Robust Polyoxymethylene Dimethyl Ether3 Reaction Mechanism for Internal Combustion Engines. Energy Convers. Manag. 2019, 185, 35–43. [Google Scholar] [CrossRef]
- Heufer, K.; Ciezki, H.K. Numerical study on auto-ignition characteristics of hydrogen-enriched methane under engine-relevant conditions. Energy Convers Manag. 2019, 200, 112092. [Google Scholar]
- Pei, Y.; Mehl, M.; Liu, W. A Multicomponent Blend as a Diesel Fuel Surrogate for Compression Ignition Engine Applications. J. Eng. Gas Turbines Power 2015, 137, 111502. [Google Scholar] [CrossRef]












| No. of | Elementary Reaction | Original Pre-Factor | Adjusted Factor |
|---|---|---|---|
| R3 | CH3OH + HO2 = CH2OH + H2O2 | ||
| R6 | CH3OH(+M) = CH3 + OH(+M) | ||
| R7 | CH2O + OH = HCO + H2O |
| Chemical Formula | Molar Mass | Density (g/cm³) | Cetane Number | Low Heat Value (MJ/kg) | |
|---|---|---|---|---|---|
| PODE1 | C3H8O2 | 76 | 0.86 | 29 | 22.4 |
| PODE2 | C4H10O3 | 103 | 0.96 | 63 | 20.3 |
| PODE3 | C5H12O4 | 136 | 1.02 | 78 | 19.1 |
| PODE4 | C6H14O5 | 166 | 1.06 | 90 | 18.4 |
| PODE5 | C7H16O6 | 196 | 1.10 | 100 | 17.8 |
| No. | Elementary Reaction | Original Pre-Factor | Adjusted Factor |
|---|---|---|---|
| R9 | DMM3 = DMM2A + CH3O | ||
| R10 | DMM3 + OH = DMM3B + H2O | ||
| R11 | DMM3 + HO2 = DMM3B + H2O2 | ||
| R13 | DMM3 + HO2 = DMM3A + H2O2 | ||
| R14 | DMM3 + CH3 = DMM3B + CH4 |
Disclaimer/Publisher’s Note: The statements, opinions and data contained in all publications are solely those of the individual author(s) and contributor(s) and not of MDPI and/or the editor(s). MDPI and/or the editor(s) disclaim responsibility for any injury to people or property resulting from any ideas, methods, instructions or products referred to in the content. |
© 2024 by the authors. Licensee MDPI, Basel, Switzerland. This article is an open access article distributed under the terms and conditions of the Creative Commons Attribution (CC BY) license (https://creativecommons.org/licenses/by/4.0/).
Share and Cite
Li, C.; Hu, Y.; Guo, H. Study on the Simplified Chemical Kinetic Combustion Mechanism of Mixed Methanol/PODE Fuel for Marine Diesel Engines. Processes 2024, 12, 594. https://doi.org/10.3390/pr12030594
Li C, Hu Y, Guo H. Study on the Simplified Chemical Kinetic Combustion Mechanism of Mixed Methanol/PODE Fuel for Marine Diesel Engines. Processes. 2024; 12(3):594. https://doi.org/10.3390/pr12030594
Chicago/Turabian StyleLi, Changxiong, Yihuai Hu, and Hao Guo. 2024. "Study on the Simplified Chemical Kinetic Combustion Mechanism of Mixed Methanol/PODE Fuel for Marine Diesel Engines" Processes 12, no. 3: 594. https://doi.org/10.3390/pr12030594
APA StyleLi, C., Hu, Y., & Guo, H. (2024). Study on the Simplified Chemical Kinetic Combustion Mechanism of Mixed Methanol/PODE Fuel for Marine Diesel Engines. Processes, 12(3), 594. https://doi.org/10.3390/pr12030594

