The Heteropolyacid-Catalyzed Conversion of Biomass Saccharides into High-Added-Value Products and Biofuels
Abstract
1. Introduction
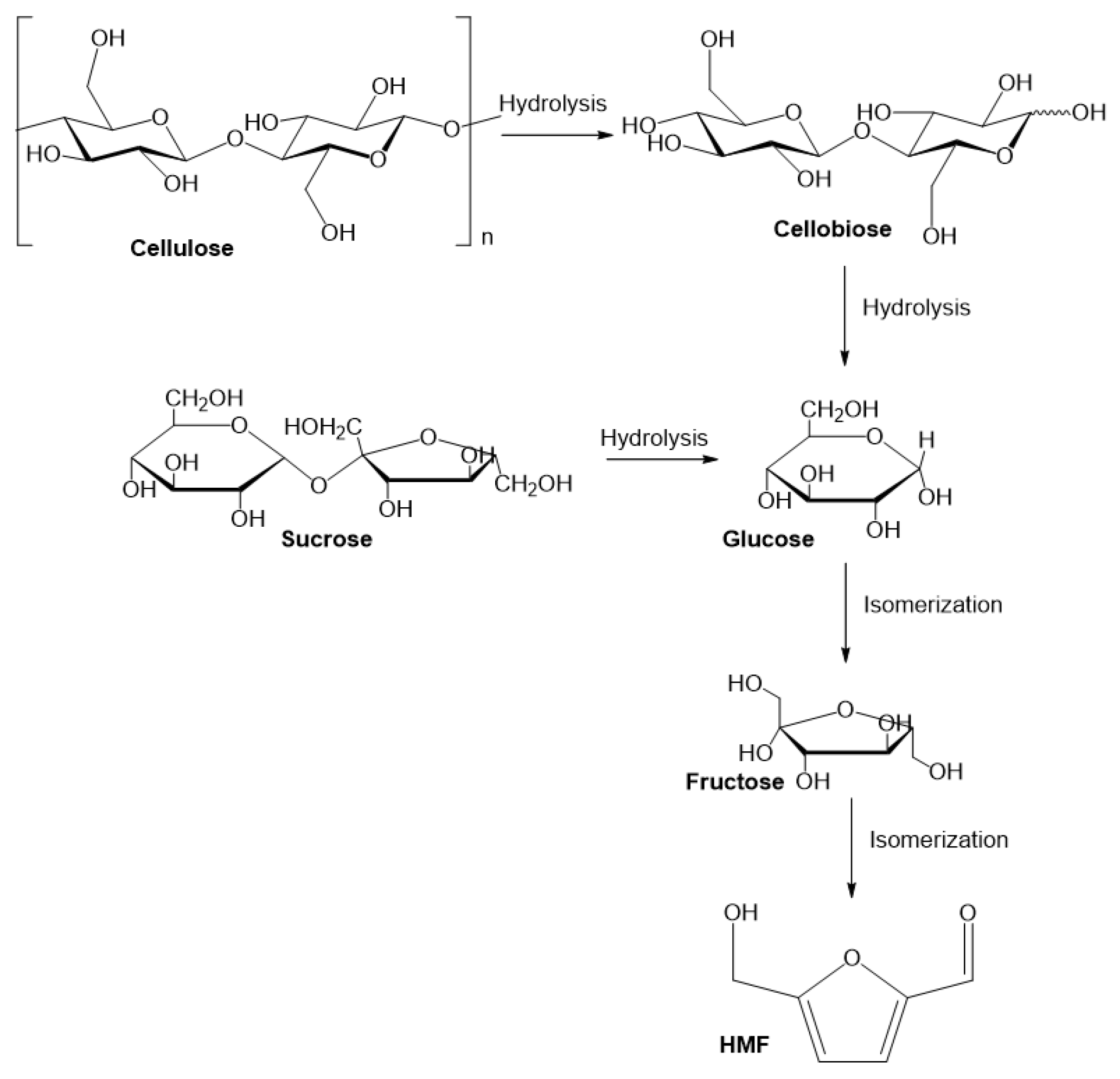
2. Compounds Obtained from the Hydrolysis of Biomass Waste
2.1. Main Platform Molecules Obtained from Lignocellulose
2.1.1. 5-Hydroxymethylfurfural (5-HMF) and Derivatives
2.1.2. Furfural: Production and Derivatives
2.1.3. Levulinic Acid Production and Their Derivatives
3. Heteropolyacid Catalysts
4. Results
4.1. Soluble Keggin Heteropolyacid Catalysts
4.1.1. Heteropolyacid-Catalyzed Reactions to Produce Monosaccharides in the Homogeneous Phase
4.1.2. Comparison of Heteropolyacid-Catalyzed Reactions to Produce Monosaccharides with Other Soluble Catalysts
4.1.3. Comparison of Solid Heteropolyacid-Catalyzed Reactions to Produce Monosaccharides with Other Solid Catalysts
4.1.4. Homogeneous Heteropolyacid-Catalyzed Reactions to Produce Levulinic Acid and Alkyl Levulinates
4.1.5. Homogeneous Heteropolyacid-Catalyzed Reactions to Produce 5-HMF
4.1.6. Ionic Liquid Heteropolyacid-Catalyzed Reactions to Produce Levulinic Acid, Furfural, and 5-HMF
4.2. Solid-Supported Keggin Heteropolyacid Catalysts: Production of Levulinic Acid, Alkyl Levulinates, 5-HMF, and Furfural
5. Conclusions
Author Contributions
Funding
Data Availability Statement
Acknowledgments
Conflicts of Interest
References
- Menon, V.; Rao, M. Trends in bioconversion of lignocellulose: Biofuels, platform chemicals, and biorefinery concept. Prog. Energy Combust. Sci. 2012, 38, 522–550. [Google Scholar] [CrossRef]
- Hoogwijk, M.; Faaij, A.; Eickhout, B.; de Vries, B.; Turkenburg, W. Potential of biomass energy out to 2100, for four IPCC SRES land-use scenarios. Biomass Bioenerg. 2005, 29, 225–257. [Google Scholar] [CrossRef]
- Loow, Y.L.; Wu, T.Y.; Tan, K.A.; Lim, Y.S.; Siow, L.F.; Jahim, J.M.; Mohammad, A.W.; Teoh, W.H. Recent advances in the application of inorganic salt pretreatment for transforming lignocellulosic biomass into reducing sugars. J. Agric Food Chem. 2015, 63, 8349–8363. [Google Scholar] [CrossRef] [PubMed]
- Gebre, H.; Fisha, K.; Kindeya, T.; Gebremichal, T. Synthesis of furfural from bagasse. Int. Lett. Chem. Phys. Astron. 2015, 57, 72–84. [Google Scholar] [CrossRef]
- Pointner, M.; Kuttner, P.; Obrlik, T.; Jäger, A.; Kahr, H. Composition of corncobs as a substrate for fermentation of biofuels. Agron. Res. 2014, 12, 391–396. Available online: https://agronomy.emu.ee/wp-content/uploads/2014/05/2014_2_10_b5.pdf (accessed on 23 September 2024).
- Cardona, C.A.; Quintero, J.A.; Paz, I.C. Production of bioethanol from sugarcane bagasse: Status and perspectives. Bioresour. Technol. 2010, 101, 4754–4766. [Google Scholar] [CrossRef]
- O’Brien, P. Furfural Chemicals and Biofuels from Agriculture; Rural Industries Research and Development Corporation: Wagga Wagga, Australia, 2006; 39p. [Google Scholar]
- Cheșcă, A.M.; Tofănică, B.M.; Puiţel, A.C.; Nicu, R.; Gavrilescu, D. Environmentally friendly cellulosic fibers from corn stalks. Environ. Eng. Manag. J. 2018, 17, 1765–1771. Available online: https://eemj.eu/index.php/EEMJ/article/view/3639 (accessed on 23 September 2024).
- Paloheimo, L.; Vainio, K.A.; Kero, M.L. Analyses of plant products in greater detail. Agric. Food Sci. 1961, 33, 51–56. [Google Scholar] [CrossRef]
- Sun, J.X.; Xu, F.; Sun, X.F.; Xiao, B.; Sun, R.C. Physico-chemical and thermal characterization of cellulose from barley straw. Polym. Degrad. Stab. 2005, 88, 521–531. [Google Scholar] [CrossRef]
- Li, X.; Liu, Y.; Hao, J.; Wang, W. Study of almond shell characteristics. Materials 2018, 11, 1782. [Google Scholar] [CrossRef]
- Rodríguez, M.; Nolasco, S.; Izquierdo, N.; Mascheroni, R.; Madrigal, M.S.; Flores, D.C.; Ramos, A.Q. Microwave-assisted extraction of antioxidant compounds from sunflower hulls. Heat Mass Transf. 2019, 55, 3017–3027. [Google Scholar] [CrossRef]
- Demirkaya, E.; Dal, O.; Yüksel, A. Liquefaction of waste hazelnut shell by using sub-and supercritical solvents as a reaction medium. J. Supercrit. Fluids 2019, 150, 11–20. [Google Scholar] [CrossRef]
- Kalita, E.; Nath, B.K.; Deb, P.; Agan, F.; Islam, M.R.; Saikia, K. High quality fluorescent cellulose nanofibers from endemic rice husk: Isolation and characterization. Carbohydr. Polym. 2015, 122, 308–313. [Google Scholar] [CrossRef] [PubMed]
- Lachowicz, H.; Wróblewska, H.; Sajdak, M.; Komorowicz, M.; Wojtan, R. The chemical composition of silver birch (Betula pendula Roth.) wood in Poland depending on forest stand location and forest habitat type. Cellulose 2019, 26, 3047–3067. [Google Scholar] [CrossRef]
- Lee, C.B.T.L.; Wu, T.Y.; Ting, C.H.; Tan, J.K.; Siow, L.F.; Cheng, C.K.; Jahim, J.M.; Mohammad, A.W. One-pot furfural production using choline chloride-dicarboxylic acid based deep eutectic solvents under mild conditions. Bioresour. Technol. 2019, 278, 486–489. [Google Scholar] [CrossRef]
- Kenney, K.L.; Smith, W.A.; Gresham, G.L.; Westover, T.L. Understanding biomass feedstock variability. Biofuels 2014, 4, 111–127. [Google Scholar] [CrossRef]
- Kumar, D.; Singh, B.; Korstad, J. Utilization of lignocellulosic biomass by oleaginous yeast and bacteria for production of biodiesel and renewable diesel. Renew. Sustain. Energy Rev. 2017, 73, 654–671. [Google Scholar] [CrossRef]
- Alonso, D.M.; Bond, J.; Dumesic, J. Catalytic conversion of biomass to biofuels. Green Chem. 2010, 12, 1493–1513. [Google Scholar] [CrossRef]
- Ye, L.; Han, Y.; Wang, X.; Lu, X.; Qi, X.; Yu, H. Recent progress in furfural production from hemicellulose and its derivatives: Conversion mechanism, catalytic system, solvent selection. Mol. Catal. 2021, 515, 111899. [Google Scholar] [CrossRef]
- Canos, A.C.; Iborra, S.; Velty, A. Chemical routes for the transformation of biomass into chemicals. Chem. Rev. 2007, 107, 2411–2502. [Google Scholar] [CrossRef]
- Gan, J. Supply of biomass, bioenergy, and carbon mitigation: Method and application. Energy Policy 2007, 35, 6003–6009. [Google Scholar] [CrossRef]
- Raspolli Galletti, A.M.; Antonetti, C.; Fulignati, S.; Licursi, D. Direct alcoholysis of carbohydrate precursors and real cellulosic biomasses to alkyl levulinates: A critical review. Catalysts 2020, 10, 1221. [Google Scholar] [CrossRef]
- Ma, Y.; Qing, S.; Wang, L.; Islam, N.; Guan, S.; Gao, Z.; Mamat, X.; Li, H.; Eli, W.; Wang, T. Production of 50hydroxymethylfurfrual from fructose by a termo-regulated and recyclable Bronsted acid ionic liquid catalyst. RSC Adv. 2015, 5, 47377–47383. [Google Scholar] [CrossRef]
- Delbecq, F.; Wang, Y.; Len, C. Various carbohydrate precursors dehydration to 5-HMF in an acidic biphasic system under microwave irradiation in dimethyl sulfoxide-ionic liquid mixtures. Mol. Catal. 2017, 434, 80–85. [Google Scholar] [CrossRef]
- Delidovich, I.; Hausoul, P.J.C.; Deng, L.; Pfützenreuter, R.; Rose, M.; Palkovits, R. Alternative Monomers Based on Lignocellulose and Their Use for Polymer Production. Chem. Ver. 2016, 116, 1540–1599. [Google Scholar] [CrossRef]
- Wang, Z.; Xia, S.; Wang, X.; Fan, Y.; Zhao, K.; Wang, S.; Zheng, A. Catalytic production of 5-hydroxymethylfurfural from lignocellulosic biomass: Recent advances, challenges and opportunities. Renew. Sustain. Energy Rev. 2024, 196, 114332. [Google Scholar] [CrossRef]
- Cousin, E.; Namhaed, K.; Pérès, Y.; Cognet, P.; Delmas, M.; Hermansyah, H.; Aroua, M.K. Towards efficient and greener processes for furfural production from biomass: A review of the recent trends. Sci. Total Environ. 2012, 847, 157599. [Google Scholar] [CrossRef]
- Yong, K.J.; Wu, T.Y.; Lee, C.B.T.L.; Lee, Z.J.; Liu, Q.; Jahim, J.M.; Zhang, L. Furfural production from biomass residues: Current technologies, challenges and future prospects. Biomass Bioenergy 2022, 161, 106458. [Google Scholar] [CrossRef]
- Peleteiro, S.; Santos, V.; Garrote, G.; Parajó, J.C. Furfural production from Eucalyptus wood using an acidic ionic liquid. Carbohydr. Polym. 2016, 146, 20–25. [Google Scholar] [CrossRef]
- Azlan, N.S.M.; Yap, C.L.; Gan, S.; Rahman, M.B.A. Recent advances in the conversion of lignocellulosic biomass and its degraded products to levulinic acid: A synergy of Brønsted-Lowry acid and Lewis acid. Ind. Crops Prod. 2022, 181, 114778. [Google Scholar] [CrossRef]
- Jorqueira, D.S.S.; de Lima, L.F.; Moya, S.F.; Vilcocq, L.; Richard, D.; Fraga, M.A.; Suppino, R.S. Critical review of furfural and furfuryl alcohol production: Past, present, and future on heterogeneous catalysis. Appl. Catal. A 2023, 665, 119360. [Google Scholar] [CrossRef]
- Qiu, B.; Shi, J.; Hu, W.; Gao, J.; Li, S.; Chu, H. Construction of hydrothermal liquefaction system for efficient production of biomass-derived furfural: Solvents, catalysts and mechanisms. Fuel 2023, 354, 129278. [Google Scholar] [CrossRef]
- Chen, X.; Zhang, Y.; Hou, T.; Han, L.; Xiao, W. Catalysis performance comparison of a Brønsted acid H2SO4 and a Lewis acid Al2(SO4)3 in methyl levulinate production from biomass carbohydrates. J. Energy Chem. 2018, 27, 552–558. [Google Scholar] [CrossRef]
- Alonso, D.M.; Gallo, J.M.R.; Mellmer, M.A.; Wettstein, S.G.; Dumesic, J.A. Direct conversion of cellulose to levulinic acid and gamma-valerolactone using solid acid catalysts. Catal. Sci. Technol. 2013, 3, 927–931. [Google Scholar] [CrossRef]
- Zhang, H.; Zhang, P.; Ye, J.; Wu, Y.; Liu, J.; Fang, W.; Zeng, G. Comparison of various pretreatments for ethanol production enhancement from solid residue after rumen fluid digestion of rice straw. Bioresour. Technol. 2018, 247, 147–156. [Google Scholar] [CrossRef]
- Xu, W.P.; Chen, X.F.; Guo, H.J.; Li, H.L.; Zhang, H.R.; Xiong, L.; Chen, X.D. Conversion of levulinic acid to valuable chemicals: A review. J. Chem. Technol. Biotechnol. 2021, 96, 3009–3024. [Google Scholar] [CrossRef]
- Signoretto, M.; Taghavi, S.; Ghedini, E.; Menegazzo, F. Catalytic production of levulinic acid (LA) from actual biomass. Molecules 2019, 24, 2760. [Google Scholar] [CrossRef]
- Morone, A.; Apte, M.; Pandey, R.A. Levulinic acid production from renewable waste resources: Bottlenecks, potential remedies, advancements and applications. Renew. Sustain. Energy Rev. 2015, 51, 548–565. [Google Scholar] [CrossRef]
- Badgujar, K.C.; Badgujar, V.C.; Bhanage, B.M. A review on catalytic synthesis of energy rich fuel additive levulinate compounds from biomass derived levulinic acid. Fuel Process. Technol. 2019, 197, 106213. [Google Scholar] [CrossRef]
- Wang, S.S.; Yang, G.Y. Recent advances in polyoxometalate-catalyzed reactions. Chem. Rev. 2015, 115, 4893–4962. [Google Scholar] [CrossRef]
- Da Silva, M.J.; Liberto, N.A. Soluble and solid supported Keggin heteropolyacids as catalysts in reactions for biodiesel production: Challenges and recent advances. Curr. Org. Chem. 2016, 20, 1263–1283. [Google Scholar] [CrossRef]
- Narkhede, N.; Patel, A. Sustainable valorisation of glycerol via acetalization as well as carboxylation reactions over silicotungstates anchored to zeolite Hβ. Appl. Catal. A 2016, 515, 154–163. [Google Scholar] [CrossRef]
- Coronel, N.C.; Da Silva, M.J. Lacunar Keggin heteropolyacid salts: Soluble, solid, and solid-supported catalysts. J. Clust. Sci. 2018, 29, 195–205. [Google Scholar] [CrossRef]
- Ferreira, P.; Fonseca, I.M.; Ramos, A.M.; Vital, J.; Castanheiro, J.E. Valorisation of glycerol by condensation with acetone over silica-included heteropolyacids. Appl. Catal. B Environ. 2010, 98, 94–99. [Google Scholar] [CrossRef]
- Srikanth, A.; Viswanadham, B.; Kumar, V.P.; Anipindi, N.R.; Chary, K.V. Synthesis and characterization of Cs-exchanged heteropolyacid catalysts functionalized with Sn for carbonolysis of glycerol to glycerol carbonate. Appl. Petrochem. Res. 2016, 6, 145–153. [Google Scholar] [CrossRef]
- Srinivas, M.; Raveendra, G.; Parameswaram, G.; Prasad, P.S.; Lingaiah, N. Cesium exchanged tungstophosphoric acid supported on tin oxide: An efficient solid acid catalyst for etherification of glycerol with tert-butanol to synthesize biofuel additives. J. Mol. Catal. A Chem. 2016, 413, 7–14. [Google Scholar] [CrossRef]
- Zhang, X.; Zhang, D.; Sun, Z.; Xue, L.; Wang, X.; Jiang, Z. Highly efficient preparation of HMF from cellulose using temperature-responsive heteropolyacid catalysts in cascade reaction. Appl. Catal. B Environ. 2016, 196, 50–56. [Google Scholar] [CrossRef]
- Zhang, X.; Zhang, X.; Sun, N.; Wang, S.; Wang, X.; Jiang, Z. High production of levulinic acid from cellulosic feedstocks being catalyzed by temperature-responsive transition metal substituted heteropolyacids. Renew. Energy 2019, 141, 802–813. [Google Scholar] [CrossRef]
- Ogasawara, Y.; Itagaki, S.; Yamaguchi, K.; Mizuno, N. Saccharification of natural lignocellulose biomass and polysaccharides by highly negatively charged heteropolyacids in concentrated aqueous solution. ChemSusChem 2011, 4, 519–525. [Google Scholar] [CrossRef]
- Liu, Q.; Liu, H.; Gao, D.-M. Establishing a kinetic model of biomass-derived disaccharide hydrolysis over solid acid: A case study on hierarchically porous niobium phosphate. Chem. Eng. J. 2022, 430, 132756–132766. [Google Scholar] [CrossRef]
- Tian, J.; Wang, J.; Zhao, S.; Jiang, C.; Zhang, X.; Wang, X. Hydrolysis of cellulose by the heteropoly acid H3PW12O40. Cellulose 2010, 17, 587–594. [Google Scholar] [CrossRef]
- Huang, Y.B.; Fu, Y. Hydrolysis of cellulose to glucose by solid acid catalysts. Green Chem. 2013, 15, 1095–1111. [Google Scholar] [CrossRef]
- Hua, L.; Linc, L.; Wua, Z.; Zhou, S.; Liu, S. Chemocatalytic hydrolysis of cellulose into glucose over solid acid catalysts. Appl. Catal. B Environ. 2015, 174–175, 225–243. [Google Scholar] [CrossRef]
- Tao, C.; Peng, L.; Zhang, J.; He, L. Al-modified heteropolyacid facilitates alkyl levulinate production from cellulose and lignocellulosic biomass: Kinetics and mechanism studies. Fuel Process. Technol. 2021, 213, 106709. [Google Scholar] [CrossRef]
- Sun, Z.; Xue, L.; Wang, S.; Wang, X.; Shi, J. Single-step conversion of cellulose to levulinic acid using temperature-responsive dodeca-aluminotungstic acid catalysts. Green Chem. 2016, 18, 742–752. [Google Scholar] [CrossRef]
- Chang, K.L.; Huynh, Q.T.; Zhong, C.T.; Chen, W.R.; Wang, H.Y.; Phitsuwan, P.; Yang, G.C. Production of 5-hydroxymethylfurfural from glucose by recyclable heteropolyacid catalyst in ionic liquid. Environ. Technol. Innov. 2022, 28, 102844. [Google Scholar] [CrossRef]
- Dou, Y.; Zhou, S.; Oldani, C.; Fang, W.; Cao, Q. 5-Hydroxymethylfurfural production from dehydration of fructose catalyzed by Aquivion@ silica solid acid. Fuel 2018, 214, 45–54. [Google Scholar] [CrossRef]
- Zhang, L.; Xi, G.; Chen, Z.; Qi, Z.; Wang, X. Enhanced formation of 5-HMF from glucose using a highly selective and stable SAPO-34 catalyst. Chem. Eng. J. 2017, 307, 877–883. [Google Scholar] [CrossRef]
- Wang, L.; Wang, H.; Wang, Y. Research of desulfurization of dibenzothiophene with SO3H-functionalized morpholine heteropolyacid ionic liquid catalyst. J. Mol. Struct. 2020, 1220, 128779. [Google Scholar] [CrossRef]
- Chidambaram, M.; Bell, A.T. A two-step approach for the catalytic conversion of glucose to 2,5-dimethylfuran in ionic liquids. Green Chem. 2010, 12, 1253–1262. [Google Scholar] [CrossRef]
- Hu, L.; Sun, Y.; Lin, L.; Liu, S. 12-Tungstophosphoric acid/boric acid as synergetic catalysts for the conversion of glucose into 5-hydroxymethylfurfural in ionic liquid. Biomass Bioenergy 2012, 47, 289–294. [Google Scholar] [CrossRef]
- Lu, Y.; Sun, Z.; Huo, M. Fabrication of a micellar heteropolyacid with Lewis–Brønsted acid sites and application for the production of 5-hydroxymethylfurfural from saccharides in water. RSC Adv. 2015, 5, 30869–30876. [Google Scholar] [CrossRef]
- Pileidis, F.D.; Titirici, M.M. Levulinic acid biorefineries: New challenges for efficient utilization of biomass. ChemSusChem 2016, 9, 562–582. [Google Scholar] [CrossRef] [PubMed]
- Saghandali, F.; Kazemeini, M.; Sadjadi, S. Halloysite-supported silicotungstic acid as an efficient catalyst for dehydration of fructose to 5-hydroxymethylfurfural. J. Phys. Chem. Solids 2024, 184, 111697. [Google Scholar] [CrossRef]
- Lv, G.; Deng, L.; Lu, B.; Li, J.; Hou, X.; Yang, Y. Efficient dehydration of fructose into 5-hydroxymethylfurfural in aqueous medium over silica-included heteropolyacids. J. Clean. Prod. 2017, 142, 2244–2251. [Google Scholar] [CrossRef]
- Patil, C.R.; Rode, C.V. Synthesis of diesel additives from fructose over PWA/SBA-15 catalyst. Fuel 2018, 217, 38–44. [Google Scholar] [CrossRef]
- Gomes, F.N.; Mendes, F.M.; Souza, M.M. Synthesis of 5-hydroxymethylfurfural from fructose catalyzed by phosphotungstic acid. Catal. Today 2017, 279, 296–304. [Google Scholar] [CrossRef]
- Wu, J.; Wang, X.; Song, J.; Wang, Q.; Shi, L.; Wang, X.; Huo, M. Synthesis of heteropolyacid (HPA) functionalized graphitic carbon nitride as effective catalysts for converting polysaccharides into high-value chemicals. Resour. Conserv. Recycl. 2022, 185, 106473. [Google Scholar] [CrossRef]
- Huang, F.; Su, Y.; Tao, Y.; Sun, W.; Wang, W. Preparation of 5-hydroxymethylfurfural from glucose catalyzed by silica-supported phosphotungstic acid heterogeneous catalyst. Fuel 2018, 226, 417–422. [Google Scholar] [CrossRef]
- Dias, A.S.; Lima, S.; Pillinger, M.; Valente, A.A. Dehydration of xylose into furfural over micro-mesoporous sulfonic acid catalysts. J. Catal. 2005, 229, 414–423. [Google Scholar] [CrossRef]
- Dias, A.S.; Lima, S.; Pillinger, M.; Valente, A.A. Mesoporous silica-supported 12-tungstophosphoric acid catalysts for the liquid phase dehydration of D-xylose. Microporous Mesoporous Mater. 2006, 94, 214–225. [Google Scholar] [CrossRef]
- Dias, A.S.; Lima, S.; Pillinger, M.; Valente, A.A. Acidic cesium salts of 12-tungstophosphoric acid as catalysts for dehydration of xylose into furfural. Carbohydr. Res. 2006, 341, 2946–2953. [Google Scholar] [CrossRef] [PubMed]
- Sivasubramaniam, D.; Amin, N.S. Synthesis of ethyl levulinate from levulinic acid over solid super acid catalyst. Chem. Eng. Trans. 2015, 45, 907–912. [Google Scholar]
- Melero, J.A.; Morales, G.; Iglesias, J.; Paniagua, M.; Hernández, B.; Penedo, S. Efficient conversion of levulinic acid into alkyl levulinates catalyzed by sulfonic mesostructured silicas. Appl. Catal. A Gen. 2013, 466, 116–122. [Google Scholar] [CrossRef]
- Su, F.; Ma, L.; Song, D.; Zhang, X.; Guo, Y. Design of a highly ordered mesoporous H3PW12O40/ZrO2–Si (Ph) Si hybrid catalyst for methyl levulinate synthesis. Green Chem. 2013, 15, 885–890. [Google Scholar] [CrossRef]
- An, S.; Song, D.; Sun, Y.; Guo, Y.; Shang, Q. Design of highly ordered mesoporous Nb2O5-based hybrid catalysts bifunctionalized by the Keggin-type heteropoly acid and phenyl-bridged organosilica moieties for the synthesis of methyl levulinate. Microporous Mesoporous Mater. 2016, 226, 396–405. [Google Scholar] [CrossRef]
- Guo, X.; Guo, F.; Li, Y.; Zheng, Z.; Xing, Z.; Zhu, Z.; Liu, T.; Zhang, X.; Jin, Y. Dehydration of D-xylose into furfural over bimetallic salts of heteropolyacid in DMSO/ H2O, mixture. Appl. Catal. A 2018, 558, 18–25. [Google Scholar] [CrossRef]
- Zheng, H.; Sun, Z.; Yi, X.; Wang, S.; Li, J.; Wang, X.; Jiang, Z. A water-tolerant C16H3PW11CrO39 catalyst for the efficient conversion of monosaccharides into 5-hydroxymethylfurfural in a micellar system. RSC Adv. 2013, 3, 23051–23056. [Google Scholar] [CrossRef]
- Wang, L.; Zhang, L.; Li, H.; Ma, Y.; Zhang, R. High selective production of 5-hydroxymethylfurfural from fructose by sulfonic acid functionalized SBA-15 catalyst. Compos. Part B Eng. 2019, 156, 88–94. [Google Scholar] [CrossRef]
- Qu, Y.; Huang, C.; Zhang, J.; Chen, B. Efficient dehydration of fructose to 5-hydroxymethylfurfural catalyzed by a recyclable sulfonated organic heteropolyacid salt. Bioresour. Technol. 2012, 106, 170–172. [Google Scholar] [CrossRef]



















































| Entry | Substrate | Catalyst | Temperature (K) | Time (h) | Glucose Yield (%) |
|---|---|---|---|---|---|
| 1 a | Cellobiose | HClO4 | 393 | 24 | 42 |
| 2 a | Cellobiose | H2SO4 | 393 | 24 | 29 |
| 3 a | Cellobiose | H3PO4 | 393 | 24 | 13 |
| 4 a | Cellobiose | H3PW12O40 | 393 | 48 | 51 |
| 5 a | Cellobiose | H4SiW12O40 | 393 | 48 | 52 |
| 6 a | Cellulose | H3PW12O40 | 333 | 48 | 18 |
| 7 a | Cellulose | H4SiW12O40 | 333 | 48 | 61 |
| 8 a | Cellulose | HCl | 333 | 48 | <1 |
| 9 a | Cellulose | H2SO4 | 333 | 48 | 4 |
| 10 b | Cellulose | HCl | 453 | 2 | 14 |
| 11 b | Cellulose | H3PW12O40 | 453 | 2 | 42 |
| Entry | Substrate | Catalyst | Time (h) | T (K) | Glucose Yield/% |
|---|---|---|---|---|---|
| 1 a | Cellulose | HY | 8 | 453 | 37 |
| 2 a | Cellulose | HZSM-5a | 9.5 | 453 | 35.2 |
| 3 a | Cellulose | HZSM-5b | 9.5 | 453 | 33.7 |
| 4 a | Cellulose | H beta | 8.5 | 453 | 29.6 |
| 6 a | Cellulose | Fe3O4-SBA-SO3H | 3 | 423 | 25 |
| 7 a | Cellulose | ACSO3H | 3 | 423 | 22 |
| 8 a | Cellulose | Amberlyst | 3 | 423 | 14 |
| 9 a | Cellulose | Al2O3 | 3 | 423 | 3 |
| 10 a | Cellulose | Fe3O4-SBA | 3 | 423 | 3 |
| 11 | Cellulose | HZSM | 3 | 423 | 2 |
| 12 b | Cellulose | CsH2PW12O40 | 6 | 453 | 39 |
| 13 b | Cellulose | Cs2.2H0.8PW12O40 | 8 | 443 | 36 |
| 14 b | Cellulose | [MIMPSH]3PW12O40 | 5 | 423 | 30 |
| Catalyst | Conversion | 5-HMF Yield |
|---|---|---|
| No catalyst | 2 | - |
| ChCl | 4 | 2 |
| HCl | 41 | 2 |
| H3PW12O40 | 88 | 50 |
| Ch1H2PW12O40 | 87 | 78 |
| Ch2HPW12O40 | 48 | 30 |
| Ch3PW12O40 | 49 | 17 |
| Catalyst | Acid Loading mmol/g−1 | Conversion (%) | Levulinic Acid Yield (%) | HMF Yield (%) |
|---|---|---|---|---|
| No catalyst | 0 | 0 | 0 | 0 |
| a g-C3N4 | 0 | 8 | 0 | 0 |
| H3PW12O40 | 1.780 | 89 | 20 | 42 |
| H3PW12O40/ g-C3N4(20 wt. %) | 0.750 | 73 | 11 | 38 |
| H3PW12O40/ g-C3N4(25 wt. %) | 1.090 | 83 | 13 | 43 |
| H3PW12O40/ g-C3N4(30 wt. %) | 1.360 | 100 | 21 | 58 |
| H3PW12O40/ g-C3N4(35 wt. %) | 1.470 | 100 | 25 | 47 |
Disclaimer/Publisher’s Note: The statements, opinions and data contained in all publications are solely those of the individual author(s) and contributor(s) and not of MDPI and/or the editor(s). MDPI and/or the editor(s) disclaim responsibility for any injury to people or property resulting from any ideas, methods, instructions or products referred to in the content. |
© 2024 by the authors. Licensee MDPI, Basel, Switzerland. This article is an open access article distributed under the terms and conditions of the Creative Commons Attribution (CC BY) license (https://creativecommons.org/licenses/by/4.0/).
Share and Cite
Silva, M.J.d.; da Silva Andrade, P.H. The Heteropolyacid-Catalyzed Conversion of Biomass Saccharides into High-Added-Value Products and Biofuels. Processes 2024, 12, 2587. https://doi.org/10.3390/pr12112587
Silva MJd, da Silva Andrade PH. The Heteropolyacid-Catalyzed Conversion of Biomass Saccharides into High-Added-Value Products and Biofuels. Processes. 2024; 12(11):2587. https://doi.org/10.3390/pr12112587
Chicago/Turabian StyleSilva, Márcio Jose da, and Pedro Henrique da Silva Andrade. 2024. "The Heteropolyacid-Catalyzed Conversion of Biomass Saccharides into High-Added-Value Products and Biofuels" Processes 12, no. 11: 2587. https://doi.org/10.3390/pr12112587
APA StyleSilva, M. J. d., & da Silva Andrade, P. H. (2024). The Heteropolyacid-Catalyzed Conversion of Biomass Saccharides into High-Added-Value Products and Biofuels. Processes, 12(11), 2587. https://doi.org/10.3390/pr12112587

