Next Article in Journal
Hydrogen Network Synthesis Integrated with Multi-Stage and Multi-Technology Purification System
Previous Article in Journal
Fouling Prediction of a Heat Exchanger Based on Wavelet Neural Network Optimized by Improved Particle Swarm Optimization Algorithm
 
 
Font Type:
Arial Georgia Verdana
Font Size:
Aa Aa Aa
Line Spacing:
Column Width:
Background:
Article

Vinyl Chloride Distillation Process Simulation Optimization Evaluation: Optimization Based on NSGA-III Algorithm and Quantitative Risk Analysis

1
Oil & Gas Fine Chemicals Ministry of Education & Xin Jiang Uyghur Autonomous Region Key Laboratory, College of Chemical Engineering, Xinjiang University, Urumqi 830017, China
2
Xinjiang Yihua Chemical Industry Co., Ltd., Urumqi 831700, China
3
Xinjiang Uygur Autonomous Region Academy of Safety Science and Technology, Urumqi 830011, China
4
College of Computer Science and Technology, Xinjiang University, Urumqi 830017, China
*
Authors to whom correspondence should be addressed.
Processes 2024, 12(11), 2413; https://doi.org/10.3390/pr12112413
Submission received: 20 September 2024 / Revised: 20 October 2024 / Accepted: 21 October 2024 / Published: 1 November 2024
(This article belongs to the Section Chemical Processes and Systems)

Abstract

In response to the current issues of high energy consumption, environmental pollution, and safety hazards associated with the vinyl chloride distillation process, this study has developed a sustainable, economically energy-efficient, and safe multi-objective optimization method for the vinyl chloride distillation process. Based on the actual operation of the vinyl chloride distillation process in enterprises, this research employs the Non-dominated Sorting Genetic Algorithm III (NSGA-III) to optimize key parameters of the distillation operation, aiming to achieve multiple objectives such as improving product quality, reducing energy consumption, decreasing CO2 emissions, and enhancing process safety. The safety performance of the optimized scheme was comprehensively evaluated through simulation with Aspen Plus V14 software, combined with Hazard and Operability (HAZOP) qualitative risk analysis and quantitative risk analysis based on Aspen Plus. Through comparative analysis with the original design scheme, the following conclusions were drawn: all optimization plans (A, B, C, D) are superior to the original design to varying degrees. Further research revealed that as the number of iterations of the genetic algorithm increases, the optimization plans have significantly improved in terms of multi-objective performance, highlighting the importance of adequate iteration in the process of finding the optimal solution. The outcomes of this study not only provide an effective strategy for the optimization of the vinyl chloride distillation process but also offer a theoretical basis and practical guidance for the green development and safe production in the chemical industry.

Graphical Abstract

1. Introduction

Faced with the advancement of globalization and industrialization, the chemical industry, and particularly the production of plastic products, plays a crucial role [1,2]. Polyvinyl chloride (PVC) is a widely utilized plastic material, and the distillation process used in its production not only determines the product quality but also significantly influences environmental and economic outcomes [3,4]. Faced with stringent environmental regulations and the rising costs of energy, companies must strive to enhance efficiency, reduce energy consumption, and minimize pollution, while also addressing the challenges of safety assurance and incident prevention [5,6].
Safety is an indispensable issue in the vinyl chloride distillation process, and Hazard and Operability (HAZOP) analysis plays a pivotal role in identifying potential risks within the process [7,8,9]. Svandova and Jelemensky et al. [10] proposed the application of both static and dynamic process simulations in HAZOP analysis. This approach allows for a comprehensive analysis of potential hazards and deviations within the process. Janošovský et al. [11,12] introduced the principle of combining model-based HAZOP analysis with a simulation environment. After simulating the effects of process deviations, they applied the HAZOP method to collect and process the simulation data, providing a case study of an ammonia synthesis reactor incident. Chen Xin [13] and colleagues integrated HAZOP with Aspen, conducting steady-state simulations based on the vinyl chloride distillation process. By utilizing sensitivity analysis tools, they determined the consequences of deviations for the system, thereby achieving quantitative risk analysis. In practical operations, the application of Aspen Plus software has also been crucial in hazard identification and accident analysis. For instance, in the analysis of the “Paharitus” petrochemical complex incident [14], the simulation results from Aspen Plus provided engineers with valuable data support, aiding them in assessing potential risks associated with the vinyl chloride monomer process and devising appropriate preventive measures. By integrating dynamic HAZOP analysis with the dynamic response simulation of Aspen Plus, these methods have significantly enhanced the safety and efficiency of the production process [15,16,17].
Concurrently, research on optimizing the vinyl chloride distillation process has garnered widespread attention. Yaşar Demirel [18] utilized the Aspen Plus simulator to assess the thermodynamic performance of the distillation column, focusing on the thermodynamic behavior of the column when integrated into the process heat flow. Furthermore, Araújo et al. [19] combined exergy and economic analysis to further explore the relationship between the irreversibility of industrial distillation columns and thermodynamic efficiency, revealing how to enhance process energy efficiency while maintaining economic benefits. Demirel et al. [20] utilized the Aspen Plus simulator to generate mass and energy convergence balance results as well as exergy loss curves, thereby assessing the thermodynamic performance of the distillation column. However, previous studies have mainly focused on single-objective optimization, which often overlooks the complex interactions and trade-offs among multiple objectives in industrial applications. For instance, improving energy efficiency might come at the expense of economic benefits, or enhancing product quality could increase the environmental burden. Such single-objective optimization strategies fail to meet the comprehensive considerations required in actual industrial applications for efficiency, cost, and sustainability.
The synergy of Aspen Plus software with neural networks and multi-objective optimization algorithms like NSGA is increasingly valued in the realm of chemical process optimization [21,22]. This approach is exemplified by Shuzhi Gao et al. [23], who proposed a strategy to optimize RBF neural networks, thereby enhancing the prediction and optimization of vinyl chloride purity. Zhou et al. [24] applied the Improved Non-dominated Sorting Genetic Algorithm (NSGA-II) to the vinyl chloride distillation process, achieving a more evenly distributed Pareto optimal solution set [25]. Zong et al. [26] introduced an innovative process that couples a polymer membrane with an electrochemical hydrogen pump, leveraging the NSGA-II algorithm for multi-objective optimization aimed at efficient hydrogen production. Wu et al. [27] focused on reducing the separation energy consumption of ternary azeotropic mixtures through a pressure-swing assisted ternary multiphase azeotropic distillation process. Yin et al. [28] combined a reactive extraction distillation method with the PSO algorithm for the efficient separation of ternary azeotropic mixtures containing water. Li et al. [29] utilized the NSGA-II algorithm and heat integration techniques to separate four high-purity components in the organosilicon system, thereby reducing energy consumption and costs. Du et al. [30] improved the economic and environmental sustainability of ethyl acetate production through reactive distillation technology and economic optimization methods. He et al. [31] proposed a heat-pump-assisted extraction inter-reboiler distillation process, conducting multi-objective optimization with the NSGA-II algorithm to achieve efficient separation while reducing energy consumption and costs. Wang et al. [32] designed an energy-efficient separation process based on the special azeotropic behavior of phenylethanol and acetone, integrating multi-objective optimization with the NSGA-II algorithm and heat integration techniques to evaluate processes based on economy, energy, and environmental aspects.
Building on these advancements, Wang et al. [33] designed and optimized an extraction distillation process using a multi-objective genetic algorithm (MOGA), significantly reducing operational costs and CO2 emissions. Xu et al. [34] optimized a side-stream extraction distillation process, integrating NSGA-II and the Technique for OPSIS to efficiently separate multi-azeotropes and reduce energy consumption and costs. Li et al. [35] conducted process design for separating the ternary azeotropic mixture of MEK, ethanol, and water, introducing reactive extraction distillation technology and combining it with multi-objective optimization and multi-criteria decision-making to optimize process parameters and achieve the optimal scheme, thereby reducing the Total Annual Cost (TAC) and CO2 emissions. Wang Yunlong et al. [36] considered TAC, CO2 emissions, and separation efficiency as objective functions in the separation process of xylene isomers, using a multi-objective genetic algorithm to optimize the extraction distillation process, and combined this with energy-saving process design to achieve efficient separation while reducing operational costs and CO2 emissions.
However, despite these notable achievements, the focus of most research has been on single objectives like energy efficiency or economic feasibility, often overlooking the dynamic safety of the process. Studies by Shan et al. [37], Yang Li Min et al. [38], and Shen et al. [39] have improved energy efficiency, reduced costs, and minimized environmental impact but may not have fully considered the safety of the process under dynamic operating conditions. Tian Xin et al. [40] and Gao et al. [41] faced similar challenges, potentially overlooking process safety in the pursuit of energy efficiency and economic performance. Li Min et al. [42], while optimizing process parameters through the NSGA-II algorithm, also did not fully consider safety issues under dynamic operating conditions. These studies underscore the significant advantages of Aspen software combined with multi-objective optimization algorithms in chemical process optimization, improving process performance and reducing energy consumption and environmental impact. However, there is a clear need for greater attention to the dynamic safety of processes in practical applications to ensure that new safety hazards are not introduced during the optimization process. Future research should strive to balance these objectives more effectively, ensuring that optimization efforts not only enhance economic and environmental performance but also maintain or improve process safety.
Addressing the shortcomings in existing research, this study proposes an optimization scheme for the vinyl chloride distillation process that takes into account economic benefits, environmental protection, and process safety. Utilizing Aspen Plus software for process simulation, combined with HAZOP qualitative risk analysis and quantitative risk analysis based on Aspen Plus, a comprehensive assessment of the existing process safety was conducted. Subsequently, an advanced multi-objective genetic algorithm, NSGA-III [43], was utilized to optimize key operational parameters, achieving multiple objectives such as product quality enhancement, reduction in energy consumption, and decrease in carbon dioxide emissions. It is particularly emphasized that safety parameters and thresholds were integrated into the optimization model to ensure that all solutions are within the safe operating range, thereby improving production efficiency while ensuring process safety. Concurrently, we compared the optimization results under different numbers of iterations, exploring the relationship between the number of iterations and the optimization effectiveness. The objective of this study is to address the trade-off issues among economic benefits, environmental protection, and process safety in the existing vinyl chloride distillation process. To overcome the deficiencies in the current research, this study aims to propose an optimized distillation process scheme that maximizes economic efficiency, minimizes environmental pollution, and optimizes process safety by employing advanced simulation technology and optimization algorithms.

2. Materials and Methodology

2.1. Vinyl Chloride Distillation Process Flow

The process simulation of this project is based on the process simulation software Aspen Plus V14. The entire simulation of vinyl chloride distillation includes modules such as compressors, total condensers, tail condensers, low-boiling-point towers, high-boiling-point towers, and vinyl chloride spheres. The specific simulation flowchart is shown in Figure 1, and the simulation results are presented in Table A1. The raw material for this process is crude vinyl chloride that has been dehydrated and de-oiled. The main components of the crude vinyl chloride include vinyl chloride, acetylene, dichloroethane, oxygen, water, hydrogen chloride, nitrogen, carbon monoxide, and methane. The composition of the main substances in the crude vinyl chloride is presented in Table A2. Based on the substances separated in the distillation tower, the tower can be divided into a low-boiling tower and a high-boiling tower, both of which utilize the RadFrac simulation unit. The material processed is crude vinyl chloride, which is a polar non-ideal system. Therefore, the selected method for physical property calculations is the NRTL model. The objectives of the separation towers are as follows: (1) The purpose of the low-boiling tower is to remove the light components from crude vinyl chloride, that is, substances with boiling points lower than that of vinyl chloride. (2) The high-boiling tower is designed to separate the heavy components present in the crude vinyl chloride.
Dehydrated and de-oiled crude vinyl chloride is compressed within a compressor and then condensed in a total condenser. The vapors that are not condensed in the initial stage proceed to a tail condenser for further condensation. Any remaining non-condensed gases are directed to a tail gas adsorber for adsorption. The condensed crude vinyl chloride monomer is collected in a crude monomer tank, from which it is subsequently pumped to the low-boiling tower by a low-tower feed pump. Here, low-boiling impurities, such as acetylene and other light components, are removed. The liquid phase that distills from the low-boiling tower is then fed into the high-boiling tower, where high-boiling impurities, such as 1,2-dichloroethane and other heavy components, are eliminated. The resulting product is the purified vinyl chloride gas.

2.2. Performance Evaluation Index

To quantify the performance improvements of the vinyl chloride distillation process, this study employs two evaluative metrics: the economic index and the environmental index. These indices serve as critical benchmarks for assessing the efficiency and sustainability of the distillation process, providing a comprehensive assessment of its operational and ecological impacts.

2.2.1. Economic Index

Total Annual Cost (TAC) is utilized to calculate the economic viability of the vinyl chloride distillation process, enabling the assessment of key economic indicators, including capital cost and operational cost. Pandit and Jana proposed the calculation formula shown in Equation (1) [44]. In the vinyl chloride distillation process, the primary utility cost of the distillation columns is water.
T A C = C a p i t a l   Cost P a y b a c k   P e r i o d + O p e r a t i n g   Cost
where capital cost is the sum of the columns, pumps, reboilers and condensers; assume payback period is 3 years; and the primary sources of operating cost are the costs associated with cooling water and hot water.
Chen et al. [45] utilized Equations (3) and (6) to derive the cost associated with the distillation column.
h = 1.2 × 0.6096 ( N T 2 )
C 1 = 17640 × D 1.066 × h 0.802
The total height of the column, denoted as h (m), is obtained from Equation (2); NT represents the number of trays in the tower; C1 signifies the cost of the distillation column in US dollars (USD); D is the diameter of the tower (m).
The cost of heat exchangers encompasses the expenses for the condensers and reboilers associated with both distillation columns. The specific calculation formula is as follows:
Δ T = ( T c T o u t ) ( T c T i n ) ln [ ( T c T o u t ) / ( T c T i n ) ]
A c = Q c U c × Δ T A R = Q R U R × Δ T
C 2 = 7296 × ( A R 0.65 + A C 0.65 )
C a p i t a l   Cost = C 1 + C 2
In the equation, ΔT represents the logarithmic mean temperature difference (K), which is derived from Equation (4); TC denotes the condensation temperature (K); Tin and Tout are the inlet and outlet temperatures of the cooling water (K), respectively; AC is the heat transfer area of the condenser (m2), obtained from Equation (5); QC signifies the heat load of the condenser (kW);
UC is the heat transfer coefficient, with a value of 0.852 kW·(K·m2)−1; AR is the heat transfer area of the reboiler (m2); QR is the heat load of the reboiler (kW); UR is the heat transfer coefficient, with a value of 0.568 kW·(K·m2)−1; C2 is the cost of the heat exchangers.
O p e r a t i n g   Cost = ( P H o t H 2 O + P C o o l i n g H 2 O ) × 8000
Operating cost is derived using the built-in utility calculation formulas in Aspen Plus. Herein, PHot-H2O represents the cost of hot water in US dollars per hour (USD/h); PCooling-H2O denotes the cost of cooling water in US dollars per hour (USD/h); and the operating hours for the enterprise are set at 8000 h.

2.2.2. Environmental Index

With the emergence of a global trend towards low-carbon industrial development, the reduction in carbon dioxide emissions has taken on significant importance. In the design of separation processes, the CO2 emissions from the vinyl chloride distillation process primarily originate from the combustion of coal. The emissions of CO2 can be calculated using the formula designed by Chen et al. [45].
[ C O 2 ] e m i s s i o n = Q f u e l Q s tan d a r d × 0.68 % × 3.67 × 8000 × 3600
Q f u e l = Q R 0.8
Qfuel represents the fuel consumption, with a fuel efficiency of 0.8. QR is also used to indicate the heat duty of the reboiler in the distillation column (kW); the operating time is taken as 8000 h; Qstandard signifies the heating value of the fuel, with a value of 22,000 kW/kg; the carbon content of the fuel is 0.68%; and [CO2]emission refers to the emission of CO2 (t/y).

3. Results of the Quantitative Risk Analysis for the Original Vinyl Chloride Distillation Process

The vinyl chloride distillation process involves a variety of hazardous chemicals, among which vinyl chloride and dichloroethane both possess the risk of fire and explosion. In the event of a leak that forms an explosive mixture with air, or if the reaction gets out of control leading to overheating and over-pressurization, a fire or explosion accident can be caused, resulting in severe consequences. It is imperative to conduct a risk analysis of the vinyl chloride distillation process during production. In practice, HAZOP is commonly utilized for qualitative risk analysis in industrial production; however, this method is highly subjective and lacks precision. The current prevalent approach is to introduce quantitative analysis using the Aspen Plus V14 simulation software, building upon the foundation of qualitative risk assessment.

3.1. Qualitative Risk Analysis

Given the characteristics of the distillation process, it is evident that the feed and temperature of the reaction can impact the stable operation of the process. Therefore, controlling the feed and temperature of the distillation reaction process is of paramount importance. In light of this, a risk analysis was conducted on the feed rate and temperature of the vinyl chloride distillation section, with the specific results presented in Table A3.

3.2. Quantitative Risk Analysis

Considering the characteristics of the vinyl chloride distillation process, the low-boiling tower and the high-boiling tower are selected as key equipment for analysis. By altering the relevant process parameters to generate deviations and analyzing the deviation curves, the safe operating ranges for the associated parameters are obtained.
The analysis objectives were determined, which are excessively high or low feed temperatures and excessively high or low feed flow rates. Simulations were conducted by altering the feed parameters in Aspen Plus V14. The relative deviation of feed temperature and flow rate was simulated to fluctuate from −40% to +40%, with an increment step of 10%, and the changes in the heat load of the condensers and reboilers for the low-boiling tower (T1) and the high-boiling tower (T2) were analyzed.
Figure 2a,b depict the impact of deviations in temperature and feed rate on the heat load of the condensers for the low-boiling tower T1 and the high-boiling tower T2, respectively; Figure 2c illustrates the effect of temperature and feed rate deviations on the heat load of the reboiler for T1. Throughout this process, the tower pressure, reflux ratio, and feed composition are maintained. In Figure 2, the overlapping points represent the design values for the power of the condensers and reboilers, with the T1 condenser at −0.4524 MMkcal/h and the T2 condenser at −0.2637 MMkcal/h, and the T1 reboiler at 1.0887 MMkcal/h. Reference to the literature indicates that a safety margin of 20% is applied to the power of both units. Therefore, the safe operating ranges for the heat load of the T1 and T2 condensers are −0.5428 to 0 MMkcal/h and −0.3165 to 0 MMkcal/h, respectively, and the safe operating range for the T1 reboiler heat load is 0 to 1.3064 MMkcal/h. The horizontal lines in the figure can be delineated as safety threshold lines, with specific numerical values indicated. Specifically, Figure 2a–c correspond to −0.5428 MMkcal/h, −0.3165 MMkcal/h, and 1.3064 MMkcal/h, respectively. It is evident from the figure that deviations in temperature have a minimal impact on the heat load of the condensers for both towers; however, as the temperature continuously decreases, the heat load of the T1 reboiler increases linearly. When the temperature deviation is between −40% and −20%, that is to say, when the temperature falls below 12 °C, the reboiler power exceeds the safety threshold, adversely affecting the system. Prolonged operation beyond the load capacity leads to a reduction in the amount of vapor within the tower, resulting in liquid leakage; the top tray flow rate decreases. If the deviation continues to increase, it can cause changes in the tower temperature and feed conditions, thereby altering the vapor–liquid equilibrium and reducing the efficiency of the distillation. Therefore, controlling the temperature deviation is one of the keys to successful distillation. Based on the analysis presented, it can be concluded that during the distillation process, the relative deviation of the feed temperature should be controlled within the range of −20% to 40%. This corresponds to the safety range of the feed temperature, which is indicated on the feed temperature line (blue) in Figure 2c as 12–21 °C.
Deviations in the feed rate lead to an approximately linear increase in the heat load of both towers. Specifically, when the feed rate reaches 285.7368 kmol/h with a relative deviation of 20%, the power of the T1 and T2 condensers and the reboiler all reach their safety thresholds. Should the deviation in the feed flow rate exceed 20% and persist, the system may be subject to severe impacts. Prolonged operation beyond the load capacity may result in a decline in the performance of the condensers and reboilers, thereby affecting product quality. Furthermore, a rapid increase in the velocity of the rising vapor could potentially lead to flooding, while a swift rise in the liquid level in the base of the tower could cause the product flow rate to exceed the control limits. Additionally, an increase in the top tray flow rate may lead to the mixing of discharged gases with air, forming an explosive mixture and posing a potential safety hazard. When the deviation in the feed flow rate is less than 20%, all system parameter indicators are within the safe range. Appropriately increasing the feed rate within this deviation range can enhance the rising velocity of the vapor, thereby improving mass transfer efficiency. However, when the feed flow rate deviation is between −40% and 0%, although the heat load of the condensers and reboilers remains within the safe range, the reduction in feed rate leads to a decrease in the rising velocity of the vapor, which in turn reduces the separation efficiency.
In summary, to ensure that the operational parameters of the distillation column are maintained within the normal range, it is recommended that the relative deviation of the feed flow rate be controlled between 0% and 20%. This corresponds to the safety fluctuation range of the feed flow rate, as indicated by the feed flow rate line (black) in Figure 2a–c, which is 238.1140 to 285.7368 kmol/h. Such a control strategy helps to optimize the operational performance of the distillation column while ensuring the safety of the system and the quality of the product.

4. Multi-Objective Optimization and Risk Assessment of Vinyl Chloride Distillation

4.1. Python Is Connected to Aspen Plus

Referring to the research work of Wenxuan Zhao et al. [46] and Zhehao Jin et al. [47], we selected open-source Python packages combined with Aspen Plus V14 and employed the NSGA-III algorithm to optimize the process. Based on ActiveX, we implemented the linkage between Python 3.9.0 and Aspen. First, we created a simulation on Aspen Plus V14 and saved it in .bkp format. Finally, we called and executed .bkp through Python’s own library win32com.client. The concrete implementation is as follows.
aspen = win32com.client.Dispatch(“Apwn.Document.37.0”)
aspen.InitFromArchive2(‘*.bkp’)
aspen.Visible = 0
aspen.SuppressDialogs = 1
The first line instantiates an Aspen ActiveX object assigned to the variable aspen; the third line manipulates the Aspen Plus ActiveX automation server represented by the aspen variable to import an existing process from the text .bkp. After the above three steps are executed, the initialization is finished and the connection to the Aspen Plus V14 simulation process is achieved.
When reading or modifying Aspen Plus V14 parameters, the location of the corresponding parameter is first determined in the Aspen Variable Explorer, and then the call statement (Call) that comes with Aspen Plus V14 is directly copied. Taking the example of modifying the distillate feed ratio of the low-boiling tower and high-boiling tower to get the mass fraction of vinyl chloride, the specific code is as follows:
Aspen.Tree.FindNode(“\Data\Blocks\T1\Input\D:F”).value = a
Aspen.Engine.Run2()
MF_VC = Aspen.Tree.FindNode(“\Data\Streams\S-1\Output\MASSFLOW\
MIXED\Vinyl chloride”).value
Aspen.Tree.FindNode(“\Data\Blocks\T2\Input\D:F”).value = a
Aspen.Engine.Run2()
MF_VC = Aspen.Tree.FindNode(“\Data\Streams\S-2\Output\MASSFLOW\
MIXED\Vinyl chloride”).value
The first line assigns data a to the distillate feed ratio of the low-boiling tower and high-boiling tower; the second line runs the simulation process; and the third line obtains the mass fraction of vinyl chloride in the distillate of the low-boiling tower and high-boiling tower.

4.2. NSGA-III Optimization

Genetic algorithms optimize by simulating natural selection through selection, crossover, and mutation. Reducing the energy demand of distillation with energy-saving techniques or computer-aided design is a growing trend. This paper employs NSGA-III, a non-dominated sorting genetic algorithm, using real integer encoding (RI), with a population of 300 and evolutionary generations set to 100, 300, and 500. The crossover and mutation rates are 0.9 and 0.1, respectively. The algorithm’s implementation involves several key steps, as illustrated by the code below:
  • # Initialization of genetic algorithm parameters
  • population_size = 300
  • generations = [100, 300, 500]
  • crossover_rate = 0.9
  • mutation_rate = 0.1
  • # Initialize population using real integer encoding
  • population = initialize_population (population_size, encoding = ‘real_integer’)
  • # Optimization process
  • for generation in range (max(generations)):
  •     # Non-dominated sorting and crowding distance calculation
  •     fronts = non_dominated_sorting (population)
  •     crowding_distance (fronts)
  •     # Selection, crossover, and mutation
  •     selection (population)
  •     perform_crossover_and_mutation(population, crossover_rate, mutation_rate)
  •     # Checking for convergence
  •     if check_convergence (criteria):
  •         break
  • # Using reference points to accelerate convergence and applying purity constraints
  • reference_points = define_reference_points()
  • apply_constraints (population, purity_constraint)
During optimization, the population undergoes non-dominated sorting into fronts, with crowding distance calculated to ensure diversity. The algorithm stops when the maximum number of generations is reached or when the non-dominated layer remains unchanged over several generations. A notable feature of NSGA-III is the introduction of a reference point mechanism to predefine the range of the objective function, significantly improving the algorithm’s convergence speed. Throughout the process, maintaining component purity is considered an uncompromising constraint, as reflected in the objective function. The objective function is as shown in the following equations:
min   f ( T A C ) = f ( N T 1 , N F 1 , R R ) min f ( C O 2 e m i s s i o n ) = f ( N T 1 , N F 1 , R R ) X a c e t y l e n e 0.00005
min f ( T A C ) = f ( N T 2 , N F 2 , R R ) min f ( C O 2 e m i s s i o n ) = f ( N T 2 , N F 2 , R R ) X V C 0.9999
It is evident that the optimization algorithms inherently available in Aspen Plus are insufficient to encompass the multitude of variables involved in the optimization of the distillation process. This can be articulated as a Mixed Integer Nonlinear Programming (MINLP) problem [48]. An interface has been developed between Python and Aspen Plus, facilitating the invocation of Aspen Plus’s proprietary database to execute the necessary calculations.
In the optimization of vinyl chloride distillation, there are four integer variables and four real variables. The integer variables pertain to the number of theoretical trays and the feed tray location, both of which are discrete variables. The real variables involve the reflux ratio and the distillate-to-feed ratio, which are continuous variables.
Table 1 illustrates the entire range of decision variables for the proposed process. The optimization process, as depicted in Figure 3, commences with the initialization of the population by generating the number of individuals, phenotypes, objective function matrices, individual fitness, and constraint matrices. Subsequently, values are assigned to the matrices through an interface to calculate the TAC and CO2 emissions with constraints on product purity. The obtained constraint values are then compared with predefined criteria. Should the acquired values not meet the predefined standards, a new generation will be produced through mutation and crossover. In this paper, the population size is set at 300, with the number of evolutionary generations being 100, 300, and 500, respectively. All other parameters are retained at their default values.

4.3. Optimization Results

Following optimization with NSGA-III, the results obtained are depicted in Figure 4, with the scatter distribution approximating the Pareto fronts, where each point represents a non-dominated individual, signifying that the point is a non-inferior solution. From the Pareto fronts of the vinyl chloride distillation process, it can be observed that the distillation scheme at 500 generations exhibits better environmental friendliness and economic viability; higher generations tend to yield more optimized solutions. An increase in TAC correlates with a reduction in CO2 emissions. To ascertain a plan that ensures economic benefits while also reducing pollutant emissions, a balance between TAC and CO2 emissions must be achieved.
After optimization with NSGA-III, focusing primarily on the mass fraction of vinyl chloride, four operational schemes with vinyl chloride purities exceeding 99.99% were selected, as shown in Table 2. Scheme A was obtained at 100 generations, Scheme B at 300 generations, and Schemes C and D at 500 generations.
Four distillation schemes that meet the purity requirements of vinyl chloride were calculated, and their economic viability as well as CO2 emission profiles were determined, as illustrated in Figure 5.
Figure 5 illustrates the economic and environmental performance of both the original and the optimal scenarios. The optimal process primarily involves the utilization of the NSGA-III algorithm to optimize the parameters of each process. Four non-dominated solution approaches were selected for comparison with the original parameters in terms of the TAC and CO2 emissions. Upon analyzing Figure 5, it was observed that while the four optimization schemes have reduced the TAC compared to the original distillation scheme, the differences are not significant. Consequently, a further comparison of CO2 emissions among the various schemes was conducted. The results indicate that Scheme C and Scheme D exhibit lower CO2 emissions among the four optimized schemes, demonstrating a more pronounced optimization effect.
The TAC values for the optimized vinyl chloride distillation processes are 3.21 × 105 USD/y, 3.26 × 105 USD/y, 3.21 × 105 USD/y, and 3.16 × 105 USD/y, respectively. Scheme D’s TAC represents a reduction of 14,000 USD/y compared to the original scheme, demonstrating a clear economic advantage. Scheme C exhibits the best performance in reducing CO2 emissions, with a reduction of 10,400 kg/year compared to the original process, yielding significant environmental benefits. Schemes C and D show superior optimization outcomes, which may be attributed to their adjustments in key operational parameters that directly affect energy consumption and CO2 emissions. By fine-tuning these parameters, Schemes C and D achieve higher thermal efficiency and lower energy consumption, thereby reducing TAC and CO2 emissions.
For the vinyl chloride distillation process, these optimization schemes provide a cost-effective and environmentally friendly mode of production. By optimizing the distillation scheme, the TAC for the enterprise is reduced, and energy consumption and CO2 emissions are lowered, directly reducing production costs and enhancing production efficiency. This not only fulfills environmental responsibilities but also improves the competitiveness of the enterprise.

4.4. Safety Evaluation

Following optimization with a genetic algorithm, four distillation schemes were obtained that not only meet purity requirements but also reduce TAC and CO2 emissions. However, alongside the improvement of distillation schemes, the safety aspects of the solutions must also be considered to establish the safe operating range for the thermal loads of the optimized schemes. Therefore, the simulation involves varying the relative deviations of feed temperature and flow rate from −40% to +40%, with an increment step of 10%. During this process, the tower pressure, reflux ratio, and feed composition are kept constant. The analysis focuses on the changes in the heat loads of the condensers and reboilers for the two towers in the four distillation schemes.
Figure 6a–d correspond to the impact of deviations in temperature and feed rate on the heat load of the low-boiling-point tower T1 condenser for the four schemes; taking a in Figure 6 as an example, the horizontal coordinate represents the fluctuation range of the process parameters, and the vertical coordinate represents the heat load of the T1 condenser. When key parameters fluctuate, the heat load of the low-boiling-point tower condenser will change accordingly, and analysis was conducted to determine whether it exceeds the safety threshold line. The overlapping points in Figure 6 are the design values of the T1 condenser power for the four schemes, that is, the design value of the low-boiling-point tower T1 condenser power for Scheme A is −0.3528 MMkcal/h, for Scheme B it is −0.4403 MMkcal/h, for Scheme C it is −0.2795 MMkcal/h, and for Scheme D it is −0.3419 MMkcal/h. With a safety margin of 20%, the safe operating range for the heat load of Scheme A’s low-boiling-point tower T1 condenser is −0.4234 to 0 MMkcal/h, the safe operating range for Scheme B is −0.5284 to 0 MMkcal/h, the safe operating range for Scheme C is −0.3354 to 0 MMkcal/h, and the safe operating range for Scheme D is −0.4102 to 0 MMkcal/h, which corresponds to the safety threshold range defined in the figure. In Figure 6a–d, the specific numerical values of the safety threshold lines are delineated as follows: Scheme A is marked at −0.4234 MMkcal/h, Scheme B at −0.5284 MMkcal/h, Scheme C at −0.3354 MMkcal/h, and Scheme D at −0.4102 MMkcal/h.
Based on the analysis of Figure 6, the following conclusions can be drawn: fluctuations in feed temperature have a negligible impact on the heat load of the low-boiling tower T1 condenser, whereas fluctuations in feed flow rate significantly affect the heat load. Consequently, the safety fluctuation range of the feed flow rate is prominently indicated in the figures. As the feed rate increases, the heat load of the T1 condenser shows a trend of gradually increasing, which may adversely affect the safety of the entire system. In particular, when the feed rate reaches a certain value, that is, 285.7368 kmol/h with a relative deviation of 20%, the power of the T1 condenser may reach its safety threshold, increasing the risk of accidents. Moreover, a feed rate that is too low may have a negative impact on product quality, thereby affecting the stability and safety of subsequent process steps. Therefore, the safe fluctuation range for the feed flow rate should be controlled within 0–20%. This corresponds to the two critical points indicated by arrows in Figure 6a–d, which are 238.1140 to 285.7368 kmol/h. After optimization, the heat load of the T1 condenser in Scheme C and Scheme D is maintained at a lower level, indicating that these two schemes have potential advantages in terms of safety and stability. This means that when facing fluctuations in feed rate, Schemes C and D may have a greater safety margin, thereby reducing the possibility of accidents.
Figure 7a–d correspond to the impact of deviations in temperature and feed rate on the heat load of the high-boiling tower T2 condenser for the four schemes, respectively. The overlapping points in Figure 7 represent the design values of the T2 condenser power for the four schemes, with Scheme A’s high-boiling tower T2 condenser power designed at −0.1917 MMkcal/h, Scheme B at −0.1638 MMkcal/h, Scheme C at −0.2213 MMkcal/h, and Scheme D at −0.1894 MMkcal/h. Considering a safety margin of 20%, the safe operating range for the heat load of Scheme A’s high-boiling tower T2 condenser is from −0.2300 to 0 MMkcal/h, for Scheme B it is from −0.1966 to 0 MMkcal/h, for Scheme C it is from −0.2655 to 0 MMkcal/h, and for Scheme D it is from −0.2273 to 0 MMkcal/h, which are the ranges defined by the safety threshold lines in the figure. In Figure 7a–d, the specific numerical values of the safety threshold lines are delineated as follows: Scheme A is marked at −0.2300 MMkcal/h, Scheme B at −0.1966 MMkcal/h, Scheme C at −0.2655 MMkcal/h, and Scheme D at −0.2273 MMkcal/h. As depicted in Figure 7, fluctuations in the feed temperature have a minimal impact on the heat load of the high-boiling-point tower T2 condenser. This suggests that the system may possess a high degree of stability in terms of temperature control, such that even with certain deviations in temperature, the operation of the condenser is not significantly at risk.
However, variations in the feed rate significantly affect the heat load of the T2 condenser. With an increase in the feed rate, the heat load of the T2 condenser exhibits a progressively increasing trend. If this trend is not effectively managed, it may drive the power of the condenser close to or beyond the safety threshold, thereby elevating the risk of accidents. Specifically, when the feed rate reaches 285.7368 kmol/h with a relative deviation of 20%, the heat load of the condenser may approach the limit of safe operation, which requires special attention.
An excessively low feed rate may compromise product quality, which not only affects the market competitiveness of the product but may also lead to instability in subsequent process steps due to quality issues, and could even trigger safety incidents. Therefore, maintaining an appropriate feed rate is crucial for ensuring the stability and safety of the entire distillation process. Synthesizing the aforementioned analysis, the fluctuation range of the feed flow rate should be controlled between 0 and 20%. This corresponds to the safety fluctuation range of the feed flow rate indicated in the figures, specifically between the two critical points marked by arrows in Figure 7a–d, which are 238.1140 and 285.7368 kmol/h.
In the optimization schemes, by adjusting the feed rate and controlling the range of its fluctuations, the risk of an excessively high heat load on the T2 condenser can be effectively reduced. For instance, Scheme C and Scheme D have been designed with a larger safety margin, resulting in a relatively wider range of safe operation. This may imply that in actual operation, these two schemes are better equipped to withstand the risks associated with feed rate fluctuations.
In summary, the optimization schemes contribute to reducing the risk of an excessively high heat load on the high-boiling-point tower T2 condenser by adjusting the feed rate and controlling its fluctuation range, thereby enhancing the safety of the entire distillation system. To ensure that operational parameters remain within the normal range, it is recommended that the relative deviation of the feed rate be controlled between 0 and 20% to prevent potential safety issues that may arise from improper feed rates.
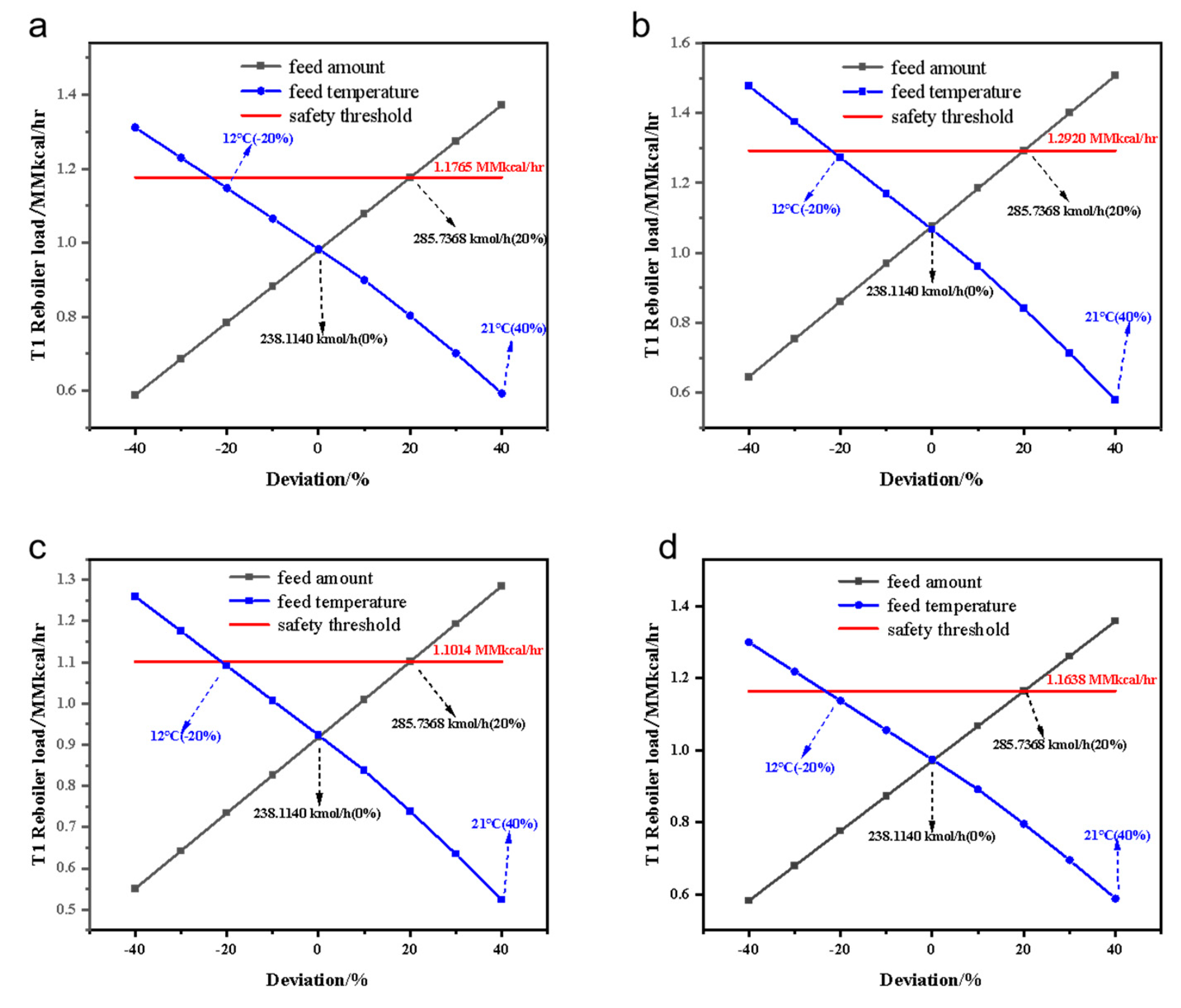
Figure 8a–d correspond to the impact of deviations in temperature and feed rate on the heat load of the reboiler in the low-boiling tower T1 for the four schemes, respectively. The overlapping points in Figure 8 represent the design values of the T1 reboiler power for the four schemes, with Scheme A’s low-boiling tower T1 reboiler power designed at 0.9804 MMkcal/h, Scheme B at 1.0767 MMkcal/h, Scheme C at 0.9178 MMkcal/h, and Scheme D at 0.9698 MMkcal/h. Considering a safety margin of 20%, the safe operating range for the heat load of Scheme A’s low-boiling tower T1 reboiler is from 0 to 1.1765 MMkcal/h, for Scheme B it is from 0 to 1.2920 MMkcal/h, for Scheme C it is from 0 to 1.1014 MMkcal/h, and for Scheme D it is from 0 to 1.1638 MMkcal/h, which are the ranges defined by the safety threshold lines in the figure. In Figure 8a–d, the specific numerical values of the safety threshold lines are delineated as follows: Scheme A is marked at 1.1765 MMkcal/h, Scheme B at 1.2920 MMkcal/h, Scheme C at 1.1014 MMkcal/h, and Scheme D at 1.1638 MMkcal/h.
Analysis of the figures indicates that the heat duty trends of the low-boiling-point tower T1 reboiler for the four schemes are fundamentally similar in response to fluctuations in temperature and feed rate, yet specific parameters differ. This suggests that while there is a shared characteristic in how these schemes respond to changes in operating conditions, their degrees of optimization vary.
As the feed temperature increases, the reboiler heat duty for all four schemes decreases, contributing to enhanced system stability and safety. However, an increase in feed rate leads to a rise in the reboiler’s heat duty; if excessive, it may surpass the safety threshold, elevating accident risks. Specifically, when the temperature drops below 12 °C (with a deviation between −40% and −20%), the T1 reboiler power may exceed safety thresholds, compromising system safety. Thus, during the distillation process, the relative deviation of the feed temperature should be confined to the range of −20% to 40%. This range is delineated as the safe fluctuation band for the feed temperature, which is indicated in Figure 8a–d by the two critical points marked with arrows on the feed temperature line (in blue), spanning from 15 to 21 °C. Maintaining this range is crucial for ensuring the safe operation of the system. When the feed rate reaches 285.7368 kmol/h with a relative deviation of 20%, the T1 reboiler’s power hits the safety threshold. This underscores the importance of controlling the feed rate to prevent excessive thermal loads. Consequently, feed flow rate deviations should be maintained between −40% and 20%. However, an excessively low feed rate may compromise the quality of the distillation products. Therefore, in actual production, the relative deviation of the feed flow rate should be controlled within the range of 0 to 20%. This corresponds to the two critical points indicated by arrows on the feed flow rate line (in black) in Figure 8a–d, which are 238.1140 and 285.7368 kmol/h. This control is essential to ensure both product quality and process safety.
Comparative analysis shows that Schemes C and D exhibit lower heat loads for the T1 reboiler, indicating a focus on safety and stability in their design. This likely results from emphasis on operational condition control during optimization, thereby reducing potential safety risks (Table 3).
Table 3 illustrates that the optimized schemes reduce the condenser and reboiler heat load compared to the original distillation scheme, showing improvements in safety through the NSGA-III algorithm. Notably, Schemes C and D demonstrate a significant advantage in safety with lower heat loads. Under identical process parameters, these schemes minimize overheating risks, enhancing equipment safety and stability. Controlling heat load is crucial as overheating can lead to severe safety incidents such as equipment damage, leaks, or even explosions. Therefore, the lower heat load characteristics of Schemes C and D contribute significantly to production process safety.
The results provide direction for future process design and improvement. By optimizing the distillation schemes with the NSGA-III algorithm and incorporating safety assessments, the findings offer empirical support for safety optimization in distillation processes. Future designs can further focus on balancing safety and efficiency, fostering sustainable and environmentally friendly production.
In terms of sustainability, the optimized schemes aid environmental goals by reducing energy consumption and CO2 emissions. However, achieving these may confront economic objectives, as technological enhancements for safety and emissions reduction can incur substantial initial investments. Furthermore, improving safety could limit production capacity, thus affecting economic returns. Therefore, this paper utilizes the NSGA-III algorithm to optimize process parameters, aiming to reduce carbon emissions and improve operational safety without compromising yield. This approach seeks to balance environmental benefits, economic gains, and safety.

4.5. Extended Discussion on Sustainability

Following the analysis of current industrial applications, a more detailed consideration of sustainability is essential.
While the optimization of the distillation process has contributed to reducing CO2 emissions, a broader examination of sustainability is warranted. Beyond emissions, factors such as energy efficiency, water usage, and waste management are critical in assessing the overall environmental impact of chemical production. Reducing the heat load in reboilers and condensers not only lowers energy consumption but also decreases the cooling water requirements, reducing the strain on water resources in production. However, this optimization could introduce new challenges in waste heat recovery, which may necessitate further technological adaptations.
Moreover, the pursuit of environmental benefits must be balanced against economic and safety objectives. Technological upgrades to enhance safety and reduce emissions, while beneficial in the long term, require significant upfront capital investment. Additionally, stricter safety measures may limit production capacity, affecting short-term economic returns. This potential trade-off underscores the importance of adopting a holistic approach in process design, one that considers not only the immediate financial implications but also the long-term sustainability benefits.
Future process designs should integrate sustainability assessments as a core component, evaluating not only the environmental and economic outcomes but also the interplay between these factors and operational safety. By striking a balance between these objectives, it is possible to develop more sustainable, efficient, and safer production systems that meet both environmental and economic goals.

5. Conclusions

In this study, a sustainable, energy-efficient, and safer process design and multi-objective optimization approach has been proposed for the vinyl chloride distillation process. Building upon the actual vinyl chloride distillation process employed by enterprises, the NSGA-III algorithm is utilized to optimize key parameters within the distillation process. The optimized distillation schemes are analyzed and compared from the perspectives of economic viability, environmental impact, and safety. The results demonstrate the following:
(1)
Simulations revealed that fluctuations in feed temperature and flow rate significantly affect the heat load of condensers and reboilers. As the feed rate increases, the heat load of condensers T1 and T2, as well as the heat load of reboiler T1, exhibit a progressive increase, which may have a deleterious effect on the overall system safety. Fluctuations in the feed temperature have a minimal impact on the heat load of the condenser, with the primary effect being on the heat load of reboiler T1. As the feed temperature increases, the heat load of the reboiler decreases, which is clearly beneficial for enhancing the stability and safety of the entire system. Consequently, to ensure the safety and stability of the system, it is essential to appropriately control the variations in feed temperature and flow rate. It is recommended that the relative deviation of the feed temperature be controlled within the range of −20% to 40%, and the relative deviation of the feed flow rate be maintained between 0% and 20%.
(2)
The optimization results from NSGA-III demonstrate that when the evolutionary generation reaches 500, the rectification Schemes C and D exhibit superior performance in terms of environmental friendliness and economic efficiency, indicating that a higher number of iterations yields better optimization outcomes. Specifically, at an evolutionary generation of 500, the obtained optimization Schemes C and D stand out in reducing the TAC and CO2 emissions. Scheme C has the lowest CO2 emissions at 7.60 × 104 kg/year, with a comparatively low TAC of 3.21 × 105 USD/year; Scheme D has the lowest TAC at 3.16 × 105 USD/year, with relatively low CO2 emissions at 7.77 × 104 kg/year. Moreover, both schemes show lower heat loads in the condenser and reboiler during safety assessments, suggesting their potential advantages in safety and stability.
(3)
The economic assessment of the optimized scheme indicates that compared to the original process, the optimal Scheme D achieves a reduction of USD 14,000 in annual operating costs, while the optimal Scheme C reduces CO2 emissions by 10,400 kg/year. This demonstrates that by optimizing process parameters, it is possible to enhance economic benefits and reduce environmental impact without compromising product quality.
However, this study also has certain limitations. In actual industrial applications, the results may be influenced by a variety of complex factors. This research primarily focused on two parameters: temperature and flow rate. Future work could consider the optimization of a broader range of operational parameters.

Author Contributions

M.H.: Writing—original draft. L.Z.: Supervision. F.C.: Data curation. Y.J.: Resources. J.Z.: Writing—review and editing. P.W.: Writing—review and editing. J.G.: Data curation. X.L.: Writing—review and editing. L.W.: Data curation. All authors have read and agreed to the published version of the manuscript.

Funding

Funding for this work was provided by the Key R&D Projects of Xinjiang Uygur Autonomous Region, 2022B03004-3 and 2022B03004-1.

Data Availability Statement

The original contributions presented in the study are included in the article, further inquiries can be directed to the corresponding author.

Acknowledgments

We express our gratitude to Xinjiang Yihua Chemical Co., Ltd. for providing data support and to the Xinjiang Uygur Autonomous Region Academy of Safety Science and Technology.

Conflicts of Interest

Author Fei Chen and Yulong Jin were employed by the company Xinjiang Yihua Chemical Industry Co., Ltd. The remaining authors declare that the research was conducted in the absence of any commercial or financial relationships that could be construed as a potential conflict of interest.

Appendix A

Table A1. Simulation Results for Vinyl Chloride.
Table A1. Simulation Results for Vinyl Chloride.
PositionTemperature (°C)Pressure(kPa)Mole Flows (kmol/h)
FEED15.0227540238.1141
S-25.5213113.5804
Top of T1 tower32.2069525-
Bottom of T1 tower35.9472525.1463126.2005
T1-525-
T2-213-
Top of T2 tower5.5213113.5804
Bottom of T2 tower18.1294213.1475-
Table A2. Composition of Crude Vinyl Chloride.
Table A2. Composition of Crude Vinyl Chloride.
ComponentChemical FormulaMass Fraction
Vinyl ChlorideC2H3CL0.8200
AcetyleneC2H20.0163
DichloroethaneC2H4CL20.0125
OxygenO20.0058
Hydrochloric acidHCL0.0682
WaterH2O0.0026
NitrogenN20.0552
carbon monoxideCO0.0060
MethaneCH40.0134
Table A3. HAZOP Analysis Results.
Table A3. HAZOP Analysis Results.
NodeGuide WordDeviationReasonConsequencesProtective Measures
1Flow Too HighValve malfunction with high pump flow rateCausing an increase in the liquid level of the lower tower, which affects safe production.Install flow monitoring with a high flow alarm.
Too LowLow valve openingPotential leakage may occur.Install flow monitoring with a low flow alarm.
2TemperatureToo High Low-boiling-point tower base temperature is too high.Affects product quality.Arrange for patrol personnel to monitor in a timely manner.
Too LowThe temperature in the base of the low-boiling-point tower is too low.Affects safe production.The installation of a low-pressure audible and visual alarm device.
Too HighThe opening of the total condenser cooling water valve is small.Increase the load on the reboiler, affecting the quality of the monomer.Install temperature monitoring with a high temperature alarm
Too LowThe opening of the total condenser cooling water valve is large.Affecting the quality of the monomer.Install temperature monitoring with a low temperature alarm

References

  1. Jiang, X.; Zhu, B.; Zhu, M. An Overview on Recycling of Waste Poly (Vinyl Chloride). Green Chem. 2023. [Google Scholar] [CrossRef]
  2. Qin, J.; Zeng, S.; Wang, X.; Lin, C. Generation of micro (nano) plastics and migration of plastic additives from Poly (vinyl chloride) in water under radiation-free ambient conditions. Chemosphere 2022, 299, 134399. [Google Scholar] [CrossRef]
  3. Zhang, Y.; Wang, Q.; Yalikun, N.; Jiang, H.; Wang, H.; Wang, C.; Hu, D.; Hu, Y. Heterogeneous Catalytic Peroxide Oxidation Inducing Surface Reactions Toward Flotation Extraction of Hazardous Poly (Vinyl Chloride) from Waste Plastics. Ind. Eng. Chem. Res. 2023, 62, 15136–15147. [Google Scholar] [CrossRef]
  4. Lewandowski, K.; Skórczewska, K. A brief review of poly (vinyl chloride) (PVC) recycling. Polymers 2022, 14, 3035. [Google Scholar] [CrossRef] [PubMed]
  5. Moktadir, M.A.; Ali, S.M.; Kusi-Sarpong, S.; Shaikh, A.A. Assessing challenges for implementing Industry 4.0: Implications for process safety and environmental protection. Process Saf. Environ. Prot. 2018, 117, 730–741. [Google Scholar] [CrossRef]
  6. Kosnik, M.B.; Hauschild, M.Z.; Fantke, P. Toward assessing absolute environmental sustainability of chemical pollution. Environ. Sci. Technol. 2022, 56, 4776–4787. [Google Scholar] [CrossRef]
  7. Crawley, F.; Tyler, B. HAZOP: Guide to Best Practice; Elsevier: Amsterdam, The Netherlands, 2015. [Google Scholar]
  8. Rossing, N.L.; Lind, M.; Jensen, N.; Jørgensen, S.B. A functional HAZOP methodology. Comput. Chem. Eng. 2010, 34, 244–253. [Google Scholar] [CrossRef]
  9. Venkatasubramanian, V.; Vaidhyanathan, R. A knowledge-based framework for automating HAZOP analysis. AIChE J. 1994, 40, 496–505. [Google Scholar] [CrossRef]
  10. Švandová, Z.; Jelemenský, L.; Markoš, J.; Molnár, A. Steady states analysis and dynamic simulation as a complement in the HAZOP study of chemical reactors. Process Saf. Environ. Prot. 2005, 83, 463–471. [Google Scholar] [CrossRef]
  11. Janošovský, J.; Labovský, J.; Jelemenský, Ľ. Ammonia synthesis fundamentals for a model-based HAZOP study. Acta Chim. Slovaca 2015, 8, 5–10. [Google Scholar] [CrossRef][Green Version]
  12. Janošovský, J.; Danko, M.; Labovský, J.; Jelemenský, Ľ. The role of a commercial process simulator in computer aided HAZOP approach. Process Saf. Environ. Prot. 2017, 107, 12–21. [Google Scholar] [CrossRef]
  13. Chen, X.; Tao, G.; Zhang, L. Quantitative risk analysis of vinyl chloride distillation based on HAZOP and simulation. Chem. Ind. Eng. Prog. 2020, 39, 89–94. [Google Scholar] [CrossRef]
  14. Aquino-Gaspar, H.M.; Díaz-Ovalle, C.O.; López-Molina, A.; Conde-Mejía, C.; Valenzuela-Gómez, L.M. Incident analysis of the “Pajaritos” petrochemical complex. J. Loss Prev. Process Ind. 2021, 70, 104404. [Google Scholar] [CrossRef]
  15. Kummer, A.; Varga, T. Process simulator assisted framework to support process safety analysis. J. Loss Prev. Process Ind. 2019, 58, 22–29. [Google Scholar] [CrossRef]
  16. Jeerawongsuntorn, C.; Sainyamsatit, N.; Srinophakun, T. Integration of safety instrumented system with automated HAZOP analysis: An application for continuous biodiesel production. J. Loss Prev. Process Ind. 2011, 24, 412–419. [Google Scholar] [CrossRef]
  17. Ramzan, N.; Compart, F.; Witt, W. Methodology for the generation and evaluation of safety system alternatives based on extended Hazop. Process Saf. Prog. 2007, 26, 35–42. [Google Scholar] [CrossRef]
  18. Nguyen, N.; Demirel, Y. Retrofit of distillation columns in biodiesel production plants. Energy 2010, 35, 1625–1632. [Google Scholar] [CrossRef]
  19. Araújo, A.C.B.; Vasconcelos, L.G.S.; Fossy, M.F.; Brito, R.P. Exergetic and economic analysis of an industrial distillation column. Braz. J. Chem. Eng. 2007, 24, 461–469. [Google Scholar] [CrossRef]
  20. Demirel, Y. Assessment of thermodynamic performances for distillation columns. Int. J. Exergy 2006, 3, 345–361. [Google Scholar] [CrossRef]
  21. Singh, D.K.; Tirkey, J.V. Modeling and multi-objective optimization of variable air gasification performance parameters using Syzygium cumini biomass by integrating ASPEN Plus with Response surface methodology (RSM). Int. J. Hydrogen Energy 2021, 46, 18816–18831. [Google Scholar] [CrossRef]
  22. De, R.; Bhartiya, S.; Shastri, Y. Multi-objective optimization of integrated biodiesel production and separation system. Fuel 2019, 243, 519–532. [Google Scholar] [CrossRef]
  23. Gao, S.; Sun, J.; Gao, X. Soft-sensor modeling of rectification of vinyl chloride based on improved PSO-RBF neural network. In Proceedings of the 2012 24th Chinese Control and Decision Conference (CCDC), Taiyuan, China, 23–25 May 2012; IEEE: New York, NY, USA, 2012; pp. 1122–1126. [Google Scholar] [CrossRef]
  24. Zhou, Y.; Su, C. Multi-Objective Optimization Based on the Improved NSGA-II Zlgorithm for Vinyl Chloride Rectification Process. J. Liaoning Petrochem. Univ. 2016, 36, 52–59. [Google Scholar] [CrossRef]
  25. Deb, K.; Pratap, A.; Agarwal, S.; Meyarivan, T. A fast and elitist multiobjective genetic algorithm: NSGA-II. IEEE Trans. Evol. Comput. 2002, 6, 182–197. [Google Scholar] [CrossRef]
  26. Zong, H.; Cheng, A.; Wang, H.; Yang, Z.; Ruan, X.; Jiang, X.; He, G.; Xiao, W. Multi-objective optimization of a hydrogen production process for polymer membrane coupled with electrochemical hydrogen pump from hydrogen-doped natural gas by NSGA-II. Sep. Purif. Technol. 2024, 349, 127821. [Google Scholar] [CrossRef]
  27. Wu, L.; Lu, K.; Li, Q.; Xu, L.; Luo, Y.; Yuan, X. Energy-saving design and optimization of pressure-swing-assisted ternary heterogenous azeotropic distillations. Chin. J. Chem. Eng. 2024, 68, 1–7. [Google Scholar] [CrossRef]
  28. Yin, T.; Zhang, Q.; Chen, Y.; Liu, C.; Xiang, W. Process design and optimization of the reactive-extractive distillation process assisted with reaction heat recovery via side vapor recompression for the separation of water-containing ternary azeotropic mixture. Process Saf. Environ. Prot. 2024, 184, 1041–1056. [Google Scholar] [CrossRef]
  29. Li, H.; Li, C.; Yan, M.; Wang, Y.; Zhu, Z.; Cui, P.; Li, X.; Lu, Y. Comprehensive analysis and energy efficient process design for separation of four high purity components from organosilicon system. Process Saf. Environ. Prot. 2023, 170, 229–240. [Google Scholar] [CrossRef]
  30. Du, P.; Wang, X.; Tian, Z.; Chen, J.; Ding, X. Simulation, optimization and control of the process of synthesis of ethyl propionate by reactive distillation. Chem. Eng. Process.-Process Intensif. 2022, 172, 108779. [Google Scholar] [CrossRef]
  31. He, Q.; Li, Q.; Tan, Y.; Dong, L.; Feng, Z. Multi-objective optimization of sustainable extractive dividing-wall column process for separating methanol and trimethoxysilane azeotrope mixture. Chem. Eng. Process.-Process Intensif. 2022, 181, 109141. [Google Scholar] [CrossRef]
  32. Wang, Y.; Wang, W.; Li, H.; Kou, P.; Wang, M.; Wang, Y.; Zhu, Z.; Li, X.; Zhong, L.; Cui, P. A novel sustainable separation process based on special azeotropic behavior of benzene/ethanol/butanone: Process design and multi-performance evaluation. Sep. Purif. Technol. 2024, 334, 125933. [Google Scholar] [CrossRef]
  33. Wang, S.; Wang, Y.; Sun, K.; Xu, Q.; Wang, Y.; Zhang, F.; Shan, B. Sustainable and efficient-saving process synthesis design for separating methanol-water-toluene via extractive distillation based on multi-objective optimization. Process Saf. Environ. Prot. 2024, 190, 262–276. [Google Scholar] [CrossRef]
  34. Xu, Z.; Ding, Y.; Ye, Q.; Li, J.; Wu, H.; Pan, J. Novel energy-efficient design of side-stream extractive distillation process with intermediate reboiler for separating multi-azeotropic mixture based on multi-objective optimization. Chem. Eng. Sci. 2024, 295, 120138. [Google Scholar] [CrossRef]
  35. Zongyao, L.I.; Huang, X.; Wang, L.; Chen, Y.; Shi, T.; Shen, W. Sustainable and efficient separation of ternary multi-azeotropic mixture butanone/ethanol/water based on the intensified reactive extractive distillation: Process design, multi-objective optimization, and multi-criteria decision-making. Sep. Purif. Technol. 2024, 355, 129694. [Google Scholar] [CrossRef]
  36. Wang, Y.; Wang, S.; Shan, B.; Ma, Y.; Xu, Q.; Wang, Y.; Cui, P.; Zhang, F. Sustainable process design and multi-objective optimization of efficient and energy-saving separation of xylene isomers via extractive distillation based on double extractants. Sep. Purif. Technol. 2025, 354, 128899. [Google Scholar] [CrossRef]
  37. Shan, B.; Wang, S.; Xu, Q.; Wang, Y.; Cui, P.; Zhang, F. Design and multi-objective optimization of hybrid extractive distillation process for separating the toluene-methanol-water ternary azeotrope. Sep. Purif. Technol. 2024, 336, 126335. [Google Scholar] [CrossRef]
  38. Yang, L.; Chen, Y.; Wang, J.; Luo, Y.; Zhou, P.; Zhang, X. The Simulation and Optimization of the Tetrafluoroethylene Rectification Process. Separations 2024, 11, 37. [Google Scholar] [CrossRef]
  39. Shen, Y.; Zhao, F.; Qiu, X.; Zhang, H.; Yao, D.; Wang, S.; Zhu, Z.; Yang, J.; Cui, P.; Wang, Y.; et al. Economic, thermodynamic, and environmental analysis and comparison of the synthesis process of butyl acetate. Ind. Eng. Chem. Res. 2020, 59, 21869–21881. [Google Scholar] [CrossRef]
  40. Tian, X.; Wang, R.; Wang, H.; Li, C.; Liu, J. Energy-saving extractive distillation processes design and optimization for the separation of ethyl acetate and n-heptane azeotrope. Fuel 2025, 379, 132974. [Google Scholar] [CrossRef]
  41. Gao, X.; Yang, Y.; Chen, M.; Cheng, Q.; Lu, K. Novel heat pump reactive distillation and dividing-wall column reactive distillation processes for synthesizing isopropyl acetate to save TAC and reduce CO2 emissions. Chem. Eng. Process.-Process Intensif. 2022, 171, 108746. [Google Scholar] [CrossRef]
  42. Li, M.; Peng, J.; Cheng, Y.; Zhang, Z.; Ma, Y.; Gao, J. Dual-objective optimization and energy efficiency enhancement of natural decantation assisted extractive distillation process for n-butanol/isobutanol/water separation. Sep. Purif. Technol. 2024, 336, 126336. [Google Scholar] [CrossRef]
  43. Cui, Z.; Chang, Y.; Zhang, J.; Cai, X.; Zhang, W. Improved NSGA-III with selection-and-elimination operator. Swarm Evol. Comput. 2019, 49, 23–33. [Google Scholar] [CrossRef]
  44. Pandit, S.R.; Jana, A.K. Transforming conventional distillation sequence to dividing wall column: Minimizing cost, energy usage and environmental impact through genetic algorithm. Sep. Purif. Technol. 2022, 297, 121437. [Google Scholar] [CrossRef]
  45. Chen, Z.; Zhang, Y.; Zhou, M.; Yin, K.; Zhou, Y.; Cui, P.; Zhu, Z.; Zhong, L.; Wang, Y. Mechanism analysis and process optimization of acetone–methanol azeotrope separation using 1-ethyl-3-methylimidazolium acetate based mixed extractants. J. Clean. Prod. 2022, 379, 134687. [Google Scholar] [CrossRef]
  46. Zhao, W.; Cheng, H.; Xu, W.; Zhong, J.; Guo, C.; Zhu, Z.; Wang, Y.; Cui, P. Process comparison and performance evaluation of different entrainers for pressure swing extractive distillation refining gasoline additives based on multi-objective optimization and process intensification. Sep. Purif. Technol. 2025, 353, 128630. [Google Scholar] [CrossRef]
  47. Jin, Z.; Liu, H.; Dai, Z.; Dai, Y. Novel Heterogeneous Extraction Methods for Adiponitrile Electrolyte Recycling. Ind. Eng. Chem. Res. 2024, 63, 11591–11601. [Google Scholar] [CrossRef]
  48. Yang, A.; Wang, W.; Sun, S.; Shi, T.; Ren, J.; Bai, M.; Shen, W. Sustainable design and multi-objective optimization of eco-efficient extractive distillation with single and double entrainer (s) for separating the ternary azeotropic mixture tetrahydrofuran/ethanol/methanol. Sep. Purif. Technol. 2022, 285, 120413. [Google Scholar] [CrossRef]
Figure 1. Aspen Plus simulation of the vinyl chloride distillation process.
Figure 1. Aspen Plus simulation of the vinyl chloride distillation process.
Processes 12 02413 g001
Figure 2. Variation of Heat Load in the Original Process T1 and T2 Condensers and T1 Reboiler with Fluctuations in Temperature and Feed Rate: (a) T1 Condenser, (b) T2 Condensers, (c) T1 Reboiler.
Figure 2. Variation of Heat Load in the Original Process T1 and T2 Condensers and T1 Reboiler with Fluctuations in Temperature and Feed Rate: (a) T1 Condenser, (b) T2 Condensers, (c) T1 Reboiler.
Processes 12 02413 g002
Figure 3. The Flowchart of the Optimization Process for the Vinyl Chloride Distillation Operation.
Figure 3. The Flowchart of the Optimization Process for the Vinyl Chloride Distillation Operation.
Processes 12 02413 g003
Figure 4. Pareto Front Solutions of Optimization Results.
Figure 4. Pareto Front Solutions of Optimization Results.
Processes 12 02413 g004
Figure 5. Comparison of TAC and CO2 Emission Profile.
Figure 5. Comparison of TAC and CO2 Emission Profile.
Processes 12 02413 g005
Figure 6. Variation of Heat Load in the Low-Boiling Tower T1 Condenser with Temperature and Feed Rate for Four Different Schemes. Subfigures (ad) correspond to the changes in the heat load for Scheme A, B, C, and D from Table 2, respectively.
Figure 6. Variation of Heat Load in the Low-Boiling Tower T1 Condenser with Temperature and Feed Rate for Four Different Schemes. Subfigures (ad) correspond to the changes in the heat load for Scheme A, B, C, and D from Table 2, respectively.
Processes 12 02413 g006
Figure 7. Variation of Heat Load in the High-Boiling Tower T2 Condenser with Temperature and Feed Rate across Four Schemes. Subfigures (ad) correspond to the changes in the heat load for Scheme A, B, C, and D from Table 2, respectively.
Figure 7. Variation of Heat Load in the High-Boiling Tower T2 Condenser with Temperature and Feed Rate across Four Schemes. Subfigures (ad) correspond to the changes in the heat load for Scheme A, B, C, and D from Table 2, respectively.
Processes 12 02413 g007
Figure 8. Variation of Heat Load in the Reboiler of the Low-Boiling Tower T1 with Temperature and Feed Rate across Four Schemes. Subfigures (ad) correspond to the changes in the heat load for Scheme A, B, C, and D from Table 2, respectively.
Figure 8. Variation of Heat Load in the Reboiler of the Low-Boiling Tower T1 with Temperature and Feed Rate across Four Schemes. Subfigures (ad) correspond to the changes in the heat load for Scheme A, B, C, and D from Table 2, respectively.
Processes 12 02413 g008
Table 1. Optimization Variables and the Range.
Table 1. Optimization Variables and the Range.
Optimization VariablesRange
The number of trays in the low-boiling tower.30~36
Feed position of column the low-boiling tower 2~29
Reflux ration of column the low-boiling tower0.1~1.5
Distillate to feed ratio of column the low-boiling tower0.46~0.48
The number of trays in the high-boiling tower.35~42
Feed position of column the high-boiling tower 2~34
Reflux ration of column the high-boiling tower0.1~1.5
Distillate to feed ratio of column the high-boiling tower0.89~0.91
Table 2. Distillation Schemes that Meet the Purity Requirements of Vinyl Chloride.
Table 2. Distillation Schemes that Meet the Purity Requirements of Vinyl Chloride.
SchemeThe Low-Boiling TowerThe High-Boiling Tower
Number of TraysFeed PositionReflux RationDistillate to Feed RatioNumber of TraysFeed PositionReflux RationDistillate to Feed Ratio
A39190.71400.462041350.33200.8930
B39280.87600.470042250.28700.8960
C40230.55400.47184190.39030.8930
D38230.69150.462340270.32480.9023
Table 3. Safe Operating Ranges for Heat Loads of T1 and T2 Condensers and Reboilers.
Table 3. Safe Operating Ranges for Heat Loads of T1 and T2 Condensers and Reboilers.
OriginalABCD
T1 Condenser Heat Load/MMkcal/h −0.5428~0 −0.4234~0 −0.5284~0 −0.3354~0 −0.4102~0
T2 Condenser Heat Load/MMkcal/h−0.3165~0 −0.2300~0 −0.1966~0 −0.2655~0 −0.2273~0
T1 Reboiler Heat Load/MMkcal/h0~1.30640~1.17652 0~1.29200~1.1014 0~1.1638
Disclaimer/Publisher’s Note: The statements, opinions and data contained in all publications are solely those of the individual author(s) and contributor(s) and not of MDPI and/or the editor(s). MDPI and/or the editor(s) disclaim responsibility for any injury to people or property resulting from any ideas, methods, instructions or products referred to in the content.

Share and Cite

MDPI and ACS Style

He, M.; Chen, F.; Wen, P.; Jin, Y.; Zhao, J.; Zhang, L.; Gao, J.; Lu, X.; Wan, L. Vinyl Chloride Distillation Process Simulation Optimization Evaluation: Optimization Based on NSGA-III Algorithm and Quantitative Risk Analysis. Processes 2024, 12, 2413. https://doi.org/10.3390/pr12112413

AMA Style

He M, Chen F, Wen P, Jin Y, Zhao J, Zhang L, Gao J, Lu X, Wan L. Vinyl Chloride Distillation Process Simulation Optimization Evaluation: Optimization Based on NSGA-III Algorithm and Quantitative Risk Analysis. Processes. 2024; 12(11):2413. https://doi.org/10.3390/pr12112413

Chicago/Turabian Style

He, Miao, Fei Chen, Pengtao Wen, Yulong Jin, Jun Zhao, Li Zhang, Jinhao Gao, Xilei Lu, and Lining Wan. 2024. "Vinyl Chloride Distillation Process Simulation Optimization Evaluation: Optimization Based on NSGA-III Algorithm and Quantitative Risk Analysis" Processes 12, no. 11: 2413. https://doi.org/10.3390/pr12112413

APA Style

He, M., Chen, F., Wen, P., Jin, Y., Zhao, J., Zhang, L., Gao, J., Lu, X., & Wan, L. (2024). Vinyl Chloride Distillation Process Simulation Optimization Evaluation: Optimization Based on NSGA-III Algorithm and Quantitative Risk Analysis. Processes, 12(11), 2413. https://doi.org/10.3390/pr12112413

Note that from the first issue of 2016, this journal uses article numbers instead of page numbers. See further details here.

Article Metrics

Back to TopTop