Abstract
Cefazolin is a first-generation cephalosporin used to treat severe infections of the respiratory tract, urinary tract, skin, and soft tissues. This study presents the optimal conditions for the determination of cefazolin by thin-layer chromatography with densitometric detection. A chloroform–methanol–glacial acetic acid mixture (6:4:0.5, v/v/v) was selected as the mobile phase, while TLC silica gel 60F254 plates were used as the stationary phase. Next, the developed procedure was validated in accordance with ICH guidelines. The obtained results showed that the method is selective, precise, and accurate in a linearity range of 0.04–1.00 µg/spot (r > 0.99). Subsequently, qualitative and quantitative analyses of formulations containing cefazolin were performed. It was found that the amount of antibiotic is highly consistent with the content declared by manufacturers. The suitability of the developed method for stability testing under varying environmental conditions was also verified. It was found that under the tested conditions, the degradation process follows first-order kinetics. The lowest stability was registered in an alkaline environment and in the presence of an oxidizing agent, and the highest stability was recorded in water, and these results were confirmed by the calculated kinetic parameters. The developed method can be used in qualitative and quantitative analyses and stability studies of the analyzed antibiotic.
1. Introduction
Cephalosporins are a subgroup of β-lactam antibiotics distinguished by the presence of a four-membered β-lactam ring in their molecular structure. The antibacterial effectiveness of cephalosporins is due to their ability to create active sites and inhibit carboxypeptidase and transpeptidase, enzymes involved in the synthesis of bacterial cell walls. Consequently, they disrupt the structural cross-links of peptidoglycans in bacterial cell walls. Cephalosporins have low toxicity, which makes them generally safe drugs. Therefore, they are considered suitable for use during pregnancy. However, their administration can sometimes lead to allergic reactions that manifest as skin redness, urticaria, irritation, pain at the injection site, and dysbacteriosis. Additionally, the use of cephalosporins containing a methyltetrazolium ring in their structures may result in hypoprothrombinemia or a disulfiram reaction [1,2].
According to the references of the World Health Organization (WHO), the most frequently recommended first-line antibiotics in surgical antibiotic prophylaxis and the prevention of surgical-site infections are first-generation cephalosporins, including cefazolin (CFZ) (Figure 1) [3,4,5]. The most frequently recommended antibiotic for perioperative prophylaxis is CFZ, which can be administered intravenously or intramuscularly. It has a beneficial effect on the skin flora, which often causes infections of the surgical site [6]. It is also indicated in the treatment of the following infections caused by sensitive isolates of the indicated microorganisms: respiratory tract infections, urinary tract infections, skin and soft tissue infections, biliary tract infections, bone and joint infections, genital infections, sepsis, and endocarditis. CFZ is the most common and most extensively studied antimicrobial agent with clinically proven efficacy in antimicrobial prophylaxis [7]. Although it is mainly active against Gram-positive bacteria such as Streptococcus pneumoniae, Staphylococcus aureus, and Streptococcus pyogenes, it is also active against some Gram-negative bacteria, such as Escherichia coli and Proteus mirabilis [8]. In most people, the metabolism of CFZ is very limited. After parenteral administration, approximately 100% of the dose is excreted unchanged in the urine, about 60% of a single dose is excreted in just 6 h, and in adults with normal renal function, 80–100% of the dose is excreted in a full 24 h. In adults, approximately 80% of administered CFZ is reversibly bound to plasma proteins [9]. The WHO guidelines indicate that CFZ is superior to vancomycin and clindamycin in the prevention of surgical-site infections and that it has the narrowest spectrum of activity that still covers the most common pathogens causing infections [10]. Due to its short half-life (1.8 h), repeated application of it during the day is required. Therefore, a mechanism for administering CFZ to the wound in the early stages of the wound’s formation is necessary until the formation of fibroblasts takes place and the wound closes [11]. However, the effectiveness of CFZ therapy against MRSA (methicillin-resistant Staphylococcus aureus) is limited due to drug delivery capacity, which is influenced by the extracellular polymer matrix of the staphylococcal biofilm. Niosomes, bilayer vesicular systems based on nonionic surfactants, are considered promising tools for solving such problems [12]. The available literature also describes cases of adverse reactions following the use of CFZ. The clinical symptoms of CFZ-related neurotoxicity primarily include seizures and encephalopathy. Independent risk factors for neurotoxicity include impaired renal function, advanced age, and the excessive dosing of any drug. Reports suggest that CFZ is particularly associated with seizures and reversible encephalopathy associated with spatiotemporal disorientation [13].
Figure 1.
Structural formula of cefazolin [14].
So far, various analytical techniques have been used to determine CFZ in both pharmaceuticals and biological material. The most widely used methods include high-performance liquid chromatography (HPLC), which allows for precise quantitative and qualitative determinations of substances. The simultaneous determination of levofloxacin, CFZ, and cefminox in human urine was performed using RP-HPLC. The analysis was performed on a KROMASIL C18 column with a 5 mM tetrabutylammonium bromide–methanol (75:25, v/v) mixture as the mobile phase, and the pH was adjusted to 3.58 with trifluoroacetic acid [15]. A quantitative evaluation of CFZ in the monitoring of urinary tract infections was performed using HPLC-UV at a wavelength of 254 nm [16]. CFZ was also determined in human serum by HPLC, testing the stability of the method in variable environmental conditions [17]. Baranowska et al. developed the RP-HPLC-DAD method to measure the concentration of various drugs, including CFZ, in urine samples [18]. Due to the use of CFZ in the treatment of postoperative infections, especially after a cesarean section, an LC-MS/MS method was also developed for the quantification of total and free cefazolin in maternal plasma and umbilical cord blood after its isolation using an ultrafiltration technique [19]. The HILIC-ESI/MS methodology was used for the simultaneous quantification of antibiotics such as cefuroxime, cefoxitin, and CFZ in breast milk. Protein precipitation with acetonitrile was followed by filtration, which facilitated injection into the system. The established method demonstrated good accuracy and precision, rendering it a pragmatic tool with a wide range of applications in clinical trials [20]. Through using the HPLC-MS/MS methodology, the concentration of CFZ in the adipose tissue of patients was determined, assessing the distribution of the drug in obese people. Sample preparation included protein precipitation using Captiva EMR–Lipid plates. The mobile phase consisted of 5 mM ammonium formate and 0.1% formic acid in water and 0.1% formic acid in acetonitrile (gradient elution), and the stationary phase was a Synergi Fusion-RP column [21]. CFZ is also used in veterinary medicine to treat bacterial infections in various animal species. A key aspect of the effectiveness of treatment is maintaining the optimal antibiotic concentration in animal muscle tissue. Rezende et al. analyzed β-lactam antibiotics and tetracyclines in cattle muscles. Their methodology included the extraction of muscle residues with a mixture of water and acetonitrile, followed by purification with C18 solid-phase dispersion and hexane. Further analysis involved the use of ultra-performance liquid chromatography coupled with mass spectrometry (UPLC-MS/MS), which allowed for the monitoring of the presence of antibiotics in cattle muscles [22].
Among the various chromatographic techniques, thin-layer chromatography (TLC) stands out as one of the most popular methods in pharmaceutical analysis [23,24,25]. It serves as a key analytical tool in numerous drug studies due to its several significant advantages (such as its ease of execution, capability to facilitate the extensive visualization of components, the absence of specific requirements regarding high sample purity and concentrations, the fact it is relatively inexpensive, and the fact it can be carried out with user-friendly equipment) over HPLC [26]. The benefits of routine using TLC also include the easier manipulation of stationary and mobile phases, the use of specific and colored reactions, and the possibility of two-dimensional separation [27]. Currently, the TLC method is being constantly improved through the application of new adsorbents, the development of modern equipment, and the creation of new software to optimize separation [28]. In the analysis of cephalosporins, TLC is employed for identification purposes and purity control, as well as for stability and metabolism studies. It is also the method of choice for monitoring the cross-contamination of cephalosporins with traces of penicillin [29]. A TLC technique with densitometric detection was used to isolate and quantify CFZ from serum and urine. A mixture of chloroform–methanol–acetic acid (60:40:5, v/v/v) was used as the mobile phase, and Kieselgel F60254 TLC plates were used as the stationary phase. The drug migrated with a retardation factor (RF) of about 0.3 [30]. Zimmermann et al. determined CFZ in a powder form in an injectable solution using TLC coupled with digital imaging after staining the spots on a chromatogram with iodine vapor [31]. The effect of the presence of an impregnating reagent on the separation results of individual cephalosporins (cefadroxil, cephalexin, cefotaxime, CFZ) was also investigated using the TLC method. Na2EDTA was used as the impregnating reagent, and the mobile phase was a mixture composed of propionic acid-2–propanol–water (6:3:3, v/v/v) [29]. The effect of impregnating the stationary phase with transition metal ions on the separation efficiency of selected cephalosporins, including CFZ, was also tested. Separation was carried out on plates impregnated with Mn2+, Fe2+, Co2+, Ni2+, and Cu2+ in various concentrations. Using a mobile phase containing a mixture of propanol–water–butanol (15:3:1, v/v/v), it was possible to separate the analyzed cephalosporins. In the case of CFZ, the best separation was observed after impregnating the plates with FeSO4 at a concentration of 0.4% [32]. The lipophilicity parameters of cephalosporins, including CFZ, were determined using the RP-TLC method. The main aim of this study was to analyze the properties of these substances and their dependence on changes in the composition of mobile phases with stationary phases with different properties [33,34].
The aim of the present study was to develop optimal chromatographic conditions and validate the procedure developed for the determination of CFZ, using TLC combined with densitometric detection. In the second part of our work, we evaluated the suitability of the developed method for qualitative and quantitative analyses of preparations available on the Polish market containing CFZ in their composition. Then, the suitability of the developed method for analyzing CFZ stability in variable environmental conditions and at various temperatures and times was examined.
2. Materials and Methods
2.1. Chemicals and Apparatus
A standard substance of CFZ (PHR 1291, LRAD1028) was obtained from Sigma Aldrich, St. Louis, MO, USA. Preparations containing CFZ were purchased from a local pharmacy. Chloroform and methanol gradients for HPLC were purchased from Witko (Łódź, Poland), and 88.12 g/mol ethyl acetate was purchased from P.P.H. “STANLAB” Sp. J. (Lublin, Poland). Additionally, acetic acid, sodium hydroxide, hydrochloric acid, and hydrogen peroxide, all of which were of analytical grade, were sourced from Chempur (Piekary Śląskie, Poland). A densitometer (TLC Scanner 3 with Cat4 software, Camag, Muttenz, Switzerland), Linomat V (Camag, Muttenz, Switzerland), analytical balance (WPA 120C1, Radwag, Radom, Poland), and dryer (EcoCell BMT, Brno, Czech Republic) were used. Chromatographic plates, such as TLC Silica gel 60 F254 (No. 1.05554.0001), HPTLC Cellulose (No. 1.16092.0001), and TLC silica gel 60 RP-18 F254s (No. 1.05559) were purchased from Merck (Darmstadt, Germany).
2.2. Sample Preparations
To obtain a standard solution, approximately 10 mg of the standard CFZ substance was weighed in a 10 mL volumetric flask and dissolved in methanol. The resulting solutions were stored away from sunlight in a refrigerator at a temperature of 2–8 °C in accordance with the manufacturer’s instructions. An analogous procedure was followed for the tested preparations containing CFZ. The solutions of the preparations were prepared by weighing the appropriate amount and then dissolving it in 10 mL of methanol. To achieve lower concentrations of the tested substances, the prepared solutions were diluted with methanol. The obtained solutions were stored in a refrigerator at a constant temperature of 2–8 °C and protected from sunlight.
2.3. Chromatographic Conditions
The prepared solutions were applied to TLC silica gel 60 F254 (Merck, Germany) chromatographic plates using a Linomat V applicator. The plate dimensions were 100 mm in length and 70 mm in width. Each spot on the plate had a width of 10 mm, with a 10 mm distance between spots. The distance between the edge of the plate and the starting point of the first spot was 10 mm. The solutions were applied at a constant application rate of 250 nL/s. The plates were dried at room temperature. Then, the plates were developed to a diameter of 95 mm in a chromatographic chamber that had dimensions of 20 × 10 cm (Sigma-Aldrich, Laramie, WY, USA), contained the mobile phase, and was previously saturated (15 min) with a selected mobile phase. The obtained chromatograms were subsequently subjected to further analysis.
2.4. Validation of the Method
Validation testing is conducted to demonstrate that the tested procedure is scientifically relevant, reliable, credible, and able to serve its intended analytical purposes. The purpose of validation in the case of a quantitative method is to ensure that the true value of the test sample is estimated with the greatest possible accuracy and precision [35].
2.4.1. Linearity Range
The linearity of an analytical procedure is its ability to obtain test results that are linearly proportional to the concentration of analyte in the sample. The linear relationship should be evaluated using at least 5 concentrations of a standard solution. The test results should be rated using appropriate statistical methods, for example, linear regression, determining a calibration curve using the following equation: y = ax + b. In this equation, the slope coefficient is a, and the intercept term is b. The relationship between the variables is characterized by the correlation coefficient r, which ranges from 0 to 1. We performed a residual analysis, which allowed for the observation of differences between the actual and predicted values. This analysis helps determine whether the selected model has been fitted correctly. A good correlation is indicated by a distribution of random residuals close to zero. Cook’s distance (Cd) measures the degree of change in regression coefficients when a specific case is removed from the calculation. Declares the possible impact of points on the disturbance of the regression model. Mahalanobis distances (MDs), which represent the distance of a given measurement point from the center, help identify whether specific observations are outliers in a given study. A high Mahalanobis distance value suggests that a particular observation differs significantly from the others in the study.
2.4.2. Accuracy
The accuracy of an analytical procedure expresses the correspondence between the measured and the reference values. High accuracy is considered when the differences between the two presented values are small. It should be assessed using at least 9 determinations at a minimum of 3 different concentration levels covering a defined range. Accuracy is given as the percentage recovery of a known amount of analyte added to the sample or as the difference between the mean value and the assumed true value, along with confidence intervals. Equation (1) was used to calculate the percentage recovery:
where A is defined as the peak area [mm2] obtained for the sample solution after the addition of a certain amount t of the analyte, and Ai is defined as the peak area [mm2] obtained before the addition of the analyte. To consider the tested analytical procedure as accurate, the calculated recovery percentage needs to be in the range of 95–105%.
R = (A − Ai)/Ai × 100%
2.4.3. Precision
Precision refers to the degree of dispersion between a series of measurements obtained by repeatedly taking the same homogeneous sample under specified conditions. Precision is expressed in terms of repeatability, intermediate precision, and reproducibility. For the evaluation of precision, it is required to determine two parameters: the relative standard deviation (RSD) and the coefficient of variation (RSD%). Equation (2) was used to calculate these parameters.
To confirm a good evaluation of the analytical method under study, the value of RSD% should not exceed 5%.
Repeatability is achieved when the same samples are tested using the same method, carried out by one analyst, in the same laboratory using identical equipment and in a short time. Intermediate precision refers to a given sample, but its value is influenced by the presence of various analysts and the equipment they use (not necessarily the same), variable analysis times, and the reagents used. Reproducibility is obtained for the same sample on the basis of an interlaboratory study conducted by different analysts using different equipment over a longer period of time.
2.4.4. Limit of Detection (LOD)
The limit of detection (LOD) is the lowest amount of an analyte in a sample that can be detected but not necessarily quantified as an exact value. In practice, it is the lowest concentration of an analyte that is distinguishable from noise. It can be determined by visual evaluation or using a mathematical equation (Equation (3)) based on the parameters of the calibration curve.
where Se—standard error of estimation; a—the slope of the calibration curve.
LOD = (3.3 × Se)/a
2.4.5. Limit of Quantification (LOQ)
The limit of quantification (LOQ) is the lowest amount of an analyte in a sample that can be quantified with sufficient precision and accuracy. It is a parameter of quantification especially for low-level compounds in sample matrices. The LOQ can be determined, like the LOD, by optical estimation or by applying a formula, Equation (4), using the parameters of a calibration curve.
where Se—standard error of estimation; a—the slope of the calibration curve.
LOQ = (10 × Se)/a
2.4.6. Specificity
Specificity refers to a method’s ability to unambiguously evaluate an analyte in the presence of other components that might be expected in a sample, such as various impurities or excipients. In practice, the specificity of a method can be checked by enriching pure substances (active substance or product) with appropriate levels of impurities or excipients and demonstrating that the presence of these materials does not affect the test result.
2.4.7. Robustness
Robustness is an assessment of the suitability of an analytical procedure in an operating environment. Robustness testing should demonstrate the reliability of the procedure with respect to small, intended changes in parameters. Deliberate changes in the test conditions and stability can be analyzed by changing the incubation conditions, sample degradation factors, analysis duration, or the temperature and determining their effect on the results.
2.5. Stability Analysis
A 0.02% solution of the standard substance was prepared and successively mixed with 0.02 mol/L HCL, 0.02 mol/L NaOH solution, 6% H2O2 solution, and distilled water in a volume ratio of 1:1. The resulting solutions were successively incubated at 25 °C, 60 °C, 75 °C, and 90 °C. At specified time intervals (0, 1, 2, 3, and 4 h), samples were collected and analyzed under the conditions developed earlier.
2.6. Analysis of Pharmaceutical Formulations
Approximately 10 mg of each preparation was weighed and dissolved in 10 mL of methanol. Lower concentrations were then prepared by dilution with methanol. The prepared solutions were stored at a constant temperature of 2–8 °C and protected from sunlight. Standard solutions and samples were applied to the chromatographic plates using a Linomat V applicator, and our analysis was performed as described above.
3. Results and Discussion
The first step of our research was the development and optimization of the chromatographic separation conditions. Based on the available literature, it was decided to experimentally test two mobile phases: (A) chloroform–methanol–glacial acetic acid (6:4:0.5 v/v/v) and (B) chloroform–ethyl acetate–glacial acetic acid–water (4:4:4:1 v/v/v/v). Three types of chromatography plates were also tested, namely TLC silica gel 60 F254, HPTLC Cellulose, and TLC silica gel 60 RP-18 F254. The prepared 0.1% standard solution of CFZ was applied to chromatography plates in three different volumes: 1 µL, 5 µL, and 10 µL. After separation, the plates were dried at room temperature without access to light. The obtained chromatograms were visually evaluated using a UV-Vis lamp at wavelengths of 254 and 366 nm and then subjected to densitometric detection.
Comparing the obtained chromatograms recorded for both tested phases, the RF values were 0.52 (A) and 0.35 (B). It was found that for the B phase, the analysis time was 37 min, while using the A phase, compact and well-developed peaks were obtained in a shorter time (29 min). The best chromatographic separation was obtained on TLC Silica gel 60 F254 plates (Figure 2).
Figure 2.
Example of a densitogram recorded for cefazolin.
Based on the observed results, chloroform–methanol–glacial acetic acid (6:4:0.5 v/v/v) as the mobile phase and TLC Silica gel F254 plates as the stationary phase were selected for further analysis. The detection wavelength was set at 254 nm (Figure 3).
Figure 3.
Densitometrically recorded absorption spectrum of cefazolin.
No changes were observed in the presented parameters when varying the chamber saturation time within the range of 15 ± 2 min and introducing a slight change (±5%) in the composition of the mobile phase (robustness).
The next step was to validate the developed method in accordance with the International Council for Harmonization (ICH) guidelines in order to demonstrate its reliability [34].
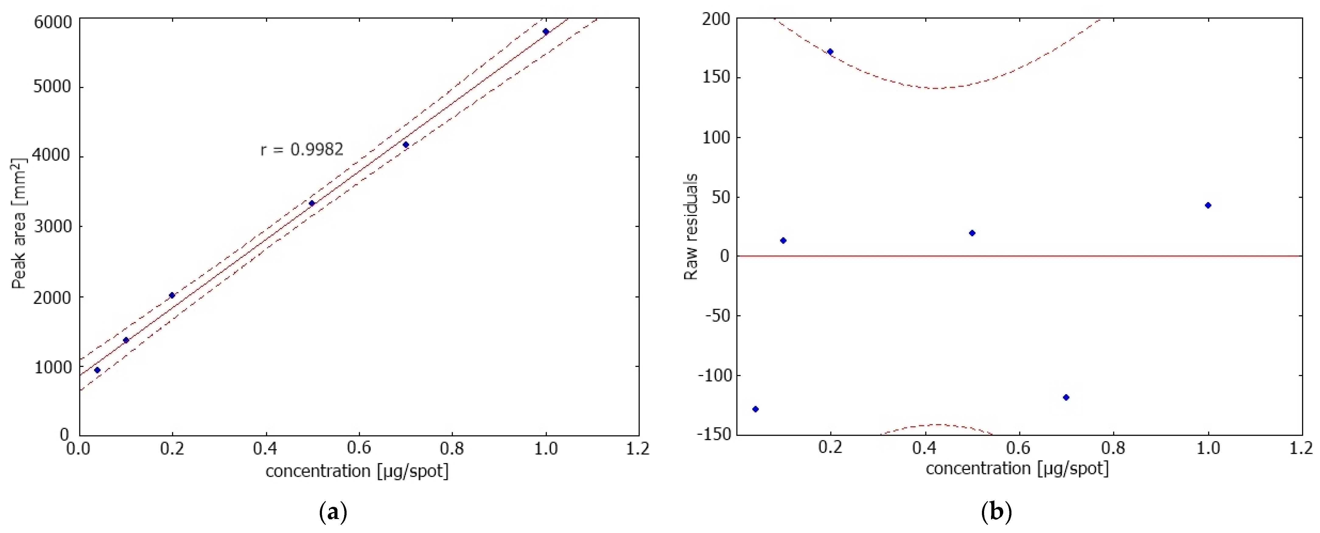
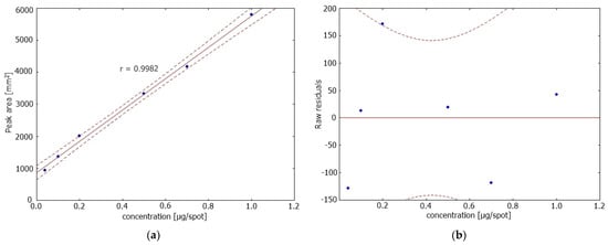
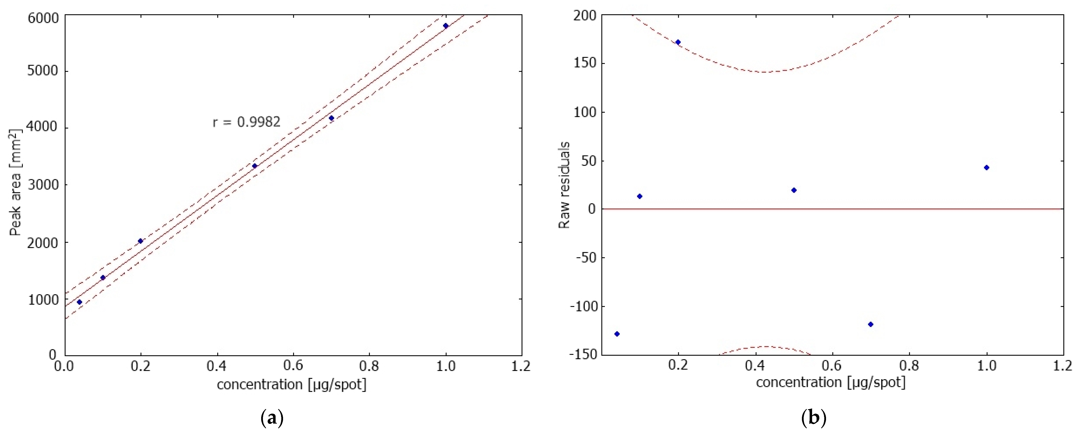
To evaluate the linearity of the optimized procedure, a solution of the CFZ standard substance was used, which was applied to the plates in amounts of 0.04, 0.1, 0.2, 0.5, 0.7, 1.0, 1.2, 1.4, and 1.6 µL. Based on the recorded densitograms, the relationship between the obtained surface areas and the amount of the tested substance in the sample was determined. The calculated value of the linear correlation coefficient (r) (close to 1, r2 > 0.99) indicates a good correlation between the peak area and CFZ concentration in the range of 0.04–1.00 µg/spot (Figure 4a). There were no outliers in the study, as indicated by the low average values for Cook’s distance (0.2319) and Mahalanobis distance (0.8332) (Figure 4b).
Figure 4.
Plot of surface area [mm2] vs. concentration of cefazolin solution [µg/spot] (a); plot of residues (b).
LOD and LOQ were then calculated (according to Section 2.4.4 and 2.4.5), obtaining values of 0.0840 µg/spot and 0.2546 µg/spot, respectively. The obtained parameters were characterized by low values, which indicated the high sensitivity of the developed method.
In order to assess the accuracy of the method, the percentage recovery of a known amount of analyte added to the tested sample was determined at three concentration levels: 80, 100, and 120% of the value taken as real. Three replicates were carried out for each assay. The percent recovery for each individual measurement was calculated. At the indicated concentration levels, the average recovery value was within the range of 95–105%, and the RSD% was <0.34%, which confirms the appropriate accuracy of the developed method (Table 1).
Table 1.
Statistical parameters of the validated method.
For the evaluation of the direct precision of the method, 0.001% CFZ standard solution was prepared and applied to chromatographic plates in a volume of 20 µL per spot in triplicate. To assess indirect precision, the test was repeated the next day. The obtained results and statistically developed parameters are shown in Table 1. It can be seen that RSD%, under the analyzed conditions, was less than 5%, which is the value required to confirm the precision of a given method.
The specificity of the method was assessed in terms of potential impurities and interference from excipients in pharmaceuticals. The registered chromatograms and absorption spectra for the CFZ solutions obtained from pharmaceutical products did not show any additional peaks compared to those obtained for the reference substances. Therefore, it can be stated that the proposed procedure is selective and specific for the antibiotic.
The next stage of the study was to examine the quantitative composition of selected CFZ-containing preparations. Based on the obtained peak areas recorded for the standard and preparation solutions, the CFZ content was calculated. The results were converted into the percentage of CFZ according to the manufacturer’s composition statement on the product leaflet. Three replicates were performed for each assay. The obtained results are shown in Table 2. The analysis demonstrated a high level of agreement between the experimentally determined composition of each analyzed preparation and the value declared by the manufacturer (>92% compliance).
Table 2.
Evaluation of cefazolin content in the tested preparations (n = 3).
The next stage of the work involved assessing the suitability of the developed analytical procedure for testing the stability of CFZ in variable environmental conditions. Stability was tested in the following environments: H2O, 0.1 mol/L HCL, 0.01 mol/L HCL, 0.01 mol/L NaOH, and 3% H2O2. The concentration of CFZ was calculated using Equation (5):
where X—concentration [%], Pp—peak area registered after incubation [mm2], Pw—peak area registered before incubation [mm2].
X = (Pp × 100)/Pw
A slight effect of temperature on the stability of CFZ in water was observed during incubation at 25 °C. As the temperature increases, the degradation rate of CFZ increases, which is confirmed by the decreasing peak areas corresponding to CFZ. At 90 °C, approximately 54% of the drug is lost after 4 h of incubation.
During incubation, no changes were registered in the peak area of CFZ at 25 °C in 0.1 mol/L HCL solution, while at 60 °C and 75 °C, decomposition occurred, forming a single product after the first hour of the analysis (RF = 0.68). At 90 °C, the presence of two additional peaks on the densitograms was registered (RF = 0.68 and 0.81). At 60 °C, a decrease in the CFZ concentration of approx. 60% after 4 h of incubation was registered. However, at 75 °C, a loss of about 73% was registered, and at 90 °C, CFZ was completely decomposed. In a 0.01 mol/L HCL solution, CFZ was decomposed by approx. 19% after 4 h of incubation at 25 °C, and no additional peaks were observed on the recorded densitograms. In the densitograms obtained for the solutions incubated at elevated temperatures (60 °C and 75 °C), an additional peak was recorded (RF = 0.72), while at 90 °C, another peak was registered (RF = 0.84), probably originating from degradation products (Figure 5 and Figure 6). At 60 °C and after 4 h of incubation, CFZ was degraded by approximately 59%, while at 75 °C, there was a loss of about 64%, and at 90 °C, there was a loss of about 86% (Table 3).
Figure 5.
Densitogram showing separation of cefazolin and its degradation products in 0.01 mol/L HCL after 1 h of incubation at 90 °C (A—CFZ; B,C—peaks corresponding to degradation products).
Figure 6.
Absorption spectra recorded for solution of cefazolin in 0.01 mol/L HCL after 1 h incubation at 90 °C (A—CFZ; B,C—degradation products).
Table 3.
Peak areas [mm2] recorded for cefazolin under various incubation conditions.
In 0.1 mol/L NaOH solution, CFZ was completely degraded at all tested temperatures after 1 h of incubation. After preparing the solution in 0.01 mol/L NaOH, in addition to the peak from CFZ (RF = 0.52), an additional peak with RF = 0.42 was recorded (Figure 7 and Figure 8). After the first hour of incubation at elevated temperatures, CFZ was completely degraded, and no peaks were registered in the recorded densitograms.
Figure 7.
Densitogram showing degradation products of cefazolin obtained in 0.01 mol/L NaOH solution at 90 °C (A—peak corresponding to the degradation product; B—CFZ).
Figure 8.
Absorption spectra recorded directly from chromatogram for cefazolin in 0.01 mol/L NaOH solution at 90 °C. (A—degradation product; B—CFZ).
Then, the effect of 3% H2O2 on the stability of the antibiotic was tested. Under the influence of the oxidant agent, immediately after preparation, CFZ was completely degraded. Two peaks originating from its degradation products were created, with RF = 0.21 and 0.35 (Figure 9).

Figure 9.
Densitogram showing degradation products of cefazolin obtained in H2O2 (a) immediately (A, B—peaks corresponding to degradation products) and (b) after 1 h incubation.
The retention factor (k), the separation factor (α), and peak resolution (RS) are parameters that enable the numerical evaluation of peak separation. They determine whether the peaks in the densitogram recorded for specific samples are optimally separated from each other. These coefficients can be calculated using the formulas below (Equations (6)–(8)):
where n—peak number; z—the distance between the start line and the peak maximum; and w—width of the peak base.
k = (1 − RF)/RF
αn = (k(n + 1))/kn
RS = (z2 − z1)/(0.5 (w1 + w2))
High values of the separation coefficient and resolution coefficient indicate sufficiently large distances between the analyzed peaks (the peaks do not interfere with each other), which confirms the usefulness of the developed procedure for stability studies (Table 4).
Table 4.
Values of separation parameters calculated for cefazolin solution in 0.01 mol/L HCL after 1 h incubation at 90 °C.
In the next stage, we conducted kinetic studies of the CFZ degradation process. Based on the formulas provided below (Equations (9)–(11)), we calculated the basic kinetic parameters, namely the order of reaction, the reaction rate constant (k), the time required for the concentration of the substance to decrease to half the initial value (t0.5), and the time required for the degradation to reach 10% of the initial value (t0.1).
where c1, c2—concentrations [%] after time t1, t2 [h].
k = 2.303 × (logc1 − logc2)/(t2 − t1)
t0.5 = 0.635/k
t0.1 = 0.1053/k
Based on the calculated regression parameters (Table 5), a linear dependence of CFZ concentration during degradation over time was found at all tested temperatures, and in each of the solutions: H2O, 0.1 mol/L HCL, and 0.01 mol/L HCL (r near 1, and high values of the F parameter). The degradation of CFZ showed agreement with the kinetics for a first-order reaction.
Table 5.
Statistical parameters describing the lnc = f(t) relationship for the tested solutions (n = 3).
The calculated values of the kinetic parameters (Table 6) indicate the relationship between the increase in the value of the reaction rate constant and increasing temperature for all analyzed solutions.
Table 6.
Calculated kinetic parameters of the cefazolin degradation process.
The highest values of the reaction rate constant were observed for the solution of CFZ in 0.1 mol/L HCL at 90 °C (k = 0.6477 h−1), where CFZ decomposed most rapidly. The slowest degradation occurred for the CFZ in water at 25 °C (k = 0.0193 h−1). The k values obtained for the CFZ in water were lower than the k obtained for the analyzed acidic solutions (0.1 and 0.01 mol/L HCL) at all tested temperatures. In the presence of an oxidizing agent, the analyzed cephalosporin was completely degraded directly while in an alkaline medium after the first hour of incubation.
4. Conclusions
The present study describes the development of a TLC method with densitometric detection for quantitative and qualitative analyses and stability studies of CFZ in pharmaceutical preparations. The best separation results were obtained using the chloroform–methanol–glacial acetic acid (6:4:0.5 v/v/v) mixture and TLC Silica gel 60 F254 plates as the mobile and stationary phases, respectively. Validation testing for the established procedure was carried out in accordance with ICH guidelines. The results confirmed the suitability of the method for the precise and accurate determination of CFZ in pharmaceuticals. In addition, studies on the stability of CFZ under different stress conditions showed its stability in water and lower stability in an acidic environment. In an alkaline solution and in the presence of an oxidizing agent, the analyzed substance was completely degraded immediately or after the first hour of incubation. Stability studies confirmed the usefulness of the developed method for testing the degradation of CFZ in different environmental conditions. The procedure we have developed and validated can be a good alternative to the commonly used HPLC method for both assessing the quality and content of CFZ in pharmaceutical products, as well as testing its stability.
Author Contributions
Conceptualization, M.D.; methodology, M.D. and J.Ż.; validation, M.D. and J.Ż.; investigation, M.D. and J.Ż.; writing—original draft preparation, J.Ż.; writing—review and editing, M.S.; supervision, M.D. All authors have read and agreed to the published version of the manuscript.
Funding
This research received no external funding.
Data Availability Statement
Data are contained within the article.
Conflicts of Interest
The authors declare no conflicts of interest.
Correction Statement
This article has been republished with a minor correction to the existing affiliation information. This change does not affect the scientific content of the article.
References
- Żyżyńska-Granica, B.; Trzaskowski, B.; Dutkiewicz, M.; Zegrocka-Stendel, O.; Machcińska, M.; Bocian, K.; Kowalewska, M.; Koziak, K. The anti-inflammatory potential of cefazolin as common gamma chain cytokine inhibitor. Sci. Rep. 2020, 10, 2886. [Google Scholar] [CrossRef]
- Lima, L.M.; Silva, B.N.M.D.; Barbosa, G.; Barreiro, E.J. β-lactam antibiotics: An overview from a medicinal chemistry perspective. Eur. J. Med. Chem. 2020, 208, 112829. [Google Scholar] [CrossRef]
- World Health Organization. Cefazolin. Available online: https://list.essentialmeds.org/recommendations/869 (accessed on 10 January 2024).
- Lessard, S.; Huiras, C.; Dababneh, A.; Palraj, R.; Thies, R.; Woolever, N.; Holt, K.; Schwan, B.; Poelma, J.; Tempelis, J.; et al. Pharmacist adjustment of preoperative antibiotic orders to the preferred preoperative antibiotic cefazolin for patients with penicillin allergy labeling. Am. J. Health Syst. Pharm. 2023, 80, 532–536. [Google Scholar] [CrossRef]
- Larry, R.C.; Bertram, C.M. Evaluation of Antibiotic Allergies in Surgical Patients. Orthop. Nurs. 2021, 40, 248–254. [Google Scholar] [CrossRef]
- Isserman, R.S.; Cheung, J.; Varallo, D.; Cafone, J.; Lee, J.; Chiotos, K.; Muhly, W.T.; Metjian, T.A.; Swami, S.; Baldwin, K.; et al. Increasing Cefazolin Use for Perioperative Antibiotic Prophylaxis in Penicillin-Allergic Children. Pediatrics 2022, 149, e2021050694. [Google Scholar] [CrossRef]
- Jain, H.; Singh, G.; Gambhir, H.S. Cefazolin-Associated Hallucinations in a Young Male with Normal Renal Function. Am. J. Ther. 2023, 30, 168–170. [Google Scholar] [CrossRef]
- Schmitz, M.L.; Rubino, C.M.; Onufrak, N.J.; Martinez, D.V.; Licursi, D.; Karpf, A.; Cetnarowski, W. Pharmacokinetics and Optimal Dose Selection of Cefazolin for Surgical Prophylaxis of Pediatric Patients. J. Clin. Pharmacol. 2021, 61, 666–676. [Google Scholar] [CrossRef]
- PubChem. Cefazolin. Available online: https://pubchem.ncbi.nlm.nih.gov/source/hsdb/3213#section=Absorption-Distribution-and-Excretion-Complete (accessed on 10 January 2024).
- Fosnot, S.; Currier, K.; Pendell, J.; Jeffres, M.N. Comparison of immediate hypersensitivity reactions to preoperative antibiotics in patients labeled as penicillin allergic. Surgery 2021, 170, 777–782. [Google Scholar] [CrossRef]
- Hajikhani, M.; Emam-Djomeh, Z.; Askari, G. Fabrication and characterization of mucoadhesive bioplastic patch via coaxial polylactic acid (PLA) based electrospun nanofibers with antimicrobial and wound healing application. Int. J. Biol. Macromol. 2021, 172, 143–153. [Google Scholar] [CrossRef]
- Zafari, M.; Adibi, M.; Chiani, M.; Bolourchi, N.; Barzi, S.M.; Shams Nosrati, M.S.; Bahari, Z.; Shirvani, P.; Noghabi, K.A.; Ebadi, M.; et al. Effects of cefazolin-containing niosome nanoparticles against methicillin-resistant Staphylococcus aureus biofilm formed on chronic wounds. Biomed. Mater. 2021, 16, 035001. [Google Scholar] [CrossRef]
- Schliamser, S.E.; Cars, O.; Norrby, S.R. Neurotoxicity of beta-lactam antibiotics: Predisposing factors and pathogenesis. J. Antimicrob. Chemother. 1991, 27, 405–425. [Google Scholar] [CrossRef]
- Metabolomics Workbench. Metabolomics Structure Database. Cefazolin. Available online: https://www.metabolomicsworkbench.org/data/StructureData.php?Mode=View&RegNo=43496&DataTabMode=AllData (accessed on 13 May 2023).
- Sun, H.; Qin, X.; Ge, X. Effective separation and simultaneous detection of levofloxacin, cefazolin, and cefminox in human urine by RP-HPLC. J. Liq. Chromatogr. Relat. Technol. 2013, 36, 525–536. [Google Scholar] [CrossRef]
- Abe, K.; Momo, K.; Abe, Y.; Kanazawa, T.; Karato, R.; Tanaka, K.; Sasaki, T. Simple determination of urine cefazolin concentration in pediatric patients with urinary tract infections using high-performance liquid chromatography. Biomed. Chromatogr. 2022, 36, e5495. [Google Scholar] [CrossRef]
- Kunicki, P.K.; Waś, J. Simple HPLC method for cefazolin determination in human serum—Validation and stability testing. J. Chromatogr. B 2012, 911, 133–139. [Google Scholar] [CrossRef]
- Baranowska, I.; Markowski, P.; Baranowski, J. Development and validation of an HPLC method for the simultaneous analysis of 23 selected drugs belonging to different therapeutic groups in human urine samples. Anal. Sci. 2009, 25, 1307–1313. [Google Scholar] [CrossRef]
- Crutchfield, C.A.; Marzinke, M.A. Bioanalytical development and validation of liquid chromatographic-tandem mass spectrometric methods for the quantification of total and free cefazolin in human plasma and cord blood. Pract. Lab. Med. 2015, 1, 12–21. [Google Scholar] [CrossRef]
- Kiriazopoulos, E.; Zaharaki, S.; Vonaparti, A.; Vourna, P.; Panteri-Petratou, E.; Gennimata, D.; Lombardo, K.; Panderi, I. Quantification of three beta-lactam antibiotics in breast milk and human plasma by hydrophilic interaction liquid chromatography/positive-ion electrospray ionization mass spectrometry. Drug Test. Anal. 2017, 9, 1062–1072. [Google Scholar] [CrossRef]
- Siemiątkowska, A.; Wassef, A.; Sadek, R.; Park, C.; Yohn, C.; Brunetti, L.; Kagan, L. A validated LC-MS/MS method for the quantitation of cefazolin in human adipose tissue: Application of EMR-Lipid sorbent as an efficient sample clean-up before mass spectrometric analyses. J. Pharm. Biomed. Anal. 2022, 213, 114696. [Google Scholar] [CrossRef]
- Rezende, C.P.; Almeida, M.P.; Brito, R.B.; Nonaka, C.K.; Leite, M.O. Optimisation and validation of a quantitative and confirmatory LC-MS method for multi-residue analyses of β-lactam and tetracycline antibiotics in bovine muscle. Food Addit. Contam. Part A 2012, 29, 541–549. [Google Scholar] [CrossRef]
- Dołowy, M.; Kulpińska-Kucia, K.; Pyka, A. Validation of a thin-layer chromatography for the determination of hydrocortisone acetate and lidocaine in a pharmaceutical preparation. Sci. World J. 2014, 2014, 107879. [Google Scholar] [CrossRef]
- Khedr, A.; Sheha, M. Quantitative thin-layer chromatographic method of analysis of azithromycin in pure and capsule forms. J. Chromatogr. Sci. 2003, 41, 10–16. [Google Scholar] [CrossRef] [PubMed]
- Krzek, J.; Maślanka, A.; Lipner, P. Identification and quantitation of polymyxin B, framycetin, and dexamethasone in an ointment by using thin-layer chromatography with densitometry. J. AOAC Int. 2005, 88, 1549–1554. [Google Scholar] [CrossRef]
- Gumułka, P.; Dąbrowska, M.; Starek, M. Stability study of selected coxibs used in the treatment of rheumatoid diseases in various drug combinations. Processes 2023, 11, 2605. [Google Scholar] [CrossRef]
- Singh, D.K.; Maheshwari, G. Chromatographic studies of some cephalosporins on thin layers of silica gel G-zinc ferrocyanide. Biomed. Chromatogr. 2010, 24, 1084–1088. [Google Scholar] [CrossRef]
- Gumułka, P.; Tarsa, M.; Dąbrowska, M.; Starek, M. Quantification of grapiprant and its stability testing under changing environmental conditions. Biomedicines 2022, 10, 2821. [Google Scholar] [CrossRef] [PubMed]
- Bhushan, R.; Parshad, V. Separation and identification of some cephalosporins on impregnated TLC plates. Biomed. Chromatogr. 1996, 10, 258–260. [Google Scholar] [CrossRef]
- Kaye, B.; Wood, P.R. Analysis of Cefazolin in Serum or Urine. J. Pharm. Sci. 1978, 67, 1170–1171. [Google Scholar] [CrossRef]
- Zimmermann, A.; Totoli, E.G.; Fernandes, F.H.; Salgado, H.R. An eco-friendly and low-cost method for the quantification of cefazolin sodium in powder for injectable solution using thin-layer chromatography assisted by digital images. J. Planar Chromtogr. 2017, 30, 28–290. [Google Scholar] [CrossRef]
- Bhushan, R.; Thiong’o, G.T. Separation of cephalosporins on thin silica gel layers impregnated with transition metal ions and by reversed-phase TLC. Biomed. Chromatogr. 2002, 16, 165–174. [Google Scholar] [CrossRef]
- Dąbrowska, M.; Komsta, Ł.; Krzek, J.; Kokoszka, K. Lipophilicity study of eight cephalosporins by reversed-phase thin-layer chromatographic method. Biomed. Chromatogr. 2015, 29, 1759–1768. [Google Scholar] [CrossRef]
- Dąbrowska, M.; Starek, M.; Komsta, Ł.; Szafrański, P.; Stasiewicz-Urban, A.; Opoka, W. Assessment of the chromatographic lipophilicity of eight cephalosporins on different stationary phases. Eur. J. Pharm. Sci. 2017, 101, 115–124. [Google Scholar] [CrossRef]
- ICH. Guide Q2 (R1): Validation of Analytical Procedures: Text and Methodology. In ICH Quality Guidelines: An Implementation Guide; Wiley: Hoboken, NJ, USA, 2017. [Google Scholar]
Disclaimer/Publisher’s Note: The statements, opinions and data contained in all publications are solely those of the individual author(s) and contributor(s) and not of MDPI and/or the editor(s). MDPI and/or the editor(s) disclaim responsibility for any injury to people or property resulting from any ideas, methods, instructions or products referred to in the content. |
© 2024 by the authors. Licensee MDPI, Basel, Switzerland. This article is an open access article distributed under the terms and conditions of the Creative Commons Attribution (CC BY) license (https://creativecommons.org/licenses/by/4.0/).









