Heat and Mass Transfer Characteristics of Oily Sludge Thermal Desorption
Abstract
1. Introduction
2. Thermal Desorption Experiment
2.1. Experimental Methods and Processes
2.2. Experimental Results and Analysis
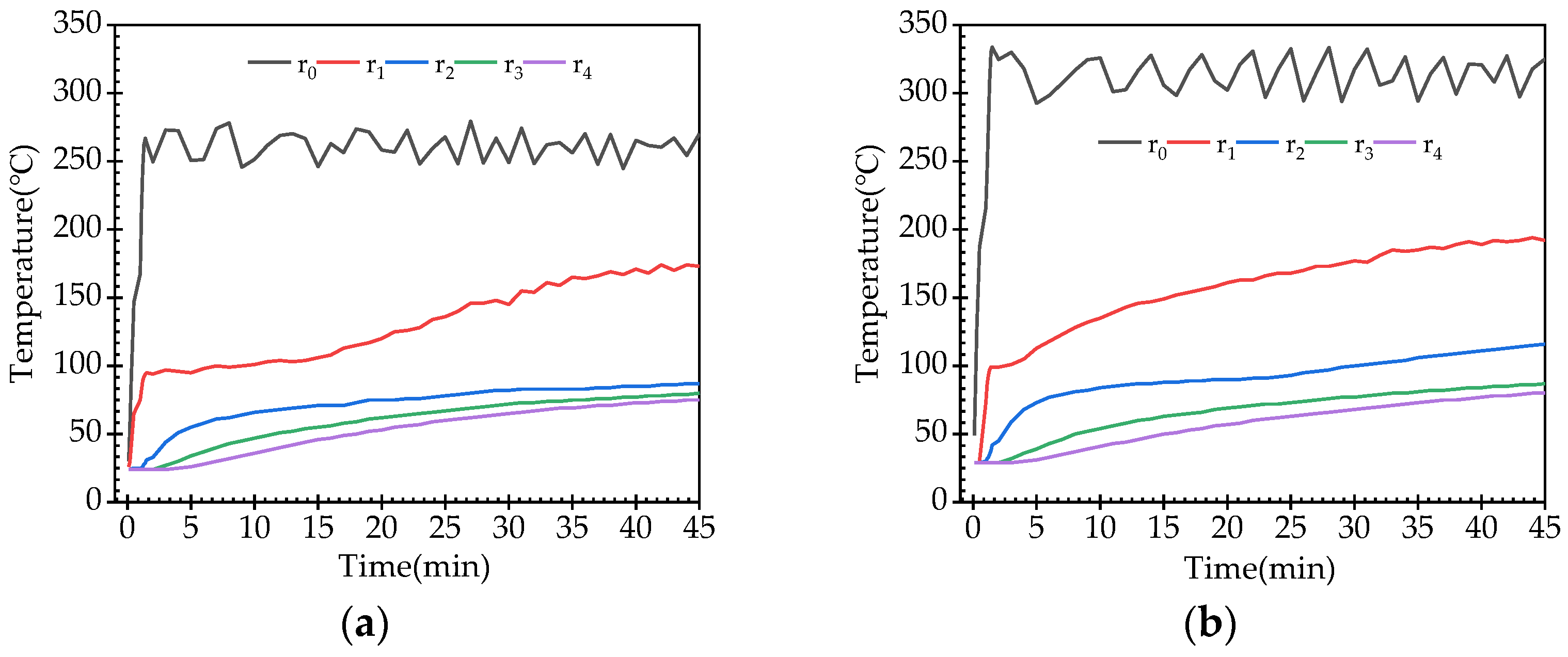
2.2.1. Temperature Changes
2.2.2. Mass Content Changes of Wet Components
2.2.3. Adhesion Test
3. Process Simulation of Thermal Desorption
3.1. Governing Equations
3.2. Model Solution
3.2.1. Equation Discretization
3.2.2. Energy Distribution Model
3.2.3. Boundary Conditions
3.3. Simulation Results and Analysis
3.3.1. Model Validation
3.3.2. Temperature Changes
3.3.3. Liquid Component Content Changes
4. Conclusions
Author Contributions
Funding
Data Availability Statement
Conflicts of Interest
References
- Environmental Protection Department (EPD). The National Hazardous Waste List. 000014672/2020-01495. Available online: https://www.mee.gov.cn/xxgk2018/xxgk/xxgk02/202011/t20201127_810202.html (accessed on 27 November 2020).
- Egazar’yants, S.V.; Vinokurov, V.A.; Vutolkina, A.V.; Talanova, M.Y.; Frolov, V.I.; Karakhanov, E.A. Oil Sludge Treatment Processes. Chem. Technol. Fuels Oils 2015, 51, 506–515. [Google Scholar] [CrossRef]
- Cheng, S.; Wang, Y.; Fumitake, T.; Kouji, T.; Li, A.; Kunio, Y. Effect of steam and oil sludge ash additive on the products of oil sludge pyrolysis. Appl. Energy 2017, 185, 146–157. [Google Scholar] [CrossRef]
- Li, J.; Lin, F.; Li, K.; Zheng, F.; Yan, B.; Che, L.; Tian, W.; Chen, G.; Yoshikawa, K. A critical review on energy recovery and non-hazardous disposal of oily sludge from petroleum industry by pyrolysis. J. Hazard. Mater. 2021, 406, 124706. [Google Scholar] [CrossRef] [PubMed]
- Li, F.; Zhang, Y.; Wang, S.; Li, G.; Yue, X.; Zhong, D.; Chen, C.; Shen, K. Insight into ex-situ thermal desorption of soils contaminated with petroleum via carbon number-based fraction approach. Chem. Eng. J. 2020, 385, 123946. [Google Scholar] [CrossRef]
- Xu, X.; Hu, N.; Wang, Q.; Fan, L.; Song, X. A numerical study of optimizing the well spacing and heating power for in situ thermal remediation of organic-contaminated soil. Case Stud. Therm. Eng. 2022, 33, 101941. [Google Scholar] [CrossRef]
- Li, J.; Hu, J.; Ma, W.; Wang, P.; Zheng, H.; Lu, R. Research progress on remediation technology of petroleum contaminated soil. Chin. J. Ecol. 2023, 1–12. [Google Scholar]
- Ji, W.; Fu, R.; Gao, C.; Yao, J. The transformation and migration of contaminants during the remediation process of heterogeneous strata by the in-situ thermal conductive heating (TCH) technology: A literature review. Arch. Environ. Prot. 2023, 49, 94–102. [Google Scholar]
- Wang, D.; Chen, C.; Li, C.; Xu, X.; Li, F.; Zhang, Y. Overview for in situ thermal desorption and off-gas treatment of organic compounds contaminated soil. Mod. Chem. Ind. 2020, 40, 55–59+65. [Google Scholar] [CrossRef]
- Wang, Y.; Ma, F.; Zhang, Q.; Gu, Q. Review of treatment technologies for thermal desorption off gas. J. Environ. Eng. Technol. 2017, 7, 52–58. [Google Scholar]
- Wu, J.; Fang, Z.; Xue, C.; Wang, K. Bibliometric analysis of patents for the soil remediation of organic contaminated sites in China. Chin. J. Environ. Eng. 2019, 13, 2015–2024. [Google Scholar]
- Wang, J.; Gong, Z.; Zhu, L.; Chu, Z.; Wang, Z. Research progress of catalytic pyrolysis of oil sludge. Appl. Chem. Ind. 2022, 51, 1164–1167+1173. [Google Scholar] [CrossRef]
- Zhao, H.; Chen, D.; Hong, L.; Feng, Y. Target Products of Oily Sludges Pyrolysis Disposal. Acta Pet. Sin. Pet. Process. Sect. 2020, 36, 557–567. [Google Scholar]
- Zhang, X.; Yao, A. Pilot experiment of oily cuttings thermal desorption and heating characteristics study. J. Pet. Explor. Prod. Technol. 2019, 9, 1263–1270. [Google Scholar] [CrossRef]
- Zhan, Y.; Zhang, L.; Xie, J.; Dong, B.; Wei, T.; Huang, Y. Effect of final pyrolysis temperature on characteristics of three-phase products of oily sludge. Chin. J. Environ. Eng. 2021, 15, 2409–2416. [Google Scholar]
- Zheng, F.; Li, H.; Lin, F.; Zang, Y.; Wu, Y.; Cheng, Z.; Ma, W.; Chen, G. Pyrolysis characteristics and pollutant release characteristics of Daqing oil sludge. Chem. Ind. Eng. Prog. 2022, 41, 476–484. [Google Scholar]
- Li, Y.; Hu, H.; Qu, C.; Yu, T. Influencing factors for catalytic pyrolysis of oily sludge and analysis of pyrolysis products. Mod. Chem. Ind. 2018, 38, 67–71. [Google Scholar]
- Heron, G.; Parker, K.; Fournier, S.; Wood, P.; Angyal, G.; Levesque, J.; Villecca, R. World’s Largest In Situ Thermal Desorption Project: Challenges and Solutions. Ground Water Monit. Rem. 2015, 35, 89–100. [Google Scholar] [CrossRef]
- Ji, L.; Liu, P.; Wei, Y.; Chen, Y.; Wang, W.; Yang, Y.; Zhan, M.; Yan, L.; Li, S. Research on temperature variation in soil during in-situ heating with single heating tube. Environ. Eng. 2019, 37, 165–169. [Google Scholar]
- Kunkel, A.M.; Seibert, J.J.; Elliott, L.J.; Kelley, R.; Katz, L.E.; Pope, G.A. Remediation of elemental mercury using in situ thermal desorption (ISTD). Environ. Sci. Technol. 2006, 40, 2384–2389. [Google Scholar] [CrossRef]
- Wang, B.; Ma, Y.; Yue, C.; Li, S.; Tang, X.; Chang, S. Thermal and kinetic study into pyrolysis and combustion of Jihua oil sludge. Pet. Sci. Bull. 2021, 6, 292–301. [Google Scholar]
- Wang, J.; Liu, T.; Huang, Q.; Chi, Y.; Ma, Z. Slow pyrolysis characteristics of petroleum sludge. CIESC J. 2017, 68, 1138–1145. [Google Scholar]
- Cheng, S.; Chang, F.; Zhang, F.; Huang, T.; Yoshikawa, K.; Zhang, H. Progress in thermal analysis studies on the pyrolysis process of oil sludge. Thermochim. Acta 2018, 663, 125–136. [Google Scholar] [CrossRef]
- Ma, Z.; Xie, J.; Gao, N.; Quan, C. Pyrolysis behaviors of oilfield sludge based on Py-GC/MS and DAEM kinetics analysis. J. Energy Inst. 2019, 92, 1053–1063. [Google Scholar] [CrossRef]
- Duan, Y.; Gao, N.; Quan, C. Effect of hydrothermal treatment on pyrolysis characteristics and kinetics of oily sludge. Chem. Ind. Eng. Prog. 2023, 42, 603–613. [Google Scholar]
- Peeters, B.; Dewil, R.; Vernimmen, L.; Van den Bogaert, B.; Smets, I.Y. Addition of polyaluminiumchloride (PACl) to waste activated sludge to mitigate the negative effects of its sticky phase in dewatering-drying operations. Water Res. 2013, 47, 3600–3609. [Google Scholar] [CrossRef] [PubMed]
- Ferrasse, J.H.; Arlabosse, P.; Lecomte, D. Heat, momentum, and mass transfer measurements in indirect agitated sludge dryer. Drying Technol. 2002, 20, 749–769. [Google Scholar] [CrossRef]
- Peeters, B.; Dewil, R.; Van Impe, J.F.; Vernimmen, L.; Smets, I.Y. Using a shear test-based lab protocol to map the sticky phase of activated sludge. Environ. Eng. Sci. 2011, 28, 81–85. [Google Scholar] [CrossRef]
- Li, H.; Zou, X.; Li, C. Liming pretreatment reduces sludge build-up on the dryer wall during thermal drying. Drying Technol. 2012, 30, 1563–1569. [Google Scholar] [CrossRef]
- Li, H.; Zou, S.; Li, Y.; Jin, Y. Characteristics and model of sludge adhesion during thermal drying. Environ. Technol. 2013, 34, 807–812. [Google Scholar] [CrossRef]
- Liu, T.; Ma, Y.; Yue, C. Research status of pyrolysis and heat transfer characteristics of oily sludge. Appl. Chem. Ind. 2022, 51, 2675–2680. [Google Scholar]











| Case | Liquid Phase Content (Water, Oil) % | Initial Density of Material kg∙m−3 | Heat Source Temperature °C |
|---|---|---|---|
| Ⅰ | 19.35, 0 | 1235.0 | 250 |
| 19.90, 0 | 1385.1 | 250 | |
| 19.93, 0 | 1526.1 | 250 | |
| Ⅱ | 10.60, 7.09 | 1402.8 | 300 |
| 10.60, 9.33 | 1336.3 | 300 | |
| 9.88, 15.94 | 1425.3 | 300 |
| Initial content (water 19.35%, oil 0%) | |||
| r1 | r2 | r3 | |
| liquid content (%) | 6.25 | 18.48 | 19.30 |
| adhesive stress (Pa) | 6725 | 2916 | 1355 |
| Initial content (water 10.60%, oil 7.09%) | |||
| r1 | r2 | r3 | |
| liquid content (%) | 8.18 | 16.14 | 17.61 |
| adhesive stress (Pa) | 523 | 1064 | 1184 |
| Temperatures | Energy Distribution Relations |
|---|---|
| , , | |
| if , , , | |
| if , , , | |
| if , , , | |
| if , , , | |
| if , , , | |
| if , , , | |
| if , , , | |
| if , , , | |
| if , , , |
Disclaimer/Publisher’s Note: The statements, opinions and data contained in all publications are solely those of the individual author(s) and contributor(s) and not of MDPI and/or the editor(s). MDPI and/or the editor(s) disclaim responsibility for any injury to people or property resulting from any ideas, methods, instructions or products referred to in the content. |
© 2024 by the authors. Licensee MDPI, Basel, Switzerland. This article is an open access article distributed under the terms and conditions of the Creative Commons Attribution (CC BY) license (https://creativecommons.org/licenses/by/4.0/).
Share and Cite
Li, K.; Cai, A.; Tang, Y.; Zhang, X. Heat and Mass Transfer Characteristics of Oily Sludge Thermal Desorption. Processes 2024, 12, 227. https://doi.org/10.3390/pr12010227
Li K, Cai A, Tang Y, Zhang X. Heat and Mass Transfer Characteristics of Oily Sludge Thermal Desorption. Processes. 2024; 12(1):227. https://doi.org/10.3390/pr12010227
Chicago/Turabian StyleLi, Kai, Ao Cai, Yijun Tang, and Xianyong Zhang. 2024. "Heat and Mass Transfer Characteristics of Oily Sludge Thermal Desorption" Processes 12, no. 1: 227. https://doi.org/10.3390/pr12010227
APA StyleLi, K., Cai, A., Tang, Y., & Zhang, X. (2024). Heat and Mass Transfer Characteristics of Oily Sludge Thermal Desorption. Processes, 12(1), 227. https://doi.org/10.3390/pr12010227

