Next Article in Journal
Experimental Study on Preparation of Nano ZnO by Hydrodynamic Cavitation-Enhanced Carbonization Method and Response Surface Optimization
Previous Article in Journal
Modeling of Spiral Wound Membranes for Gas Separations—Part IV: Real-Time Monitoring Based on Detailed Phenomenological Model
 
 
Font Type:
Arial Georgia Verdana
Font Size:
Aa Aa Aa
Line Spacing:
Column Width:
Background:
Article

The Design and Experimental Research on a High-Frequency Rotary Directional Valve

1
School of Mechatronic and Energy Engineering, NingboTech University, Ningbo 315100, China
2
School of Mechanical Engineering, Zhejiang University, Hangzhou 310058, China
*
Author to whom correspondence should be addressed.
Processes 2024, 12(11), 2600; https://doi.org/10.3390/pr12112600
Submission received: 12 October 2024 / Revised: 5 November 2024 / Accepted: 15 November 2024 / Published: 19 November 2024
(This article belongs to the Section Manufacturing Processes and Systems)

Abstract

A directional valve is a core component of the electro-hydraulic shakers in fatigue testing machines, controlling the cylinder or motor that drives the piston for reciprocating linear or rotary motion. In this article, a high-speed rotating directional valve with a symmetrical flow channel layout is designed to optimize the force on the valve core of the directional valve. A comparative analysis is conducted on the flow capacity of valve ports with different shapes. A steady-state hydrodynamic mathematical model is established for the valve core, the theoretical analysis results of which are verified through a Computational Fluid Dynamics (CFD) simulation of the fluid domain inside the directional valve. A prototype of the rotatory directional valve is designed and manufactured, and an experimental platform is built to measure the hydraulic force acting on the valve core to verify the performance of the valve. The displacement curves at different commutation frequencies are also obtained. The experimental results show that the symmetrical flow channel layout can significantly optimize the hydraulic force during the movement of the valve core. Under a pressure of 1 MPa, the hydraulic cylinder driven by the prototype can achieve a sinusoidal curve output with a maximum frequency of 60 Hz and an amplitude of 2.5 mm. The innovation of this design lies in the creation of a directional valve with a symmetric flow channel layout. The feasibility of the design is verified through modeling, simulation, and experimentation, and it significantly optimizes the hydraulic forces acting on the spool. It provides us with the possibility to further improve the switching frequency of hydraulic valves and has important value in engineering applications.

1. Introduction

With the rapid development of modern technology, higher testing performance requirements have been imposed on product testing equipment. For the fatigue testing of materials, vibration equipment is required to apply 107 to 108 cyclic alternating loads to mechanical parts to verify their fatigue strength [1,2,3]. Vibration equipment mainly consists of a vibration table and a vibration generator, which come in various forms, such as mechanical, electro-mechanical, electro-hydraulic, or magnetostrictive. Among these, electro-hydraulic systems have many advantages, such as a compact structure, high power density, fast response, and high stiffness, and are widely used in vibration-environment simulation experiments for vehicles, weapons, ships, aerospace, nuclear industry, seismic wave replication, etc. [4,5,6,7,8,9].
For electro-hydraulic shakers, the directional valve is a core component, as it controls the cylinder or motor, driving the piston for reciprocating linear or rotary motion. The performance of a directional valve, such as its switching frequency and rated flow, directly determines the performance of an electro-hydraulic shaker. High-end testing instruments in modern manufacturing require directional valves with a high-frequency response, wide bandwidth, and high hydraulic power levels [10,11,12]. However, existing directional valves use slide valves as their switching components. In scenarios requiring high-speed switching, the large inertial force generated by the slide valve can lead to intensified valve body vibrations and a decrease in control accuracy. Compared with traditional flow-reversing valves, rotary-reversing valves have the advantages of a compact structure, relatively simple valve port form and internal flow channel, better control characteristics, a wider operating frequency, and no zero-acceleration drift. At the same time, in high-frequency and wide-frequency hydraulic servo systems, high-speed rotary-reversing valves have a more stable performance and are more accurate in flow regulation and other aspects [13,14,15,16,17].
The high-speed rotary-reversing valve has a more reasonable design on its friction surface because of the precision of its design, which means less wear during operation [18]. At the same time, although the initial manufacturing cost may be higher, the long-term operating cost will be reduced due to lower maintenance requirements and higher working efficiency; higher efficiency means that a greater output can be achieved with the same energy input, thereby reducing energy consumption and indirectly reducing operating costs. In design and application, making full use of these advantages can improve the overall performance and economy of the system [19,20].
Aiming at addressing the shortcomings of the reversing valves currently on the market, and taking into account the above advantages of high-speed rotary-reversing valves, this paper proposes a rotating valve suitable for high-frequency switching, where the valve core continuously rotates within the valve body, with different speeds corresponding to different switching frequencies. During the motion of the valve core, the acceleration and deceleration, as well as the reversing process, of the slide valve’s spool are eliminated, so inertial forces do not need to be considered. Therefore, only the resistance caused by viscous friction needs to be overcome. By eliminating the inertial forces that occur during the switching process, the switching efficiency of the directional valve can be improved, while the wear that may occur during movement due to inertial forces can also be reduced.

2. Structure Design of the Rotary Directional Valve

The structure of the valve seat is illustrated in Figure 1. The valve seat features a total of five interfaces, labeled from left to right as PATBP. Each interface is connected to one of the five chambers formed between the valve seat and the valve sleeve, ensuring complete and independent sealing between the chambers.
The valve sleeve features five sets of interfaces in the axial direction, evenly distributed circumferentially, enabling switching between different hydraulic circuits. On the valve core’s shoulder, N grooves are offset to serve as flow passages, facilitating the connection or disconnection of hydraulic circuits. The number of grooves is even to balance the radial hydraulic forces acting on the valve core, thereby minimizing the risk of sticking due to radial imbalance forces. The valve core comprises three shoulders, dividing the space between the valve core and the valve sleeve into two chambers, each connected to the AB interface and a corresponding chamber within the valve body. Balancing grooves are opened on the outer sides of the two shoulders to reduce the pressure on the outer side of the valve core while balancing the forces acting on the valve core, optimizing the sealing performance of the hydraulic valve. The middle shoulder features eight offset grooves leading to chambers on the left and right sides, with four offset grooves opened on each side’s shoulder. The state depicted in Figure 1 shows the left-side grooves are aligned with the valve sleeve interface, establishing a connection between the P and A interfaces through the left chamber, while the right chamber is connected to the T and B interfaces, achieving a PA-BT connection state. As the valve core rotates, it switches between PA-BT to PB-AT connection.
To meet the requirements of high-frequency switching, seven similar-sized but differently shaped valve ports are selected to analyze the flow capacity of different-shaped valve ports, as shown in Figure 2. With the valve core rotating one full cycle and the fluid switching N times, the average flow area of a single-cycle valve port can be represented as
A average = N 0 2 π N A d θ 2 π
For these seven different shapes of port, when the spool is turned over an angle θ , the flow area will change, and the relationship is as follows:
A ( r 1 = r 2 = r ) = π r 2 2 r 2 a r c c o s d 2 r r d sin ( a r c c o s d 2 r ) 0
A( r 2 > r 1 ) =
π r 1 2                                                                   d ( 0 , r 2 r 1 ) r 1 2 arccos r 1 2 + d 2 r 2 2 2 r 1 · d + r 2 2 arccos r 2 2 + d 2 r 1 2 2 r 2 · d r 1 · sin ( arccos r 1 2 + d 2 r 2 2 2 r 1 · d · d 0                                                                            d [ r 1 + r 2 , )
In order to compare the corresponding relationship between the throttle hole area and the spool angle under different max(r1,r2) ratios, the r R ratios were set as 0.05, 0.1, and 0.15, respectively, for verification, as shown in Figure 3.
The relationship between the circular orifice area and valve core angle can be plotted based on the above equation.
When the shape of the flow channel in the valve sleeve and the valve core is triangular, the flow area is as shown in Figure 4.
A = 3 4 a 2                             d = 0 3 4 ( d a ) 2                d ( 0 , a )       0                          d [ a , )
The flow area of a square orifice is
A = L a + b 2 d
A ( b >   a ) = a L L a + b 2 d 0         d ( 0 , b a 2 ) d [ b a 2 , a + b 2 ) d [ a + b 2 , )
A ( a = b ) = L ( a d ) 0 d ( 0 , a ) d [ a , )
When the shape of the flow path in the valve sleeve and spool is square, the orifice area is as shown in Figure 5.
Figure 6 depicts the results of a comparative analysis of the flow capacity of different-shaped valve ports. It is evident from Figure 6 that the larger the valve port area, the greater the average flow area. However, the average flow area is not solely dependent on the valve port area but also on the valve port shape. As observed in the graph, the Aavg/Amax ratio is highest for square-shaped valve ports, whereas it is relatively lower for circular and triangular valve ports. Consequently, to achieve an equivalent flow performance, square-shaped valve ports require a smaller area, enabling the use of smaller valve bodies to achieve a better flow performance.

3. Analysis and Simulation of the Hydraulic Forces Acting on the Valve Core

The hydraulic forces acting on the valve core during its motion include both steady-state and transient hydraulic forces. Throughout the motion of the valve core, when fluid passes through the throttling orifices, changes in momentum give rise to a force that impedes the rotation of the valve core.
F = ρ Q v
Due to the hydraulic oil entering the valve core at an angle, known as the jet angle, which is the angle between the direction of the jet entering the valve and the tangent of the valve core’s rotation direction, steady-state hydraulic forces can be divided into their radial and tangential components. The inlet ports on the valve core are uniformly distributed along the circumference. the Radial hydraulic force components cancel each other out, while the tangential hydraulic force components between different inlet ports add up along the circumferential direction, affecting the valve core’s motion.
Therefore, the actual hydraulic force components affecting the valve core during motion are
F t a n = F c o s α = ρ Q v cos α
In a hydraulic system, the formula of the flow through a throttle can be used to describe the flow of fluid through a throttle:
Q = A c v c = C c C v A 2 Δ p ρ
v = 1 ζ + 1 2 ρ ( p 1 p 2 ) = C v 2 Δ p ρ
The flow coefficients C c and C v are used to correct the difference between the actual flow rate and the ideal flow rate.   ζ is a dimensionless coefficient of flow loss that is dependent on the geometry of the valve or orifice.
During the motion of the directional valve, there are two throttling orifices, one at the entrance to the oil chamber from the P port and the other from the oil chamber to the working oil port. Except for the different fluid pressures, the conditions in these two places are essentially the same. The directional valve core experiences consistent tangential steady-state hydraulic forces in both locations. Therefore, the tangential steady-state hydraulic torque on the valve core is denoted as follows:
T s t e a d y = 2 F t a n 1 + F t a n 2 D = 4 F t a n 1 + F t a n 2 R = 8 R C d C v A cos α ( Δ p 1 + Δ p 2 )     
As indicated by the equation, the steady-state hydraulic force torque is proportional to the cosine value of the opening angle of the throttling orifice and the pressure drop across the orifice. Additionally, the larger the radius of the valve core, the greater the torque generated by the hydraulic force. Furthermore, this force always acts to close the throttling orifice. Therefore, during the motion of the valve core, the effect of the steady-state hydraulic forces fluctuates around zero, impacting the stability of the valve core’s operation to some extent. Therefore, when the load exceeds the rated pressure, the torque generated by the steady-state hydraulic pressure will be very large, causing the throttle opening to be very small or even unable to open, thus causing the equipment to fail to work. Reducing the diameter of the valve core can significantly decrease steady-state hydraulic forces, thereby enhancing the stability of the valve core’s motion.
Using CFD simulations to analyze the hydraulic forces acting on the valve core is an effective method for validating the calculation results. In Figure 7, the fluid domain is divided into different regions for numerical simulation. From left to right, the fluid domains are divided into Interface 1, Cavity 1, 4 × 5 valve sleeve interface fluid domains, a valve core fluid domain, R3 valve sleeve interface fluid domain, Cavity 2, and Interface 2. The valve core fluid domain is further subdivided into a central hollow cylindrical fluid domain and the fluid domains of the valve core grooves on the left and right sides, resulting in a total of 21 regularly shaped fluid domains. This division facilitates the use of structured grids for grid partitioning during numerical simulation.
The model uses two transport equations (one for kinetic energy k, and another for the dissipation rate ε ), unlike other more complex models (such as k- ω or large eddy simulation), making the calculations relatively simple. In addition, the model is suitable for a variety of flow conditions, especially pipeline flows, outflows, and turbulent boundary layers. It has been proven useful in many industrial applications and can provide reasonable prediction accuracy.
Figure 8 shows the results of the mesh quality test after the mesh division.
Therefore, the viscosity model selected is the standard model used in the k-epsilon turbulence model, and the wall function was set to the standard wall function. The inlet pressure was set to 4 MPa, and the outlet pressure was set to 0 MPa. The simulated fluid medium used was 46# anti-wear hydraulic oil, with specific parameters listed as follows in Table 1.
During one rotation cycle of the valve core, the rotation angle on both sides of its symmetry axis is 21.32°. Therefore, in the static simulation, the valve core rotation angle from 0° to 20° was divided into eleven states. Figure 9 and Figure 10 show the simulation results.
Combining Figure 9 and Figure 10, it is observed that the velocity of the fluid at the valve ports remains relatively constant throughout the entire rotation of the valve core, ranging from 72 to 93 m/s. As the valve core angle increases and the flow area decreases, the fluid gradually concentrates. After passing through the throttling orifice, due to the sudden increase in fluid domain space, the simulation results in which interface I is the pressure inlet show that the fluid jets toward the concave groove wall of the valve core. After reflection, vortices form inside the concave groove of the valve core. When comparing this to the velocity contour plot, the center of the vortex has the slowest velocity, reaching a minimum of 0 m/s. If such a vortex is formed during high-speed operation, it will lead to an uneven flow of hydraulic oil and increase flow resistance, and thus cause flow loss, affecting the overall efficiency of the system; the existence of the vortex may cause fluid to be retained in the valve core, thereby affecting the response speed of the valve and reducing the dynamic performance of the system. The local high flow rate and turbulence caused by the vortex will accelerate the wear of the valve core, affecting the service life and performance stability of the valve, leading to reduced control accuracy, etc. In the simulation results where interface II was used as the pressure inlet, the angle of fluid jetting is smaller compared to the flow direction angle of the channel. Therefore, it is less likely to form vortices, with only small vortices occurring at valve core angles of 4° to 8°. This has a minor impact on the flow of hydraulic oil, explaining why the maximum velocity at interface II in the velocity plot is greater than that when interface I is used as the pressure inlet.
To avoid the problem of decreased efficiency caused by vortexes, the following aspects can be considered:
  • Select a hydraulic oil with appropriate viscosity to ensure good fluidity and reduce the vortexes caused by its fluid properties;
  • Install a flow monitoring system to monitor the fluid status in real time and promptly discover and solve possible flow problems.
Based on the velocity contour plots and fluid flow vector plots at the valve ports, the angles of fluid jetting generated by different valve port openings have been assessed, and the corresponding jet angles and valve core torque for different valve core angles obtained in Figure 11.
Taking the case of interface I as the pressure inlet, the torque exerted on the valve core varies with the valve core angle in four stages:
  • As the valve core angle gradually increases from zero degrees, the jet angle gradually decreases. Considering the torque corresponding to the valve core angle, it is observed that the rotational torque exerted on the valve core continuously increases, with relatively high acceleration.
  • When the valve core angle is between 6° and 10°, the fluid flow through the valve port gradually converges. Although the jet angle decreases continuously during this stage, the reduction in the flow area leads to a decrease in the fluid flow rate. Therefore, the total rotational torque exerted on the valve core remains almost constant.
  • At a valve core angle of 10°, due to the reduction in the area of the throttling orifice, the fluid flow vectors become more concentrated and the flow velocity increases. The jet angle stabilizes at around 45° to 50°, and the fluid jets directly toward the right wall of the concave groove on the valve core after passing through the throttling orifice. Although the jet angle is relatively small compared to the valve core angle during the 6–10° range, the torque exerted on the valve core decreases due to the continued reduction in the hydraulic oil flow rate after passing through the throttling orifice.
  • As the valve core angle continues to increase, the throttling orifice gradually approaches a closed state, leading to a further reduction in the flow of the hydraulic oil through the valve port, resulting in a sharp drop in the torque exerted on the valve core. When the valve core angle reaches 20°, the valve port is almost closed, and the fluid flows along the left arm of the valve core groove after passing through the throttling orifice. Although the maximum velocity of the jet is still 69.8 m/s, its direction is directly toward the valve core axis, limiting its impact on the valve core’s motion. Subsequently, the valve port closes, and the direction-change process ends.
In contrast, when interface II is used as the pressure inlet, the trend in the torque exerted on the valve core is similar to the previous case, but there are no obvious boundaries to distinguish between stages. The relationship curve between the valve core angle and the corresponding torque is parabolic in shape. The torque reaches its maximum value at a valve core angle of 12° and then gradually decreases due to the decrease in flow rate. In the fluid flow vector plot, it can be observed that the hydraulic oil does not jet directly toward the inner wall of the valve sleeve opening after passing through the throttling orifice. By comparing the jet angle, it can be concluded that the jet angle remains relatively large throughout the entire operation of the valve core. Therefore, the torque exerted on the valve core when interface II is used as the pressure inlet is almost smaller than that when interface I is used as the pressure inlet throughout the entire motion stage.

4. Simulation Analysis of Directional Performance

To further determine the commutation performance of the hydraulic valve, Amesim simulation software was used to build a hydraulic simulation system to systematically verify the designed directional valve. Due to the limitations in the software’s physical model types, it Was necessary to first perform an equivalent slide valve replacement for this spool valve. The principle is to control the output orifice area of the slide valve so that it is the same as the working process of the spool valve. The simulated hydraulic circuit used after this replacement is shown in Figure 12, and the simulation parameters are set as shown in Table 2.
Figure 13 shows the simulation results of the system’s dynamic characteristics at different switching frequencies. Clearly, as the switching frequency increases, the vibration frequency of the hydraulic cylinder also increases proportionally. Consequently, the amplitude of the hydraulic cylinder’s vibration and the system flow gradually decrease. This is because with higher switching frequencies the time during which the valve’s internal flow passage is open becomes shorter. Hydraulic oil cannot enter the hydraulic cylinder flow passage before it closes. Therefore, with higher switching frequencies, the vibration amplitude of the hydraulic cylinder decreases.
Figure 14 depicts the simulation results of the influence of the supply pressure and load on the system’s dynamic characteristics, with a fixed switching frequency of 20 Hz and a load of 10 kg. Before the directional valve reaches its performance limit, both the system flow and the amplitude of the hydraulic cylinder’s vibration are proportional to the supply pressure. In practical use, different switching performances can be achieved by adjusting the supply pressure.
The main function of this directional valve is to generate vibration in the hydraulic cylinder. Figure 15 presents the simulation results of the dynamic performance of the directional valve under different hydraulic cylinder load conditions.
It can be observed that the larger the load, the smaller the amplitude and velocity of the hydraulic cylinder’s vibration. The amplitude of the hydraulic cylinder’s vibration synchronously changes with the flow of the system. The larger the system flow, the more hydraulic oil enters the hydraulic cylinder, and the larger the vibration amplitude of the hydraulic cylinder.

5. Prototype Testing and Analysis of Results

A test platform was constructed to experimentally validate the theoretical calculations and simulation results mentioned earlier, as shown in Figure 16. Since the maximum supply flow rate of the experimental platform is 12 L/min, when the supply pressure was set to 0.5 MPa, the system flow rate had already reached its maximum. Since higher pressure has little impact on the system flow rate, under the same switching frequency, the displacement data of the hydraulic cylinder under different supply pressures are essentially the same.
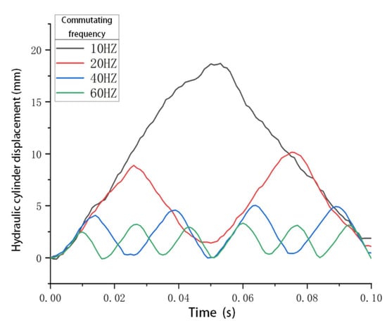
Figure 17 shows the displacement curves of the hydraulic cylinder under different switching frequencies when the supply pressure is 1 MPa. It can be observed that the higher the switching frequency, the shorter the time of the channel’s connection, resulting in a smaller displacement of the hydraulic cylinder. Additionally, due to leakage within the hydraulic system, the displacement of the hydraulic cylinder is not strictly symmetrical. The displacement curves of the hydraulic cylinder under different switching frequencies are all sinusoidal.
Figure 18 depicts the magnitude of the steady-state hydraulic torque exerted on the spool under different spool angles when the inlet pressure is 1 MPa. In contrast to the CFD simulation results, the actual measured values of the spool torque did not exhibit the distinct step-like pattern seen in the simulation results. The torque values and variations at interfaces I and II are essentially the same, both increasing and then decreasing with spool angle and peaking at 9–10.5°. As can be seen from the figure, compared with the CFD simulation results, the actual maximum values for inlet 1 and inlet 2 are only 79% of the simulated theoretical results. At the same time, the valve core angle at which the maximum torque occurs is close to 9–10.5° during measurement. The experimentally measured torque values are generally smaller than the simulated values. This is because during the axial locking measurement of the spool, there is hydraulic oil between the spool and the valve sleeve, and the viscous resistance of the hydraulic oil can result in the measured values being smaller than the actual values. Additionally, the steady-state hydraulic torque is primarily caused by the impact of the fluid flow entering the valve chamber. Lower flow rates result in smaller impacts on the spool and therefore smaller measured torque values. At the same time, due to the position error between the valve core and the opening during the experimental assembly process, this difference will also appear.
Figure 19 illustrates the hydraulic torque exerted on the spool at a spool angle of 10.5° under different inlet–outlet pressure differentials. Clearly, the torque experienced by the spool increases with larger pressure differentials. However, contrary to theoretical expectations, the torque experienced by the spool does not linearly increase with the pressure differential. As the pressure differential increases, constrained by the performance limitations of the experimental setup, the supply capacity of the hydraulic pump gradually reaches its maximum. At this point, the rate of change in the flow of the hydraulic fluid to the spool per second slows down, leading to a gradual reduction in the magnitude of the hydraulic torque experienced by the spool.

6. Conclusions

  • The symmetrical flow channel layout effectively reduces the radial hydraulic forces acting on the spool, resulting in smoother spool operation. Reducing the spool diameter can significantly decrease the steady-state hydraulic forces seen, thereby enhancing the stability of spool movement.
  • The switching frequency of the hydraulic valve can be adjusted by controlling the spool’s rotation speed. Under the same experimental conditions, a higher switching frequency leads to a smaller amplitude of hydraulic cylinder vibration. Additionally, increasing the load on the hydraulic cylinder results in a smaller amplitude of vibration.
  • The designed rotary directional valve has a maximum switching frequency of 60 Hz, with a hydraulic cylinder amplitude of approximately 2.5 mm, exhibiting displacement characteristics similar to a sine wave. It can be utilized in electro-hydraulic vibration platforms.
In addition, high-speed rotary-reversing valves still have potential limitations when subjected to long-term operation and continuous high-frequency use:
  • The wear of the valve core and valve seat will lead to reduced sealing performance, and material fatigue may cause failure.
  • High-frequency operation may cause the hydraulic oil temperature to rise, affecting the oil’s viscosity and lubrication performance and increasing the risk of wear.
  • High-speed and high-frequency use may generate vortices and turbulence, resulting in flow and pressure fluctuations.
  • Accelerated wear requires more frequent maintenance, increasing maintenance costs and time.
  • Response delays and wear lead to unstable control, affecting system performance.
  • The noise and vibration generated by high-speed switching will affect the stability of the equipment
In actual use, long-term use or continuous high-frequency use of these valve should be avoided.
However, the rotary directional valve designed in this paper still has some shortcomings, such as the fact that it utilizes open-loop control; therefore, the spool angle cannot be established in real time during its actual operation. Future work may involve adding a feedback device to the hydraulic valve to achieve closed-loop control, which would allow for more precise spool angle control and more accurate output results. At the same time, it is possible to consider replacing the sealing ring between the valve core and the end cover with a mechanical seal, creating micro-textures on the valve core and the end cover to increase the sealing performance, and eliminating the existence of the sealing ring to make the entire hydraulic valve structure more compact.

Author Contributions

Conceptualization: S.H. and Z.Q.; methodology: Z.Q., S.H. and X.W.; software: Z.Q. and H.Z.; visualization: X.W. and X.Z.; validation: X.Z.; formal analysis: Z.Q. and H.Z.; investigation: Z.Q.; resources: Z.Q. and X.W.; data curation: Z.Q. and S.L., writing—original draft preparation: Z.Q. and S.L.; writing—review and editing, S.H. and S.L.; supervision: S.H. and X.W.; project administration: S.H., X.W. and X.Z.; funding acquisition: S.H., X.W. and X.Z. All authors have read and agreed to the published version of the manuscript.

Funding

This research was supported by the Zhejiang Provincial Natural Science Foundation (LY22E070002), Natural Science Foundation of Ningbo City (2021J151), Ningbo Key R&D Program and “Unveiling and Leading” Funding Project (2023Z004), and Ningbo Major Research and Development Program and “Unveiling and Leading” Funding Project (2022Z013).

Data Availability Statement

All relevant data are within the manuscript.

Conflicts of Interest

The authors declare no conflicts of interest.

Abbreviations

TypeSymbolDefinition
Parameterr1Valve sleeve hole radius
r2Valve core hole radius
dDistance between the centers of two circles
RValve core radius
aValve port length
bValve port width
LOverlap length
ρDensity of the hydraulic fluid
vFluid flow velocity
αJet angle of the hydraulic oil
CcContraction coefficient of the section
CvVelocity coefficient
p1Inlet pressure
p2Outlet pressure
Δ pPessure drop across the throttling orifice
CdFlow coefficient
ξ Local loss coefficient of the orifice
VariableNFluid switching times
ACross-sectional area of the flow passage
QFlow rate through the orifice
FtanActual hydraulic force
TsteadyTangential steady-state hydraulic torque on the spool

References

  1. Cao, F. Visual Analysis and Research on Flow of Slide Valve Based on Different Structures of CFD. Ph.D. Thesis, Taiyuan University of Technology, Taiyuan, China, 2018. [Google Scholar]
  2. Zou, X.; Li, J.; Hu, Q.; Xi, S.; Fu, L.; Yuan, D. Torsional Impact Fatigue Test Method for Electric Vehicle Differentials. China Mech. Eng. 2021, 32, 1377–1385. [Google Scholar]
  3. Ren, Y.; Ruan, J. Regulating characteristics of an electro-hydraulic vibrator multiply controlled by the combination of a two-dimensional valve and a standard servo valve. Proc. Inst. Mech. Eng. Part C J. Mech. Eng. Sci. 2013, 227, 2707–2723. [Google Scholar] [CrossRef]
  4. Zhao, G.; Wang, H.; Sun, Y.; Zhang, C. Experimental Research on Interactions of Slotted Parameters for Rotary Distributing Excitation Control Valves. China Mech. Eng. 2021, 32, 1035–1042. [Google Scholar]
  5. Zhu, M.; Zhao, S.; Dong, P.; Li, J. Design and analysis of a novel double-servo direct drive rotary valve with high frequency. J. Mech. Sci. Technol. 2018, 32, 4313–4323. [Google Scholar] [CrossRef]
  6. Wang, W. Research on the Technology of Impact Vibration Based on the Four-Way Rotary Valve. Ph.D. Thesis, Zhejiang University, Hangzhou, China, 2016. [Google Scholar]
  7. Ahmed, A.; Masjuki, H.H.; Varman, M.; Kalam, M.A.; Habibullah, M.; Al Mahmud, K.A.H. An overview of geometrical parameters of surface texturing for piston/cylinder assembly and mechanical seals. Meccanica 2015, 51, 9–23. [Google Scholar] [CrossRef]
  8. Guan, T. Optimal Design of Multi-Way Valve Notches Based on Steady-State Flow Force Analysis. Ph.D. Thesis, Dalian University of Technology, Dalian, China, 2020. [Google Scholar]
  9. Ruan, J.; Burton, R.T. An electrohydraulic vibration exciter using a two-dimensional valve. Proc. Inst. Mech. Eng. Part I J. Syst. Control. Eng. 2009, 223, 135–147. [Google Scholar] [CrossRef]
  10. Wang, Y. Research on the Speed Control Technology of Hydraulic Control High-speed Reversing Valve with Rotary Spool. Ph.D. Thesis, Zhejiang University, Hangzhou, China, 2020. [Google Scholar]
  11. Zhou, X.; Feng, K.; Zhao, X.; Ge, L.; Yang, J.; Quan, L. Influences of Irregular-shaped Feedback Slots on Proportional Throttle Valve Characteristics. China Mech. Eng. 2023, 34, 1921–1928. [Google Scholar]
  12. Jia, X. Research on Steady Flow Force Characteristics and Compensation Optimization of Hydraulic Spool Valve. Ph.D. Thesis, Harbin Institute of Technology, Harbin, China, 2017. [Google Scholar]
  13. Zhao, G.; Zhou, G.; Wang, H.; Li, N. Dynamic response characteristics and stability analysis of rotary reversing valve. Mech. Sci. Technol. 2023, 42, 878–882. [Google Scholar]
  14. Zhu, M.; Zhao, S.; Li, J.; Dong, P. Computational fluid dynamics and experimental analysis on flow rate and torques of a servo direct drive rotary control valve. Proc. Inst. Mech. Eng. Part C J. Mech. Eng. Sci. 2019, 233, 213–226. [Google Scholar] [CrossRef]
  15. Min, P.; Johnston, N.; Robertson, J.; Plummer, A.; Hillis, A.; Yang, H. Experimental Investigation of a Switched Inertance Hydraulic System with a High-Speed Rotary Valve. J. Dyn. Syst. Meas. Control. 2015, 137, 121003. [Google Scholar]
  16. Min, P.; Robertson, J.; Johnston, N.; Plummer, A.; Hillis, A. Experimental Investigation of a Switched Inertance Hydraulic System. In Proceedings of the ASME/BATH 2014 Symposium on Fluid Power and Motion Control, Bath, UK, 10–12 September 2014. [Google Scholar]
  17. Zhou, H. Research on the Hydraulic Power of Valve Core Rotating Four-Way Reversing Valve. Ph.D. Thesis, Zhejiang University, Hangzhou, China, 2015. [Google Scholar]
  18. Yang, X. Design and Characteristics of Valve Core Rotary Reversing Valve. Ph.D. Thesis, Zhejiang University, Hangzhou, China, 2013. [Google Scholar]
  19. Zhang, K.; Zhang, J.; Gan, M.; Zong, H.; Wang, X.; Huang, H.; Su, Q.; Xu, B. Modeling and Parameter Sensitivity Analysis of Valve-Controlled Helical Hydraulic Rotary Actuator System. Chin. J. Mech. Eng. 2022, 35, 66. [Google Scholar] [CrossRef]
  20. Liu, B.; Xu, L.; Ni, F.; Li, H. Design Analysis of 6-Diameter Rotary Reversing Valve. Hydraul. Pneum. 2017, 10, 72–77. Available online: https://qikan.cmes.org/yyyqd/CN/lexeme/showArticleByLexeme.do?articleID=9193 (accessed on 11 October 2024).
Figure 1. Structure of rotary directional valve.
Figure 1. Structure of rotary directional valve.
Processes 12 02600 g001
Figure 2. Valve port shapes.
Figure 2. Valve port shapes.
Processes 12 02600 g002
Figure 3. Relationship between circular orifice area and valve core angle.
Figure 3. Relationship between circular orifice area and valve core angle.
Processes 12 02600 g003
Figure 4. Relationship between triangle orifice area and valve core angle.
Figure 4. Relationship between triangle orifice area and valve core angle.
Processes 12 02600 g004
Figure 5. Relationship between square orifice area and valve core angle.
Figure 5. Relationship between square orifice area and valve core angle.
Processes 12 02600 g005
Figure 6. The average flow area of the valve port and its ratio to the maximum flow area.
Figure 6. The average flow area of the valve port and its ratio to the maximum flow area.
Processes 12 02600 g006
Figure 7. Fluid domain division.
Figure 7. Fluid domain division.
Processes 12 02600 g007
Figure 8. Mesh quality test results.
Figure 8. Mesh quality test results.
Processes 12 02600 g008
Figure 9. Cloud diagrams of the valve port velocity with different port openings. (a) The inlet I is used as the pressure inlet. (b) The inlet II is used as the pressure inlet.
Figure 9. Cloud diagrams of the valve port velocity with different port openings. (a) The inlet I is used as the pressure inlet. (b) The inlet II is used as the pressure inlet.
Processes 12 02600 g009
Figure 10. Vector diagrams of liquid flow at different valve openings. (a) The inlet I is used as the pressure inlet. (b) The inlet II is used as the pressure inlet.
Figure 10. Vector diagrams of liquid flow at different valve openings. (a) The inlet I is used as the pressure inlet. (b) The inlet II is used as the pressure inlet.
Processes 12 02600 g010
Figure 11. Jet angle and spool torque at different rotation angles. (a) Jet angle curves. (b) Spool torque curves.
Figure 11. Jet angle and spool torque at different rotation angles. (a) Jet angle curves. (b) Spool torque curves.
Processes 12 02600 g011
Figure 12. Hydraulic simulation system diagram.
Figure 12. Hydraulic simulation system diagram.
Processes 12 02600 g012
Figure 13. System flow rate and cylinder amplitude at different commutation frequencies.
Figure 13. System flow rate and cylinder amplitude at different commutation frequencies.
Processes 12 02600 g013
Figure 14. Flow rate and cylinder amplitude at different pressures.
Figure 14. Flow rate and cylinder amplitude at different pressures.
Processes 12 02600 g014
Figure 15. Flow rate and cylinder amplitude at different loads.
Figure 15. Flow rate and cylinder amplitude at different loads.
Processes 12 02600 g015
Figure 16. Test platform. (a) Overview of experimental system. (b) Prototype and sensors.
Figure 16. Test platform. (a) Overview of experimental system. (b) Prototype and sensors.
Processes 12 02600 g016
Figure 17. Hydraulic cylinder displacement curves at different commutation frequencies.
Figure 17. Hydraulic cylinder displacement curves at different commutation frequencies.
Processes 12 02600 g017
Figure 18. The relationship between the steady-state hydraulic torque and the spool rotation angle.
Figure 18. The relationship between the steady-state hydraulic torque and the spool rotation angle.
Processes 12 02600 g018
Figure 19. The torque of the spool at different pressures.
Figure 19. The torque of the spool at different pressures.
Processes 12 02600 g019
Table 1. Fluid simulation parameters.
Table 1. Fluid simulation parameters.
ParameterValue
Density   ( k g / m 3 )874
Kinematic   Viscosity   ( m m 2 / s )46
Dynamic   Viscosit   ( P a s )0.040204
Air   Separation   Pressure   ( P a )1300–6700
Saturation   Vapor   Pressure   ( P a )6–2000
Vapor   Density   ( k g / m 3 )1.2
Vapor   Viscosity   ( P a s )1.2 × 10−5
Table 2. Simulation parameters.
Table 2. Simulation parameters.
ParametersValuesParametersValues
Supply oil pressure1 MPaServo valve diameter10 mm
Oil pump flow rate300 L/minServo valve rod diameter2 mm
Servo valve stroke4/pi mmHydraulic cylinder diameter30 mm
Overlap length of the servo valve’s null position0.32/pi mmHydraulic cylinder rod diameter5 mm
Hydraulic oil density870 kg/m3Hydraulic cylinder load10 kg
Hydraulic cylinder stroke500 mm
Disclaimer/Publisher’s Note: The statements, opinions and data contained in all publications are solely those of the individual author(s) and contributor(s) and not of MDPI and/or the editor(s). MDPI and/or the editor(s) disclaim responsibility for any injury to people or property resulting from any ideas, methods, instructions or products referred to in the content.

Share and Cite

MDPI and ACS Style

Hua, S.; Liu, S.; Qiu, Z.; Wang, X.; Zhang, X.; Zhang, H. The Design and Experimental Research on a High-Frequency Rotary Directional Valve. Processes 2024, 12, 2600. https://doi.org/10.3390/pr12112600

AMA Style

Hua S, Liu S, Qiu Z, Wang X, Zhang X, Zhang H. The Design and Experimental Research on a High-Frequency Rotary Directional Valve. Processes. 2024; 12(11):2600. https://doi.org/10.3390/pr12112600

Chicago/Turabian Style

Hua, Shunming, Siqiang Liu, Zhuo Qiu, Xiaojun Wang, Xuechang Zhang, and Huijuan Zhang. 2024. "The Design and Experimental Research on a High-Frequency Rotary Directional Valve" Processes 12, no. 11: 2600. https://doi.org/10.3390/pr12112600

APA Style

Hua, S., Liu, S., Qiu, Z., Wang, X., Zhang, X., & Zhang, H. (2024). The Design and Experimental Research on a High-Frequency Rotary Directional Valve. Processes, 12(11), 2600. https://doi.org/10.3390/pr12112600

Note that from the first issue of 2016, this journal uses article numbers instead of page numbers. See further details here.

Article Metrics

Back to TopTop