Hamamelitannin’s Antioxidant Effect and Its Inhibition Capability on α-Glycosidase, Carbonic Anhydrase, Acetylcholinesterase, and Butyrylcholinesterase Enzymes
Abstract
1. Introduction
2. Materials and Methods
2.1. Chemicals
2.2. Fe3+ Reducing Ability Assay
2.3. Cu2+ Reducing Ability Assay
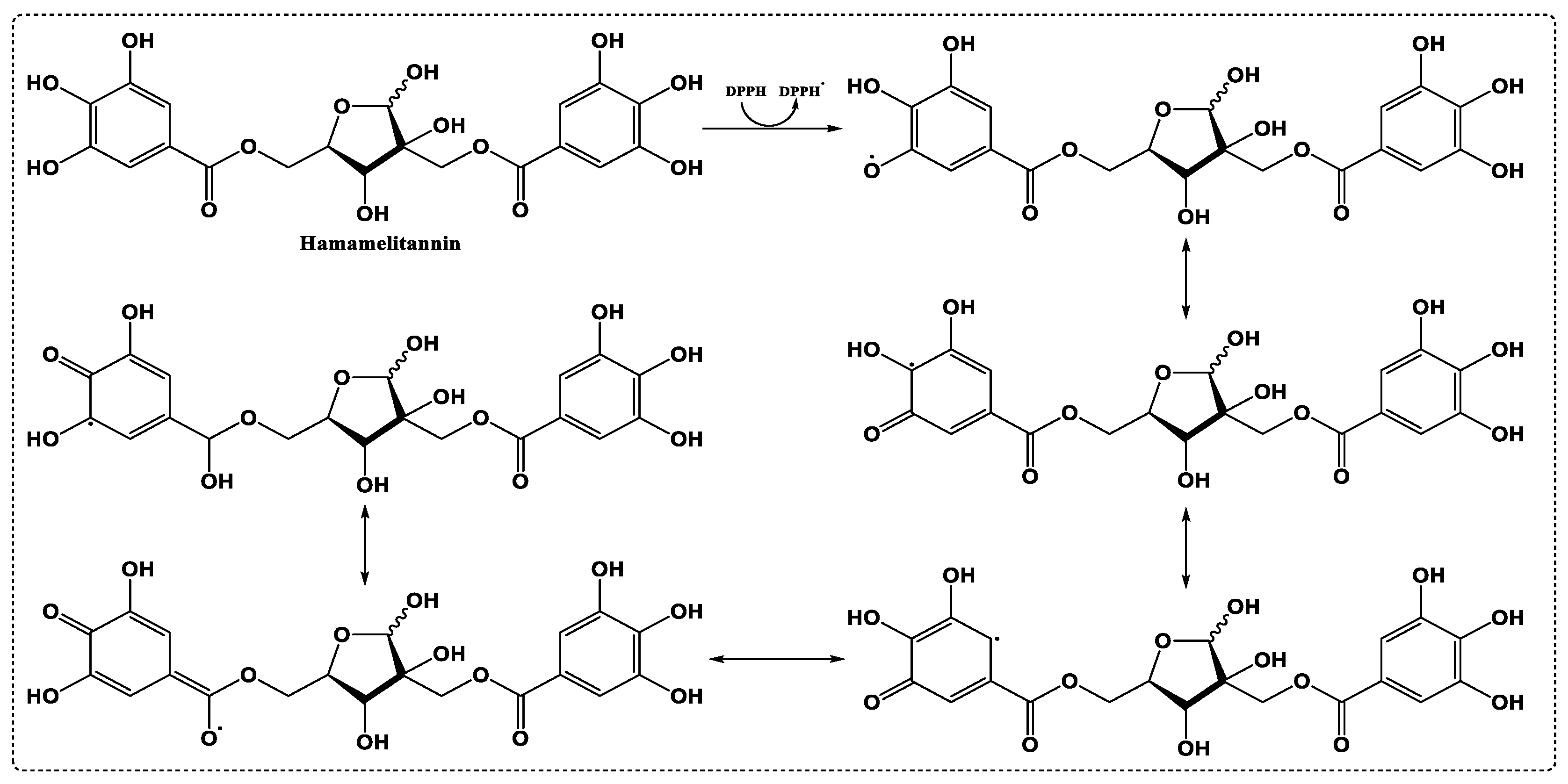
2.4. DPPH Radical Scavenging Activity
2.5. ABTS Radical Scavenging Activity
2.6. DMPD Radical Scavenging Activity
2.7. Anticholinergic Assay
2.8. Antidiabetic Assay
2.9. Antiglaucoma Assay
2.10. IC50 Values Determination
2.11. Statistical Analysis
3. Results
| Compounds | IC50 (μg/mL) | Ki (nM) | |||||||||||||
|---|---|---|---|---|---|---|---|---|---|---|---|---|---|---|---|
| hCA I | r2 | hCA II | r2 | AChE | r2 | BChE | r2 | α-Glycosidase | r2 | hCA I | hCA II | AChE | BChE | α-Glycosidase | |
| Hamamelitannin | 20.94 | 0.9498 | 17.08 | 0.9600 | 7.10 | 0.9844 | 3.23 | 0.9487 | 22.36 | 0.9619 | 10.18 ± 1.45 | 18.26 ± 1.80 | 7.40 ± 0.60 | 1.99 ± 0.15 | 25.79 ± 9.25 |
| AZA * | 16.58 | 0.9887 | 8.37 | 0.9825 | - | - | - | - | - | - | 12.58 ± 0.50 | 4.41 ± 0.35 | - | - | - |
| TAC ** | - | - | - | 5.97 | 0.9706 | 8.37 | 0.9846 | - | - | - | - | 2.43 ± 0.92 | 5.99 ± 1.79 | - | |
| Acarbose *** | - | - | - | - | - | - | 22,800 | - | - | - | - | - | - | ||
4. Discussion
5. Conclusions
Author Contributions
Funding
Data Availability Statement
Acknowledgments
Conflicts of Interest
References
- Cobrado, L.; Azevedo, M.M.; Silva-Dias, A.; Ramos, J.P.; Pina-Vaz, C.; Rodrigues, A.G. Cerium, chitosan and hamamelitannin as novel biofilm inhibitors? J. Antimicrob. Chemother. 2012, 67, 1159–1162. [Google Scholar] [CrossRef] [PubMed]
- Theisen, L.L.; Erdelmeier, C.A.J.; Spoden, G.A.; Boukhallouk, F.; Sausy, A.; Florin, L.; Muller, C.P. Tannins from Hamamelis virginiana bark extract: Characterization and improvement of the antiviral efficacy against influenza a virus and human papilloma virus. PLoS ONE 2014, 9, e88062. [Google Scholar] [CrossRef]
- Yang, Q.; Chen, X.; Li, J.; Pei, Z.; Chen, Y.; Liu, P.; Yu, Z.; Liu, Y.; Li, G. HB26, a Member of HD-Zip I Subfamily, is involved in the regulation of hydrolysable tannin biosynthesis in the cupules of Quercus variabilis by transactivation of UGT84A13. Ind. Crops Prod. 2023, 200, 116866. [Google Scholar] [CrossRef]
- Vermote, A.; Brackman, G.; Risseeuw, M.D.P.; Vanhoutte, B.; Cos, P.; Van Hecke, K.; Breyne, K.; Meyer, E.; Coenye, T.; Van Calenbergh, S. Hamamelitannin analogues that modulate quorum sensing as potentiators of antibiotics against Staphylococcus aureus. Angew. Chem. Int. Ed. 2016, 55, 6551–6555. [Google Scholar] [CrossRef] [PubMed]
- Piazza, S.; Martinelli, G.; Vrhovsek, U.; Masuero, D.; Fumagalli, M.; Magnavacca, A.; Pozzoli, C.; Canilli, L.; Terno, M.; Angarano, M.; et al. Anti-inflammatory and anti-acne effects of Hamamelis virginiana bark in human keratinocytes. Antioxidants 2022, 11, 1119. [Google Scholar] [CrossRef] [PubMed]
- Rasooly, R.; Molnar, A.; Choi, H.Y.; Do, P.; Racicot, K.; Apostolidis, E. In-vitro inhibition of staphylococcal pathogenesis by witch-hazel and green tea extracts. Antibiotics 2019, 8, 244. [Google Scholar] [CrossRef]
- Habtemariam, S. Hamamelitannin from Hamamelis virginiana inhibits the tumour necrosis factor-α (TNF)-induced endothelial cell death in vitro. Toxicon 2002, 40, 83–88. [Google Scholar] [CrossRef]
- Piazza, S.; Martinelli, G.; Magnavacca, A.; Fumagalli, M.; Pozzoli, C.; Terno, M.; Canilli, L.; Angarano, M.; Maranta, N.; Dell’Agli, M.; et al. Unveiling the ability of witch hazel (Hamamelis virginiana L.) bark extract to impair keratinocyte inflammatory cascade typical of atopic eczema. Int. J. Mol. Sci. 2022, 23, 9279. [Google Scholar] [CrossRef]
- Gülçin, İ.; Sat, I.G.; Beydemir, S.; Küfrevioglu, Ö.I. Evaluation of the in vitro antioxidant properties of extracts of broccoli (Brassica oleracea L.). Ital. J. Food Sci. 2004, 16, 17–30. [Google Scholar]
- Cakmakcı, S.; Topdas, E.F.; Kalın, P.; Han, H.; Sekerci, P.; Polat Kose, L.; Gülçin, İ. Antioxidant capacity and functionality of oleaster (Elaeagnus angustifolia L.) flour and crust in a new kind of fruity ice cream. Int. J. Food Sci. Technol. 2015, 50, 472–481. [Google Scholar] [CrossRef]
- Gulcin, I.; Goren, A.C.; Taslimi, P.; Alwasel, S.H.; Kilic, O.; Bursal, E. Anticholinergic, antidiabetic and antioxidant activities of Anatolian pennyroyal (Mentha pulegium)-Analysis of its polyphenol contents by LC-MS/MS. Biocat. Agric. Biotechnol. 2020, 23, 101441. [Google Scholar] [CrossRef]
- Akyuz, M.; Yabo-Dambagi, L.; Kilic, T.; Cakir, A. Antidiabetic, neuroprotective and antioxidant potentials of different parts of Pistacia terebinthus fruits. S. Afr. J. Bot. 2022, 147, 443–456. [Google Scholar] [CrossRef]
- Baccari, W.; Saidi, I.; Znati, M.; Mustafa, A.M.; Caprioli, G.; Harrath, A.H.; Ben Jannet, H. HPLC-MS/MS analysis, antioxidant and α-amylase inhibitory activities of the endemic plant Ferula tunetana using in vitro and in silico methods. Process Biochem. 2023, 129, 230–240. [Google Scholar] [CrossRef]
- Thapa, A.; Carroll, N.J. Dietary modulation of oxidative stress in Alzheimer’s disease. Int. J. Mol. Sci. 2017, 18, 1583. [Google Scholar] [CrossRef]
- Li, K.; Fan, H.; Yin, P.; Yang, L.; Xue, Q.; Li, X.; Sun, L.; Liu, Y. Structure-activity relationship of eight high content flavonoids analyzed with a preliminary assign-score method and their contribution to antioxidant ability of flavonoids-rich extract from Scutellaria baicalensis shoots. Arab. J. Chem. 2018, 11, 159–170. [Google Scholar] [CrossRef]
- Tohma, H.; Koksal, E.; Kılıc, O.; Alan, Y.; Yılmaz, M.A.; Gulcin, I.; Bursal, E.; Alwasel, S.H. RP-HPLC/MS/MS analysis of the phenolic compounds, antioxidant and antimicrobial activities of Salvia L. species. Antioxidants 2016, 5, 38. [Google Scholar] [CrossRef]
- Mota, J.C.; Almeida, P.P.; Freitas, M.Q.; Stockler-Pinto, M.B.; Guimaraes, J.T. Far from being a simple question: The complexity between in vitro and in vivo responses from nutrients and bioactive compounds with antioxidant potential. Food Chem. 2023, 402, 134351. [Google Scholar] [CrossRef]
- Hatamnia, A.A.; Abbaspour, N.; Darvishzadeh, R. Antioxidant activity and phenolic profile of different parts of bene (Pistacia atlantica Subsp. Kurdica) fruits. Food Chem. 2014, 145, 306–311. [Google Scholar] [CrossRef]
- Bursal, E.; Taslimi, P.; Gören, A.C.; Gülçin, İ. Assessments of anticholinergic, antidiabetic, antioxidant activities and phenolic content of Stachys annua. Biocatal. Agric Biotechnol. 2020, 28, 101711. [Google Scholar] [CrossRef]
- Polat Kose, L.; Gulcin, I. Evaluation of the antioxidant and antiradical properties of some phyto and mammalian lignans. Molecules 2021, 26, 7099. [Google Scholar] [CrossRef]
- Zengin, G.; Terzić, M.; Abul, N.; Gülçin, İ.; Koyuncu, İ.; Basarali, M.K.; Dordevic, T.; Cziaky, Z.; Jeko, J. A multidimensional study for design functional foods: Chemical profiling, antioxidant potential, enzyme inhibition, and cytotoxic effects of Alkanna tubulosa extracts. Food Biosci. 2024, 60, 104280. [Google Scholar] [CrossRef]
- Świątek, Ł.; Sieniawska, E.; Sinan, K.I.; Zengin, G.; Boguszewska, A.; Hryć, B.; Bene, K.; Polz-Dacewicz, M.; Dall’Acqua, S. Chemical characterization of different extracts of Justicia secunda Vahl and determination of their anti-oxidant, anti-enzymatic, anti-viral, and cytotoxic properties. Antioxidants 2023, 12, 509. [Google Scholar] [CrossRef] [PubMed]
- Polat Köse, L.; Gülçin, İ.; Gören, A.C.; Namiesnik, J.; Martinez-Ayala, A.L.; Gorinstein, S. LC-MS/MS analysis, antioxidant and anticholinergic properties of galanga (Alpinia officinarum Hance) rhizomes. Ind. Crops Prod. 2015, 74, 712–721. [Google Scholar] [CrossRef]
- Nowicka, P.; Wojdyło, A.; Laskowski, P. Inhibitory potential against digestive enzymes linked to obesity and type 2 diabetes and content of bioactive compounds in 20 cultivars of the peach fruit grown in Poland. Plant Foods Hum. Nutr. 2018, 73, 314–320. [Google Scholar] [CrossRef]
- Ahmad, S.; Alouffi, S.; Shahab, U.; Binsaleh, N.K.; Ghoniem, M.E.; Akasha, R.; Kaleem Ahmad, M.; Ahmad, N.; Waiz, M.; Salman Khan, M. Antioxidant, α-amylase and acetylcholinesterase inhibitory potential of Mazus pumilus (Japanese Mazus) extract: An in-vitro and in-silico study. Arab. J. Chem. 2024, 17, 105441. [Google Scholar] [CrossRef]
- Güven, L.; Can, H.; Ertürk, A.; Miloğlu, F.D.; Koca, M.; İnce, F.; Gülçin, İ. Comprehensive metabolic profiling of Thymus canoviridis (Endemic) and Thymus pubescens Var. Pubescens using UPLC-MS/MS and evaluation of their antioxidant activities, enzyme inhibition abilities, and molecular docking studies. S. Afr. J. Bot. 2024, 165, 478–493. [Google Scholar] [CrossRef]
- Erdemir, F.; Barut Celepci, D.; Aktaş, A.; Taslimi, P.; Gök, Y.; Karabıyık, H.; Gülçin, İ. 2-Hydroxyethyl substituted NHC precursors: Synthesis, characterization, crystal structure and carbonic anhydrase, α-glycosidase, butyrylcholinesterase, and acetylcholinesterase inhibitory properties. J. Mol. Struct. 2018, 1155, 797–806. [Google Scholar] [CrossRef]
- Ren, J.; Dai, J.; Chen, Y.; Wang, Z.; Sha, R.; Mao, J. Physiochemical characterization and ameliorative effect of rice resistant starch modified by heat-stable α-amylase and glucoamylase on the gut microbial community in T2DM mice. Food Funct. 2024, 15, 5596–5612. [Google Scholar] [CrossRef]
- Zhao, X.; Zhang, Y.; Yang, Y.; Pan, J. Diabetes-related avoidable hospitalisations and its relationship with primary healthcare resourcing in China: A cross-sectional study from Sichuan Province. Health Soc. Care Community 2022, 30, e1143–e1156. [Google Scholar] [CrossRef]
- Kaya, R.; Taslimi, P.; Naldan, M.E.; Gülçin, İ. The impacts of some sedative drugs on α-glycosidase, acetylcholinesterase and butyrylcholinesterase enzymes-Potential drugs for some metabolic diseases. Lett. Drug Des. Discov. 2019, 16, 592–596. [Google Scholar] [CrossRef]
- Demir, Y.; Durmaz, L.; Taslimi, P.; Gulçin, İ. Antidiabetic properties of dietary phenolic compounds: Inhibition effects on α-amylase, aldose reductase, and α-glycosidase. Biotechnol. Appl. Biochem. 2019, 66, 781–786. [Google Scholar] [CrossRef] [PubMed]
- Alugoju, P.; Krishna Swamy, V.K.D.; Anthikapalli, N.V.A.; Tencomnao, T. Health benefits of astaxanthin against age-related diseases of multiple organs: A comprehensive review. Crit. Rev. Food Sci. Nutr. 2022, 63, 10709–10774. [Google Scholar] [CrossRef] [PubMed]
- Bal, S.; Demirci, O.; Akta¸s, A.; ¸Sen, B.; Taslimi, P.; Akta¸s, A.; Gök, Y.; Aygün, M.; Gulcin, I. PEPPSI type Pd(II)NHC complexes bearing Chloro-/fluorobenzyl group: Synthesis, characterization, crystal structures, α-glycosidase and acetylcholinesterase inhibitory properties. Polyhedron 2021, 198, 115060. [Google Scholar] [CrossRef]
- Lolak, N.; Akocak, S.; Turkes, C.; Taslimi, P.; Isık, M.; Beydemir, S.; Gulcin, I.; Durgun, M. Synthesis, characterization, inhibition effects, and molecular docking studies as acetylcholinesterase, α-glycosidase, and carbonic anhydrase inhibitors of novel benzenesulfonamides incorporating 1,3,5-triazine structural motifs. Bioorg. Chem. 2020, 100, 103897. [Google Scholar] [CrossRef]
- do Nascimento, F.M.G.; Marques, S.P.D.; Trevisan, M.T.S.; Owen, R.W.; Pereira, L.R.; Lima, T.C.; de Sousa, A.F.; Maia, C.E.G. Inhibitory capacity of extracts and main constituents of hop flowers. Future J. Pharm. Sci. 2023, 9, 111. [Google Scholar] [CrossRef]
- Gulçin, İ.; Taslimi, P.; Aygün, A.; Sadeghian, N.; Bastem, E.; Kufrevioglu, O.I.; Turkan, F.; Şen, F. Antidiabetic and antiparasitic potentials: Inhibition effects of some natural antioxidant compounds on α-glycosidase, α-amylase and human glutathione s-transferase enzymes. Int. J. Biol. Macromol. 2018, 119, 741–746. [Google Scholar] [CrossRef]
- Akocak, S.; Taslimi, P.; Lolak, N.; Işık, M.; Durgun, M.; Budak, Y.; Türkeş, C.; Gülçin, İ.; Beydemir, Ş. Synthesis, Characterization, and inhibition study of novel substituted phenylureido sulfaguanidine derivatives as α-glycosidase and cholinesterase inhibitors. Chem. Biodivers. 2021, 18, e2000958. [Google Scholar] [CrossRef]
- Miranda Pedroso, T.F.d.; Bonamigo, T.R.; da Silva, J.; Vasconcelos, P.; Félix, J.M.; Cardoso, C.A.L.; Souza, R.I.C.; dos Santos, A.C.; Volobuff, C.R.F.; Formagio, A.S.N.; et al. Chemical constituents of Cochlospermum regium (Schrank) Pilg. Root and its antioxidant, antidiabetic, antiglycation, and anticholinesterase effects in Wistar rats. Biomed. Pharmacother. 2019, 111, 1383–1392. [Google Scholar] [CrossRef]
- Ntemafack, A.; Ayoub, M.; Hassan, Q.P.; Gandhi, S.G. A Systematic review of pharmacological potential of phytochemicals from Rumex abyssinicus Jacq. S. Afr. J. Bot. 2023, 154, 11–25. [Google Scholar] [CrossRef]
- Alam, F.; Shafique, Z.; Amjad, S.T.; Bin Asad, M.H.H. Enzymes inhibitors from natural sources with antidiabetic activity: A review. Phytother. Res. 2019, 33, 41–54. [Google Scholar] [CrossRef]
- Rana, A.; Samtiya, M.; Dhewa, T.; Mishra, V.; Aluko, R.E. Health benefits of polyphenols: A concise review. J. Food Biochem. 2022, 46, e14264. [Google Scholar] [CrossRef] [PubMed]
- Skrypnik, L.; Grigorev, N.; Michailov, D.; Antipina, M.; Danilova, M.; Pungin, A. Comparative study on radical scavenging activity and phenolic compounds content in water bark extracts of alder (Alnus glutinosa (L.) Gaertn.), oak (Quercus robur L.) and pine (Pinus sylvestris L.). Eur. J. Wood Wood Prod. 2019, 77, 879–890. [Google Scholar] [CrossRef]
- Koksal, E.; Bursal, E.; Dikici, E.; Tozoglu, F.; Gulcin, I. Antioxidant activity of Melissa officinalis leaves. J. Med. Plants Res. 2011, 5, 217–222. [Google Scholar]
- Gümüs, M.; Babacan, S.N.; Demir, Y.; Sert, Y.; Koca, I.; Gulcin, I. Discovery of sulfadrug-pyrrole conjugates as carbonic anhydrase and acetylcholinesterase inhibitors. Arch. Pharm. 2022, 355, 2100242. [Google Scholar] [CrossRef] [PubMed]
- Babich, O.; Larina, V.; Ivanova, S.; Tarasov, A.; Povydysh, M.; Orlova, A.; Strugar, J.; Sukhikh, S. Phytotherapeutic approaches to the prevention of age-related changes and the extension of active longevity. Molecules 2022, 27, 2276. [Google Scholar] [CrossRef]
- Taslimi, P.; Osmanova, S.; Caglayan, C.; Turkan, F.; Sardarova, S.; Farzaliyev, V.; Sujayev, A.; Sadeghian, N.; Gulçin, İ. Novel amides of 1,1-bis-(carboxymethylthio)-1-arylethanes: Synthesis, characterization, acetylcholinesterase, butyrylcholinesterase, and carbonic anhydrase inhibitory properties. J. Biochem. Mol. Toxicol. 2018, 32, e22191. [Google Scholar] [CrossRef]
- Yamali, C.; Gul, H.I.; Ece, A.; Taslimi, P.; Gulcin, İ. Synthesis, molecular modeling, and biological evaluation of 4-[5-aryl-3-(thiophen-2-yl)-4,5-dihydro-1H-pyrazol-1-yl] benzenesulfonamides toward acetylcholinesterase, carbonic anhydrase I and II enzymes. Chem. Biol. Drug Des. 2018, 91, 854–866. [Google Scholar] [CrossRef]
- Özgeriş, B.; Göksu, S.; Polat Köse, L.; Gülçin, I.; Salmas, R.E.; Durdagi, S.; Tümer, F.; Supuran, C.T. Acetylcholinesterase and carbonic anhydrase inhibitory properties of novel urea and sulfamide derivatives incorporating dopaminergic 2-aminotetralin scaffolds. Bioorg. Med. Chem. 2016, 24, 2318–2329. [Google Scholar] [CrossRef]
- Durmaz, L.; Kiziltas, H.; Guven, L.; Karagecili, H.; Alwasel, S.; Gulcin, İ. Antioxidant, antidiabetic, anticholinergic, and antiglaucoma effects of magnofluorine. Molecules 2022, 27, 5902. [Google Scholar] [CrossRef]
- Sim, R.H.; Sirasanagandla, S.R.; Das, S.; Teoh, S.L. Treatment of glaucoma with natural products and their mechanism of action: An update. Nutrients 2022, 14, 534. [Google Scholar] [CrossRef]
- Gök, Y.; Kaya, G.; Demir, Y.; Karabıyık, H.; Taskin-Tok, T.; İzmirli, M.; Aktaş, A.; Gülçin, İ. Benzimidazolium salts bearing ester group: Synthesis, characterization, crystal structure, molecular docking studies, and inhibitory properties against metabolic enzymes. J. Mol. Struct. 2025, 1322 Pt 1, 140342. [Google Scholar] [CrossRef]
- Tham, Y.C.; Li, X.; Wong, T.Y.; Quigley, H.A.; Aung, T.; Cheng, C.Y. Global prevalence of glaucoma and projections of glaucoma burden through 2040: A systematic review and meta-analysis. Ophthalmology 2014, 121, 2081–2090. [Google Scholar] [CrossRef] [PubMed]
- Hou, Z.; Li, C.; Liu, Y.; Zhang, M.; Wang, Y.; Fan, Z.; Guo, C.; Lin, B.; Liu, Y. Design, synthesis and biological evaluation of carbohydrate-based sulphonamide derivatives as topical antiglaucoma agents through selective inhibition of carbonic anhydrase II. J. Enzym. Inhib. Med. Chem. 2020, 35, 383–390. [Google Scholar] [CrossRef] [PubMed]
- Karagecili, H.; Yılmaz, M.A.; Ertürk, A.; Kiziltas, H.; Güven, L.; Alwasel, S.H.; Gulcin, İ. Comprehensive metabolite profiling of berdav propolis using LC-MS/MS: Determination of antioxidant, anticholinergic, antiglaucoma, and antidiabetic effects. Molecules 2023, 28, 1739. [Google Scholar] [CrossRef]
- Apak, R.; Calokerinos, A.; Gorinstein, S.; Segundo, M.A.; Hibbert, D.B.; Gülçin, I.; Demirci Çekiç, S.; Güçlü, K.; Özyürek, M.; Çelik, S.E.; et al. Methods to evaluate the scavenging activity of antioxidants toward reactive oxygen and nitrogen species. Pure Appl. Chem. 2022, 94, 87–144. [Google Scholar] [CrossRef]
- Blois, M.S. Antioxidant determinations by the use of a stable free radical. Nature 1958, 181, 1199–1200. [Google Scholar] [CrossRef]
- Gulcin, İ.; Alwasel, S.H. DPPH radical scavenging assay. Processes 2023, 11, 2248. [Google Scholar] [CrossRef]
- Ozden, E.M.; Bingol, Z.; Mutlu, M.; Karagecili, H.; Köksal, E.; Gören, A.C.; Alwasel, S.H.; Gülçin, İ. Antioxidant, antiglaucoma, anticholinergic, and antidiabetic effects of kiwifruit (Actinidia deliciosa) oil: Metabolite profile analysis using LC-HR/MS, GC/MS and GC-FID. Life 2023, 13, 1939. [Google Scholar] [CrossRef] [PubMed]
- Fogliano, V.; Verde, V.; Randazzo, G.; Ritieni, A. Method for measuring antioxidant activity and its application to monitoring the antioxidant capacity of wines. J. Agric. Food Chem. 1999, 47, 1035–1040. [Google Scholar] [CrossRef]
- Gulcin, I. Measurement of antioxidant ability of melatonin and serotonin by the DMPD and CUPRAC methods as trolox equivalent. J. Enzym. Inhib. Med. Chem. 2008, 23, 871–876. [Google Scholar] [CrossRef]
- Ellman, G.L.; Courtney, K.D.; Andres, V.; Featherstone, R.M. A New and rapid colorimetric determination of acetylcholinesterase activity. Biochem. Pharmacol. 1961, 7, 88–90. [Google Scholar] [CrossRef]
- Tao, Y.; Zhang, Y.; Cheng, Y.; Wang, Y. Rapid Screening and Identification of α-Glucosidase Inhibitors from Mulberry Leaves Using Enzyme-Immobilized Magnetic Beads Coupled with HPLC/MS and NMR. Biomed. Chromatogr. 2013, 27, 148–155. [Google Scholar] [CrossRef] [PubMed]
- Viola; Khan, I.N.; Muhammad, N.; Shaik, M.R.; Ahmad, A.; Tumanov, N.; Wouters, J.; Ilyas, M.; Ibrahim, M. Centrosymmetric homo- and heteroleptic core paddle-wheel copper(II) carboxylates; Syntheses, crystal structures, antioxidant, anticancer and enzyme inhibition activity. J. Mol. Struc. 2024, 1313, 138742. [Google Scholar] [CrossRef]
- Karagecili, H.; İzol, E.; Kirecci, E.; Gulcin, İ. Determination of antioxidant, anti-Alzheimer, antidiabetic, antiglaucoma and antimicrobial effects of Zivzik pomegranate (Punica granatum)—A chemical profiling by LC-MS/MS. Life 2023, 13, 735. [Google Scholar] [CrossRef]
- Burmaoglu, S.; Kazancioglu, E.A.; Kazancioglu, M.Z.; Sağlamtaş, R.; Yalcin, G.; Gulcin, I.; Algul, O. Synthesis, molecular docking and some metabolic enzyme inhibition properties of biphenyl-substituted chalcone derivatives. J. Mol. Struct. 2022, 1254, 132358. [Google Scholar] [CrossRef]
- Gülçin, İ.; Trofimov, B.; Kaya, R.; Taslimi, P.; Sobenina, L.; Schmidt, E.; Petrova, O.; Malysheva, S.; Gusarova, N.; Farzaliyev, V.; et al. Synthesis of nitrogen, phosphorus, selenium and sulfur-containing heterocyclic compounds—Determination of their carbonic anhydrase, acetylcholinesterase, butyrylcholinesterase and α-glycosidase inhibition properties. Bioorg. Chem. 2020, 103, 104171. [Google Scholar] [CrossRef]
- Bradford, M.M. A Rapid and sensitive method for the quantitation of microgram quantities of protein utilizing the principle of protein-dye binding. Anal. Biochem. 1976, 67, 248–254. [Google Scholar] [CrossRef]
- Karageçili, H.; İzol, E.; Kireçci, E.; Gülçin, İ. Antioxidant, antidiabetic, antiglaucoma, and anticholinergic effects of Tayfi grape (Vitis vinifera): A phytochemical screening by LC-MS/MS analysis. Open Chem. 2023, 21, 20230120. [Google Scholar] [CrossRef]
- Verpoorte, J.A.; Mehta, S.; Edsall, J.T. Esterase activities of human carbonic anhydrases B and C. J. Biol. Chem. 1967, 242, 4221–4229. [Google Scholar] [CrossRef]
- Gulcin, I.; Alwasel, S.H. Metal ions, metal chelators and metal chelating assay as antioxidant method. Processes 2022, 10, 132. [Google Scholar] [CrossRef]
- Lineweaver, H.; Burk, D. The determination of enzyme dissociation constants. J. Am. Chem. Soc. 1934, 56, 658–666. [Google Scholar] [CrossRef]
- Gulcin, I.; Kaya, R.; Goren, A.C.; Akincioglu, H.; Topal, M.; Bingol, Z.; Cetin Cakmak, K.; Ozturk Sarikaya, S.B.; Durmaz, L.; Alwasel, S. Anticholinergic, antidiabetic and antioxidant activities of cinnamon (Cinnamomum verum) bark extracts: Polyphenol contents analysis by LC-MS/MS. Int. J. Food Proper. 2019, 22, 1511–1526. [Google Scholar] [CrossRef]
- Cetin Cakmak, K.; Gülçin, İ. Anticholinergic and antioxidant activities of usnic acid-An activity-structure insight. Toxicol. Rep. 2019, 6, 1273–1280. [Google Scholar] [CrossRef] [PubMed]
- Gülçin, I. Antioxidant activity of caffeic acid (3,4-dihydroxycinnamic acid). Toxicology 2006, 217, 213–220. [Google Scholar] [CrossRef] [PubMed]
- Capuzzo, A.; Occhipinti, A.; Maffei, M.E. Antioxidant and radical scavenging activities of chamazulene. Nat. Prod. Res. 2014, 28, 2321–2323. [Google Scholar] [CrossRef]
- Durmaz, L.; Erturk, A.; Akyüz, M.; Kose, L.P.; Uc, E.M.; Bingol, Z.; Saglamtas, R.; Alwasel, S.; Gulcin, I. Screening of carbonic anhydrase, acetylcholinesterase, butyrylcholinesterase, and α-glycosidase enzyme inhibition effects and antioxidant activity of coumestrol. Molecules 2022, 27, 3091. [Google Scholar] [CrossRef] [PubMed]
- Gülçin, I.; Huyut, Z.; Elmastaş, M.; Aboul-Enein, H.Y. Radical scavenging and antioxidant activity of tannic acid. Arab. J. Chem. 2010, 3, 43–53. [Google Scholar] [CrossRef]
- Durmaz, L.; Karagecili, H.; Gulcin, İ. Evaluation of carbonic anhydrase, acetylcholinesterase, butyrylcholinesterase, and α-glycosidase inhibition effects and antioxidant activity of baicalin hydrate. Life 2023, 13, 2136. [Google Scholar] [CrossRef]
- Durmaz, L.; Kiziltas, H.; Karagecili, H.; Alwasel, S.; Gulcin, İ. Potential antioxidant, anticholinergic, antidiabetic and antiglaucoma activities and molecular docking of spiraeoside as a secondary metabolite of onion (Allium cepa). Saudi Pharm. J. 2023, 31, 101760. [Google Scholar] [CrossRef]
- Göçer, H.; Gülçin, I. Caffeic acid phenethyl ester (CAPE): Correlation of structure and antioxidant properties. Int. J. Food Sci. Nutr. 2011, 62, 821–825. [Google Scholar] [CrossRef]
- Durmaz, L.; Gulçin, İ.; Taslimi, P.; Tüzün, B. Isofraxidin: Antioxidant, anti-carbonic anhydrase, anti-cholinesterase, anti-diabetic, and in silico properties. ChemistrySelect 2023, 8, e202300170. [Google Scholar] [CrossRef]
- Gülçin, I. Antioxidant activity of eugenol: A structure-activity relationship study. J. Med. Food 2011, 14, 975–985. [Google Scholar] [CrossRef]
- Gülçin, I. Antioxidant properties of resveratrol: A Structure-activity insight. Innov. Food Sci. Emerg. 2010, 11, 210–218. [Google Scholar] [CrossRef]
- Taslimi, P.; Gulçin, İ. Antioxidant and anticholinergic properties of olivetol. J. Food Biochem. 2018, 42, e12516. [Google Scholar] [CrossRef]
- Wong, C.Y.; Leong, K.H.; He, X.; Zheng, F.; Sun, J.; Wang, Z.; Heh, C.H.; Kong, K.W. Phytochemicals of six selected herbal plants and their inhibitory activities towards free radicals and glycation. Food Biosci. 2022, 46, 101557. [Google Scholar] [CrossRef]
- Gülçin, I. Antioxidant and antiradical activities of L-carnitine. Life Sci. 2006, 78, 803–811. [Google Scholar] [CrossRef] [PubMed]
- Karimov, A.; Orujova, A.; Taslimi, P.; Sadeghian, N.; Mammadov, B.; Karaman, H.S.; Farzaliyev, V.; Sujayev, A.; Tas, R.; Alwasel, S.; et al. Novel functionally substituted esters based on sodium diethyldithiocarbamate derivatives: Synthesis, characterization, biological activity and molecular docking studies. Bioorg. Chem. 2020, 99, 103762. [Google Scholar] [CrossRef]
- Hashmi, S.; Khan, S.; Shafiq, Z.; Taslimi, P.; Ishaq, M.; Sadeghian, N.; Karaman, H.S.; Akhtar, N.; Islam, M.; Asari, A.; et al. Probing 4-(diethylamino)-salicylaldehyde-based thiosemicarbazones as multi-target directed ligands against cholinesterases, carbonic anhydrases and α-glycosidase enzymes. Bioorg. Chem. 2021, 107, 104554. [Google Scholar] [CrossRef]
- Kazancı, A.; Gök, Y.; Kaya, R.; Aktaş, A.; Taslimi, P.; Gülçin, İ. Synthesis, characterization and bioactivities of dative donor ligand N-heterocyclic carbene (NHC) precursors and their Ag(I)NHC coordination compounds. Polyhedron 2021, 193, 114866. [Google Scholar] [CrossRef]
- Karageçili, H.; Yilmaz, M.A.; Alwasel, S.H.; Arık, M.; Gülçin, İ. Comprehensively revealing the profile of Pistacia vera L. cv. Siirt turpentine -Antioxidant, antidiabetic, anti-Alzheimer, and antiglaucoma effects. Rec. Nat. Prod. 2023, 17, 918–937. [Google Scholar] [CrossRef]
- Göçer, H.; Akincioǧlu, A.; Öztaşkin, N.; Göksu, S.; Gülçin, I. Synthesis, antioxidant, and antiacetylcholinesterase activities of sulfonamide derivatives of dopamine-related compounds. Arch. Pharm. 2013, 346, 783–792. [Google Scholar] [CrossRef] [PubMed]
- Kiziltas, H.; Goren, A.C.; Alwasel, S.; Gulcin, I. Sahlep (Dactylorhiza osmanica): Phytochemical analyses by LC-HRMS, molecular docking, antioxidant activity and enzyme inhibition profiles. Molecules 2022, 27, 6907. [Google Scholar] [CrossRef]
- Bursal, E.; Gulcin, I. Polyphenol contents and in vitro antioxidant activities of lyophilized aqueous extract of kiwifruit (Actinidia deliciosa). Food Res. Int. 2011, 44, 1482–1489. [Google Scholar] [CrossRef]
- Touriño, S.; Lizárraga, D.; Carreras, A.; Lorenzo, S.; Ugartondo, V.; Vinardell, P.; Juliá, L.; Cascante, M. Highly galloylated tannin fractions from witch hazel (Hamamelis wirginiana) bark: Electron transfer capacity, in vitro antioxidant activity, and effects on skin-related cells. Chem. Res. Toxicol. 2008, 21, 696–704. [Google Scholar] [CrossRef] [PubMed]
- Gulcin, I. Antioxidants and antioxidant methods-An updated overview. Arch. Toxicol. 2020, 94, 651–715. [Google Scholar] [CrossRef] [PubMed]
- Köksal, E.; Gülçin, I.; Beyza, S.; Sarikaya, Ö.; Bursal, E. In vitro antioxidant activity of silymarin. J. Enzym. Inhib. Med. Chem. 2009, 24, 395–405. [Google Scholar] [CrossRef]
- Gülçin, I. Antioxidant activity of L-Adrenaline: A structure-activity insight. Chem. Biol. Interact. 2009, 179, 71–80. [Google Scholar] [CrossRef] [PubMed]
- Ak, T.; Gülçin, I. Antioxidant and radical scavenging properties of curcumin. Chem. Biol. Interact. 2008, 174, 27–37. [Google Scholar] [CrossRef]
- Li, Y.; Guo, B.; Wang, W.; Li, L.; Cao, L.; Yang, C.; Liu, J.; Liang, Q.; Chen, J.; Wu, S.; et al. Characterization of phenolic compounds from Phyllanthus emblica fruits using HPLC-ESI-TOF-MS as affected by an optimized microwave-assisted extraction. Int. J. Food Proper. 2019, 22, 330–342. [Google Scholar] [CrossRef]
- Temiz, M.A.; Okumus, E.; Yaman, T.; Keles, O.F. Mixture of leaf and flower extract of Prunus spinosa L. alleviates hyperglycemia and oxidative stress in streptozotocin-induced diabetic rats. S. Afr. J. Bot. 2021, 141, 145–151. [Google Scholar] [CrossRef]
- Özenver, N.; Güvenalp, Z.; Kuruüzüm-Uz, A.; Demirezer, L.Ö. Inhibitory potential on key enzymes relevant to type II diabetes mellitus and antioxidant properties of the various extracts and phytochemical constituents from Rumex acetosella L. J. Food Biochem. 2020, 44, e13415. [Google Scholar] [CrossRef] [PubMed]
- Issac, P.K.; Guru, A.; Chandrakumar, S.S.; Lite, C.; Saraswathi, N.T.; Arasu, M.V.; Al-Dhabi, N.A.; Arshad, A.; Arockiaraj, J. Molecular process of glucose uptake and glycogen storage due to hamamelitannin via insulin signalling cascade in glucose metabolism. Mol. Biol. Rep. 2020, 47, 6727–6740. [Google Scholar] [CrossRef] [PubMed]
- Tanveer, A.; Akram, K.; Farooq, U.; Hayat, Z.; Shafi, A. Management of diabetic complications through fruit flavonoids as a natural remedy. Crit. Rev. Food Sci. Nutr. 2017, 57, 1411–1422. [Google Scholar] [CrossRef]
- Wang, Z.Y.; Liu, J.G.; Li, H.; Yang, H.M. Pharmacological effects of active components of chinese herbal medicine in the treatment of Alzheimer’s disease: A review. Am. J. Chn. Med. 2016, 44, 1525–1541. [Google Scholar] [CrossRef]
- Zhang, M.; Xue, J.; Chen, X.; Elsaid, F.G.; Salem, E.T.; Ghanem, R.A.; El-kott, A.F.; Xu, Z. Bioactivity of hamamelitannin, flavokawain A, and triacetyl resveratrol as natural compounds: Molecular docking study, anticolon cancer, and anti-Alzheimer potentials. Biotechnol. Appl. Biochem. 2023, 70, 730–745. [Google Scholar] [CrossRef] [PubMed]
- Erdoğan, M.; Polat Köse, L.; Eşsiz, S.; Gülçin, İ. Synthesis and biological evaluation of some 1-naphthol derivatives as antioxidants, acetylcholinesterase, and carbonic anhydrase inhibitors. Arch. Pharm. 2021, 354, e2100113. [Google Scholar] [CrossRef]
- Choi, H.R.; Choi, J.S.; Han, Y.N.; Bae, S.J.; Chung, H.Y. Peroxynitrite scavenging activity of herb extracts. Phytother. Res. 2002, 16, 364–367. [Google Scholar] [CrossRef]








| Antioxidants | Fe3+ Reducing Ability | Cu2+ Reducing Ability | ||
|---|---|---|---|---|
| A (700 nm) | r2 | A (450 nm) | r2 | |
| BHA | 2.347 ± 0.046 | 0.9086 | 2.216 ± 0.059 | 0.9928 |
| BHT | 0.952 ± 0.023 | 0.9154 | 2.044 ± 0.041 | 0.9937 |
| Trolox | 2.119 ± 0.010 | 0.9586 | 1.548 ± 0.041 | 0.9305 |
| α-Tocopherol | 0.957 ± 0.018 | 0.9863 | 0.816 ± 0.024 | 0.9897 |
| Hamamelitannin | 1.030 ± 0.018 | 0.9990 | 0.331 ± 0.017 | 0.9394 |
| Antioxidants | DPPH• Scavenging | ABTS•+ Scavenging | DMPD•+ Scavenging | |||
|---|---|---|---|---|---|---|
| IC50 | r2 | IC50 | r2 | IC50 | r2 | |
| BHA | 10.10 ± 0.79 | 0.9015 | 5.07 ± 0.23 | 0.9356 | 11.99 ± 0.06 | 0.9580 |
| BHT | 25.95 ± 1.17 | 0.9221 | 6.99 ± 0.10 | 0.9350 | 8.72 ± 0.03 | 0.9375 |
| Trolox | 7.05 ± 0.44 | 0.9614 | 6.16 ± 0.25 | 0.9692 | 4.33 ± 0.07 | 0.9447 |
| α-Tocopherol | 11.31 ± 0.25 | 0.9642 | 8.37 ± 0.03 | 0.9015 | 7.11 ± 0.05 | 0.9509 |
| Hamamelitannin | 19.97 ± 1.43 | 0.9861 | 19.52 ± 0.05 | 0.9911 | 15.16 ± 0.08 | 0.9966 |
Disclaimer/Publisher’s Note: The statements, opinions and data contained in all publications are solely those of the individual author(s) and contributor(s) and not of MDPI and/or the editor(s). MDPI and/or the editor(s) disclaim responsibility for any injury to people or property resulting from any ideas, methods, instructions or products referred to in the content. |
© 2024 by the authors. Licensee MDPI, Basel, Switzerland. This article is an open access article distributed under the terms and conditions of the Creative Commons Attribution (CC BY) license (https://creativecommons.org/licenses/by/4.0/).
Share and Cite
Durmaz, L.; Karageçili, H.; Erturk, A.; Ozden, E.M.; Taslimi, P.; Alwasel, S.; Gülçin, İ. Hamamelitannin’s Antioxidant Effect and Its Inhibition Capability on α-Glycosidase, Carbonic Anhydrase, Acetylcholinesterase, and Butyrylcholinesterase Enzymes. Processes 2024, 12, 2341. https://doi.org/10.3390/pr12112341
Durmaz L, Karageçili H, Erturk A, Ozden EM, Taslimi P, Alwasel S, Gülçin İ. Hamamelitannin’s Antioxidant Effect and Its Inhibition Capability on α-Glycosidase, Carbonic Anhydrase, Acetylcholinesterase, and Butyrylcholinesterase Enzymes. Processes. 2024; 12(11):2341. https://doi.org/10.3390/pr12112341
Chicago/Turabian StyleDurmaz, Lokman, Hasan Karageçili, Adem Erturk, Eda Mehtap Ozden, Parham Taslimi, Saleh Alwasel, and İlhami Gülçin. 2024. "Hamamelitannin’s Antioxidant Effect and Its Inhibition Capability on α-Glycosidase, Carbonic Anhydrase, Acetylcholinesterase, and Butyrylcholinesterase Enzymes" Processes 12, no. 11: 2341. https://doi.org/10.3390/pr12112341
APA StyleDurmaz, L., Karageçili, H., Erturk, A., Ozden, E. M., Taslimi, P., Alwasel, S., & Gülçin, İ. (2024). Hamamelitannin’s Antioxidant Effect and Its Inhibition Capability on α-Glycosidase, Carbonic Anhydrase, Acetylcholinesterase, and Butyrylcholinesterase Enzymes. Processes, 12(11), 2341. https://doi.org/10.3390/pr12112341

